Next Article in Journal
A Fault Diagnosis Method for Excitation Transformers Based on HPO-DBN and Multi-Source Heterogeneous Information Fusion
Previous Article in Journal
Response Surface Analysis of the Energy Performance and Emissions of a Dual-Fuel Engine Generator Using Biodiesel and Hydrogen-Enriched Biogas
 
 
Font Type:
Arial Georgia Verdana
Font Size:
Aa Aa Aa
Line Spacing:
Column Width:
Background:
Article

Model-Free Predictive Current Control Method for High-Speed Switched Reluctance Generator

by
Zixin Li
1,2,
Shuanghong Wang
1,2,* and
Libing Zhou
1,2
1
State Key Laboratory of Advanced Electromagnetic Engineering and Technology, Wuhan 430074, China
2
School of Electrical and Electronics Engineering, Huazhong University of Science and Technology, Wuhan 430074, China
*
Author to whom correspondence should be addressed.
Energies 2025, 18(20), 5501; https://doi.org/10.3390/en18205501
Submission received: 18 September 2025 / Revised: 9 October 2025 / Accepted: 16 October 2025 / Published: 18 October 2025

Abstract

To address the issues of excessive current ripple and poor dynamic response in conventional angle position control (APC) for high-speed switched reluctance generator (SRG), this paper proposes an online parameter identification-based model-free predictive control (MFPC) strategy. First, the system dynamics are represented as an ultra-local model (ULM), enabling the design of an extended state observer (ESO) for two-step current prediction to compensate for control delays. Second, an improved Recursive Least Squares (RLS) algorithm with covariance resetting and error clearance is implemented to accurately identify dynamic inductance online, thereby enhancing the prediction accuracy of the ESO. Third, a bus current estimation-based adaptive feedforward compensation (AFC) technique is introduced to accelerate DC-bus voltage regulation and system dynamic response. Finally, simulations conducted on a 250 kW SRG platform demonstrate that the proposed method achieves superior dynamic performance and significantly reduced current ripple compared to conventional APC method.

1. Introduction

Growing environmental concerns and the need for sustainable aviation are driving the development of more-electric aircraft (MEA) and electric aircraft (EA) [1,2] which replace pneumatic, hydraulic, and mechanical systems with electrical devices to reduce maintenance complexity and enhance overall system reliability [3,4]. However, growing aviation loads and limited onboard space result in stricter requirements for generator systems: smaller size, higher power density and stronger robustness. The switched reluctance generator (SRG) is well-suited for such applications due to its simple structure, high-temperature resistance and inherent fault tolerance. These characteristics make SRG a highly compatible solution for advanced aviation electrical power systems.
Despite the above advantages, high-speed operation introduces critical control challenges for SRG systems. When pulse-width modulation (PWM) is applied, increased back-electromotive force (back-EMF) at high speed prevents accurate current tracking and increases current ripple [5,6]. When using angle position control (APC), large electrical angle movement per control cycle worsens control delays. Furthermore, slow adjustment of six control angles during load transients can lead to excessive current pulses and degraded dynamic performance [7]. As a result, advanced control strategies with improved current tracking, faster dynamic response and enhanced robustness are essential to achieve reliable operation in SRG systems.
Model Predictive Control (MPC) is widely adopted to address control delay issues [5,6]. It utilizes a mathematical model of the system to predict future states and optimize control actions, thereby improving dynamic response and reducing current ripple [8]. In [9], a multi-objective cooperative MPC method was proposed to predict optimal flux references from system states, speeding up dynamic response in induction motor (IM) drives. Ref. [10] combines Kalman filtering with Finite Control Set MPC (FCS-MPC) to achieve more accurate current predictions, which strengthens delay compensation and reduces current ripple in switched reluctance machines (SRMs). Although widely employed, the performance of MPC remains highly dependent on the accuracy of the system model. Parameter variations and varying operating conditions can diminish prediction precision and compromise system robustness [11].
To address the limitations of MPC, robust MPC (RMPC) and model-free predictive control (MFPC) are widely studied. RMPC keeps the standard structure of MPC while adding error estimation by using observers or lookup tables (LUTs) to deal with the parameter mismatches and disturbances [12]. In [13], a current variation update mechanism is proposed to update inductance errors in the current prediction equation, which effectively suppresses the parameter mismatch disturbances. Ref. [14] proposes a switching state error compensation method for permanent magnet synchronous motor (PMSM), which stores prediction errors for each switching state and adjusts q-axis current predictions to reduce torque ripple. Though better than traditional MPC, RMPC still relies on initial system parameters. Moreover, LUT-based compensation not only increases memory burdens but also reduces prediction accuracy if table updates stagnation occurs, ultimately degrading system performance.
Unlike MPC and RMPC, MFPC operates independently of system model parameters [15,16,17], relying exclusively on real-time input–output data or online-estimated system states. Current MFPC approaches can be broadly categorized into three types: the autoregressive model with exogenous input (ARX), the LUT-based method, and ultra-local model (ULM) approach [18].
The ARX model, typically implemented with Recursive Least Squares (RLS), can accurately identify system dynamics under steady-state and is widely adopted in motor control area. Ref. [19] proposed a current prediction algorithm for SRM, where back-EMF and dynamic inductance were estimated by RLS and then used for two-step current prediction. In [20], a robust predictive control (RPC) algorithm based on parameter variation rates in a Radial Basis Function ARX model is proposed, which reduces the conservativeness of conventional polyhedral Linear Parameter Varying (LPV) models.
LUT-based methods dynamically update a voltage–current-increment table. When a voltage vector is applied, its corresponding current increment is recorded. In subsequent control cycles, the pre-stored current increment values are used to predict the current in the next period. Ref. [21] proposes a multi-current error updating method, which updates current increment with opposite-polarity voltage vectors to enhance prediction accuracy. Ref. [18] introduces a multi-cycle update mechanism to solve current vector stagnation in traditional methods while eliminating PWM modulators. Unlike PMSMs, SRM exhibit highly position-dependent current variations due to its significant nonlinearity. The same voltage vector can cause different current increments at different rotor positions. As a result, LUT-based methods are fundamentally limited in SRM applications.
Compared to other methods, the ULM approach offers simpler principles by approximating nonlinear systems as first-order differential equations. Disturbance components are estimated online by observers, which makes ULM inherently suitable for SRG systems. In [17], a ULM-based disturbance observer was developed for SRMs, incorporating a variable switching-point algorithm that dynamically adjusts voltage vector duration via cost function minimization to effectively reduce current ripple. In [22], the ULM method was employed to enhance dynamic performance and robustness of permanent magnet linear motors by improving current tracking and disturbance rejection. A ULM-based extended state observer (ESO) was designed in [23] to accurately track dq-axis currents and compute the required voltages, which successfully compensated for one-step control delays in digital implementation platforms.
ESO is one of the popularly used MFPC methods. As a core technique in active disturbance rejection control (ADRC), it has been extensively investigated in motor drives for its remarkable capability in estimating and compensating for system uncertainties and disturbances. In [24], a novel composite speed controller (CSC) is proposed for robust speed control of the PMSM drive to solve the challenges posed by unmodeled dynamics, disturbances, and system uncertainties, achieving improved performance through a combination of modified super-twisting sliding-mode control (STSM-SC) and ESO. An improved STSM and linear ADRC strategy is proposed in [25] for SRM speed control systems to solve issues of dynamic response and disturbance immunity, achieving enhanced performance by integrating STSM control with a linear ESO and using a sigmoid function to reduce chattering. In [26], a sensorless flux linkage estimation method is proposed for PMSMs to solve the challenges of sensorless drive control, achieving accurate stator flux linkage estimation and improved performance by using a nonlinear ESO and a voltage–current hybrid model to address issues like DC offset and noise. These studies demonstrate the ESO’s general efficacy in dealing with internal dynamics and external load disturbances of motor drives.
While existing MFPC strategies, such as the variable switching-point observer [17] or hybrid ARX-ULM approaches [27], have made significant progress in current prediction and robustness, they commonly neglect the critical issue of bus voltage dynamics and slow response during load transients in generation systems. For ARX model [27], delayed response occurs during high-frequency transients, and cumulative estimation errors develop during phase current switching-off periods. ULM and LUT methods lack embedded physical constraints for core system states like flux linkage and inductance, which reduces control precision [28,29,30,31]. Moreover, parameter identification techniques like conventional RLS suffer from estimation bursts and error accumulation during phase switching, limiting their accuracy in high-speed applications.
In contrast to these prior MFPC methods, the novelty of the proposed MFPC method is summarized as follows:
(1)
First, an improved RLS algorithm is developed, featuring covariance resetting and turn-off interval error clearance mechanisms. This design accurately identifies the dynamic inductance online, which effectively overcomes the persistent issues of estimation lag and error accumulation inherent in conventional RLS methods, thereby significantly enhancing the parameter identification robustness.
(2)
Second, parameter identification-based ESO is proposed, where the critical parameter α (the reciprocal of dynamic inductance) is dynamically estimated by the aforementioned RLS algorithm rather than being fixed. This innovative integration grants the observer superior parameter robustness across the entire speed range, leading to better phase current estimation accuracy compared to traditional ESO with a fixed α.
(3)
Third, a fundamental coupling between bus current prediction and an adaptive feedforward compensation (AFC) technique is established. This integration is specifically designed to accelerate DC-bus voltage regulation and dramatically improve the system’s dynamic response, which is a critical aspect often overlooked in conventional MFPC strategies that focus solely on current control.
This integrated approach specifically addresses the unique challenges of high-speed SRG, extending the application of MFPC beyond mere current control to encompass overall system stability and dynamic response.
The rest of this article is organized as follows: Section 2 analyzes fundamental operating principles of SRG and limitations of conventional algorithms. Section 3 details the proposed MFPC method. Section 4 validate the proposed method through simulation. Section 5 concludes this study.

