Abstract
Bedding-parallel fractures represent a crucial flow-path network in shale oil reservoirs, yet their timing of opening and driving mechanisms remain subjects of long-standing debate. This study investigates the origin and opening mechanisms of bedding-parallel fractures within the Paleogene Funing shale oil reservoir of the Huazhuang area, Subei Basin, eastern China. A combination of petrography, fluid-inclusion analysis, PVTx paleo-pressure modeling, hydrocarbon generation history modeling, and reflectance measurements was employed. The results reveal the presence of abundant oil inclusions and bitumen within the bedding-parallel veins, indicating that the initiation of fracture was essentially synchronous with the oil emplacement. The studied Funing shale, with vitrinite reflectance values of 0.85% to 1.04%, is mature, identifying it as an effective oil-prone source rock. Thermal maturity of bitumen is comparable to that of the host shale, suggesting a local oil source. Homogenization temperatures (Th) of coeval aqueous inclusions record fracture opening temperatures of approximately 100–150 °C, consistent with oil-window conditions. By integrating Th data with burial history modeling, the timing of fracture formation and coeval oil injection is constrained to the peak period of local hydrocarbon generation, rather than the Oligocene Sanduo tectonic event. This indicates that fracture opening was primarily associated with hydrocarbon generation rather than tectonic compression. Petroleum-inclusion thermodynamic modeling demonstrates that the bedding-parallel fracture opening occurred under moderate to strong overpressure conditions, with calculated paleo-pressure coefficients of ~1.35–2.36. This finding provides direct paleo-pressure evidence supporting the mechanism of bedding-parallel fracture opening driven by fluid overpressure created during oil generation. These oil-bearing, overpressured fluids facilitated the initial opening and subsequent propagation of fractures along the bedding planes of shales. Concurrently, the precipitation of the calcite veins may have been triggered by pressure drop associated with the expulsion of some coexisting aqueous fluids. This study provides evidence addressing the debated mechanisms of bedding-parallel fracture opening in organic-rich shales, highlighting the critical role of oil generation-induced overpressure.
1. Introduction
Similarly to carbonate rocks and clastic sandstones, shale successions commonly contain pervasive fracture systems. In addition to tectonic forces, a variety of diagenetic processes—such as compaction, dehydration shrinkage, hydrocarbon generation, and mineral recrystallization—play a critical role in generating multi-scale microfractures within subsiding shales during burial [1,2,3,4]. The resulting microfracture networks crucially enhance pore connectivity, thereby improving the porosity and permeability of shale reservoirs.
Bedding-parallel fractures are common features in certain shale reservoirs. Such fractures are often observable within organic-rich shale successions of both saline and freshwater lacustrine systems in many basins across China [5,6,7,8,9], including the Lower Cretaceous Denglouku Formation (Songliao Basin), Eocene Hetaoyuan Formation (Biyang Sag, Nanxiang Basin), Paleocene Funing Formation (Subei Basin), Eocene Qianjiang Formation (Jianghan Basin), and Upper Triassic Yanchang Formation (Ordos Basin). These bedding-parallel fractures are frequently infilled by sparry, fibrous calcite, forming what are known as bedding-parallel beef calcite veins [10]. Pore characterization reveals that shale intervals containing such calcite veins consistently exhibit higher porosity and permeability compared to adjacent strata. These veins have even been regarded as reliable indicators of high-quality shale reservoirs [11]. For instance, beef calcite veins are widespread in Paleogene shale reservoirs of the Bohai Bay Basin [5,6,7], and their distribution generally correlates with productive shale oil intervals.
Recent exploration targeting shale oil pools in the Paleogene Funing Formation in the Subei Basin has yielded significant breakthroughs [12,13,14]. Core observations reveal well-developed bedding-parallel fractures, underscoring the importance of understanding their fracture opening mechanisms to effectively predict fracture-enriched zones. For this study, core samples were collected from Member 2 of the Funing Formation (E1f2). Utilizing fluid inclusion analysis, paleopressure reconstruction, and basin modeling, this study investigates the opening history of bedding-parallel fractures in the shale oil reservoir, which are then compared against regional tectonic and burial events to discuss the mechanisms governing fracture dilation.
2. Geological Setting
The Subei Basin, forming the onshore part of the Subei–South Yellow Sea Basin (Figure 1a), is a continental rift basin overlying the Lower Yangtze Platform, with an area of about 3.28 × 104 km2 [15]. The Subei Basin initiated its evolution in the Late Cretaceous [16] (Figure 2). The basin experienced two major phases of rifting (during the periods 83–50.5 Ma and 50.5–34 Ma, separated by the Wubao tectonic event (Figure 2). Late Cretaceous subduction of the Kula-Pacific Plate beneath eastern China induced simple shear deformation in the lithosphere of the Lower Yangtze Plate [17]. This triggered lithospheric detachment and the regional Yizheng tectonic event, accompanied by intense magmatism. The first rifting phase, spanning the Late Cretaceous to Paleocene, was characterized by extensive syn-depositional faulting and rapid subsidence, which formed a series of extensional half-graben subbasins and deposited a regionally extensive continental sequence [18]. During the deposition of the Paleocene Funing Formation, tectonic extension intensified. This phase was characterized by two major lacustrine transgressions, coinciding with global eustatic sea-level changes and resulting in two dominant sedimentary cycles. The mid-sections of these sedimentary cycles correspond to maximum flooding surfaces, where high-quality hydrocarbon source rocks (Members E1f2 and E1f4) were deposited at 57.1–52.5 Ma and 51.5–50.5 Ma, respectively [19,20,21].
Figure 1.
Regional Geological Map of the Subei Basin: (a) Major tectonic subunits of the Subei Basin; (b) Structural units of the Gaoyou Sag, locations of sampling wells, and predicted Total Organic Carbon (TOC) and Vitrinite Reflectance (%Ro) contours.
Figure 2.
General stratigraphic framework, sedimentary evolution, and tectonic events of the Subei Basin. The red arrow indicates the target interval of this study. The figure is modified from [18].
The first phase of rifting was briefly interrupted by the Late Paleocene Wubao Movement (Figure 2). During the Eocene, a second phase of rifting occurred, characterized by extensive intrabasinal faulting, partitioning, and rapid subsidence. This led to the increasing isolation of sub-basins [18]. Major deep-seated faults that bounded the depressions were highly active during this period, exerting primary control over sedimentation.
In the depositional stage of Sanduo Formation (~37–23 Ma), a >10 Myr regional tectonic uplift occurred due to Sanduo Event driven by the collision between the Indian and Eurasian plates [22] (Figure 2). This produced a mild NE–SW compression within sags and induced widespread intense denudation [23], substantially reducing topographic relief across structural belts. This Sanduo tectonic movement (ca. 34~23 Ma) terminated the rifting. From the Neogene onward, the basin entered a depressional stage. Tectonic activity subsequently ceased, initiating a period of stable thermal subsidence.
This study focuses on the Cenozoic Gaoyou Sag (Figure 1b), covering an exploration area of approximately 2670 km2. The sag is bounded to the south by the Tongyang Uplift along the Zhenwu Major Fault. The Zhenw Fault developed successively from the Late Cretaceous to the Miocene during rifting [18]. Its northern boundary transitions via a slope belt to the Zheduo Low Uplift, while its western margin adjoins the Lingtangqiao Low Uplift and Wubao Low Uplift through slope belts. To the east, it connects with the Baiju Sag. Internally, the sag comprises three secondary structural units arranged from south to north: the fault terrace belt, the deep sag belt, and the slope belt.
The investigated shale oil reservoir is situated within the E1f2 shales of the deep sag belt in the Huazhuang area. The Paleocene E1f2 Formation is dominated by black shale interbedded with multiple layers of carbonate rocks, and bioclastic limestone. During the Paleocene, the lacustrine basin experienced expansion [24], accompanied by an initial influx of seawater. In the early depositional stage, coarse-grained carbonate rocks, including bioclastic limestone, oolitic limestone, and bioturbated limestone, were deposited in the relatively shallow waters of the central and western areas. As marine influence intensified, the lacustrine basin expanded further with rising water levels and increased depth, leading to the deposition of a relatively uniform suite of dark gray mudstone interbedded with marl and oil shale in a semi-deep water environment. This interval exhibits high bio-productivity, with abundant development of ostracods, gastropods, bioturbation structures, and algae. This was followed by a regressive phase marked by reduced marine input, during which dark gray lacustrine mudstone continued to accumulate in a low-relief topographic setting.
