Simulation of the Influence of DC Electric Field Generators with Space Charges on Electric Field Calibration
Abstract
1. Introduction
2. Mathematical Theory and Simulation Model
2.1. Apparatus and Principle
2.2. Simulation Model of the Calibration Apparatus
3. Simulation Results and Analysis
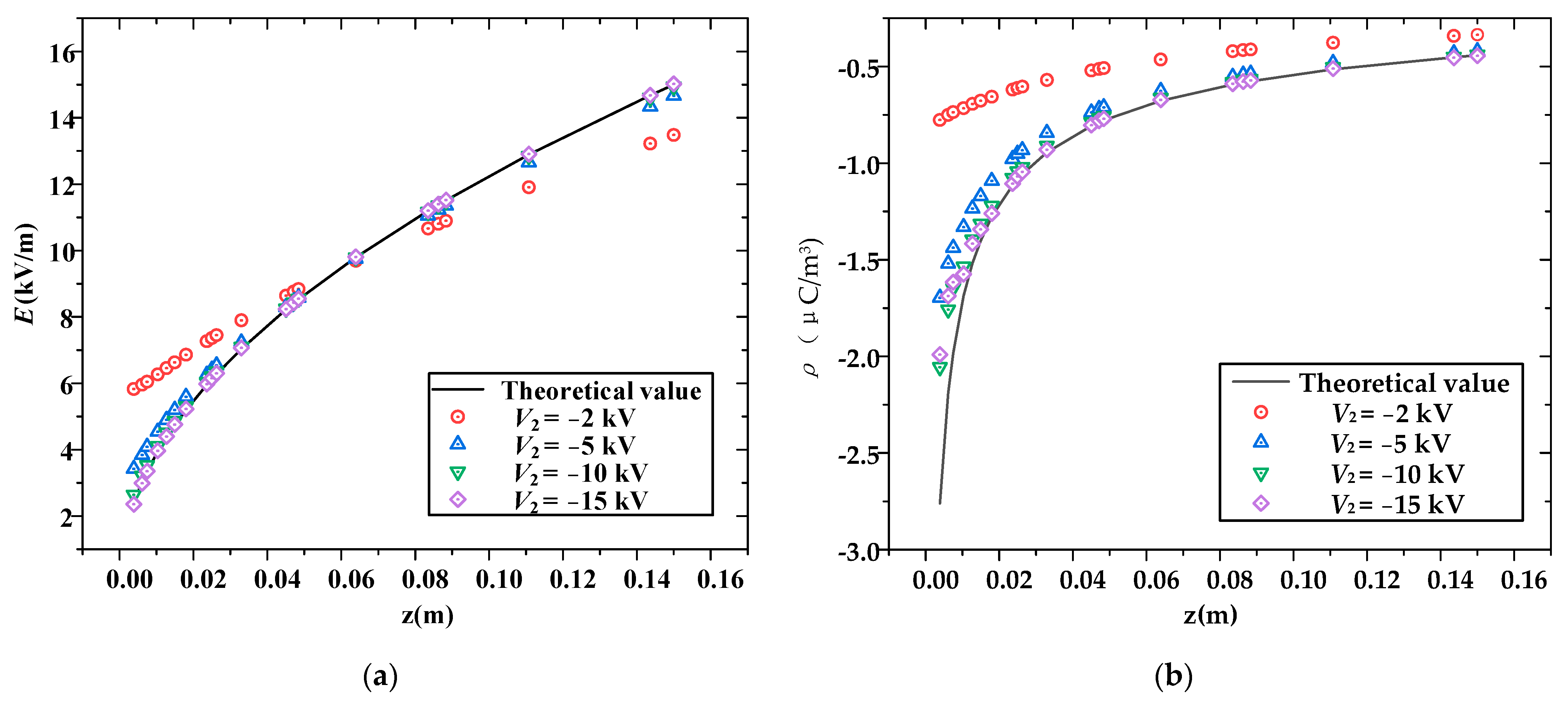
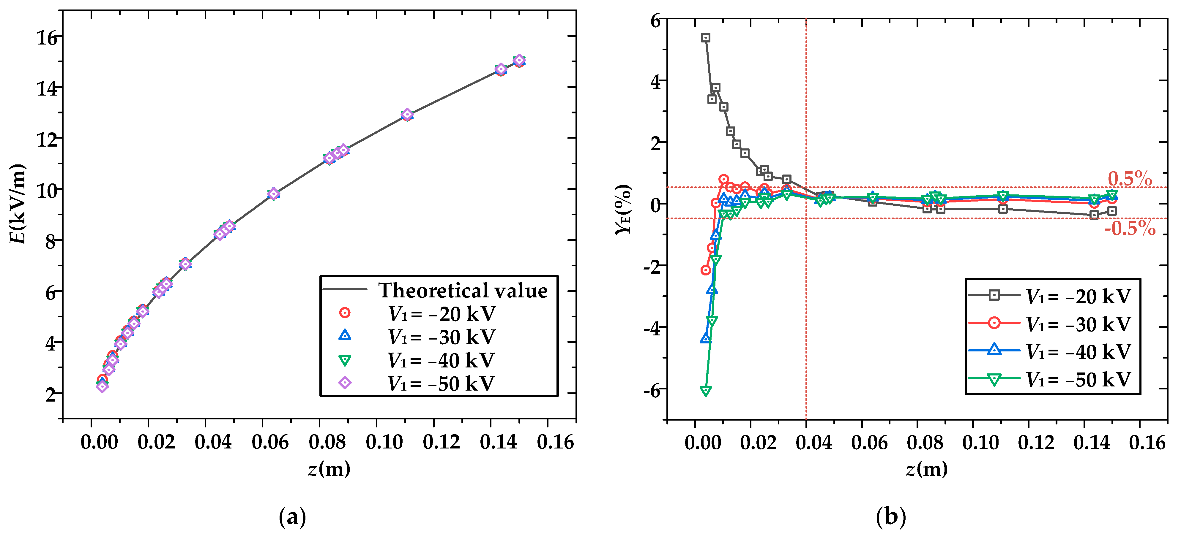
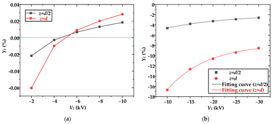
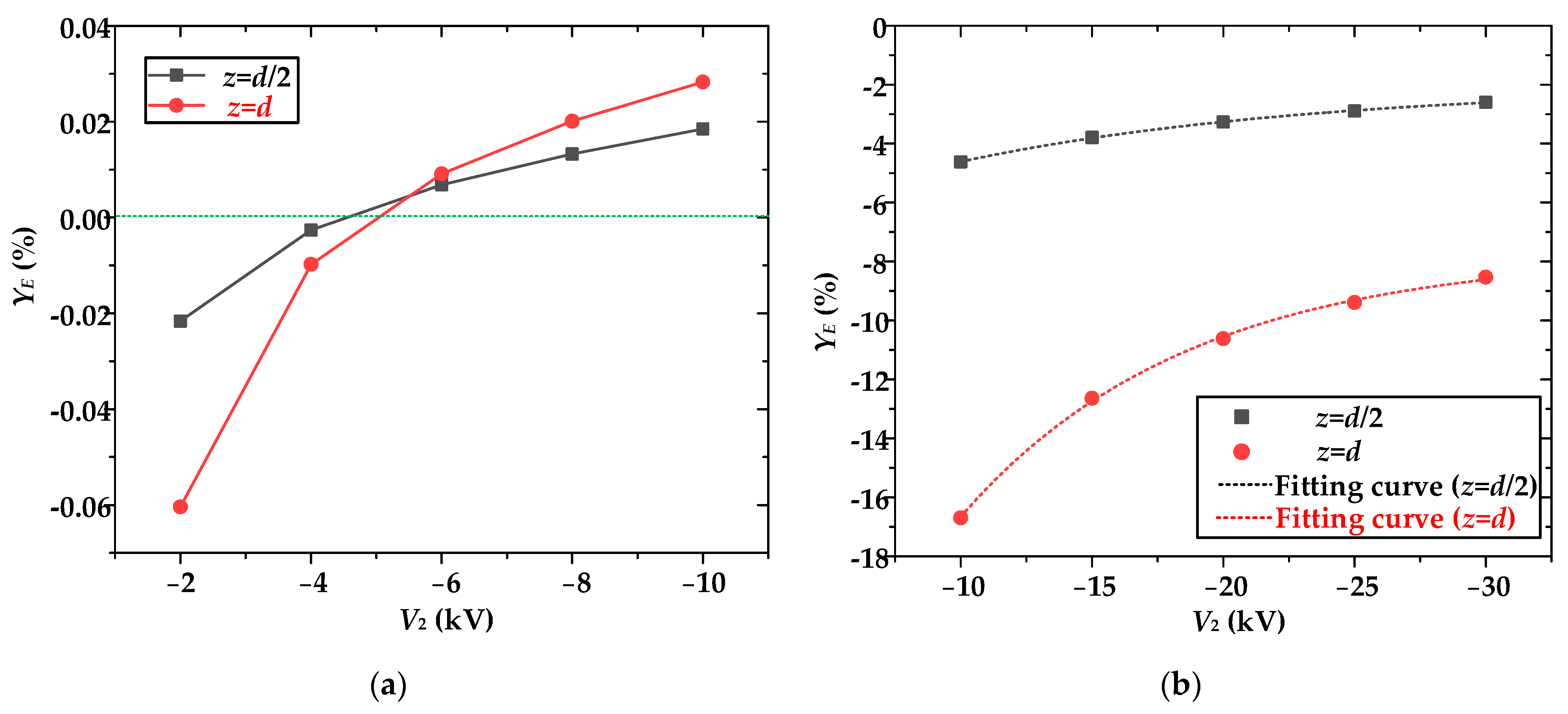
3.1. Influences of the Voltage of the Ion Flow Electrode and the Control Electrode
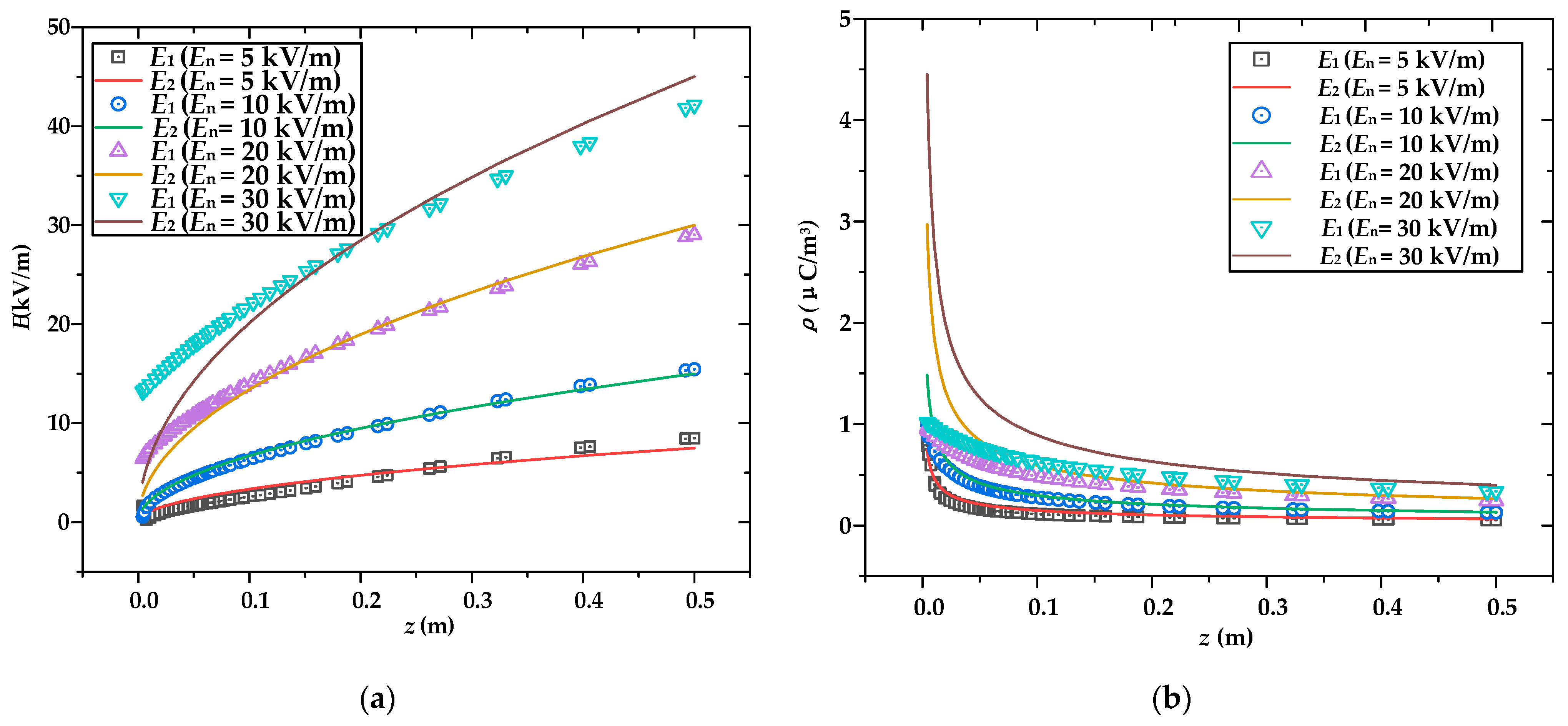