2. Principle of SRM and Traditional APC Method

The analysis of one single phase is conducted under the standard and widely adopted assumption that the mutual coupling between phases is negligible. This assumption is valid for the independent control of multi-phase SRMs and significantly simplifies the model without compromising the accuracy of controller design for the key issues under study, namely current ripple and dynamic response. Thus, the voltage equation for a single phase of the SRG can be expressed as
u = R i + d ψ ( i , θ ) d t = R i + ψ i d i d t + ψ θ d θ d t
where Ψ represents magnetic flux, while R, i, u represent resistance, current and voltage of one single phase, respectively, and θ is the rotor rotational angle. The rate of change of phase current can be deduced as
d i d t = u R i ψ θ d θ d t / ψ i
By applying forward Euler discretization to (2), the current increment for a control cycle can be obtained as
Δ i = i ( k + 1 ) i ( k ) = T s u ( k ) R i ( k ) ψ θ ω m ( k ) / ψ i
where k and k + 1 represent the current and next control cycle, respectively. It can be inferred from (3) that Δ i is closely related to ψ / θ ω m term. That is to say, an increase in speed leads to a rise in back-EMF, which in turn affects the value of Δ i . As a result, even with maximum negative voltage control, Δ i remains positive at high-speed condition due to the high back-EMF domination, and current chopping control (CCC) fails to regulate the current amplitude. Consequently, angle position control (APC) is adopted by tuning the control angles to control the current.
Conventional SRG control employs dual-loop regulation, as illustrated in Figure 1, combining CCC with APC. Phase current amplitude is constrained by CCC at low speeds and APC at high speeds. Although better than CCC in high-speed area, significant limitations still exist in APC. First, computational delays inherent in discrete control systems induce duty cycle lag by one switching-period, causing cumulative current tracking errors. Second, the effectiveness of APC method relies heavily on precise turn-on/-off angle adjustment. During abrupt load transients, the limited bandwidth of control angle adjustment generates large current spikes, degrading power quality and dynamic response capability.
Figure 2 illustrates the influence of control delay on phase current in traditional APC, where current magnitude is regulated through adjustment of θon and θoff. As shown in Figure 2a, when the turn-off angle is fixed and delay is neglected, conduction starts at θon1 with a peak current imax1. However, a one-cycle control delay shifts the actual turn-on to θon2, reducing the peak current to imax2. Conversely, Figure 2b demonstrates that delaying the turn-off angle while fixing θon raises the peak current. Both cases intensify current ripple and degrade system efficiency. Although a delay compensation method was proposed in [7], it exhibits poor dynamic response under varying load conditions. Hence, current chopping is adopted to improve dynamic performance. Nevertheless, it remains susceptible to discrete delay effects: Without compensation, the current turns off at iref1 with peak imax1, but a one-cycle delay in turn-off current raises the peak to imax2 at iref2, further increasing current ripple and overcurrent risk.
To address the above issue, an MFPC method combining RLS-based ESO and bus current prediction-based AFC is proposed in this article. The method effectively reduces current ripple and improves the dynamic performance of SRG system.

3. Proposed MFPC Method

Compared to conventional methods, the proposed method, illustrated in Figure 3, features three fundamental advancements: First, an ESO is utilized to predict the phase current two step ahead. Second, an improved RLS algorithm is used to identify system parameter. Third, the bus current is estimated and incorporated into the voltage control loop through AFC module. The following section provides a detailed description of the proposed strategy.