The Paleocene E1f2 shale generally exhibits a depositional thickness of 200–300 m and possesses significant hydrocarbon generation potential [25,26]. Measured TOC (Total Organic Carbon) analysis, combined with geophysical inversion predictions, indicates that the E1f2 shale in the Huazhuang area is organic-rich, with TOC values ranging from 1.2 to 2.5% (Figure 1b). Maceral composition is dominated by sapropelinite, averaging 90%, while exinite, vitrinite, and inertinite contents are each below 5% [23]. The organic matter is classified as Type I. Vitrinite reflectance (%Ro) values indicate that the organic matter has reached a thermal maturation (Figure 1b).
3. Samples and Methods
3.1. Petrographic Observations
We conducted detailed petrographic observations on the E1f2 cored intervals from representative shale-oil exploration wells (A, B, C) in the Huazhuang area, located in the deep sag belt of the Gaoyou Sag, Subei Basin. The sampling focused on representative shale cores characterized by the presence of well-developed bedding-parallel fractures. Twenty-four core samples were prepared as standard thin sections and examined petrographically using a Nikon optical microscope.
3.2. Fluid Inclusions
Observation of hydrocarbon inclusions within transparent minerals of shale source rocks provides direct insights into shale-oil accumulation processes. Fifteen of the collected shale samples, which contained bedding-parallel calcite veins, were prepared as double-polished thin sections for fluid-inclusion analysis. Oil inclusions were identified using microscopic fluorescence observation. Microscopic fluorescence spectroscopy of individual oil inclusions was performed using a Maya Pro 2000 micro-fluorescence spectrometer (Ocean Optics, Dunedin, FL, USA) coupled to a Nikon 80I dual-channel fluorescence microscope (Nikon Corporation, Tokyo, Japan). Ultraviolet excitation wavelengths ranged from 330 to 380 nm. The microscope was equipped with 10×, 20×, 40×, and 50× standard oil-immersion objectives, along with a 100× long-working-distance objective (8 mm working distance).
Fluid-inclusion microthermometry was conducted to measure homogenization temperatures (Th), which represent the minimum temperature at the time of inclusion entrapment. The Th distribution of coeval aqueous inclusions associated with hydrocarbon inclusions serves as a proxy for paleotemperature. When integrated with burial-thermal history modeling, these data also enable the dating of hydrocarbon charging episodes [27,28]. Th measurements employed the Nikon 80I microscope and a Linkam THMS G600 heating-freezing stage (Linkam Scientific Instruments, Windsor, Surrey, United Kingdom), with a measurement error of ±0.1 °C.
3.3. Paleo-Pressure Modeling
PVTx thermodynamic modeling method assumes oil inclusions form an isochoric closed system. Isochores of coexisting aqueous and oil inclusions—constituting an immiscible fluid system—trace a unique trajectory in pressure (P) and temperature (T). The isochores intersect at a singular point, representing the entrapment conditions [29]. The P-T conditions are computed using VTflinc thermodynamic simulation software developed by Calsep A/S (2007 version). by integrating key parameters: the compositional data and homogenization temperatures (Th) of the oil inclusions, and the homogenization temperatures of coeval aqueous inclusions within the host mineral. Oil inclusion composition is initially estimated from the gas–liquid ratio at room temperature and the homogenization temperature. The gas–liquid ratio was measured on Leica DM5500 laser scanning confocal microscopy (Leica Microsystems, Wetzlar, Germany) (excitation wavelength: 405 nm; operating voltage: 900 V) [30].
3.4. Basin Modeling
This study utilized 1-D basin modeling to analyze representative Well A within the Huazhuang area using PetroMod 1-D software (Version 2012). The 1-D basin model was constructed based on key geological parameters, including depositional and tectonic events—specifically, stratigraphic ages, layer thicknesses, lithology, as well as the timing and amounts of erosion. The stratigraphic ages are derived from a chronostratigraphic framework (Figure 2) established by previous studies that integrated biostratigraphic and isotopic geochronology. Corresponding stratum thicknesses and lithology are from the well log of Well A provided by the SINOPEC Jiangsu Oilfield. Pure lithology fractions for each interval were determined through statistical analysis of the well logs and input into the software. The software subsequently systematically generated composite lithologies. Essential physical properties of these composites—including density, initial porosity, permeability, compressibility, thermal conductivity, and specific heat capacity—were calculated internally by the software using standard arithmetic or geometric averaging of the corresponding properties of the constituent pure lithologies. According to previous tectonic evolution studies [22,23], the Oligocene Sanzuo Movement resulted in tectonic uplift and regional erosion in the study area. The timing of this tectonic uplift has been constrained by regional unconformity and apatite fission-track thermochronology [31], and the associated erosion thickness at Well A is estimated to be approximately 500 m [32].
Present-day heat flow was calculated using the thermal conduction method. Reconstruction of the paleo-heat flow history incorporated three principal models: the steady-state heat flow model, the transient heat flow model, and the rifting heat flow model. Given that the Subei Basin is a typical rift basin, initiating extensional stretching during the Late Cretaceous and continuing through the Paleogene until its termination, followed by regional uplift, erosion, and subsequent thermal subsidence, the rifting heat flow model was selected to simulate its thermal evolution. Vitrinite reflectance (%Ro) data were used to calibrate the modeled paleo-thermal history.
The thermal maturity history of the E1f2 source rocks in Well A was reconstructed using the Easy %Ro method [33]. Classified as Type I, oil-prone source rocks, the E1f2 shales were simulated for hydrocarbon generation using the Type I kinetic model established by Burnham (1989) [34]. These simulations employed the software’s default kinetic parameters and incorporated an average total organic carbon (TOC) content of 1.9%.
3.5. Reflectance Measurement
Reflectance measurements were performed on solid bitumen infilling pores within bedding-parallel calcite veins and on vitrinite from adjacent shale samples. For the bitumen-containing veins, polished thin sections were prepared, while the shale samples were crushed, mounted in epoxy resin, and polished into whole-rock blocks. Reflectance measurements were conducted using a Zeiss Axio Scope A1 microscope (Carl Zeiss Microscopy GmbH, Göttingen, Germany) under reflected white light with oil immersion objectives, coupled with a J&M MSP200 micro-spectrophotometer (J&M Analytik AG, Essingen, Germany). The system was calibrated using optically isotropic standards, including Leuco-Sapphire (0.589%Ro), Gadolinium-Gallium-Garnet (1.717%Ro), and Cubic-Zirconia (3.16%Ro). A minimum of fifty reflectance measurements were obtained for each sample. The bitumen reflectance (BRo) was converted to equivalent vitrinite reflectance (VRo-Eq) using the empirical equation proposed by Liu et al. (2017) [35]: VRo-Eq = 0.5992 × BRo + 0.3987.
4. Results
4.1. Bedding-Parallel Fractures Mineralized with Calcite
Core examinations show that the E1f2 shales exhibit multiple types of lithofacies, including structureless massive shales, felsic-band-rich shales, and laminated shales. Hand specimen observations reveal that bedding-parallel fractures are frequently developed within the E1f2 shale oil reservoirs (Figure 3a). They exhibit variable fill characteristics: some remain open, while others contain infillings of black solid bitumen. Calcite-filled bedding-parallel fractures are also present, appearing white to grayish-white and displaying sharp contacts with the adjacent host shales (Figure 3b). In terms of distribution, the veins exhibit two primary patterns: (1) continuous interlayering, or (2) independent, dispersed distribution. These bedding-parallel veins are characterized by significant lateral extent but narrow widths, typically ranging from tens of micrometers to several centimeters. It can be observed that the open bedding fractures or bedding-parallel veins that have been mineralized by calcite are predominantly hosted in the laminated shales. The laminated shales consist of cyclic, extremely thin light and dark laminae. Microscopic observations show that these cyclic laminae are primarily composed of cryptocrystalline calcareous laminae and organic-rich detrital clay laminae. Measured TOC values have indicated that the carbonate-rich laminated shale has a higher organic carbon content. Thin-section observations reveal that the characteristic fibrous structure of the bedding-parallel calcite veins is clearly visible (Figure 3c). This structure commonly features a dark median line composed of clay that traverses the entire vein length. The median line appears discontinuous, straight, or wavy. Fibrous calcite crystals on either side of the median line are tightly packed, growing perpendicular to the fracture walls and exhibiting an asymmetrical distribution. Individual fibrous crystals show optical continuity. The crystal growth within these veins is widely interpreted as a continuous process involving antitaxial growth [36,37]. Notably, black bitumen has impregnated the calcites developed within the bedding-parallel fractures of the E1f2 shales in the study area (Figure 3d). This indicates that fracture opening was closely synchronized with bitumen injection.