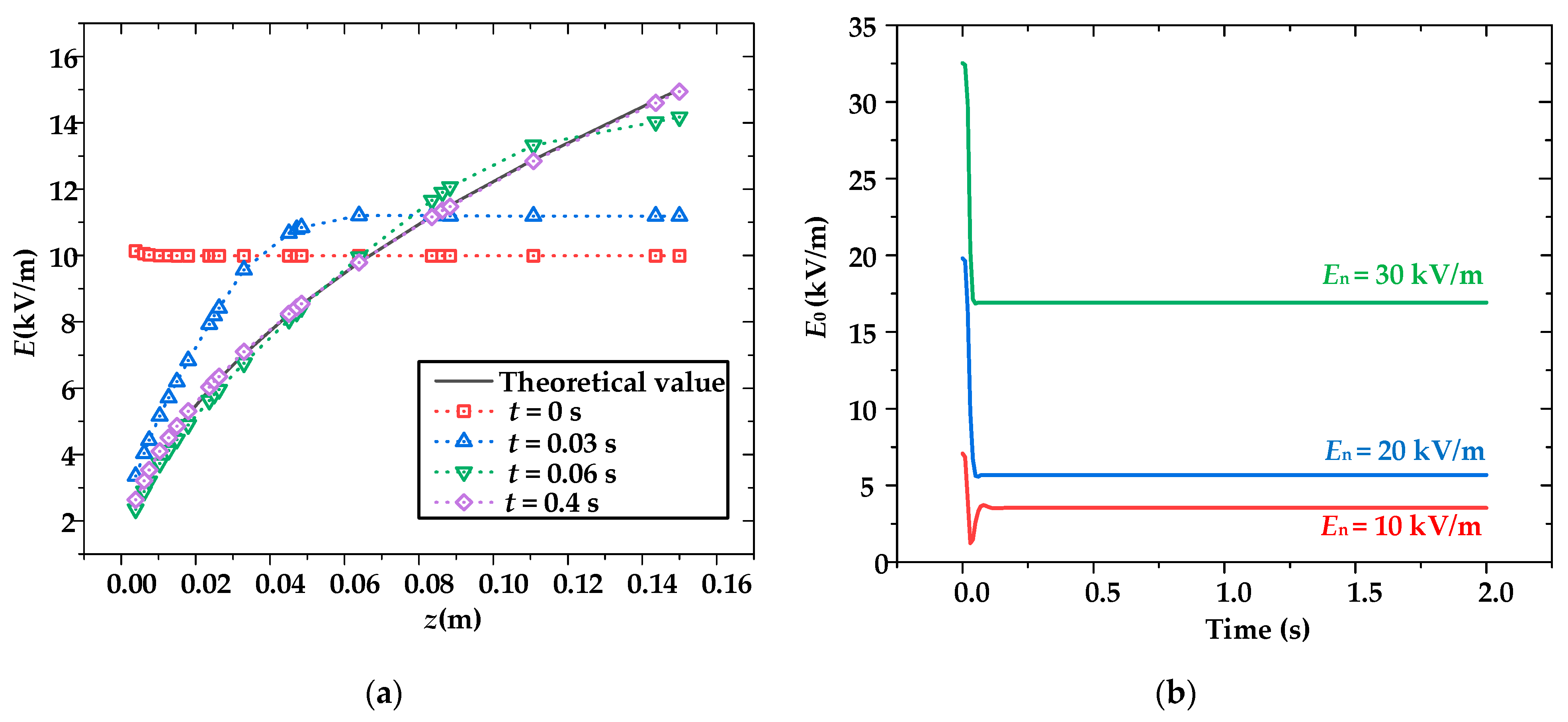
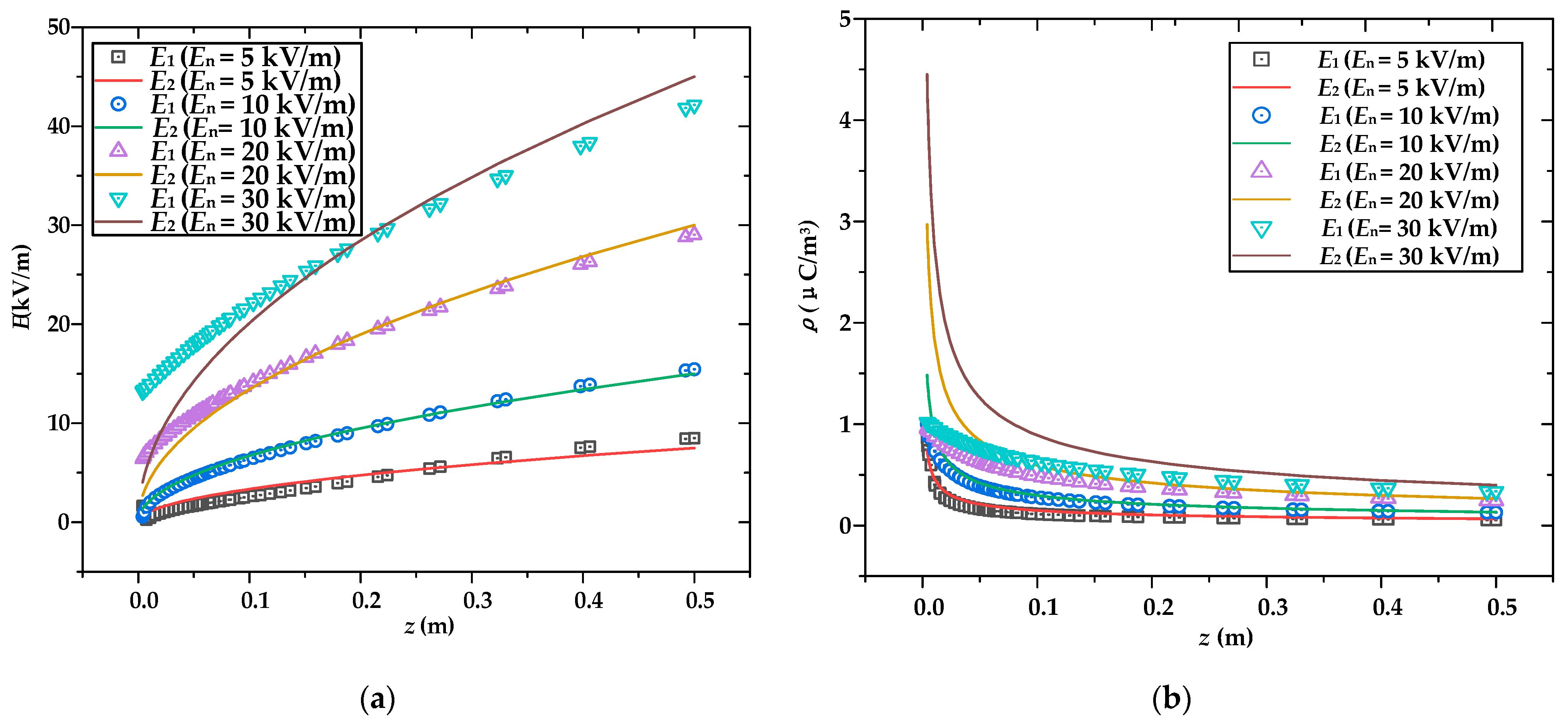
3.2. Influence of the Voltage of the High-Voltage Electrode
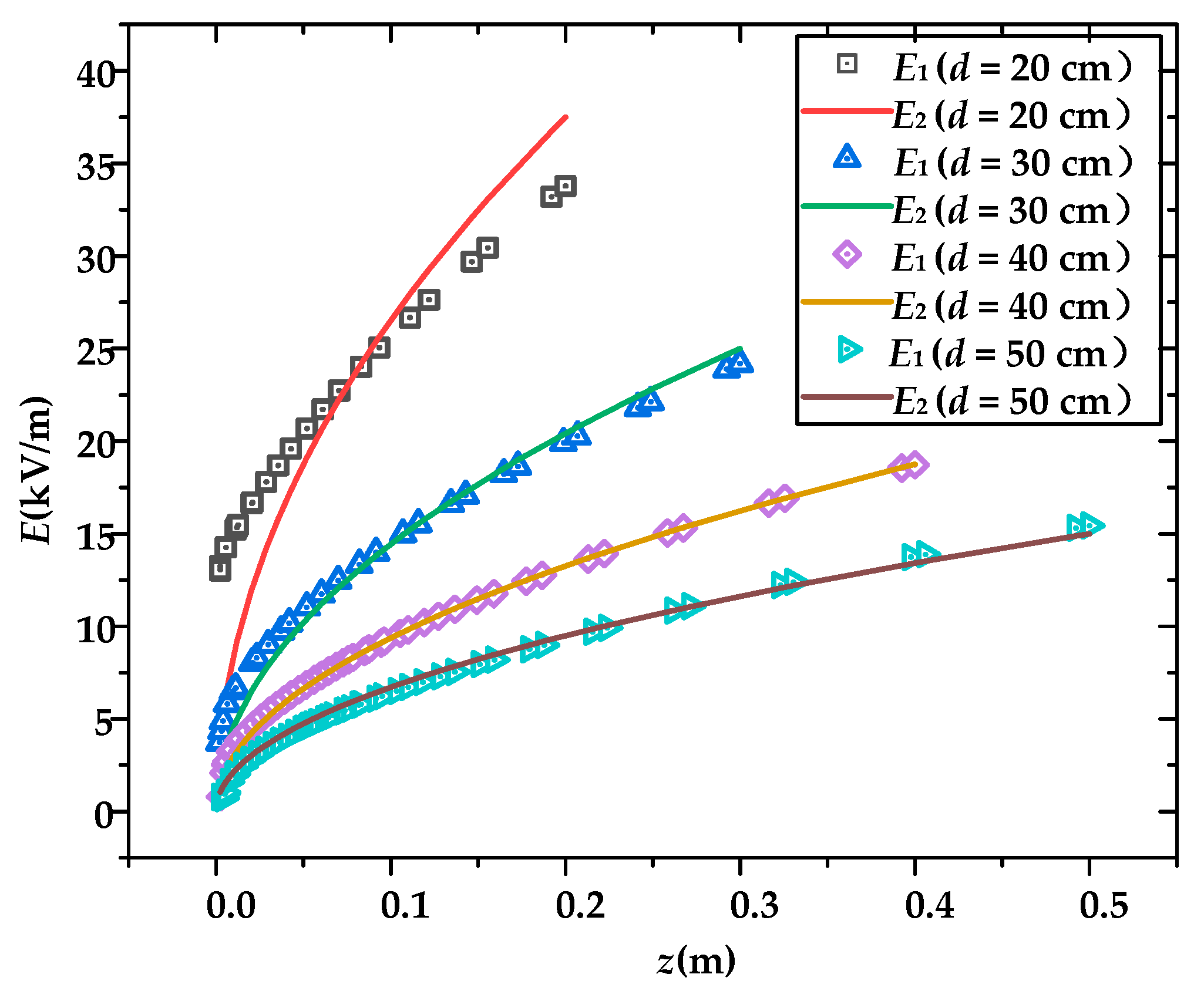
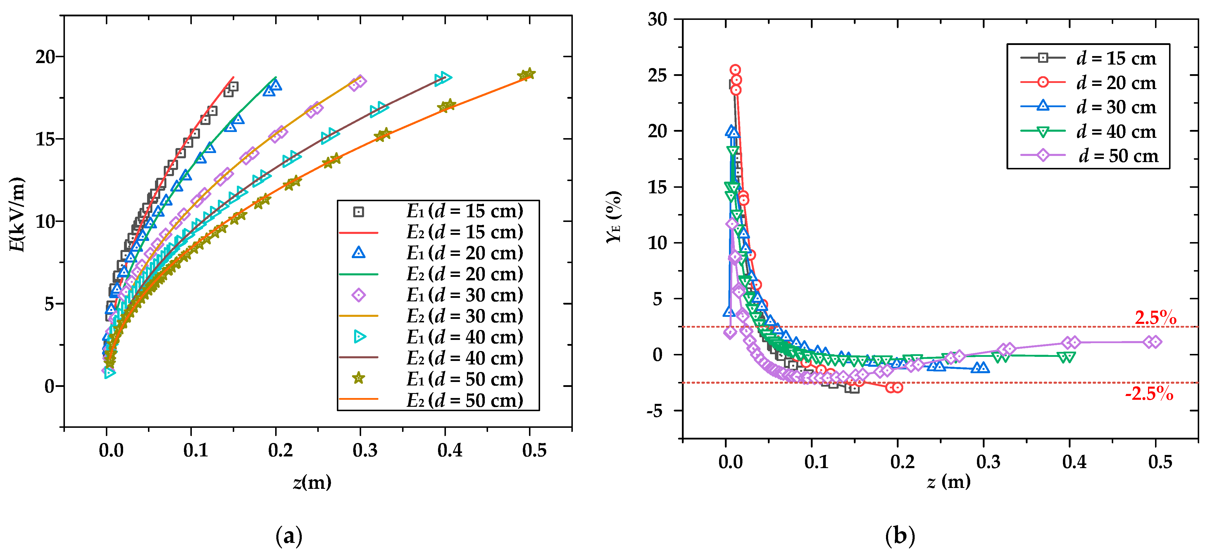
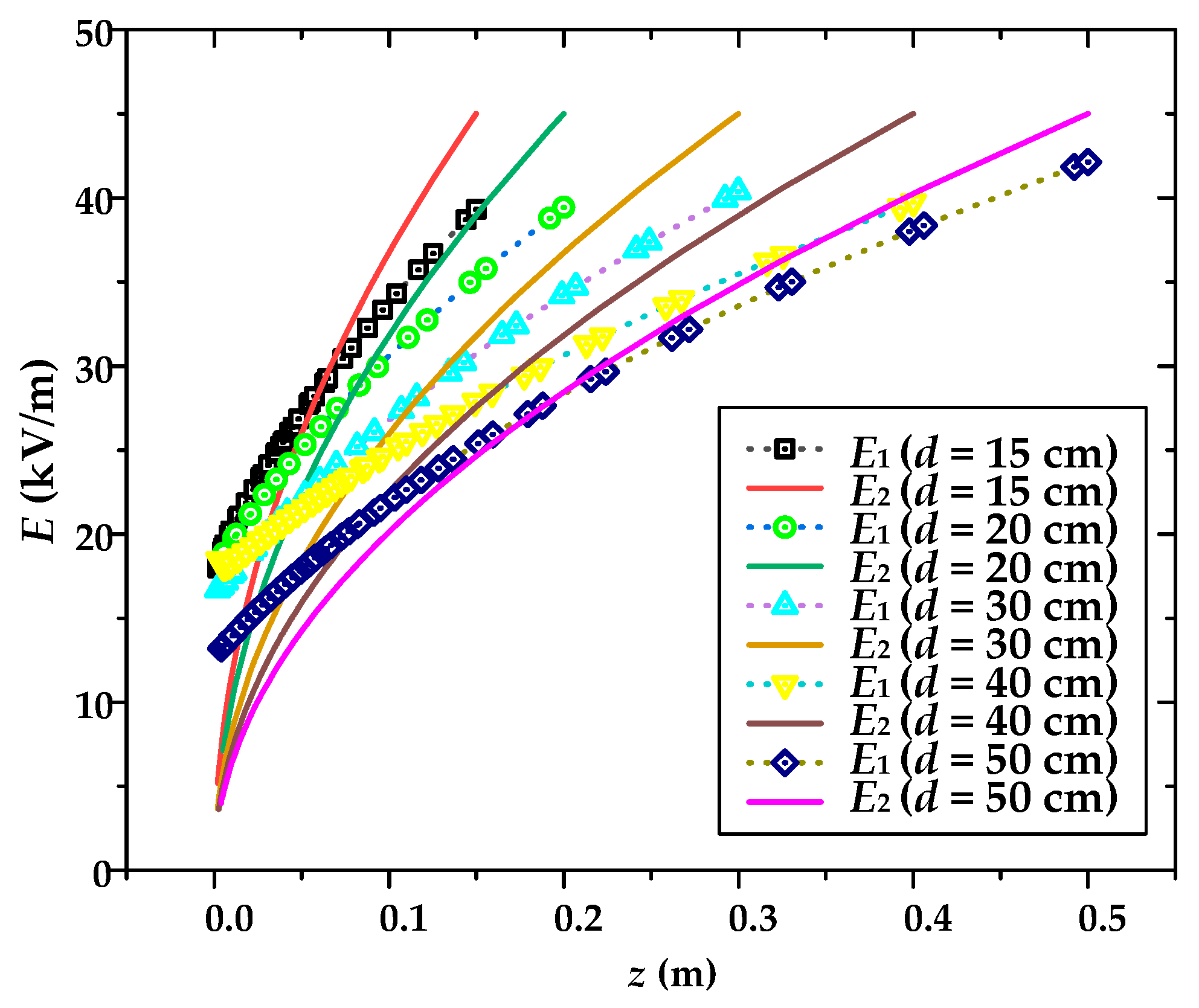
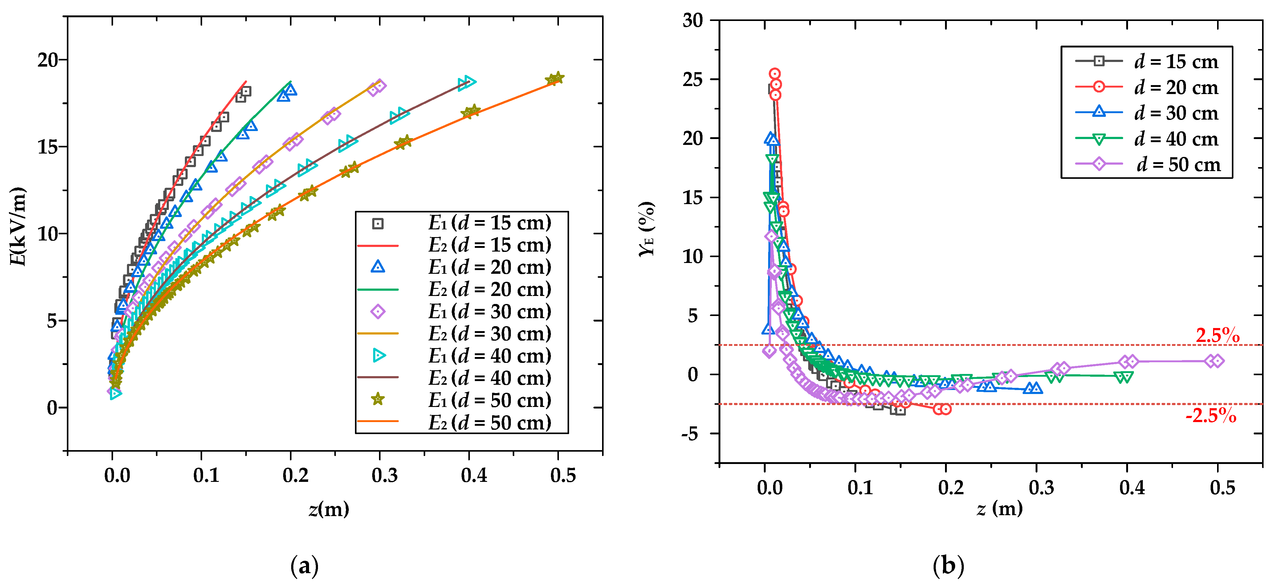
