Design of a Boomerang-Type Rotor for Achieving IE4 Efficiency in a 37 kW LS-SynRM
Abstract
1. Introduction
2. Operating Principle
2.1. Synchronous State Operating
2.2. Asynchronous State Operating
3. Basic Design of LS-SynRM Rotors
3.1. Bar-Type Rotor Design
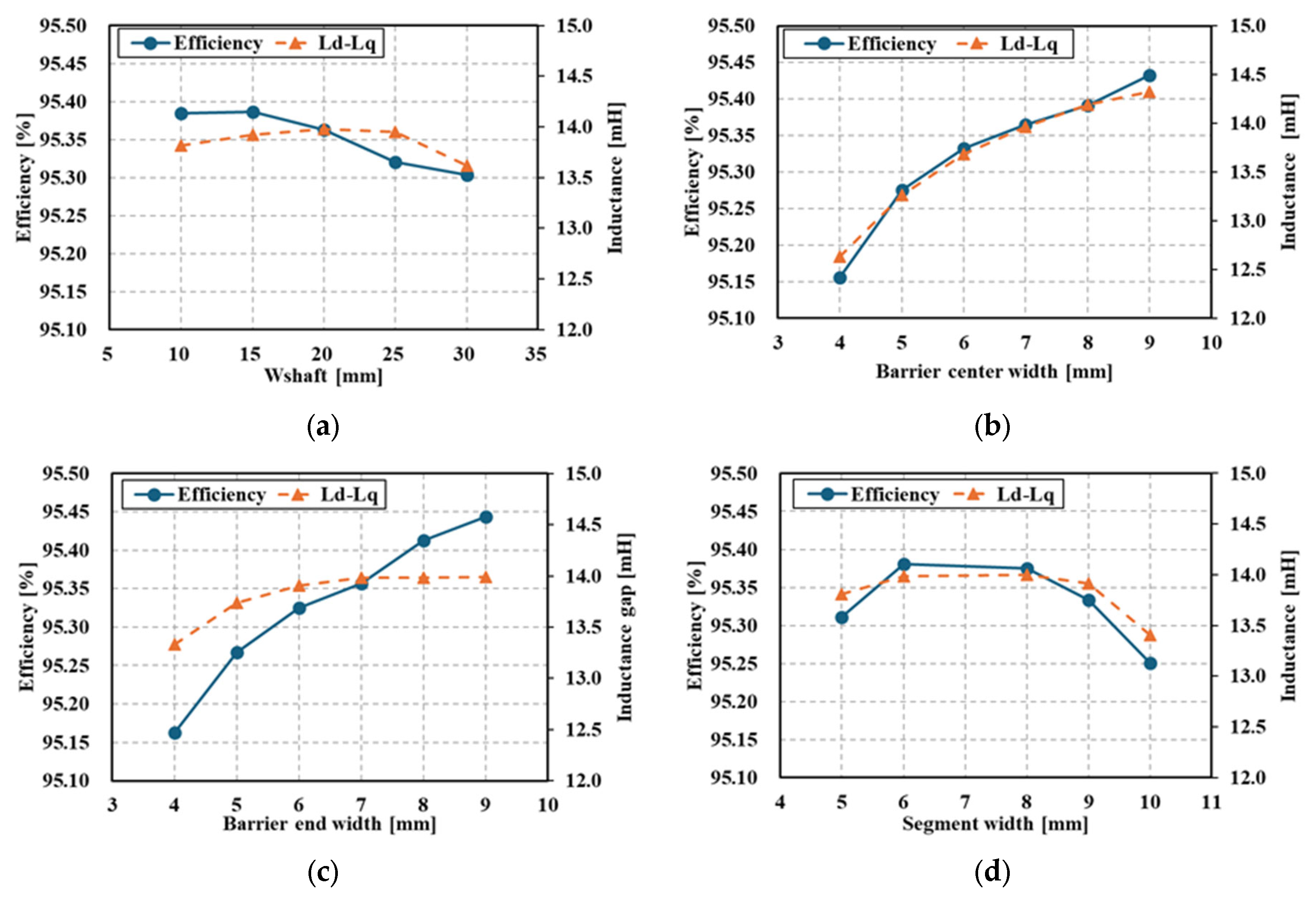
3.2. Boomerang-Type Rotor Design
- XA1: Wshaft, XB1: Wbc/(Wbc + Wseg), XC1: Wbe/Wbc;
- XA2: Wshaft, XB2: Wbc, XC2: Wseg, Wbe is same with Wbc.