3.1. Design of ESO

The first-order ULM formulation is expressed as
y ˙ = α U + F
where α, U, F denotes the state gain, system input and system disturbances, respectively. By rewriting (2) in the form of ULM, the mathematical model of SRG can be rewritten as (5). Equation (5) describes the nonlinear dynamics of single phase of SRG. To facilitate the design of MFPC, we reformulate it into a first-order ULM. A key assumption here is the neglect of mutual coupling between phases, which is a standard and valid practice for independent phase control in multi-phase SRMs. The ULM intentionally aggregates all complex, nonlinear, and time-varying dynamics—including the back-EMF term and the resistive drop into a single disturbance term F. Thus, the system dynamics are simplified to
d i d t = α u + F
in which the gain α and disturbance F are expressed as
α = 1 / ψ i F = R i ψ θ d θ d t / ψ i
and the discretization form of (5) can be deduced as
i ( k + 1 ) = i ( k ) + T s ( α U ( k ) + F ( k ) )
Since the ULM of the SRG system is a standard first-order system, a second-order ESO is employed to observe the system states. The continuous-time ESO is constructed as
e = z 1 i z ˙ 1 = z 2 + α U β 1 e z ˙ 2 = β 2 e z 2 = F ^
where z1 represents the predicted phase current, z2 denotes the predicted system disturbance, β1 and β2 are the linear feedback coefficients. Applying the forward Euler method, the discrete form of (8) is derived as
e ( k ) = z 1 ( k ) i ( k ) z 1 ( k + 1 ) = z 1 ( k ) + T s [ z 2 ( k ) + α U ( k ) β 1 e ( k ) ] z 2 ( k + 1 ) = z 2 ( k ) T s β 2 e ( k )
The gains β1 and β2 of the ESO are designed based on the bandwidth parameterization method [23,24]. For a second-order ESO, the gains are set as β1 = 2ωo and β2 = ωo2, where ωo is the observer bandwidth. Accounting for the characteristics of APC method in SRG, the bandwidth should be higher than the system’s fundamental electrical frequency (ωe) to ensure rapid disturbance tracking but must be constrained by the sampling frequency (fs) to avoid noise amplification, typically ωo ≤ 2fs. For high-speed SRG applications (up to 16,000 r/min or ωe ≈ 13,404 rad/s for 12/8 pole), with fs = 20 kHz, we set ωo = 30,000 rad/s, yielding β1 = 60,000 and β2 = 30,0002.
By substituting z2(k) obtained from (9) into F(k) in (7), the predicted phase current at k + 1 step is obtained as
i ^ ( k + 1 ) = i ( k ) + T s ( α U ( k ) + z 2 ( k ) )
Due to the inherent delay effect in PWM control, the phase currents at k + 1 and k + 2 cycles are determined by the duty cycle calculated in the current period. Therefore, predicting the phase current at the k + 2 step is crucial to minimize tracking errors. Similarly to (10), the predicted phase current at the k + 2 step is derived as
i ^ ( k + 2 ) = i ^ ( k + 1 ) + T s ( α U ( k + 1 ) + z 2 ( k + 1 ) )
where i ^ ( k + 1 ) and z2 (k + 1) have already been predicted in the ESO, and U(k + 1) can be determined using finite control set (FCS) voltage vectors. In conventional FCS control, the voltage vector set can be defined as [Udc, 1/2Udc, 0, −1/2Udc, −Udc], and the corresponding predicted current i ^ ( k + 1 ) under different vectors can be calculated using (11). According to Lagrange extrapolation method [18], the reference phase current at the k + 2 step is predicted as
I * ( k + 2 ) = 6 I * ( k ) 8 I * ( k 1 ) + 3 I * ( k 2 )
To minimize the phase current tracking error, a cost function can be designed as follows:
J = [ I * ( k + 2 ) i ^ ( k + 2 ) ] 2
By calculating the J value for all voltage vectors in the FCS and identifying the minimum J, the optimal u(k + 1) that satisfies the conditions can be determined. Although convenient, the conventional FCS method has two drawbacks: First, it requires calculating results for all voltage vectors, and further subdivision of the FCS to improve accuracy increases the computational burden. Second, due to the discrete characteristics of the voltage vectors in the FCS, optimal control cannot be achieved, resulting in a certain error between the predicted and reference values.
In contrast, the continuous control set (CCS) duty cycle calculation method effectively reduces computational burden and improves accuracy. By setting, the optimal duty cycle can be directly calculated as follows:
d ( k + 1 ) = u ( k + 1 ) U d c = I * ( k + 2 ) i ^ ( k + 1 ) T s z 2 ( k + 1 ) α T s U d c
The block diagram of ESO is shown in Figure 4.
Analysis of the ESO construction process indicates that the precision of phase current estimation critically influences duty cycle calculation, with the selection of parameter α being particularly important. In conventional ESO, α is typically fixed manually, often resulting in suboptimal estimation performance and reduced accuracy across varying operating conditions. To enhance ESO estimation precision, an improved RLS algorithm is employed for online α estimation, thereby increasing the accuracy of phase current prediction.

3.2. Improved RLS Estimator with Covariance Resetting and Error Clearance

To address the limitations of conventional RLS mentioned in Section 1 (i.e., estimation bursts and error accumulation), an improved RLS algorithm with two key modifications is proposed. The flowchart of the proposed RLS is illustrated in Figure 5.
It can be deduced from (6) that the parameter α, representing the reciprocal of the dynamic inductance of the motor, can be calculated using flux data obtained from a ψ(i,θ) 2-D LUT. Alternatively, the Le–Huy model [28] has also been widely adopted for estimating α with reduced data storage requirements. However, both methods rely heavily on the accuracy of motor parameters. It should be noted that the LUT data, typically derived from finite element analysis (FEA), may deviate from actual values due to manufacturing tolerances and experimental discrepancies, thereby compromising the accuracy of parameter estimation. To address this limitation, an ARX model is employed in this paper for the estimation of α.
The RLS estimation method requires only the sampling of phase current, and its estimation error can be adaptively adjusted online according to the operating condition. Therefore, the RLS method is employed for parameter identification. The RLS-based parameter estimator is designed as follows. Equation (3) is rewritten as
Δ i = T s [ U ( k ) L d ( k ) E ( k ) L d ( k ) ]
where Ld is the dynamic inductance, and E is the sum of the resistance voltage drop and the back-EMF. Equation (15) can be reformulated into the state equation form as
y ( k ) = Δ i ( k ) = [ T s U ( k ) T s ] 1 / L d ( k ) E ( k ) / L d ( k ) = x ( k ) * Θ T ( k )
where y(k) = i(k + 1) − i(k), is the measured current increment over one sampling period Ts. It represents the change in phase current resulting from the applied voltage and inherent machine dynamics. x ( k ) = [ T s U ( k ) T s ] is the regressor vector. Θ(k) is the parameter matrix to be predicted. The primary parameter of interest for the MFPC is α = 1/Ld, which serves as the key gain in the ULM and enables voltage-to-current prediction without explicit knowledge of R or e(k).
Based on (16), the prediction value of y(k) and the error between the prediction value and y(k) can be obtained as
y ^ k = x ( k ) * Θ T ( k 1 )
e ( k ) = y ( k ) y ^ ( k )
The Kalman gain vector k(k), the inverse covariance matrix P(k), and Θ(k) are calculated as follows, where λ is the forgetting factor:
K ( k ) = P ( k 1 ) x T ( k ) λ + x ( k ) P ( n 1 ) x T ( k )
Θ ( k ) = Θ ( k 1 ) + K ( k ) e ( k )
P ( k ) = 1 λ [ P ( k 1 ) K ( k ) x ( k ) P ( k 1 ) ]
The conventional RLS method is widely adopted due to its theoretical simplicity and computational efficiency. Once phase currents are sampled and initial values of the predicted variables are set, online estimation can be effectively sustained. However, two drawbacks exist in traditional RLS algorithm: First, as indicated in (19) and (20), when abrupt change occurs in the input value (e.g., when the input voltage transitions from +Udc to −Udc), the gain matrix k(k) experiences a sudden variation, which in turn causes a sharp fluctuation in the estimated parameter Θ(k). This results in inaccurate parameter estimation. Second, in the non-conducting region of the phase current, the RLS algorithm continues its prediction, which can lead to the accumulation of estimation errors over time. These accumulated errors negatively affect the accuracy of parameter estimation in subsequent control cycles.
To address these limitations, two modifications are proposed to enhance the estimation performance of traditional RLS method. First, a voltage input filter is combined with voltage threshold detection. When an abrupt voltage transition is detected, the covariance matrix is immediately reset to its initial values. Simultaneously, dynamic gain K(k) is constrained to limit amplitude magnitude. This dual intervention prevents the covariance matrix and gain from becoming too large, thereby avoiding abrupt changes in parameter estimation. Second, during non-conduction intervals, the covariance matrix should be reset and the accumulated estimation errors cleared.
RLS-based ESO effectively reduces current ripple and improves system efficiency. However, the system dynamic response capability remains limited. Therefore, an AFC strategy based on bus current prediction is introduced to actively enhance the system’s dynamic performance during transients.