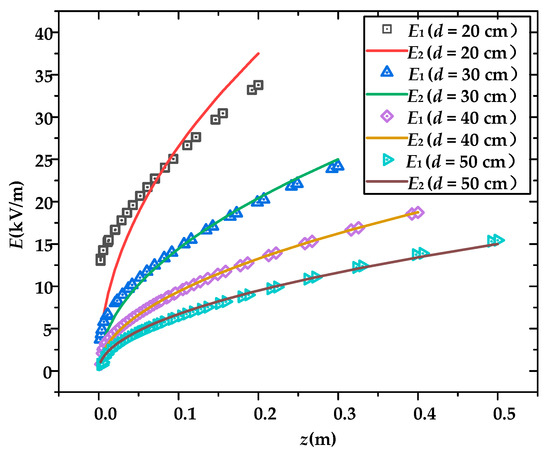
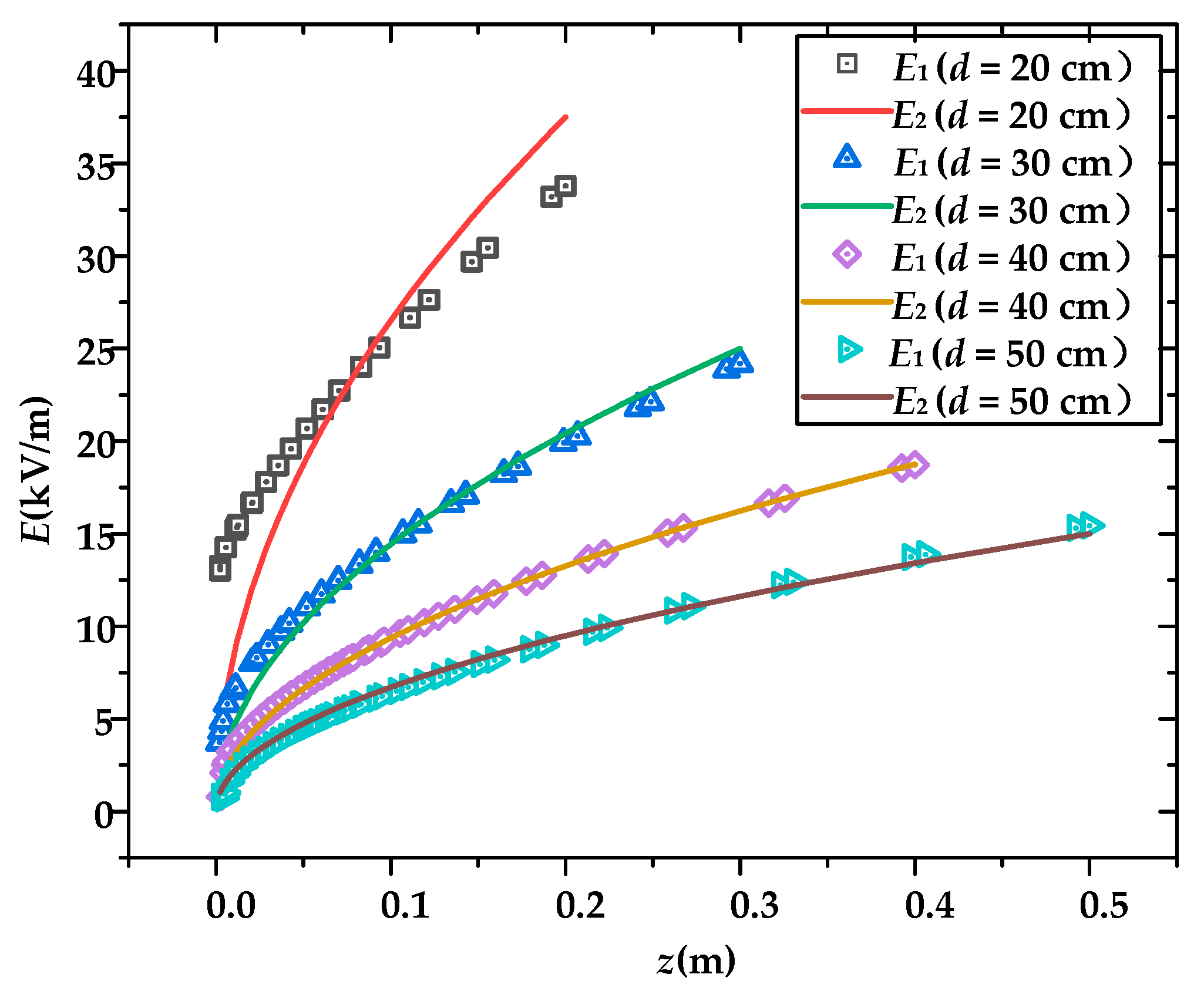
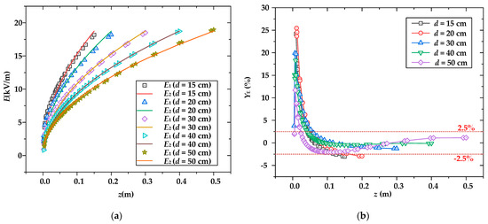
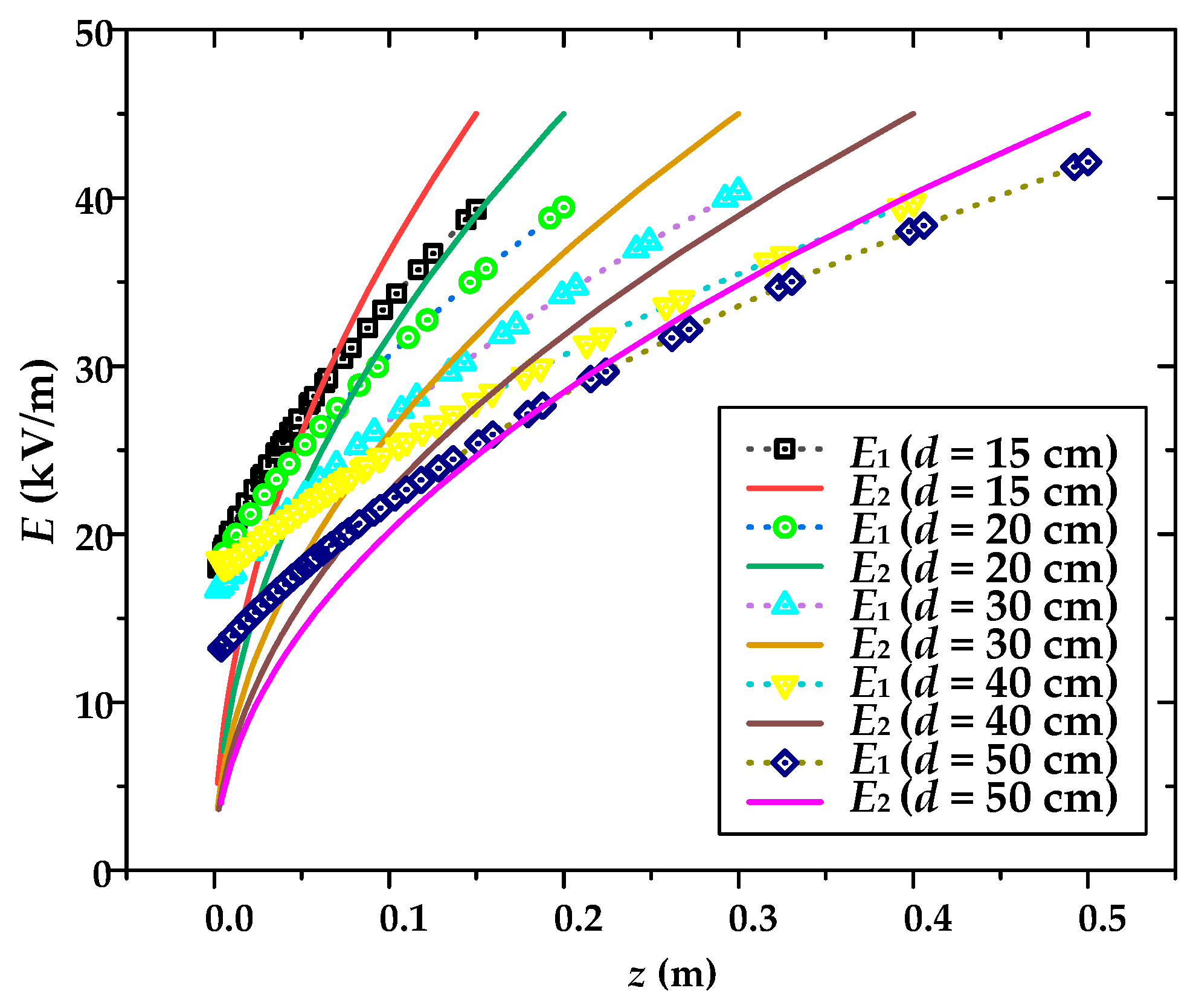
3.3. Influence of the Distance Between the High-Voltage Electrode and the Ground Electrode
4. Conclusions
Author Contributions
Funding
Data Availability Statement
Conflicts of Interest
References
- Maruvada, P.S. Corona Performance of High-Voltage Transmission Lines; Research Studies Press: London, UK, 2000. [Google Scholar]
- Liu, Z. UHV AC/DC Power Grid; China Electric Power Press: Beijing, China, 2013. [Google Scholar]
- Zhao, W. HVDC Engineering Technology; China Electric Power Press: Beijing, China, 2004. [Google Scholar]
- Taylor, D.M. Measuring techniques for electrostatics. J. Electrost. 2001, 51–52, 504–508. [Google Scholar] [CrossRef]
- Zhao, L.; Cui, X.; Lu, J.Y.; Xie, L.; Cui, Y. Discussion on Measurement Method of Total Electric Field for DC Transmission Lines. Proc. CSEE 2018, 38, 644–695. [Google Scholar]
- IEEE Standard 1227-1990; IEEE Guide for the Measurement of DC Electric-Field Strength and Ion Related Quantities. IEEE: Piscataway, NJ, USA, 2010.