3.3. Design Results and Selection of the Final Rotor Type
4. Detailed Design of the Boomerang-Type Rotor
4.1. Length of the Conductor Bar
4.2. Conductor Bar Rounding and Rib Thickness

4.3. 37 kW LS-SynRM Final Model
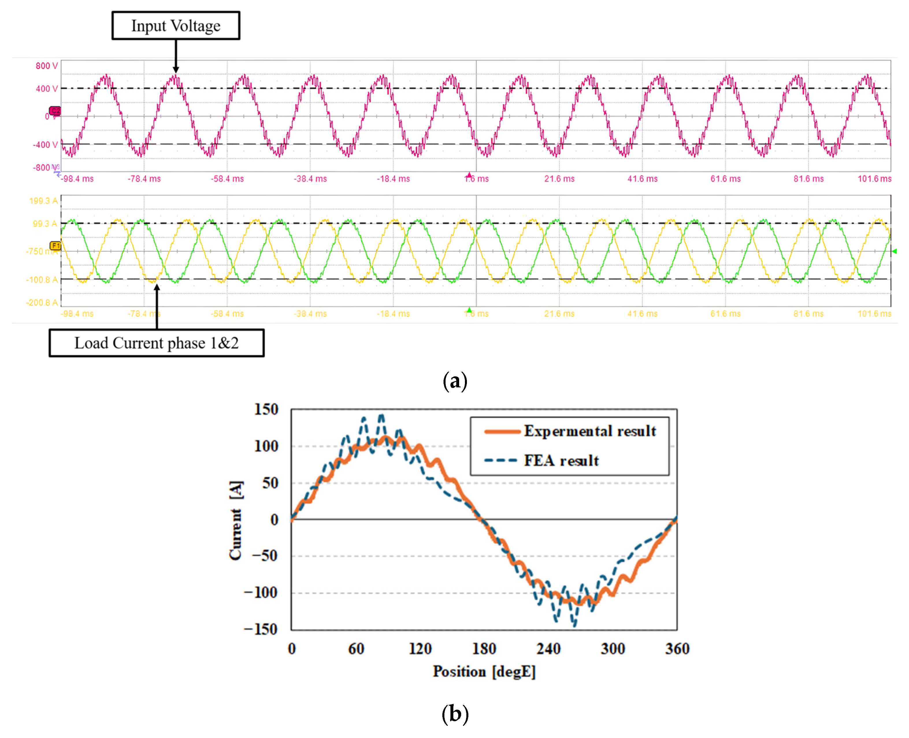
5. Experimental Results
6. Conclusions
Author Contributions
Funding
Data Availability Statement
Conflicts of Interest
References
- KS C IEC 60034-30-1; Rotating Electrical Machines—Part 30-1: Efficiency Classes of Line Operated AC Motors (IE Code). Korean Agency for Technology and Standards: Eumseong, Republic of Korea, 2024.