Figure 3.
Petrographic characteristics of bedding-parallel fractures in the E1f2 shale oil reservoir, Huazhuang area, Subei Basin. (a) Continuous laminae in the E1f2 shales, 3738.24 m; (b) Bedding-parallel fractures, partially open and partially sealed by calcite, 4239.49 m; (c,d) Paired transmitted light (c) and fluorescence (d) photomicrographs showing alternating cryptocrystalline calcareous and organic-rich detrital clay laminae in laminated shale, 3737.86 m; (e) Transmitted light photomicrograph showing a bedding-parallel mineralized fracture composed of fibrous calcite and a median line, 4123.86 m; (f) Fluorescence photomicrograph showing abundant impregnations of non-fluorescent bitumen within fibrous calcite crystals, 4137.88 m. TR = Transmitted light; UV = Ultraviolet fluorescence.
4.2. Fluid-Inclusion Petrography
In the Paleocene E1f2 shale oil reservoirs in the Huazhuang area, calcites filled in the bedding-parallel fractures have trapped abundant oil inclusions and bitumen inclusions, along with a minor number of aqueous inclusions. Furthermore, numerous oil inclusions are also observed within lenticular calcite veins. The oil inclusions are oriented perpendicular or sub-perpendicular to the contact surface between the vein and the host shale (Figure 4a–d), suggesting that they are distributed along the growth direction of the vein crystals. However, a significant number of oil inclusions also exhibit oblique or sub-parallel orientations, aligned along the arcuate surfaces of cone-in-cone calcite structures. Under transmitted light, oil inclusions within the veins exhibit a predominantly transparent to pale brown appearance and are typically characterized by two-phase (vapor-liquid) composition (Figure 4e,f). They exhibit varied morphologies, including ellipsoidal, elongated, or irregular shapes. The size range of the inclusions is remarkably diverse, with the smallest measuring around 1 μm and the largest reaching up to 30 μm.
Figure 4.
Petrographic characteristics of oil inclusions in calcite filling bedding-parallel fractures within the E1f2 shale oil reservoir, Huazhuang area, Subei Basin. (a,b) Paired transmitted light (TR) and ultraviolet fluorescence (UV) photomicrographs showing blue-green-fluorescent oil inclusions aligned along the growth direction of fibrous calcite. (c,d) Paired transmitted light (TR) and ultraviolet fluorescence (UV) photomicrographs demonstrating abundant oil inclusions within the calcite vein. (e,f) Paired transmitted light (TR) and ultraviolet fluorescence (UV) photomicrographs revealing two-phase (liquid + vapor) oil inclusions within the calcite vein, with coexisting bitumen inclusions observed adjacent to them.
Oil inclusions exhibit diagnostic fluorescence under ultraviolet (UV) light excitation, providing a rapid and effective means to differentiate them from aqueous inclusions [38]. This fluorescence arises from electronic transitions within conjugated π-bond systems and C=O functional groups present in aromatic hydrocarbons of the trapped organic matter; subsequent energy release via photon emission generates the observed fluorescence. The fluorescence color is primarily controlled by the size of individual aromatic molecules, while its intensity depends on the abundance of these conjugated systems and functional groups. As organic matter matures, thermal cracking of aromatic molecules and saturation of unsaturated bonds systematically alters fluorescence color along the sequence: red → orange → yellow → green → blue, corresponding to decreasing oil density [39]. Within the studied bedding-parallel calcite veins, oil inclusions predominantly display blue-green fluorescence. Micro-fluorescence spectroscopy confirms this observation, revealing a primary fluorescence emission peak wavelength clustered around 490 nm, with a minor secondary peak near 510 nm (Figure 5). This spectral signature indicates that the entrapped oil is medium-gravity oil. Applying established correlations between fluorescence color and API gravity further constrains the API gravity of the trapped oil to between 35° and 40°, which is closely aligned with that of currently produced shale oil.