3.3. AFC with Bus Current Prediction for Enhanced Dynamic Response

Building upon the accurate current prediction provided by the ESO (using the identified parameter from Section 3.2), an AFC technique is developed to directly tackle the slow voltage loop response issue. The core of this AFC is a novel bus current prediction module derived from the switching states and phase currents, creating a critical coupling between the current control loop and the voltage stabilization loop.
The proposed algorithm primarily involves two steps: bus current estimation and adaptive compensation calculation. A detailed explanation of the algorithm is provided below.
The first step is to predict the bus current via phase current and the corresponding switching states. The main circuit of SRG system is illustrated in Figure 6, which consists of a three-phase asymmetric half-bridge (AHB) converter, a CLC filter and an external voltage source. The excitation bus and the generation bus are isolated by diode D8, while D7 serves as the isolation diode for Udc. S7 is the latching relay, which remains closed initially and opened when Udc < UC1, enabling the SRG to operate in self-excitation mode.
As illustrated in Figure 6, both the total generated current and the total excitation current can be determined using the switching signals and the phase currents of the three phases. Specifically, Ie1 denotes the excitation current supplied by the DC source, Ie2 represents the total excitation current, and Ig indicates the current fed back to capacitor C1. The generator bus current, inductor current, and load current are symbolized as IM1, IM2, IM3, respectively, while IC1 and IC2 refer to the capacitor currents. Based on Kirchhoff current law (KCL), the bus current can be formulated as expressed in (22) to (24).
I M 1 = j = 1 3 i j S j g I g = j = 1 3 i j S j g I C 1 I e = j = 1 3 i j S j g C 1 d U C 1 d t j = 1 3 i j S j e
I M 2 = I M 1 I C 2 = I M 1 C 2 d U C 2 d t
I M 3 = I M 2 I C 3 = j = 1 3 i j S j g C 1 d U C 1 d t j = 1 3 i j S j e C 2 d U C 2 d t C 3 d U C 3 d t
where Sjg and Sje are the generation and excitation switching signals as expressed in (25) and (26), where the subscript j represents the phase number.
S j g = 1 , U p h 0 0 , U p h > 0
S j e = 0 , U p h 0 1 , U p h > 0
The second step is to calculate the feedforward compensation terms. An increase in load results in a corresponding change in the load current, IM3. Therefore, the rate of change of IM3, denoted as dIM3/dt, and the voltage across capacitor C3, UC3, are jointly used as triggering conditions for the AFC calculation. Once both dIM3/dt and UC3 exceed their predefined thresholds, IM3 is utilized to compute the feedforward compensation term. This mechanism enables rapid elevation of the reference current within a single control cycle, thereby enhancing the system’s output power. The computational process of the AFC strategy is illustrated in Figure 7. The discrete form of load current changing rate is illustrated in (27), where central difference is employed to improve calculation accuracy.
d I M d t = 3 I M ( k ) 4 I M ( k 1 ) + I M ( k 2 ) 2 T s
To suppress disturbances introduced by the current differential term, the result obtained from Equation (27) is low-pass filtered. Voltage variation ranges and the rate of change of bus current is constrained to differentiate between normal voltage disturbances and actual load variations. When both UC3 and dIM3/dt exceed predefined thresholds, the AFC activation flag FLAGff is set. This initiates the computation of the feedforward compensation current Iff. Throughout this process, the maximum bus current IMmax is continuously detected. The peak feedforward current is subsequently determined as Kff*IMmax, where the feedforward coefficient Kff is proportional to the rotor speed.
Due to the introduced feedforward current Iff, the output current is rapidly increased, and voltage fluctuations are promptly suppressed. As a result, the output voltage quickly returns to its normal operating range. Subsequently, Iff is gradually reduced at a configurable rate of Ts*Ifall per control cycle. Meanwhile, the output of the PI controller incrementally increases as the feedforward component diminishes, maintaining a constant total output from the voltage loop (as illustrated in Figure 8b). Once Iff decays to zero, the flag FLAGff is reset to 1, which terminates the AFC process and restores steady-state operation.
Figure 8 illustrates a comparison of the voltage loop output under load variations between the conventional PID and the proposed AFC-based PID. As shown in Figure 8, regardless of the parameter setting, the conventional PID exhibits significant delays, including one-step discrete delay, rise time, and settling time. The output remains unstable until t5. In contrast, the proposed method eliminates delay effects through predictive control and incorporates a combined voltage–current judgment mechanism. This enables immediate activation of the AFC module upon load variation, rapidly adjusting the reference current output with nearly no delay. As a result, the dynamic response and robustness of the system is significantly improved.

