Effects of Constituent Elements on the Electrochemical Characteristics of Composites of LiF and Several Spinel Oxides as Cathode Materials for Li-Ion Batteries
Abstract
1. Introduction
2. Materials and Methods
3. Results and Discussion
3.1. XRD Patterns and Crystal Structure
3.2. Charge–Discharge and CV Measurements
3.3. XPS Spectra
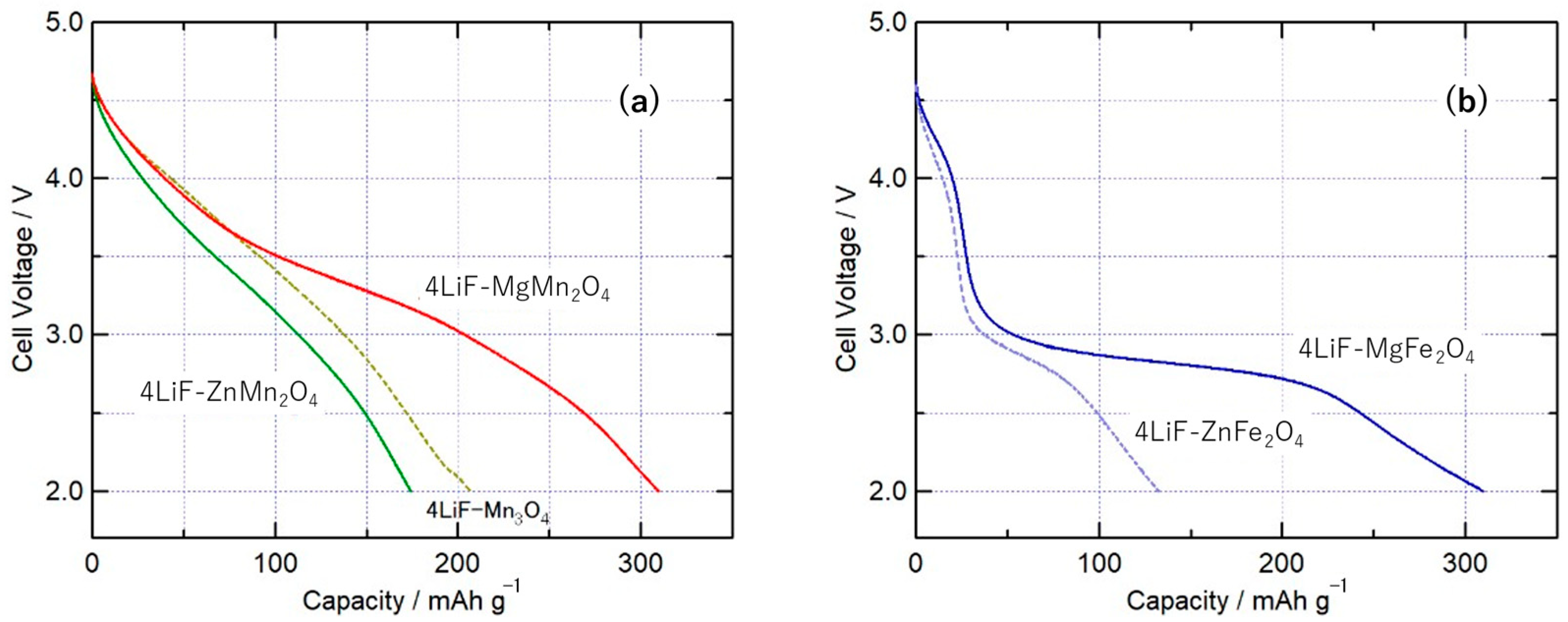
3.4. Cycling Performance
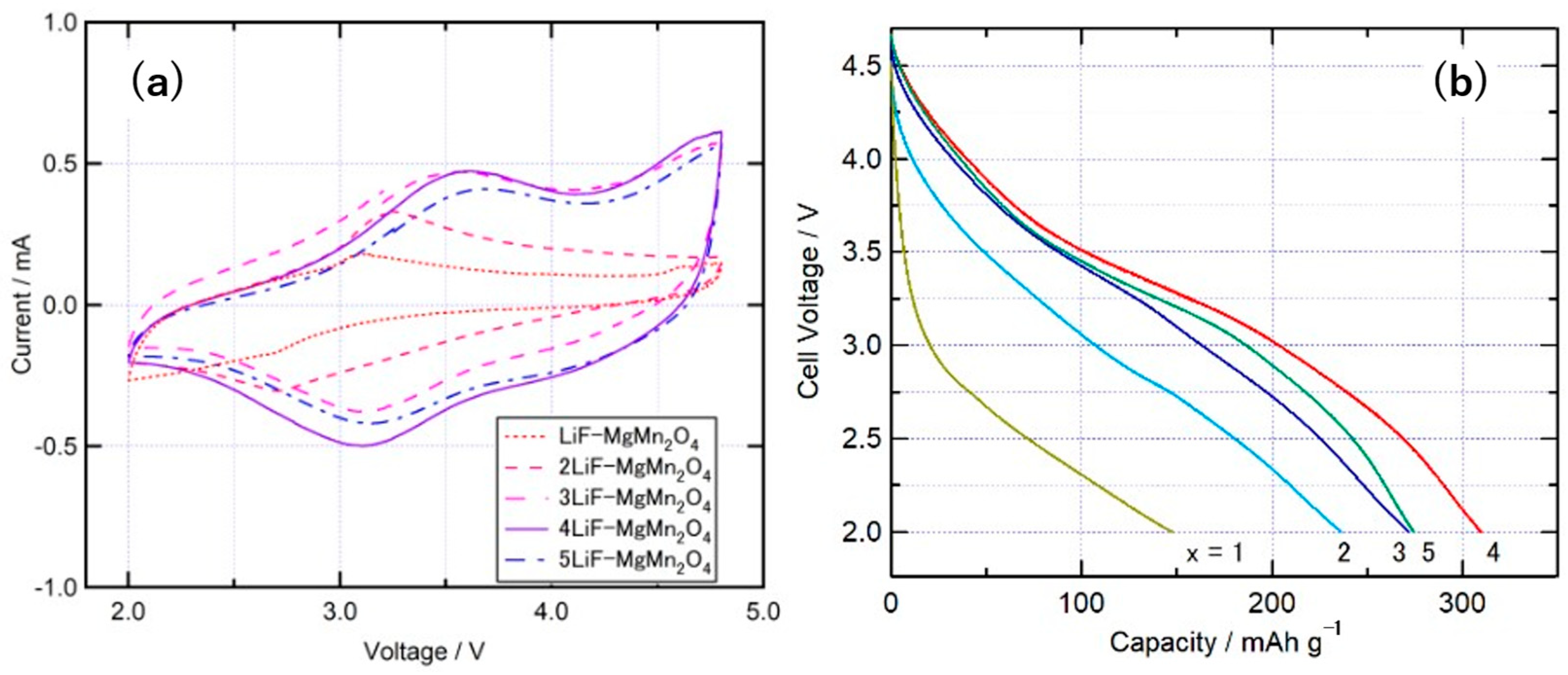
3.5. Molar Ratio of LiF and MgMn2O4
4. Conclusions
Supplementary Materials
Author Contributions
Funding
Data Availability Statement
Conflicts of Interest
References
- Jung, S.-K.; Jung, S.-K.; Kim, H.; Cho, M.G.; Cho, S.-P.; Lee, B.; Kim, H.; Park, Y.-U.; Hong, J.; Park, K.-Y.; et al. Lithium-free transition metal monoxides for positive electrodes in lithium-ion batteries. Nat. Energy 2017, 2, 16208. [Google Scholar] [CrossRef]
- Chen, R.Y.; Ren, S.H.; Knapp, M.; Wang, D.; Witter, R.; Fichtner, M.; Hahn, H. Disordered Lithium-Rich Oxyfluoride as a Stable Host for Enhanced Li+ Intercalation Storage. Adv. Energy Mater. 2015, 5, 1401814. [Google Scholar] [CrossRef]
- Zhang, L.; Chen, C.; Berg, E.; Tarascon, J.M. Triggering the In Situ Electrochemical Formation of High Capacity Cathode Material from MnO. Adv. Energy Mater. 2017, 7, 1602200. [Google Scholar] [CrossRef]
- Baur, C.; Källquist, I.; Chable, J.; Chang, J.H.; Johnsen, R.E.; Ruiz-Zepeda, F.; Mba, J.-M.A.; Naylor, A.J.; Garcia-Lastra, J.M.; Vegge, T.; et al. Improved cycling stability in high-capacity Li-rich vanadium containing disordered rock salt oxyfluoride cathodes. J. Mater. Chem. A 2019, 7, 21244–21253. [Google Scholar] [CrossRef]
- Kitajou, A.; Kobayashi, E.; Okada, S. Electrochemical Performance of a Novel Cathode material “LiFeOF” for Li-ion Batteries. Electrochemistry 2015, 83, 885–888. [Google Scholar] [CrossRef]
- Kitajou, A.; Ishado, Y.; Inoishi, A.; Okada, S. Amorphous xLiF-FeSO4 (1 ≤ x ≤ 2) composites as a cathode material for lithium ion batteries. Solid State Ion. 2018, 326, 48–51. [Google Scholar] [CrossRef]