- Gregor, R. Induction Motors: Applications, Control and Fault Diagnostics; IntechOpen: Rijeka, Croatia, 2015. [Google Scholar] [CrossRef]
- Patel, M. Shipboard Electrical Power Systems, 2nd ed.; CRC Press: Boca Raton, FL, USA, 2021. [Google Scholar] [CrossRef]
- Kersten, A.; Liu, Y.; Pehrman, D.; Thiringer, T. Rotor design of line-start synchronous reluctance machine with round bars. IEEE Trans. Ind. Appl. 2019, 55, 3685–3696. [Google Scholar] [CrossRef]
- Xie, Y.; Pi, C.; Li, Z. Study on Design and Vibration Reduction Optimization of High Starting Torque Induction Motor. Energies 2019, 12, 1263. [Google Scholar] [CrossRef]
- Fuchsloch, J.F.; Finley, W.R.; Walter, R.W. Next Generation NEMA Premium® Motors Substantially Lower Operating Costs. In Proceedings of the 2006 Record of Conference Papers—IEEE Industry Applications Society 53rd Annual Petroleum and Chemical Industry Conference, Philadelphia, PA, USA, 11–15 September 2006; pp. 1–7. [Google Scholar]
- Almeida, A.T.; Ferreria, F.J.T.E.; Fong, J.A.C.; Brunner, C.U. Electric Motor Standards, Ecodesign and Global Market Transformation. In Proceedings of the 2008 IEEE/IAS Industrial and Commercial Power Systems Technical Conference, Clearwater Beach, FL, USA, 4–8 May 2008; pp. 1–9. [Google Scholar]
- Subramanian, M.; Devarajan, N.; Deivasahayam, S.M.; Ranganathan, G. Review on Efficiency Improvement in Squirrel Cage Induction Motor by using DCR Technology. J. Electr. Eng. 2009, 60, 227–236. [Google Scholar]
- Kim, H.; Kang, J.; Kim, J.; Ahn, J.; Yun, I.; Lee, J.; Noh, Y. Design and Analysis of Line-Start Synchronous Reluctance Motor Considering the Maximum Inertia and Power Factor. IEEE Trans. Ind. Appl. 2023, 59, 5908–5918. [Google Scholar] [CrossRef]
- Hu, Y.; Chen, B.; Xiao, Y.; Shi, J.; Li, X.; Li, L. Rotor Design and Optimization of a Three-Phase Line-Start Synchronous Reluctance Motor. IEEE Trans. Ind. Appl. 2021, 57, 1365–1374. [Google Scholar] [CrossRef]
- Liu, C.-T.; Shih, P.-C.; Cai, Z.-H.; Yen, S.-C.; Lin, H.-N.; Hsu, Y.-W.; Luo, T.-Y.; Lin, S.-Y. Rotor Conductor Arrangement Designs of High-Efficiency Direct-on-Line Synchronous Reluctance Motors for Metal Industry Applications. IEEE Trans. Ind. Appl. 2020, 56, 4337–4344. [Google Scholar] [CrossRef]
- Liu, H.-C.; Lee, J. Optimum Design of an IE4 Line-Start Synchronous Reluctance Motor Considering Manufacturing Process Loss Effect. IEEE Trans. Ind. Electron. 2018, 65, 3104–3114. [Google Scholar] [CrossRef]
- Liu, H.-C.; Hong, H.-S.; Cho, S.; Lee, J.; Jin, C.-S. Bubbles and Blisters Impact on Diecasting Cage to the Designs and Operations of Line-Start Synchronous Reluctance Motors. IEEE Trans. Magn. 2017, 53, 8202504. [Google Scholar] [CrossRef]
- Kim, H.; Park, Y.; Oh, S.-T.; Jang, H.; Won, S.-H.; Chun, Y.-D.; Lee, J. A Study on the Rotor Design of Line Start Synchronous Reluctance Motor for IE4 Efficiency and Improving Power Factor. Energies 2020, 13, 5774. [Google Scholar] [CrossRef]
- Farhadian, M.; Moallem, M.; Fahimi, B.; Dehkordi, B.M.; Sahebzamani, M. Alternate Rotor Design for Line-Start Synchronous Reluctance Motor with Minimum Use of Copper. IEEE Access 2024, 12, 73–84. [Google Scholar] [CrossRef]