Figure 5.
Microscopic fluorescence spectra of oil inclusions occurring within calcite that fills bedding-parallel fractures in the E1f2 shale oil reservoir, Huazhuang area, Subei Basin.
4.3. Fluid-Inclusion Microthermometry
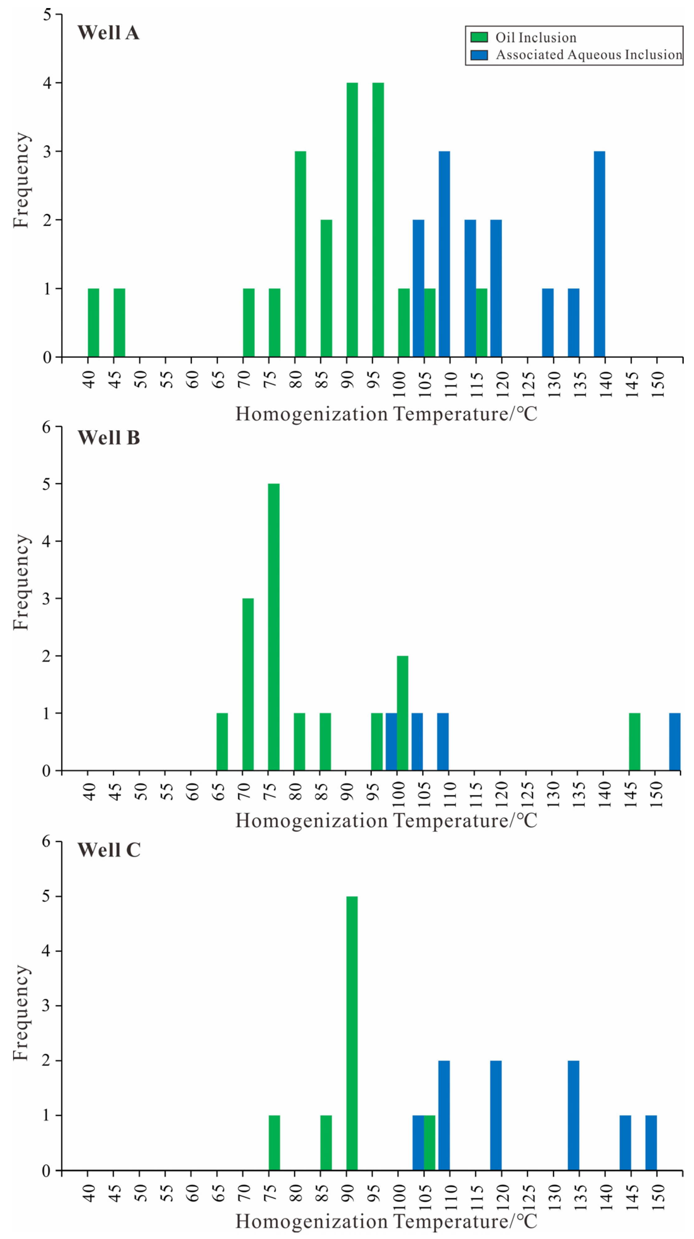
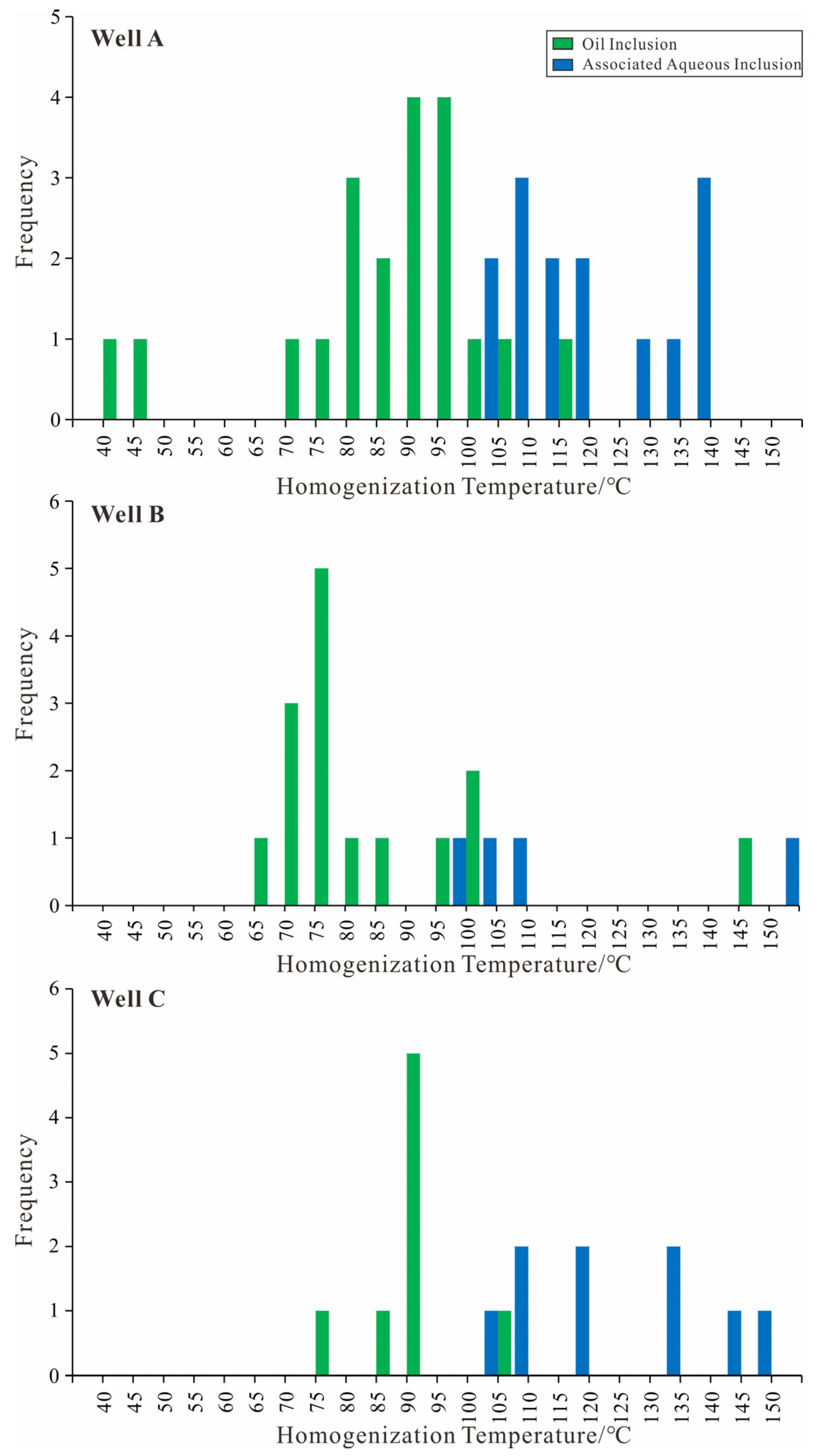
Microthermometric analysis of fluid inclusions in the bedding-parallel calcite veins from the E1f2 shales was conducted on three wells (A, B, C) in the Huazhuang area, Subei Basin (Figure 6). In Well A, oil inclusions exhibit homogenization temperatures (Th) ranging from 43.2 °C to 118.3 °C, with the majority clustered between 80 °C and 100 °C. Coexisting aqueous inclusions yield Th values of 104.3 °C to 139.4 °C. The Well B displays oil-inclusion Th values spanning 66.8 °C to 147 °C (though primarily concentrated between 65 °C and 90 °C), while coexisting aqueous inclusions record Th values from 99.6 °C to 155.2 °C. In Well C, oil-inclusion Th values range from 77.2 °C to 105.3 °C, with coeval aqueous inclusions measuring 103.9 °C to 146 °C. Collectively, microthermometric analysis of aqueous inclusions across all three wells reveals homogenization temperatures uniformly distributed between approximately 100 °C and 155 °C, corresponding well with the oil generation window. In contrast, oil-inclusion Th values demonstrate significantly greater dispersion (43.2 °C to 147 °C), suggesting potential differential pressure effects influencing their homogenization temperatures.
Figure 6.
Histograms of homogenization temperatures for oil inclusions and coeval aqueous inclusions hosted in calcite that fills bedding-parallel fractures within the E1f2 shale oil reservoir, Wells A, B, and C, Huazhuang area, Subei Basin.
In bedding-parallel calcite veins from Well A, aqueous fluid inclusions exhibit ice-melting temperatures of −6.8 to −1.5 °C, indicating salinities of 2.6–10.2 wt% NaCl equivalent. Well B calcite veins record aqueous inclusion ice-melting temperatures spanning −4.2 to −2.9 °C, translating to salinities of 4.8–6.7 wt% NaCl equivalent. Conversely, aqueous inclusions in Well C veins show ice-melting temperatures between −3.2 and −2.4 °C, yielding salinities of 4.0–5.3 wt% NaCl equivalent. Together, the fluid-inclusion cooling measurements demonstrate that vein-forming pore waters were brackish to saline, likely originating as connate pore waters modified diagenetically during burial.
4.4. Fluid-Inclusion Paleo-Pressure Modeling
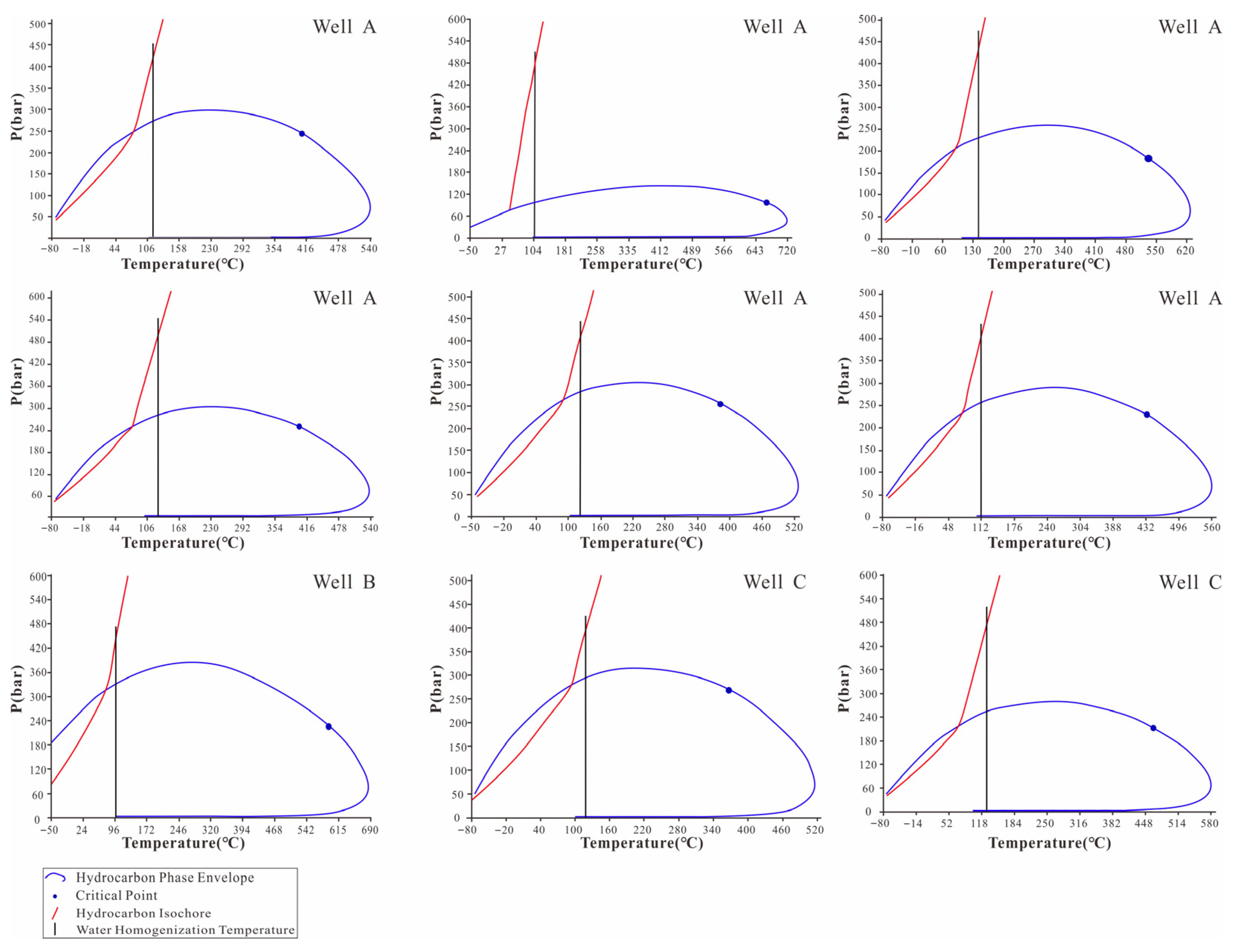
Based on compositional and microthermometric data from fluid-inclusion analysis, the thermobarometric behavior of fluids trapped in oil inclusions was reconstructed. The composition of the oil inclusions was determined using the gas–liquid ratio measured by confocal laser scanning microscopy (CLSM) and homogenization temperatures. We measured the gas–liquid ratios of nine oil inclusions within bedding-parallel calcite veins from three wells (A, B, and C) in the Huazhuang area. These inclusions were selected as they met all established criteria for non-reequilibration. A series of two-dimensional (2D) thin sections scanned by CLSM were used to reconstruct three-dimensional (3D) volumetric models of the oil inclusions. The results show that the gas–liquid ratios of these oil inclusions range from 1.3% to 14.1%. The modeled oil compositions, combined with the homogenization temperatures of coeval aqueous inclusions, yield trapping paleo-pressures for the oil inclusions ranging from 37.9 to 48.4 MPa (Figure 7). Data from the PVTx thermodynamic modeling of petroleum inclusions are summarized in Table 1.