- Tang, A.; Liang, Z.; Chen, H.; Xu, G.; Song, H. V2O3–Li3PO4 Composite: A New Type of Cathodic Active Material for Li-Ion Batteries. Adv. Mater. Interfaces 2022, 9, 2101955. [Google Scholar] [CrossRef]
- Kanno, A.; Ugata, Y.; Ikeuchi, I.; Hibino, M.; Nakura, K.; Miyaoka, Y.; Kawamura, I.; Shibata, D.; Ohta, T.; Yabuuchi, N. Durable Manganese-Based Li-Excess Electrode Material without Voltage Decay: Metastable and Nanosized Li2MnO1.5F1.5. ACS Energy Lett. 2023, 8, 2753–2761. [Google Scholar] [CrossRef]
- Takeda, N.; Hoshino, S.; Xie, L.; Chen, S.; Ikeuchi, I.; Natsui, R.; Nakura, K.; Yabuuchi, N. Reversible Li storage for nanosize cation/anion-disordered rocksalt-type oxyfluorides: LiMoO2—x LiF (0 ≤ x ≤ 2) binary system. J. Power Sources 2017, 367, 122–129. [Google Scholar] [CrossRef]
- Tomita, Y.; Nasu, H.; Izumi, Y.; Arai, J.; Otsuka, S.; Yamane, Y.; Yamada, K.; Kohno, Y.; Kobayashi, K. Synthesis and charge-discharge properties of LiF-NiO composite as a cathode material for Li-ion batteries. J. Power Sources 2016, 329, 406–411. [Google Scholar] [CrossRef]
- Tomita, Y.; Kimura, N.; Nasu, H.; Kohno, Y. Fabrication and charge–discharge properties of composites of LiF and NixMn1−xO solid solution for cathode material of Li-ion secondary battery. J. Appl. Electrochem. 2020, 50, 917–923. [Google Scholar] [CrossRef]
- Tomita, Y.; Kimura, N.; Nasu, H.; Izumi, Y.; Arai, J.; Yamane, Y.; Yamada, K.; Kohno, Y.; Kobayashi, K. Effects of Li-doped NiO on the charge–discharge properties of LiF–NiO composites used as cathode materials for Li-ion batteries. J. Appl. Electrochem. 2017, 47, 1057–1063. [Google Scholar] [CrossRef]
- Tomita, Y.; Kimura, N.; Izumi, Y.; Arai, J.; Kohno, Y.; Kobayashi, K. Synthesis and electrochemical properties of 4LiF-NiMn2O4 composite as a cathode material for Li-ion batteries. J. Power Sources 2017, 354, 34–40. [Google Scholar] [CrossRef]