- Maruvada, P.S.; Dallaire, S.R.D.; Pedneault, R. Development of Field-Mill Instruments for Ground-Level and Above-Ground Electric Field Measurement under HVDC Transmission Lines. IEEE Power Eng. Rev. 1983, PER-3, 42–43. [Google Scholar] [CrossRef]
- Parizotto, R.A.; Mesquita and Porto, R.W. Design and calibration of an atmospheric electric field sensor with wireless communication. In Proceedings of the 2015 International Symposium on Lightning Protection (XII SIPDA), Balneario Camboriu, Brazil, 28 September–2 October 2015; pp. 69–74. [Google Scholar]
- Tant, J.P.; Bolsens, B.; Sels, T.; Dommelen, D.; Driesen, J.; Belmans, R. Design and application of a field mill as a high-voltage DC meter. IEEE Trans. Instrum. Meas. 2007, 56, 1459–1464. [Google Scholar] [CrossRef]
- Cui, Y.; Song, X.; Wang, C.; Zhao, L.; Wu, G. Ground-level DC electric field sensor for overhead HVDC/HVAC transmission lines in hybrid corridors. IET Gener. Transm. Distrib. 2020, 14, 4173–4178. [Google Scholar] [CrossRef]
- Cui, Y.; Yuan, H.; Song, X.; Zhao, L.; Liu, Y.; Lin, L. Model, design, and testing of field mill sensors for measuring electric fields under high-voltage direct-current power lines. IEEE Trans. Ind. Electron. 2017, 65, 608–615. [Google Scholar] [CrossRef]
- Chu, Z.; Yang, P.; Wen, X.; Peng, C.; Liu, Y.; Wu, S. A MEMS-based Electric Field Sensor with Self-compensation for Sensitivity Drift. J. Electron. Inf. Technol. 2023, 45, 3040–3046. [Google Scholar]
- Wang, X.J.; Zhang, J.; Chen, F. Design of Miniature Integrated Optical Waveguide Electric Field Sensor. Chin. J. Sens. Actuators 2021, 50, 67–75. [Google Scholar]
- Wang, Y.; Xu, J.; Gan, Z. Analysis of influencing factors for measurement of total electric field on residential platform nearby DC transmission line. Adv. Technol. Electr. Eng. Energy 2021, 34, 1445–1450. [Google Scholar]
- Ya, M.; Yu, Z.; Fan, Y.; Zhang, B.; Zhang, C.; Wang, X.; Zeng, R.; He, J. Calibration of a sensor for an ion electric field under HVDC transmission lines. J. Eng. 2019, 3, 2842–2845. [Google Scholar] [CrossRef]
- Fritzen, C.L. Electric Field Sensor Calibration Using Horizontal Parallel Plates. In Proceedings of the 2019 International Symposium on Lightning Protection (XV SIPDA), So Paulo, Brazil, 30 September–4 October 2019; pp. 1–5. [Google Scholar]
- Wang, Y.; Zhang, J.; Gan, Z.; Xu, J. Simulations and experiments of the generation apparatus of the DC electric field with the space charge. High Volt. 2021, 6, 1061–1068. [Google Scholar] [CrossRef]
- Liang, X. Development of calibration apparatus for DC electric field measurement device. In Proceedings of the 2016 EEE International Conference on High Voltage Engineering and Application (ICHVE), Chengdu, China, 19–22 September 2016; pp. 1–3. [Google Scholar]
- Zhang, B.; Wang, W.; He, J. Impact factors in calibration and application of field mill for measurement of DC electric field with space charges. CSEE J. Power Energy Syst. 2015, 1, 31–36. [Google Scholar] [CrossRef]
- Wan, B.; Gan, Z.; Xie, H.; Qi, P.; Xu, J. Calibration Analysis of Field Mills in the Space Charge Modified Field above Ground Based on Convection-diffusion Equation. In Proceedings of the 2021 International Conference on Power System Technology (POWERCON), Haikou, China, 8–9 December 2021; pp. 2229–2235. [Google Scholar]
- Zhao, Z.; Li, Y.; Yang, X.; Luo, C. Three-dimensional electric field sensor with low inter-axis coupling. J. Meas. Sci. Instrum. 2024, 15, 95–104. [Google Scholar] [CrossRef]














| En (kV/m) | YE (d = 15 cm) | YE (d = 20 cm) | YE (d = 30 cm) | YE (d = 40 cm) | YE (d = 50 cm) | Mean Error (%) |
|---|---|---|---|---|---|---|
| 5 | 2.11% | 2.07% | 1.50% | 0.34% | −1.28% | 0.95% |
| 10 | 0.06% | −0.20% | 0.05% | −0.07% | −0.29% | −0.09% |
| 20 | −1.75% | −2.47% | −1.79% | −1.53% | −1.04% | −1.72% |
| 30 | −2.69% | −3.77% | −3.35% | −3.69% | −1.66% | −3.03% |
| En (kV/m) | YE (d = 15 cm) | YE (d = 20 cm) | YE (d = 30 cm) | YE (d = 40 cm) | YE (d = 50 cm) | Mean Error (%) |
|---|---|---|---|---|---|---|
| 5 | 4.02% | 2.95% | 2.85% | 5.65% | 13.25% | 5.74% |
| 10 | −1.04% | −1.19% | −0.09% | 1.10% | 2.96% | 0.35% |
| 20 | −7.67% | −7.30% | −4.80% | −3.57% | −3.22% | −5.31% |
| 30 | −12.64% | −12.36% | −10.28% | −11.66% | −6.36% | −10.66% |
Disclaimer/Publisher’s Note: The statements, opinions and data contained in all publications are solely those of the individual author(s) and contributor(s) and not of MDPI and/or the editor(s). MDPI and/or the editor(s) disclaim responsibility for any injury to people or property resulting from any ideas, methods, instructions or products referred to in the content. |
© 2025 by the authors. Licensee MDPI, Basel, Switzerland. This article is an open access article distributed under the terms and conditions of the Creative Commons Attribution (CC BY) license (https://creativecommons.org/licenses/by/4.0/).
Share and Cite
Song, W.; Dong, M.; Kou, X.; Zhang, J.; Zhang, C.; Xin, W.; Shi, Z.; Wang, Y. Simulation of the Influence of DC Electric Field Generators with Space Charges on Electric Field Calibration. Energies 2025, 18, 5633. https://doi.org/10.3390/en18215633
Song W, Dong M, Kou X, Zhang J, Zhang C, Xin W, Shi Z, Wang Y. Simulation of the Influence of DC Electric Field Generators with Space Charges on Electric Field Calibration. Energies. 2025; 18(21):5633. https://doi.org/10.3390/en18215633
Chicago/Turabian StyleSong, Wei, Manling Dong, Xiaokuo Kou, Jiatao Zhang, Chaofeng Zhang, Weifeng Xin, Zeyan Shi, and Yanzhao Wang. 2025. "Simulation of the Influence of DC Electric Field Generators with Space Charges on Electric Field Calibration" Energies 18, no. 21: 5633. https://doi.org/10.3390/en18215633
APA StyleSong, W., Dong, M., Kou, X., Zhang, J., Zhang, C., Xin, W., Shi, Z., & Wang, Y. (2025). Simulation of the Influence of DC Electric Field Generators with Space Charges on Electric Field Calibration. Energies, 18(21), 5633. https://doi.org/10.3390/en18215633