Figure 7.
Thermodynamic modeling pressure-temperature (P-T) phase diagram of petroleum inclusions within calcite that fills bedding-parallel fractures within the E1f2 shale oil reservoir, Huazhuang area, Subei Basin.
Table 1.
Parameters and results of petroleum-inclusion thermodynamic modeling for bedding-parallel calcite veins within the E1f2 shale oil reservoir, Huazhuang area, Subei Basin.
4.5. Burial and Hydrocarbon Generation History
This study reconstructed the 1-D burial and hydrocarbon generation histories of the Well A in the Huazhuang area, Subei Basin, using PetroMod 1-D software. The burial history modeling results reveal that the Huazhuang area experienced two subsidence phases and one uplift phase (Figure 8a), forming a subsidence-uplift-resubsidence cycle. The first subsidence stage involved continuous subsidence throughout the Eocene, primarily associated with active rifting and extension (Figure 8d). This phase of rapid subsidence was interrupted until the Oligocene by the Sanduo Movement—driven by the collision of the Indian and Eurasian plates [22]. This associated tectonic uplift lasted for a considerable duration, exceeding 10 Ma, resulting in regional erosion (Figure 8d). Since the Miocene, the study area has entered a phase of renewed subsidence, which persists to the present day.
Figure 8.
(a) 1-D burial-thermal-maturity history of Well A in the Huazhuang area; (b) Timing of bedding-parallel fracture opening constrained by homogenization temperatures of fluid inclusions; (c) Modeled oil generation history for the organic-rich E1f2 shale; (d) Regional tectonic evolution.
The thermal history of the study area adopted a paleo-heat flow trend from previous study [40] and was calibrated using measured vitrinite reflectance (%Ro) data. Our reconstructed temperature history indicates that the maximum burial temperature experienced by the studied E1f2 shales occurred at present (Figure 8a). The maturity evolution history was simulated and reconstructed using the built-in chemical kinetic model. Maturity history simulation results show that by the middle Eocene, the burial temperature of the E1f2 shale had approached approximately 100 °C, marking its entry into the early oil window. Continued burial during the late Eocene further increased the temperature of the E1f2 shale, propelling it further into the peak oil generation stage. The oil generation history for the E1f2 shale was established by integrating the chemical kinetic model with measured organic geochemical parameters. The modeled results reveal an episode of peak oil generation occurring approximately between 44 Ma and 32 Ma in the Huazhuang area (Figure 8c). A comparison with regional tectonic evolution indicates that the large-scale uplift associated with the Sanduo Movement interrupted oil generation (Figure 8c,d). Subsequently, the basin entered a phase of post-rift slow subsidence. Although reburial occurred, it resulted in only a slight increase in the maturity of the E1f2 shale, which was insufficient to initiate a second hydrocarbon generation episode. Therefore, the E1f2 shale in the study area experienced only one oil generation period, during the Middle to Late Eocene.
4.6. Reflectance
The studied shales exhibit a measured vitrinite reflectance (VRo) range of 0.85–1.04% (Table 2), which lies within the oil window, confirming their oil-generating potential and classifying them as competent source rocks. Thin-section observations reveal dark brown solid bitumen within bedding-parallel fibrous calcite veins (Figure 9). The bitumen generated from the transformation of oil-prone organic matter to hydrocarbons during thermal maturation [41]. Measured bitumen reflectance (Ro%) ranges from 0.83% to 1.27%, equivalent to vitrinite reflectance (VRo-Eq) of 0.90% to 1.16%. This range is similar to the measured vitrinite reflectance (0.85–1.04%) of the host shales.
Table 2.
Reflectance results of bitumen within bedding-parallel veins and vitrinite in E1f2 shales from Well A, Huazhuang area, Subei Basin.
Figure 9.
Photomicrograph showing solid bitumen within bed-parallel calcite veins. RL = reflected light; TR = transmitted light.
5. Discussion
5.1. Controversy over Bedding-Parallel Fracture Opening
Bedding-parallel fractures are widely observed in sedimentary basins, particularly within low-permeability, organic-rich shales. Nevertheless, substantial controversies persist regarding multiple aspects of these fractures, including their opening mechanisms, boundary conditions (e.g., temperature and pressure), timing of formation, and the driving forces responsible for fracture dilation. Current interpretations propose two primary mechanisms for initial fracturing along bedding planes in shales: (1) fluid overpressure [42] and (2) tectonic lateral compression [43].
A prevailing view holds that fluid overpressure likely constitutes the dominant factor initiating bedding-parallel fractures, particularly in organic-rich shales where anomalous fluid pressures may arise from hydrocarbon generation or water expulsion during clay diagenesis [44]. The reorientation of the maximum effective stress vector to a horizontal position enables horizontal vein development in tectonically quiescent sedimentary basins. This process is fundamentally driven by vertical gradients in fluid overpressure, which induce upward pore fluid migration. The resultant seepage forces acting upon the skeletal framework grains of the sediment ultimately trigger fracture opening.
Rapid burial-induced compaction disequilibrium and hydrocarbon-generation pressurization represent two primary independent mechanisms generating large-scale overpressure. Current scholarly consensus posits that the opening of bedding-parallel fractures is intrinsically linked to hydrocarbon generation processes within source rocks [45]. Volumetric expansion and significant pressure increase resulting from kerogen hydrocarbon generation and expulsion induce rock fracturing. This interpretation is principally evidenced by the widespread occurrence of hydrocarbon inclusions—such as bitumen and oil inclusions—within numerous calcite veins. Empirical studies further document that bedding-parallel calcite veins preferentially develop within mature, organic-rich shale intervals. Moreover, both the frequency of bedding-parallel calcite veins and cumulative vein thickness exhibit varying degrees of increase with advancing thermal maturity. These observations collectively indicate that hydrocarbon generation plays a governing role in the development of bedding-parallel calcite veins.
Nevertheless, although bedding-parallel veins exhibit higher frequency in organic-rich shales, regression fitting reveals low correlation coefficients between vein parameters (single-layer thickness, cumulative thickness per meter, vein count) and TOC content [46]. Furthermore, the presence of bedding-parallel calcite veins has been documented in thermally immature shales (Ro < 0.5%).
Alternatively, many bedding-parallel fractures initiate during tectonic compression, as they frequently occur in foreland basins or sedimentary basins that have undergone tectonic inversion. Documented examples include the Wessex Basin in southern England [47] and the Bristol Channel Basin of England and Wales [48]. Physical modeling experiments show that bedding-parallel fractures can develop under lateral tectonic compression. This is corroborated by field and core observations revealing mini thrust faults within bedding-parallel calcite veins. In either overpressured or shallow-buried rocks, increased lateral stresses reorient the maximum compressive stress into a horizontal direction, ultimately triggering the opening of bedding-parallel fractures. Consequently, tectonic compression is also recognized as a significant genetic factor for bedding-parallel fracture opening.