- Irani, K.S.; Sinha, A.P.B.; Biswas, A.B. Crystal distortion in spinels containing Mn3+ ions. J. Phys. Chem. Solids 1960, 17, 101–111. [Google Scholar] [CrossRef]
- Zhao, H.; Liu, L.; Xiao, X.; Hu, Z.; Han, S.; Liu, Y.; Chen, D.F.; Liu, X.F. The effects of Co doping on the crystal structure and electrochemical performance of Mg(Mn2 − xCox)O4 negative materials for lithium ion battery. Solid State Sci. 2015, 39, 23–28. [Google Scholar] [CrossRef]
- Zhang, X.-D.; Wu, Z.-S.; Zang, J.; Li, D.; Zhang, Z.-D. Hydrothermal synthesis and characterization of nanocrystalline Zn–Mn spinel. J. Phys. Chem. Solids 2007, 68, 1583–1590. [Google Scholar] [CrossRef]
- Vidya, Y.S.; Manjunatha, H.C.; Sridhar, K.N. Comparative study of multi functional nanoferrites for radiation shielding, photoluminescence and antibacterial properties. Inorg. Chem. Com. 2022, 138, 109217. [Google Scholar] [CrossRef]
- Prajapat, P.; Dhaka, S.; Mund, H.S. Investigation of the influence of annealing temperature on the structural and magnetic properties of MgFe2O4. J. Electron. Mat. 2021, 50, 4671–4677. [Google Scholar] [CrossRef]
- Wang, Z.; Wang, Z.; Zhu, H.; Ai, L.; Ding, J.; Zhu, P.; Li, Z.; Li, B.; Jiang, H.; Yu, F.; et al. Synthesis, Electronic Structure, and Electrochemical Properties of the Cubic Mg2MnO4 Spinel with Porous-Spongy Structure. Nanomaterials 2021, 11, 1122. [Google Scholar] [CrossRef] [PubMed]
- Liu, H.; Ji, P.; Han, X. Rheological phase synthesis of nanosized α-LiFeO2 with higher crystallinity degree for cathode material of lithium-ion batteries. Mat. Chem. Phys. 2016, 183, 152–157. [Google Scholar] [CrossRef]
- Yabuuchi, N.; Takeuchi, M.; Komaba, S.; Ichikawa, S.; Ozaki, T.; Inamasu, T. Li1.3Nb0.3V0.4O2 as a positive electrode material for rechargeable lithium batteries. Chem. Commun. 2016, 52, 2051–2054. [Google Scholar] [CrossRef]