4. Simulation Verification

To validate the effectiveness of the proposed method, simulations are carried out in MATLAB/Simulink using a 250 kW high-speed SRG. The nonlinear magnetization characteristics, including saturation effects, are modeled using a pre-characterized ψ(i,θ) lookup table derived from FEA, and the magnetic flux map is shown in Figure 9. The key parameters of the system are summarized in Table 1 and Table 2. The control parameters for both the conventional APC and the proposed MFPC controllers are provided in Table 3. The parameters of the PI controller for the voltage outer loop were tuned using the Ziegler–Nichols method to ensure optimal performance under nominal operating conditions prior to the comparative study. And it is important to note that the turn-on/-off angle and PI parameters of the voltage loop in both APC and MFPC are identical, ensuring the effectiveness of the proposed MFPC.
To evaluate the quality of the DC-link voltage, the amplitude of the DC voltage ripple and the DC distortion factor are defined in Equations (28) and (29), respectively.
U ZM = max [ U max U Z U Z U min ]
k Z J = 1 T i = 1 n ( u Z J i ) 2 T s U Z
where Umax and Umin represent the maximum and minimum instantaneous voltage, Uz denotes the steady-state DC voltage. uZJi denotes the instantaneous sampled voltage of the distorted DC waveform. T, n, Ts are the total sampling duration, number of sampling periods and control period, respectively.
At 12,000 r/min and 160 kW output (Figure 10), the conventional method exhibits significant imbalance in the three-phase currents, which is primarily caused by discrete control delay under high-speed operation. The maximum phase current reaches 736 A, whereas the minimum is only 221 A. Furthermore, the bus voltage shows considerable ripple, with a peak ripple amplitude (UZM) of 15.55 V and a distortion factor (kZJ) of 0.018. In contrast, the proposed algorithm effectively suppresses the delay-induced effects, resulting in nearly balanced three-phase currents. The UZM is reduced significantly to 1.6 V, and kZJ decreases to 0.0012. These improvements correspond to a reduction of over 89% in voltage ripple amplitude and nearly 94% in distortion factor compared to the conventional method.
At 16,000 r/min and 250 kW (Figure 11), the discrete control delay effect becomes more pronounced with increasing speed and load. Under the conventional method, the voltage and current ripples are even more severe, with UZM increasing to 34.72 V and kZJ rising to 0.026. The A-phase current drive signal reveals that the delay effect prevents the phase current from switching off at the reference value in time, leading to significant pulse-width distortions and larger current amplitude variations. The maximum phase current reaches 979.93 A, posing a high risk of overcurrent. In contrast, with the proposed method, the UZM is reduced to only 1.4 V, and the kZJ is lowered to 0.0009. The DC voltage remains stable within the range of 540.8 V to 586.6 V, and the three-phase currents are nearly identical, ensuring stable and reliable operation. This represents a significant reduction of over 95% in voltage ripple and nearly 97% in the distortion factor compared to the conventional method. These results demonstrate that the proposed algorithm effectively mitigates delay effects under high-speed and heavy-load conditions, significantly improving the stability of SRG system.
To evaluate the performance of the proposed ESO under high-speed operating conditions, comparative simulations between fixed-α ESO and the proposed ESO at a reference current of 600 A and 12,000 r/min are conducted. The results are shown in Figure 12. It can be observed that the conventional ESO exhibits significant estimation errors, particularly at the phase current turn-on position, where the maximum prediction error reaches 95 A. This leads to noticeable imbalance in the phase current amplitude. In contrast, the proposed ESO reduces the maximum current estimation error to 48 A, a 50% improvement over the conventional ESO.
Further analysis was conducted to evaluate the impact of the parameter α on the estimation accuracy of ESO. The phase current estimation errors were compared across different values of α and under various operating speeds. The maximum phase current error is defined as the peak-to-peak deviation between the predicted and actual current values within one electrical cycle, as formulated in (30).
i = max ( i ^ ( k ) ) min ( i ^ ( k ) )
As shown in Figure 13, the ESO based on RLS achieves the best current estimation accuracy across the entire speed range. The current estimation error is reduced by 42% to 61% compared to the fixed-α ESO. Furthermore, the estimation error nearly increases with speed, demonstrating improved robustness at high speed.
To assess the transient performance of the proposed method, a step load of 80 kW was applied at 12,000 r/min, and voltage fluctuations were observed. As shown in Figure 14 and Figure 15, with the conventional method, a sudden load increase caused the voltage to drop quickly to 500 V. Due to the PID controller’s integral effect, the reference current increased slowly, and the voltage took 63 ms to recover. In contrast, the proposed algorithm enabled faster response, with voltage recovery within 10 ms. During the transient, the voltage only dropped to 528.4 V, 4.2% below the rated value. These results demonstrate that the proposed method exhibits stronger robustness and stability than the traditional method.
Figure 16 shows the simulation results of bus current estimation at different speeds. When the bus current changes suddenly, the estimated curve tracks the actual current curve rapidly, with the error duration limited to one control cycle. At 12,000 r/min, the steady-state bus current is 295 A, with the estimated current ranging from 260.1 A to 317.9 A, and the maximum estimation error is 29 A. At 16,000 r/min, the steady-state current is 461 A, with the estimated range between 423 A and 483 A, and the maximum error is 36 A. These results demonstrate that the proposed estimation method provides accurate current estimates, both during transient and steady-state conditions, ensuring reliable bus current data for the AFC algorithm.
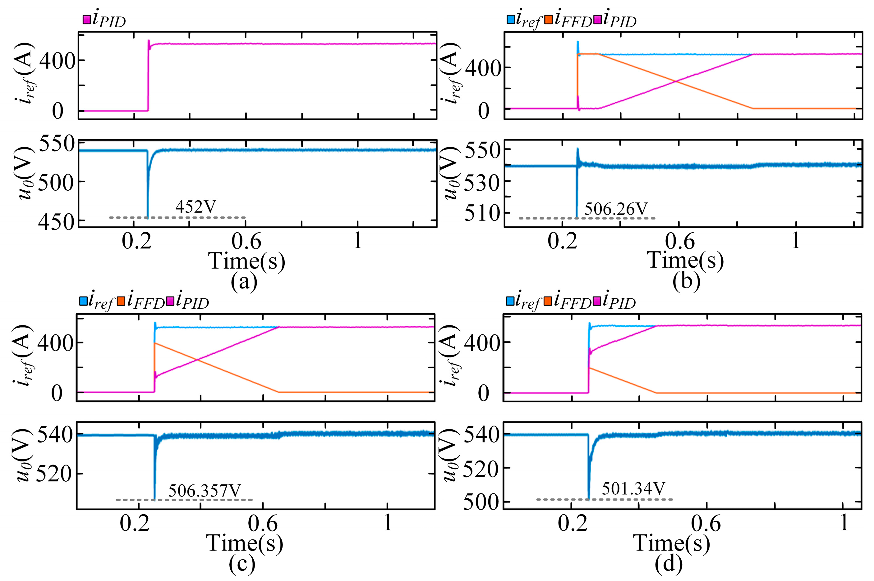
To verify the robustness of the AFC algorithm, transient characteristics were compared under different Kff parameters. As shown in Figure 17, the conventional algorithm has a response time of 49 ms, with a minimum voltage drop to 453 V, resulting in a 16.3% voltage dip. In contrast, the proposed AFC algorithm limits the voltage drop to within 10% and provides faster response times. With Kff = 1.5, the system responds the quickest, recovering to the normal voltage range in just 11 ms. With Kff = 1 and Kff = 0.5, the recovery times are 36 ms and 40 ms, respectively. Regardless of the Kff value, the system with the AFC algorithm consistently demonstrates faster response and superior disturbance rejection, ensuring enhanced system robustness.
To quantitatively evaluate the contribution of each proposed enhancement, an ablation study was conducted under 16,000 r/min and 250 kW conditions. The performance metrics, including current ripple, DC distortion factor, and recovery time during load transient (note: recovery time measured for a step load change from 80 kW to 160 kW.), are consolidated in Table 4. The results clearly demonstrate the progressive improvement achieved by each innovation: two-step prediction reduces delay effects, RLS-based α identification enhances parameter robustness, and AFC dramatically improves dynamic response. The proposed full MFPC strategy synergistically integrates all components to achieve optimal performance.
To further validate the effectiveness of the proposed MFPC method, comparative simulations with FCS-MPC and RMPC have been performed. The comparison at 12,000 r/min and 160 kW is summarized in Table 5. The FCS-MPC controller was implemented with a voltage vector set [Udc, 1/2Udc, 0, −1/2Udc, −Udc] and one-step prediction to compensate for delay. Compared to FCS-MPC, the proposed MFPC reduces current ripple by 49.2% and DC voltage distortion factor by 52%, highlighting the advantage of avoiding model dependency. Compared to RMPC, the proposed MFPC achieves better performance with lower computational cost, demonstrating the superiority of online parameter identification over LUT-based robustness strategies. The proposed MFPC achieves superior performance with lower current ripple and voltage distortion, while the computational time remains almost the same as FCS-MPC method. This limited comparison demonstrates the advantages of the proposed MFPC approach in balancing performance and computational efficiency.
It is important to note that the present validation is simulation-based. While the results demonstrate the potential of the proposed MFPC strategy, the interactions of the ESO, RLS identifier, and AFC threshold logic warrant experimental verification. Future work will prioritize HIL and reduced-power bench testing to conclusively validate these interactions and further refine the algorithm for practical implementation.