This ongoing debate underscores a critical research gap: the lack of direct paleo-pressure evidence to constrain fracture opening mechanisms. Previous evidence supporting hydrocarbon-generation-induced fracturing has primarily relied on qualitative observations, such as the presence of bitumen or oil inclusions within fractures, and statistical correlations between fracture density and geochemical parameters (e.g., TOC and Ro). Demonstrating that hydrocarbon generation produced sufficient overpressure to exceed the fracture threshold would provide strong support for this mechanism. Conversely, the absence of such evidence would require alternative explanations. This work employs quantitative PVTx paleo-pressure reconstruction to offer a direct approach to assess the magnitude of oil-generation-induced overpressure in driving fracture formation. This study applies quantitative PVTx paleo-pressure reconstruction to directly assess the magnitude of oil-generation-induced overpressure in driving fracture formation. In addition, the timing of fracture opening in the study area is compared with regional tectonic and burial diagenetic events to evaluate potential contributions from tectonic compression or other burial-related pressurization mechanisms to the opening of bedding-parallel fractures.
5.2. Oil Generation-Driven Bedding-Parallel Fracture Opening
Solid bitumen is present within fibrous calcite veins that fill bedding-parallel fractures in the shales (Figure 3f and Figure 9), indicating hydrocarbon migration into opening fractures contemporaneous with calcite precipitation. This interpretation is further supported by the abundant occurrence of oil and bitumen inclusions within the bedding-parallel calcite veins. Fluorescence spectroscopy of oil inclusions indicates API gravity values comparable to those of currently produced shale oil, suggesting that these oil inclusions represent a record of shale oil generation. Notably, some of these oil inclusions are distributed along the growth zones of the vein crystals, suggesting a primary origin. Consequently, these oil inclusions were likely trapped during fracture opening and concurrent calcite crystallization. In addition, bitumen is occasionally observed along the median line of the veins—representing the initial fracture plane—implying a genetic relationship between hydrocarbon fluids and the early-stage fracturing of the shale. These hydrocarbon fluids could have been derived either from external migration or from in situ generation within the source rock.
Vitrinite reflectance values of the E1f2 shales range from 0.85% to 1.04%, which is consistent with the oil window and indicates potential for liquid hydrocarbon generation during burial. Moreover, the thermal maturity of the shales corresponds broadly to the equivalent reflectance of bitumen within the calcite veins. These observations collectively suggest that the crude oil present in the shale reservoirs is likely derived from in situ hydrocarbon generation within the local shales, rather than from migration of externally sourced oil. Therefore, local hydrocarbon generation drove the initial fracturing that formed the bedding-parallel fractures.
Further evidence comes from the timing of oil inclusion entrapment within the veins, which aligns with the modeled hydrocarbon generation period of the local source rocks (Figure 8b,c). This correlation confirms that fracture opening was associated with local hydrocarbon generation rather than the migration of externally sourced overpressured oil-bearing fluids. Fluid-inclusion microthermometry shows that homogenization temperatures (Th) of aqueous inclusions in the bedding-parallel veins range from ~100 °C to 150 °C. In methane-saturated systems—common in petroliferous basins, especially within organic-rich shales—Th values closely approximate the true trapping temperature. Thus, the Th data obtained in this study can be directly linked to fluid temperature and integrated with the burial-thermal history of the Huazhuang area to constrain the timing of oil inclusion entrapment and coeval fracture opening. For calcite veins from Well A, temperature-derived timing of oil emplacement to bedding-parallel fractures is constrained to 46.2–37.8 Ma (Figure 8b), closely matching the numerically modeled peak hydrocarbon generation period of approximately 44–32 Ma (Figure 8c). This correspondence conclusively demonstrates that the opening of the bedding-parallel fractures occurred during the local oil generation.
Reconstructed paleo-pressure values of oil inclusions within calcite that fills bedding-parallel fractures in the E1f2 shale samples across three wells in the Huazhuang area range between 37.9 and 48.4 MPa (Table 1). Comparison with hydrostatic pressure corresponding to the paleo-depth inferred from fluid-inclusion homogenization temperatures integrated with burial history reconstruction indicates paleo-pressure coefficients ranging from 1.35 to 2.36, with most exceeding 1.55, demonstrating moderate to strong overpressure. This provides direct evidence that the bedding-parallel fractures were dilated by excess pore pressure induced by local hydrocarbon generation.
In organic-rich shales, the thermal maturation of kerogen into oil and gas under specific pressure and temperature conditions results in a volume increase of 10–20%, thereby generating overpressure [49]. This overpressure magnitude is recognized as being sufficiently high to fracture the source rock. Upon reaching a critical stress state, overpressure triggers the initiation and propagation of microfractures [50]. This process significantly enhances primary hydrocarbon migration.
It is critical to note that the bedding-parallel fractures in the studied area cannot be attributed to tectonic compression. The primary tectonic compression event in the Subei Basin occurred during the Oligocene Sanduo Movement. However, the timing of fracture opening, as determined by fluid inclusion homogenization temperatures, does not coincide with this event (Figure 8b,d). Instead, the fractures formed when the shale was already at a middle to deep burial depth. The overpressure that drove fracturing was primarily generated by hydrocarbon generation, with a potential secondary contribution from disequilibrium compaction due to rapid sedimentation.
This study proposes that the lithofacies types and structural characteristics of shale influence the development of bedding-parallel fractures. In the E1f2 shale interval, bedding-parallel fractures are predominantly developed in carbonate-rich laminated shales, as opposed to structureless massive shales or felsic-band-rich shales. This suggests that both the laminated sedimentary structure and compositional features play a controlling role in the formation of bedding-parallel fractures. Such laminated shales are typically highly heterogeneous, characterized by interlayered clay and microcrystalline carbonate laminae. Variations in sedimentary composition create micro-laminae that serve as preferential weak surfaces for the initiation and propagation of bedding-parallel fractures.
Although felsic-band-rich shales also exhibit compositional and structural heterogeneity, their organic matter content is comparatively low. In contrast, carbonate-rich laminated shales possess higher organic matter abundance, which directly enhances hydrocarbon generation potential. This, in turn, affects the magnitude of overpressure resulting from fluid expansion during hydrocarbon generation. Additionally, organic acids derived from hydrocarbon formation can dissolve microcrystalline carbonate laminae, thereby supplying the necessary material for subsequent calcite infilling within bedding-parallel fractures.
Fluid overpressure created by oil generation, migrating along and charging these bedding-parallel fractures within the shale reservoir, causes their progressive opening (Figure 10). Critically, the overlying and underlying thin, sheet-like shale intervals act as effective top and bottom seals. This sealing configuration confines and directs hydrocarbon-bearing fluids towards injection into the opened bedding planes. Consequently, this geological setting enables the establishment of a high-quality shale oil system within the organic-rich shale, forming an integrated self-sourcing and self-storing source-reservoir unit.
Figure 10.
Opening model of bedding-parallel fractures in laminated organic-rich shales of the Funing Formation (E1f2), Subei Basin. When organic-rich shale is buried into the oil window, overpressured fluids generated by kerogen cracking induce hydraulic fracturing. The overpressured fluids open fractures along bedding planes. Following pressure decline, calcite precipitates and fills the fractures.
6. Conclusions
(1) Abundant bedding-parallel fractures are developed within the E1f2 shales of the Gaoyou Sag, Subei Basin. These fractures are frequently filled with either bitumen or calcite. The bedding-parallel calcite veins typically consist of fibrous crystals and a dark median line. The vein calcites often contain solid bitumen. Furthermore, the calcite hosts abundant oil inclusions aligned along crystal growth zones. These petrographic features preserve clear evidence of oil migration into the opened bedding-parallel fracture.
(2) Measured vitrinite reflectance range of 0.85% to 1.04% confirms the oil-generating potential of the E1f2 shale, characterizing it as a competent source rock within the oil window. Homogenization temperatures of aqueous inclusions associated with oil inclusions in bedding-parallel calcite veins fall within the oil-window temperature range. Integration of these temperatures with burial history modeling constrains the timing of oil migration and concurrent fracture opening to a period closely corresponding to the peak hydrocarbon generation phase of the local source rocks. Furthermore, bitumen within the veins shows thermal maturity similar to that of the host shale. These lines of evidence collectively suggest that in situ hydrocarbon generation within the E1f2 shale produced crude oil, which accumulated and drove the opening of bedding-parallel fractures, rather than having been supplied by external oil migration. Moreover, the timing of fracture opening is distinctly earlier than the Oligocene Sanduo tectonic movement, precluding tectonic compression as the primary driver for the formation of these bedding-parallel fractures.