- Yabuuchi, N.; Nakayama, M.; Takeuchi, M.; Komaba, S.; Hashimoto, Y.; Mukai, T.; Shiiba, H.; Sato, K.; Kobayashi, Y.; Nakao, A.; et al. Origin of stabilization and destabilization in solid-state redox reaction of oxide ions for lithium-ion batteries. Nat. Commun. 2016, 7, 13814. [Google Scholar] [CrossRef]
- Fukuma, R.; Harada, M.; Zhao, W.; Sawamura, M.; Noda, Y.; Nakayama, M.; Goto, M.; Kan, D.; Shimakawa, Y.; Yonemura, M.; et al. Unexpectedly Large Contribution of Oxygen to Charge Compensation Triggered by Structural Disordering: Detailed Experimental and Theoretical Study on a Li3NbO4–NiO Binary System. ACS Cent. Sci. 2022, 8, 775–794. [Google Scholar] [CrossRef] [PubMed]
- Ramana, C.V.; Massot, M.; Julien, C.M. XPS and Raman spectroscopic characterization of LiMn2O4 spinels. Surf. Interface Anal. 2005, 37, 412–416. [Google Scholar] [CrossRef]
- Liu, S.; Wang, L.; Zhang, C.; Chu, B.; Wang, C.; Huang, T.; Yu, A. Dynamic evolution of Cathode−Electrolyte interface of LiNi0.6Co0.2Mn0.2O2 during the initial Charge−Discharge process. J. Power Sources 2019, 438, 226979. [Google Scholar] [CrossRef]
- Azmi, R.; Lindgren, F.; Stokes-Rodriguez, K.; Buga, M.; Ungureanu, C.; Gouveia, T.; Christensen, I.; Pal, S.; Vlad, A.; Ladam, A.; et al. An XPS Study of Electrolytes for Li-Ion Batteries in Full Cell LNMO vs Si/Graphite. ACS Appl. Mater. Interfaces 2024, 16, 34266–34280. [Google Scholar] [CrossRef] [PubMed]
- Okada, S.; Ueno, M.; Uebou, Y.; Yamaki, J. Fluoride phosphate Li2CoPO4F as a high-voltage cathode in Li-ion batteries. J. Power Sources 2005, 146, 565–569. [Google Scholar] [CrossRef]
- Barker, J.; Gover, R.K.B.; Burns, P.; Bryan, A.; Saidi, M.Y.; Swoyer, J.L. Structural and electrochemical properties of lithium vanadium fluorophosphate, LiVPO4F. J. Power Sources 2005, 146, 516–520. [Google Scholar] [CrossRef]









| Composites | Average Voltage (V) | Capacity (mAh/g) | Capacity Ratio (%) | Energy Density (Wh/kg) |
|---|---|---|---|---|
| 4LiF-MgMn2O4 | 3.24 | 310 | 87 | 1004 |
| 4LiF-ZnMn2O4 | 3.27 | 174 | 56 | 569 |