5. Conclusions

This paper presents a novel MFPC strategy that distinctively integrates an improved RLS estimator and a bus current predictive AFC, effectively addressing the challenges of current prediction accuracy and system dynamic response in high-speed SRGs. Extensive simulations conducted on a 250 kW 12/8-pole SRG validate the effectiveness of the proposed strategy. The results demonstrate remarkable improvements over conventional APC, with voltage ripple amplitude reduced by over 89% and DC voltage distortion suppressed by more than 90% across various operating points. The proposed method also exhibits significantly enhanced dynamic performance, with voltage recovery time shortened by approximately 84% during step load changes. This work moves beyond conventional MFPC by explicitly coupling current control with voltage stabilization, offering a more holistic solution for aerospace power generation applications.

Author Contributions

Conceptualization, Z.L., S.W. and L.Z.; Methodology, Z.L., S.W. and L.Z.; Software, Z.L.; Validation, Z.L.; Formal analysis, Z.L.; Investigation, Z.L.; Resources, Z.L.; Data curation, Z.L.; Writing–original draft, Z.L.; Writing–review & editing, Z.L.; Visualization, Z.L.; Supervision, Z.L.; Project administration, Z.L.; Funding acquisition, Z.L. All authors have read and agreed to the published version of the manuscript.

Funding

This research received no external funding.

Data Availability Statement

The original contributions presented in this study are included in the article. Further inquiries can be directed to the corresponding author.

Conflicts of Interest

The authors declare no conflict of interest.

Abbreviations

The following abbreviations are used in this manuscript:
APCAngle Position Control
SRGSwitched Reluctance Generator
MFPCModel-Free Predictive Control
ULMUltra-Local Model
ESOExtended State Observer
RLSRecursive Least Squares
AFCAdaptive Feedforward Compensation
MEAMore-Electric Aircraft
EAElectric Aircraft
back-EMFBack-Electromotive Force
PWMPulse-Width Modulation
MPCModel Predictive Control
FCSFinite Control Set
IMInduction Motor
SRMsSwitched Reluctance Machines
RMPCRobust MPC
LUTsLookup Tables
PMSMPermanent Magnet Synchronous Motor
ARXAutoregressive Model with Exogenous Input
RPCRobust Predictive Control
LPVLinear Parameter Varying
CCCCurrent Chopping Control
AHBAsymmetric Half-Bridge
KCLKirchhoff Current Law