(3) Oil-inclusion paleo-pressure modeling indicates that the bedding-parallel fractures opened under pore fluid pressures ranging from 37.9 to 48.4 MPa, corresponding to paleo-pressure coefficients of 1.35–2.36 (with the majority exceeding 1.55). This finding provides compelling evidence that fracture dilation occurred under moderate to strong overpressure conditions, confirming hydrocarbon generation-induced overpressure as the principal driver of bedding-parallel fracture opening. It should be noted, however, that uncertainties in the predicted composition of oil inclusions in thermodynamic modeling may introduce some degree of error into the pressure simulations.
Author Contributions
Conceptualization, A.S.; methodology, X.L.; software, X.W.; investigation, X.L.; data curation, X.W.; writing—original draft preparation, Z.W.; writing—review and editing, A.S., D.X. and X.L.; supervision, A.S.; project administration, D.X.; funding acquisition, D.X. All authors have read and agreed to the published version of the manuscript.
Funding
This research was supported by the Sinopec Key Laboratory Special Project (Grant No. KLP24011); the Sinopec Science and Technology Research Project (Grant No. P24219); and the Open Research Fund of National Energy Shale Oil Research and Development Center (China) (Grant No. 33550000-24-ZC0613-0004).
Data Availability Statement
The original contributions presented in this study are included in the article. Further inquiries can be directed to the corresponding author(s).
Conflicts of Interest
The authors declare no conflicts of interest.
References
- Meng, Q.; Hao, F.; Tian, J. Origins of non-tectonic fractures in shale. Earth-Sci. Rev. 2021, 222, 103825. [Google Scholar] [CrossRef]
- Meng, Q.; Hooker, J.; Cartwright, J. Early overpressuring in organic-rich shales during burial: Evidence from fibrous calcite veins in the Lower Jurassic Shales-with-Beef Member in the Wessex Basin, UK. J. Geol. Soc. 2017, 174, 869–882. [Google Scholar] [CrossRef]
- Hooker, J.N.; Abu-Mahfouz, I.S.; Meng, Q.; Cartwright, J. Fractures in mudrocks: Advances in constraining timing understanding mechanisms. J. Struct. Geol. 2019, 125, 166–173. [Google Scholar] [CrossRef]
- Gasparrini, M.; Sassi, W.; Gale, J.F.W. Natural sealed fractures in mudrocks: A case study tied to burial history from the Barnett Shale Fort Worth Basin Texas, USA. Mar. Pet. Geol. 2014, 55, 122–141. [Google Scholar] [CrossRef]
- Luan, G.; Dong, C.; Azmy, K.; Lin, C.; Ma, C.; Ren, L.; Zhu, Z. Origin of bedding-parallel fibrous calcite veins in lacustrine black shale: A case study from Dongying Depression, Bohai Bay Basin. Mar. Pet. Geol. 2019, 102, 873–885. [Google Scholar] [CrossRef]
- Lu, H.; Cao, S.; Dong, S.; Lyu, W.; Zeng, L. Control of lamination on bedding-parallel fractures in tight sandstone reservoirs: The seventh member of the upper Triassic Yanchang Formation in the Ordos Basin, China. Front. Earth Sci. 2024, 12, 1428316. [Google Scholar] [CrossRef]
- Ma, C.; Dong, C.; Elsworth, D.; Wang, Q.; Huang, Z.; Liu, H.; He, Y. Insights from electron backscatter diffraction into the origin of fibrous calcite veins in organic-rich shale from lower Es3 to upper Es4, Jiyang Depression, China. Mar. Pet. Geol. 2020, 113, 104131. [Google Scholar] [CrossRef]
- Zhang, J.; Jiang, Z.; Jiang, X.; Wang, S.; Liang, C.; Wu, M. Oil generation induces sparry calcite formation in lacustrine mudrock, Eocene of east China. Mar. Pet. Geol. 2016, 71, 344–359. [Google Scholar] [CrossRef]
- Su, A.; Bons, P.D.; Chen, H.; Feng, Y.X.; Zhao, J.X.; Song, J. Age, material source, and formation mechanism of bedding-parallel calcite beef veins: Case from the mature Eocene lacustrine shales in the Biyang Sag, Nanxiang Basin, China. GSA Bull. 2022, 134, 1811–1833. [Google Scholar] [CrossRef]
- Cobbold, P.R.; Zanella, A.; Rodrigues, N.; Løseth, H. Bedding-parallel fibrous veins (beef and cone-in-cone): Worldwide occurrence and possible significance in terms of fluid overpressure, hydrocarbon generation and mineralization. Mar. Pet. Geol. 2013, 43, 1–20. [Google Scholar] [CrossRef]
- Zhang, J.; Jiang, Z.; Wang, S.; Wang, R.; Zhang, Y.; Du, W. Bedding-parallel calcite veins as a proxy for shale reservoir quality. Mar. Pet. Geol. 2021, 127, 104975. [Google Scholar] [CrossRef]
- Sun, B.; Liu, X.P.; Liu, J.; Liu, Q.D.; Duan, H.L.; Liu, S.L.; Gao, X.; Xing, Y.J. Lacustrine shale oiliness influenced by diabase intrusions in the Paleogene Funing Formation, Subei Basin, China. Pet. Sci. 2023, 20, 2683–2694. [Google Scholar] [CrossRef]
- Zhang, P.; Yin, Y.; Lu, S.; Wang, J.; Zhang, J.; Zhi, Q.; Huang, H. Key factors controlling oil contents in different lithofacies shales from the Funing Formation, Subei Basin: Evidence from scanning electron microscopy. Geoenergy Sci. Eng. 2023, 229, 212115. [Google Scholar] [CrossRef]
- Fan, X.; Lu, Y.; Liu, Z.; Lu, Y.; Zhang, J.; Deng, K.; Zhou, T.; Tai, H.; Li, L. Lacustrine shale lithofacies and depositional environment in the paleocene second member of the funing formation, subei basin, China: Insights into shale oil development prospects. Mar. Pet. Geol. 2024, 164, 106849. [Google Scholar] [CrossRef]
- Su, A.; Chen, H.; Feng, Y.X.; Zhao, J.X.; Liu, Q. Igneous intrusion drives in-reservoir oil thermal cracking: A case from the Subei Basin, eastern China. AAPG Bull. 2024, 108, 2045–2072. [Google Scholar] [CrossRef]
- Liu, Y.; Chen, Q.H.; Hu, K.; Wang, X.; Gao, F. Comparison of the Bohai Bay Basin and Subei-South Yellow Sea Basin in the structural characteristics and forming mechanism. Geotecton. Metallog. 2014, 38, 38–51, (In Chinese with English Abstract). [Google Scholar]
- Chen, A.D. Tectonic features of the Subei Basin and the forming mechanism of its dustpan-shaped fault depression. Oil Gas Geol. 2010, 31, 140–150, (In Chinese with English Abstract). [Google Scholar]
- Liu, Y.; Chen, Q.; Wang, X.; Hu, K.; Cao, S.; Wu, L.; Gao, F. Influence of normal fault growth and linkage on the evolution of a rift basin: A case from the Gaoyou depression of the Subei Basin, eastern China. AAPG Bull. 2017, 101, 265–288. [Google Scholar] [CrossRef]
- Zan, L.; Luo, W.F.; Yin, Y.L.; Jing, X.M. Formation conditions of shale oil and favorable targets in the second member of Paleogene funing Formation in Qintong sag, Subei Basin. Pet. Geol. Exp. 2021, 43, 233–241. [Google Scholar]
- Liu, X.; Jin, Z.; Lai, J.; Fan, X.; Guan, M.; Shu, H.; Wang, G.; Liu, M.; Luo, Y. Fractal behaviors of NMR saturated and centrifugal T2 spectra in oil shale reservoirs: The Paleogene Funing formation in Subei basin, China. Mar. Pet. Geol. 2021, 129, 105069. [Google Scholar] [CrossRef]
- Guan, M.; Liu, X.; Jin, Z.; Lai, J.; Liu, J.; Sun, B.; Liu, T.; Hua, Z.; Xu, W.; Shu, H.; et al. Quantitative characterization of various oil contents and spatial distribution in lacustrine shales: Insight from petroleum compositional characteristics derived from programed pyrolysis. Mar. Pet. Geol. 2022, 138, 105522. [Google Scholar] [CrossRef]