| 4LiF-Mn3O4 | 3.32 | 207 | 64 | 687 |
| 4LiF-MgFe2O4 | 2.82 | 309 | 88 | 871 |
| 4LiF-ZnFe2O4 | 2.91 | 132 | 42 | 384 |
| 4LiF-NiMn2O4 [13] | 3.28 | 240 | 75 | 787 |
| LiF-NiO [10] | 3.52 | 202 | 76 | 711 |
Disclaimer/Publisher’s Note: The statements, opinions and data contained in all publications are solely those of the individual author(s) and contributor(s) and not of MDPI and/or the editor(s). MDPI and/or the editor(s) disclaim responsibility for any injury to people or property resulting from any ideas, methods, instructions or products referred to in the content. |
© 2025 by the authors. Licensee MDPI, Basel, Switzerland. This article is an open access article distributed under the terms and conditions of the Creative Commons Attribution (CC BY) license (https://creativecommons.org/licenses/by/4.0/).
Share and Cite
Tomita, Y.; Yoshida, Y.; Izumi, Y.; Kohno, Y. Effects of Constituent Elements on the Electrochemical Characteristics of Composites of LiF and Several Spinel Oxides as Cathode Materials for Li-Ion Batteries. Energies 2025, 18, 5764. https://doi.org/10.3390/en18215764
Tomita Y, Yoshida Y, Izumi Y, Kohno Y. Effects of Constituent Elements on the Electrochemical Characteristics of Composites of LiF and Several Spinel Oxides as Cathode Materials for Li-Ion Batteries. Energies. 2025; 18(21):5764. https://doi.org/10.3390/en18215764
Chicago/Turabian StyleTomita, Yasumasa, Yuki Yoshida, Yusuke Izumi, and Yoshiumi Kohno. 2025. "Effects of Constituent Elements on the Electrochemical Characteristics of Composites of LiF and Several Spinel Oxides as Cathode Materials for Li-Ion Batteries" Energies 18, no. 21: 5764. https://doi.org/10.3390/en18215764
APA StyleTomita, Y., Yoshida, Y., Izumi, Y., & Kohno, Y. (2025). Effects of Constituent Elements on the Electrochemical Characteristics of Composites of LiF and Several Spinel Oxides as Cathode Materials for Li-Ion Batteries. Energies, 18(21), 5764. https://doi.org/10.3390/en18215764