References

  1. Sun, G.; Song, S.; Jiang, J.; Ge, L.; Liu, W. Characteristics Testing and Torque Control of Aero-Engine Shaft-Line-Embedded Switched Reluctance Starter/Generator. IEEE Trans. Ind. Appl. 2023, 59, 7295–7305. [Google Scholar] [CrossRef]
  2. Wang, L.; Zhang, D.; Duan, J.; Gu, R. Research on High-Performance Multiphase DC–DC Converter Applied to Distributed Electric Propulsion Aircraft. IEEE Trans. Transp. Electrif. 2023, 9, 3545–3563. [Google Scholar] [CrossRef]
  3. Barzkar, A.; Ghassemi, M. Electric Power Systems in More and All Electric Aircraft: A Review. IEEE Access 2020, 8, 169314–169332. [Google Scholar] [CrossRef]
  4. Sarlioglu, B.; Morris, C.T. More Electric Aircraft: Review, Challenges, and Opportunities for Commercial Transport Aircraft. IEEE Trans. Transp. Electrif. 2015, 1, 54–64. [Google Scholar] [CrossRef]
  5. Valencia, D.F.; Tarvirdilu-Asl, R.; Garcia, C.; Rodriguez, J.; Emadi, A. A Review of Predictive Control Techniques for Switched Reluctance Machine Drives. Part II: Torque Control, Assessment and Challenges. IEEE Trans. Energy Convers. 2021, 36, 1323–1335. [Google Scholar] [CrossRef]
  6. Valencia, D.F.; Tarvirdilu-Asl, R.; Garcia, C.; Rodriguez, J.; Emadi, A. A Review of Predictive Control Techniques for Switched Reluctance Machine Drives. Part I: Fundamentals and Current Control. IEEE Trans. Energy Convers. 2021, 36, 1313–1322. [Google Scholar] [CrossRef]
  7. Wu, Y.; Li, Z.; Wang, S.; Li, L.; Gan, C.; Sun, J. Angle Position Compensation Control Strategy for High-Speed Power Generation of Aerospace Integrated Switched Reluctance Starting/Generating System. IEEE J. Emerg. Sel. Top. Power Electron. 2023, 11, 5690–5700. [Google Scholar] [CrossRef]
  8. Ye, J.; Bilgin, B.; Emadi, A. An Extended-Speed Low-Ripple Torque Control of Switched Reluctance Motor Drives. IEEE Trans. Power Electron. 2015, 30, 1457–1470. [Google Scholar] [CrossRef]
  9. Çavuş, B.; Aktaş, M. MPC-Based Flux Weakening Control for Induction Motor Drive With DTC for Electric Vehicles. IEEE Trans. Power Electron. 2023, 38, 4430–4439. [Google Scholar] [CrossRef]
  10. Sun, X.; Wen, Y.; Zhu, Y.; Zhang, L.; Yao, M.; Lei, G. FCS-MPC With Improved Prediction for Suppressing Torque and Current Pulsations of Switched Reluctance Motors. IEEE Trans. Ind. Electron. 2025, 72, 6831–6839. [Google Scholar] [CrossRef]
  11. Gao, S.; Wei, Y.; Zhang, D.; Qi, H.; Wei, Y.; Yang, Z. Model-Free Hybrid Parallel Predictive Speed Control Based On Ultralocal Model of PMSM for Electric Vehicles. IEEE Trans. Ind. Electron. 2022, 69, 9739–9748. [Google Scholar] [CrossRef]
  12. Zhou, C.; Zhang, Y.; Yang, H. Model-Free Predictive Control of Motor Drives: A Review. CES Trans. Electr. Mach. Syst. 2025, 9, 76–90. [Google Scholar] [CrossRef]
  13. Yuan, X.; Zhang, S.; Zhang, C. Improved Model Predictive Current Control for SPMSM Drives With Parameter Mismatch. IEEE Trans. Ind. Electron. 2020, 67, 852–862. [Google Scholar] [CrossRef]
  14. Siami, M.; Khaburi, D.A.; Rodríguez, J. Torque Ripple Reduction of Predictive Torque Control for PMSM Drives With Parameter Mismatch. IEEE Trans. Power Electron. 2017, 32, 7160–7168. [Google Scholar] [CrossRef]
  15. Khalilzadeh, M.; Vaez-Zadeh, S.; Rodriguez, J.; Heydari, R. Model-Free Predictive Control of Motor Drives and Power Converters: A Review. IEEE Access 2021, 9, 105733–105747. [Google Scholar] [CrossRef]
  16. Rodríguez, J.; Heydari, R.; Rafiee, Z.; Young, H.A.; Flores-Bahamonde, F.; Shahparasti, M. Model-Free Predictive Current Control of a Voltage Source Inverter. IEEE Access 2020, 8, 211104–211114. [Google Scholar] [CrossRef]
  17. Han, G.; Zhang, L.; Wang, Y.; Xu, S.; Yu, D. Variable Switching Point Model-Free Predictive Current Control Strategy for SRM. IEEE Trans. Ind. Electron. 2025, 72, 4470–4480. [Google Scholar] [CrossRef]
  18. Lin, C.-K.; Yu, J.; Lai, Y.-S.; Yu, H.-C. Improved Model-Free Predictive Current Control for Synchronous Reluctance Motor Drives. IEEE Trans. Ind. Electron. 2016, 63, 3942–3953. [Google Scholar] [CrossRef]
  19. Tavakolian, S.; Fang, G.; Dhale, S.; Mobarakeh, B.N. Fixed-Switching Model-Free Predictive Current Control of Switched Reluctance Motor Using Parameter Estimation. In Proceedings of the 2024 IEEE Transportation Electrification Conference and Expo (ITEC), Chicago, IL, USA, 19–21 August 2024; pp. 1–4. [Google Scholar]
  20. Zhou, F.; Peng, H.; Zhang, G.; Zeng, X.; Peng, X. Robust Predictive Control Algorithm Based on Parameter Variation Rate Information of Functional-Coefficient ARX Model. IEEE Access 2019, 7, 27231–27243. [Google Scholar] [CrossRef]
  21. Lin, C.-K.; Liu, T.-H.; Yu, J.; Fu, L.-C.; Hsiao, C.-F. Model-Free Predictive Current Control for Interior permanent-magnet synchronous motor drives based on current difference detection technique. IEEE Trans. Ind. Electron. 2014, 61, 667–681. [Google Scholar] [CrossRef]
  22. Su, G.; Li, H.; Li, Z.; Zhou, Y. Model-Free Control of Permanent Magnet Synchronous Linear Motor Based on Ultra-Local Model. Chin. J. Electr. Eng. 2024, 10, 73–82. [Google Scholar] [CrossRef]
  23. Zhang, Y.; Jin, J.; Huang, L. Model-Free Predictive Current Control of PMSM Drives Based on Extended State Observer Using Ultralocal Model. IEEE Trans. Ind. Electron. 2021, 68, 993–1003. [Google Scholar] [CrossRef]
  24. Liu, Y.-C.; Laghrouche, S.; Depernet, D.; N’Diaye, A.; Djerdir, A.; Cirrincione, M. Disturbance-Observer-Based Speed Control for SPMSM Drives Using Modified Super-Twisting Algorithm and Extended State Observer. Asian J. Control. 2024, 26, 1089–1102. [Google Scholar] [CrossRef]
  25. Zhang, J.; Liu, C.; Chen, S.; Zhang, L. Research on Speed Control of Switched Reluctance Motors Based on Improved Super-Twisting Sliding Mode and Linear Active Disturbance Rejection Control. Electronics 2025, 14, 1065. [Google Scholar] [CrossRef]
  26. Niu, C.; Ma, E.; Zhao, J.; Meng, X. Sensorless Active Flux Estimation Method of PMSM Drives Based on ESO. In Proceedings of the 2025 IEEE 8th International Electrical and Energy Conference (CIEEC), Changsha, China, 16–18 May 2025; pp. 675–680. [Google Scholar]
  27. Zhang, X.; Saelens, D.; Roels, S. Estimating Dynamic Solar Gains from On-Site Measured Data: An ARX Modelling Approach. Appl. Energy 2022, 321, 119278. [Google Scholar] [CrossRef]
  28. Han, G.; Zhu, H.; Zhang, L.; Hong, J.; Zhu, B. Model-Free Current Predictive Control Method for Switched Reluctance Motors. IEEE Trans. Ind. Electron. 2024, 71, 12041–12050. [Google Scholar] [CrossRef]
  29. Carlet, P.G.; Tinazzi, F.; Bolognani, S.; Zigliotto, M. An Effective Model-Free Predictive Current Control for Synchronous Reluctance Motor Drives. IEEE Trans. Ind. Appl. 2019, 55, 3781–3790. [Google Scholar] [CrossRef]