- Lee, T.Y.; Lawver, L.A. Cenozoic plate reconstruction of Southeast Asia. Tectonophysics 1995, 251, 85–138. [Google Scholar] [CrossRef]
- Qiu, X.; Chen, W.; Li, H.; Duan, H. Strike-slip structures and hydrocarbon accumulation in complex fault blocks in Subei Basin. Pet. Geol. Exp. 2023, 45, 393–401, (In Chinese with English Abstract). [Google Scholar]
- Rui, X.; Zhou, Y.; Li, Z.; Zhang, Q. Characteristics of source rocks and reservoirs of the Funing Formation in the Subei Basin and their bearing on future shale oil exploration. Mar. Geol. Quat. Geol. 2020, 40, 133–145, (In Chinese with English Abstract). [Google Scholar]
- Yao, H.S.; Zan, L.; Gao, Y.Q.; Hua, C.X.; Yu, W.R.; Luo, W.F.; Ma, X.D. Main controlling factors for the enrichment of shale oil and significant discovery in second member of Paleogene Funing Formation, Qintong Sag, Subei Basin. Pet. Geol. Exp. 2021, 43, 776–783. [Google Scholar]
- Yun, L.; He, X.P.; Hua, C.X.; Zan, L. Accumulation characteristics and resource potential of Paleogene continental shale oil in Qintong sag of Subei Basin. Acta Pet. Sin. 2023, 44, 176–187. [Google Scholar]
- Bourdet, J.; Pironon, J.; Levresse, G.; Tritlla, J. Petroleum accumulation and leakage in a deeply buried carbonate reservoir, 558 Níspero field (Mexico). Mar. Pet. Geol. 2010, 27, 126–142. [Google Scholar] [CrossRef]
- Su, A.; Chen, H.; Feng, Y.X.; Zhao, J.X. LA-ICP-MS U-Pb dating and geochemical characterization of oil inclusion-bearing calcite cements: Constraints on primary oil migration in lacustrine mudstone source rocks. GSA Bull. 2022, 134, 2022–2036. [Google Scholar] [CrossRef]
- Li, C.; Qian, S.; Zheng, Y. Paleopressure during Hydrocarbon Charging and Its Evolution in the Funing Formation of the Gaoyou Sag, Subei Basin, Eastern China. Minerals 2024, 14, 821. [Google Scholar] [CrossRef]
- Su, A.; Chen, H.; Lei, M.; Li, Q.; Wang, C. Paleo-pressure evolution and its origin in the Xihu slope belt of the Xihu Depression, East China Sea Basin. Mar. Pet. Geol. 2019, 107, 198–213. [Google Scholar] [CrossRef]
- Zhang, P.; Zhou, Z.; Xu, C. Thermo-tectonic history of the Lower Yangtze area since Late Cretaceous: Evidence from apatite fission track analysis of sandstones from Pukou Formation. Offshore Oil 2009, 29, 574–579, (In Chinese with English Abstract). [Google Scholar]
- Liu, X.P.; Yang, L.G.; Xu, J. Restoration of Eocene Erosion thickness in Gaoyou sag. Xinjiang Pet. Geol. 2004, 25, 128–130. [Google Scholar]
- Sweeney, J.J.; Burnham, A.K. Evaluation of a simple model of vitrinite reflectance based on chemical kinetics. AAPG Bull. 1990, 74, 1559–1570. [Google Scholar] [CrossRef]
- Burnham, A.K.; Sweeney, J.J. A chemical kinetic model of vitrinite maturation and reflectance. Geochim. Cosmochim. Acta 1989, 53, 2649–2657. [Google Scholar] [CrossRef]
- Liu, B.; Schieber, J.; Mastalerz, M. Petrographic and micro-FTIR study of organic matter in the Upper Devonian New Albany Shale during thermal maturation: Implications for kerogen transformation. In Mudstone Diagenesis: Research Perspectives for Shale Hydrocarbon Reservoirs, Seals, and Source Rocks; AAPG Memoir: Tulsa, OK, USA, 2019; pp. 165–188. [Google Scholar]
- Bons, P.D.; Montenari, M. The formation of antitaxial calcite veins with well-developed fibres, Oppaminda Creek, South Australia. J. Struct. Geol. 2005, 27, 231–248. [Google Scholar] [CrossRef]
- Bons, P.D.; Jessell, M.W. Experimental simulation of the formation of fibrous veins by localised dissolution-precipitation creep. Mineral. Mag. 1997, 61, 53–63. [Google Scholar] [CrossRef]
- Blamey, N.J.; Ryder, A.G. Hydrocarbon fluid inclusion fluorescence: A review. In Reviews in Fluorescence 2007; Springer: New York, NY, USA; pp. 299–334.
- George, S.C.; Ruble, T.E.; Dutkiewicz, A.; Eadington, P.J. Assessing the maturity of oil trapped in fluid inclusions using mo- lecular geochemistry data and visually-determined fluorescence colours. Appl. Geochem. 2001, 16, 451–473. [Google Scholar] [CrossRef]
- Bao, H.Y.; Guo, Z.F.; Huang, Y.P.; Zhang, L.L. Tectonic-Thermal Evolution of the Subei Basin since the Late Cretaceous. Geol. J. China Univ. 2013, 19, 574–579. [Google Scholar]
- Curiale, J.A. Origin of solid bitumens, with emphasis on biological marker results. Org. Geochem. 1986, 10, 559–580. [Google Scholar] [CrossRef]
- Cobbold, P.R.; Rodrigues, N. Seepage forces, important factors in the formation of horizontal hydraulic fractures and bedding-parallel fibrous veins (‘beef’ and ‘cone-in-cone’). Geofluids 2007, 7, 313–322. [Google Scholar] [CrossRef]
- Ukar, E.; Lopez, R.G.; Gale, J.F.; Laubach, S.E.; Manceda, R. New type of kinematic indicator in bed-parallel veins, Late Jurassic–Early Cretaceous Vaca Muerta Formation, Argentina: EW shortening during Late Cretaceous vein opening. J. Struct. Geol. 2017, 104, 31–47. [Google Scholar] [CrossRef]
- Hart, B.S.; Schieber, J.; Kalinec, J. Clay diagenesis and overpressure development in Upper Cretaceous and Tertiary shales of South Texas. Mar. Pet. Geol. 2023, 147, 105978. [Google Scholar] [CrossRef]
- Rodrigues, N.; Cobbold, P.R.; Loseth, H.; Ruffet, G. Widespread bedding-parallel veins of fibrous calcite (‘beef’) in a mature 587 source rock (Vaca Muerta Fm, Neuquén Basin, Argentina): Evidence for overpressure and horizontal compression. J. Geol. Soc. 2009, 166, 695–709. [Google Scholar] [CrossRef]
- Weger, R.J.; Murray, S.T.; McNeill, D.F.; Swart, P.K.; Eberli, G.P.; Blanco, L.R.; Rueda, L.E. Paleothermometry and distribution of calcite beef in the Vaca Muerta Formation, Neuquén Basin, Argentina. AAPG Bull. 2019, 103, 931–950. [Google Scholar] [CrossRef]
- Zanella, A.; Cobbold, P.R.; de Veslud, C.L.C. Physical modelling of chemical compaction, overpressure development, hydraulic fracturing and thrust detachments in organic-rich source rock. Mar. Pet. Geol. 2014, 55, 262–274. [Google Scholar] [CrossRef]
- Meng, Q.; Hooker, J.; Cartwright, J. Genesis of natural hydraulic fractures as an indicator of basin inversion. J. Struct. Geol. 2017, 102, 1–20. [Google Scholar] [CrossRef]
- Spencer, C.W. Hydrocarbon generation as a mechanism for overpressuring in Rocky Mountain region. AAPG Bull. 1987, 71, 368–388. [Google Scholar] [CrossRef]
- Su, A.; Chen, H.; Feng, Y.X.; Zhao, J.X.; Nguyen, A.D. Multistage fracturing history in the Paleocene lacustrine shale oil reservoirs of the Subei Basin, Eastern China. Mar. Pet. Geol. 2022, 144, 105835. [Google Scholar] [CrossRef]
Disclaimer/Publisher’s Note: The statements, opinions and data contained in all publications are solely those of the individual author(s) and contributor(s) and not of MDPI and/or the editor(s). MDPI and/or the editor(s) disclaim responsibility for any injury to people or property resulting from any ideas, methods, instructions or products referred to in the content. |
© 2025 by the authors. Licensee MDPI, Basel, Switzerland. This article is an open access article distributed under the terms and conditions of the Creative Commons Attribution (CC BY) license (https://creativecommons.org/licenses/by/4.0/).