  30. Li, X.; Yang, Y.; Sun, J.; Xiao, Y.; Fan, M.; Ni, K.; Hu, J.; Wen, H.; Yang, H.; Rodriguez, J. Multiple-Voltage-Vector Model-Free Predictive Deadbeat Control With Updated Reference Voltage Vector for PMSM Drive. IEEE Trans. Power Electron. 2025, 40, 6492–6505. [Google Scholar] [CrossRef]
  31. Sun, C.; Sun, X.; Garcia, C.; Rodriguez, J.; Yang, Z.; Han, S. Model Predictive Current Control of Six-Phase Switched Reluctance Motor With Enhanced Robustness Based on Improved Lehuy Model. IEEE Trans. Transp. Electrif. 2025, 11, 6177–6187. [Google Scholar] [CrossRef]
Figure 1. Block diagram of traditional generation control strategy.
Figure 1. Block diagram of traditional generation control strategy.
Energies 18 05501 g001
Figure 2. Delay effect in conventional APC method (a) Delay impact on θon. (b) Delay impact on θoff and iref.
Figure 2. Delay effect in conventional APC method (a) Delay impact on θon. (b) Delay impact on θoff and iref.
Energies 18 05501 g002
Figure 3. Block diagram of the proposed strategy.
Figure 3. Block diagram of the proposed strategy.
Energies 18 05501 g003
Figure 4. Block diagram of the proposed MFPC method.
Figure 4. Block diagram of the proposed MFPC method.
Energies 18 05501 g004
Figure 5. Flowchart of the improved RLS method.
Figure 5. Flowchart of the improved RLS method.
Energies 18 05501 g005
Figure 6. The main circuit topology structure of SRS/G.
Figure 6. The main circuit topology structure of SRS/G.
Energies 18 05501 g006
Figure 7. The computational process of the AFC strategy.
Figure 7. The computational process of the AFC strategy.
Energies 18 05501 g007
Figure 8. Voltage loop output under step load. (a) Conventional PID controller. (b) AFC-based PID controller.
Figure 8. Voltage loop output under step load. (a) Conventional PID controller. (b) AFC-based PID controller.
Energies 18 05501 g008
Figure 9. Magnetic flux map considering saturation effect.
Figure 9. Magnetic flux map considering saturation effect.
Energies 18 05501 g009
Figure 10. Simulation results of 12,000 r/min and 160 kW (a) traditional method, (b) proposed method.
Figure 10. Simulation results of 12,000 r/min and 160 kW (a) traditional method, (b) proposed method.
Energies 18 05501 g010
Figure 11. Simulation results of 16,000 r/min and 250 kW (a) traditional method, (b) proposed method.
Figure 11. Simulation results of 16,000 r/min and 250 kW (a) traditional method, (b) proposed method.
Energies 18 05501 g011
Figure 12. Predicted current and current error (a) ESO with fixed α. (b) Proposed ESO.
Figure 12. Predicted current and current error (a) ESO with fixed α. (b) Proposed ESO.
Energies 18 05501 g012
Figure 13. Current error under different speed conditions.
Figure 13. Current error under different speed conditions.
Energies 18 05501 g013
Figure 14. Simulation results of the proposed method under step load condition from 80 kW to 160 kW.
Figure 14. Simulation results of the proposed method under step load condition from 80 kW to 160 kW.
Energies 18 05501 g014
Figure 15. Simulation results of conventional method under step load condition from 80 kW to 160 kW.
Figure 15. Simulation results of conventional method under step load condition from 80 kW to 160 kW.
Energies 18 05501 g015
Figure 16. Bus current prediction results (a) 16,000 r/min, (b) 12,000 r/min.
Figure 16. Bus current prediction results (a) 16,000 r/min, (b) 12,000 r/min.
Energies 18 05501 g016
Figure 17. Simulation results of 16,000 r/min and 250 kW. (a) Conventional method, (b) AFC with Kff = 1.5, (c) AFC with Kff = 1, (d) AFC with Kff = 0.5.
Figure 17. Simulation results of 16,000 r/min and 250 kW. (a) Conventional method, (b) AFC with Kff = 1.5, (c) AFC with Kff = 1, (d) AFC with Kff = 0.5.
Energies 18 05501 g017
Table 1. Parameter of simulated motor.
Table 1. Parameter of simulated motor.
ParameterUnitValue
Rated PowerkW250
Rated speedr/min16,000
Speed Range of Generationr/min12,000–19,000
Rated Bus VoltageV540
Phase ResistanceΩ0.006826
Number of Poles-12/8
Moment of InertiaKg·m20.067
Number of Phases-3
Table 2. Parameters of controller and converter.
Table 2. Parameters of controller and converter.
ParameterValue
Capacitance C12000 µF
Capacitance C22000 µF
Capacitance C32000 µF
Inductance Lf1 µH
Converter Dead Time2 µs
Sampling Frequency20 kHz
PWM Frequency20 kHz
Table 3. Control parameter of controllers.
Table 3. Control parameter of controllers.
Conventional APCProposed MFPC
Turn-on angle105°RLS forgetting factor λ0.92
Turn-off angle285°AFC gain Kff1.5
Kp of voltage loop20ESO gain β12 × 30,000
Ki of voltage loop0.5ESO gain β230,0002
Ts50 µsTs50 µs
Table 4. Ablation study of the proposed MFPC components (at 16,000 r/min, 250 kW).
Table 4. Ablation study of the proposed MFPC components (at 16,000 r/min, 250 kW).
ConfigurationCurrent Ripple
(A, Peak–Peak)
DC Voltage Distortion FactorRecovery Time
(ms)
Conventional APC732.30.02663
+Two-step prediction341.20.01258
+Two-step + Fixed-α ESO156.90.005851
+Two-step + RLS-α ESO78.20.002249
Full MFPC (Proposed)58.300.000910
Full MFPC without AFC58.300.000949
Table 5. Performance comparison with MPC method (12,000 r/min, 160 kW).
Table 5. Performance comparison with MPC method (12,000 r/min, 160 kW).
ConfigurationFCS-MPCRMPCProposed MFPC
Current Ripple (A, peak-peak)85.453.443.2
DC Distortion Factor (kzj)0.00250.00150.0012
Relative Computation Time1.0 (baseline)1.51.2
Disclaimer/Publisher’s Note: The statements, opinions and data contained in all publications are solely those of the individual author(s) and contributor(s) and not of MDPI and/or the editor(s). MDPI and/or the editor(s) disclaim responsibility for any injury to people or property resulting from any ideas, methods, instructions or products referred to in the content.

Share and Cite

MDPI and ACS Style

Li, Z.; Wang, S.; Zhou, L. Model-Free Predictive Current Control Method for High-Speed Switched Reluctance Generator. Energies 2025, 18, 5501. https://doi.org/10.3390/en18205501

AMA Style

Li Z, Wang S, Zhou L. Model-Free Predictive Current Control Method for High-Speed Switched Reluctance Generator. Energies. 2025; 18(20):5501. https://doi.org/10.3390/en18205501

Chicago/Turabian Style

Li, Zixin, Shuanghong Wang, and Libing Zhou. 2025. "Model-Free Predictive Current Control Method for High-Speed Switched Reluctance Generator" Energies 18, no. 20: 5501. https://doi.org/10.3390/en18205501

APA Style

Li, Z., Wang, S., & Zhou, L. (2025). Model-Free Predictive Current Control Method for High-Speed Switched Reluctance Generator. Energies, 18(20), 5501. https://doi.org/10.3390/en18205501

Note that from the first issue of 2016, this journal uses article numbers instead of page numbers. See further details here.

Article Metrics

Back to TopTop