- Rao, P.; Chen, Y.; Goldberg, M.L.; Jones, B.; Cropp, J.; Hester, J. United States Industrial and Commercial Motor System Market Assessment Report, Volume 1: Characteristics of the Installed Base; Lawrence Berkeley National Laboratory, U.S. Department of Energy: Berkeley, CA, USA, 2021. [CrossRef]
- Smit, Q.; Sorgdrager, A.; Wang, R.-J. Design and optimisation of a line-start synchronous reluctance motor. In Proceedings of the 24th Southern African Universities Power Engineering Conference, Vereeniging, South Africa, 26–28 January 2016. [Google Scholar]
- Aguba, V.; Muteba, M.; Nicolae, D.V. Transient analysis of a start-up synchronous reluctance motor with symmetrical distributed rotor cage bars. In Proceedings of the 2017 IEEE AFRICON, Cape Town, South Africa, 18–20 September 2017; pp. 1290–1295. [Google Scholar]
- Kersten, A. Efficiency Investigation of Line Start Synchronous Reluctance Motors. Master’s Thesis, Department of Energy and Environment, Chalmers University of Technology, Göteborg, Sweden, 2017. [Google Scholar]
- Gamba, M.; Armando, E.; Pellegrino, G.; Vagati, A.; Janjic, B.; Schaab, J. Line-start synchronous reluctance motors: Design guidelines and testing via active inertia emulation. In Proceedings of the 2015 IEEE Energy Conversion Congress and Exposition (ECCE), Montreal, QC, Canada, 20–24 September 2015; pp. 4820–4827. [Google Scholar]
- Kim, M. A Study on the Design Method and Operating Characteristics Analysis for EV Traction Induction Motor. Ph.D. Thesis, Department of Energy and Environment, Hanyang University, Seoul, Republic of Korea, 2013. [Google Scholar]
- Gamba, M.; Pellegrino, G.; Vagati, A. Design of Non Conventional Synchronous Reluctance Machine. Master’s Thesis, Pelitecnico di Torino, Department of Energy, Turin, Italy, 2017. [Google Scholar]
- IEC 60034-12; Rotating Electrical Machines—Part 12: Starting Performance of Single-Speed Three-Phase Cage Induction Motors. BSI: London, UK, 2024.
- Lin, D.; Zhou, P.; Fu, W.; Badics, Z.; Cendes, Z. A dynamic core loss model for soft ferromagnetic and power ferrite materials in transient finite element analysis. IEEE Trans. Magn. 2004, 40, 1318–1321. [Google Scholar] [CrossRef]
- Kang, J.; Kim, J.; Park, Y.; Kim, C.; Lee, J.; Kim, H. Optimization of SynRM for High Efficiency Considering Airgap Flux Density Shape. In Proceedings of the 2022 IEEE 20th Biennial Conference on Electromagnetic Field Computation, Denver, CO, USA, 24–26 October 2022; pp. 1–2. [Google Scholar]
- Moghaddam, R.R. Synchronous Reluctance Machine Design. Master’s Thesis, Royal Institute of Technology (KTH), Stockholm, Sweden, 2007. [Google Scholar]
- Ortega-Casanova, J. CFD study on mixing enhancement in a channel at a low Reynolds number by pitching a square cylinder. Comput. Fluids 2017, 145, 141–152. [Google Scholar] [CrossRef]
- Gilmour, S.G. Response surface designs for experiments in bioprocessing. Biometrics 2006, 62, 323–331. [Google Scholar] [CrossRef] [PubMed]
- Mourabet, M.; El Rhilassi, A.; El Boujaady, H.; Bennani-Ziatni, M.; Taitai, A. Use of response surface methodology for optimization of fluoride adsorption in an aqueous solution by Brushite. Arab. J. Chem. 2017, 10, S3292–S3302. [Google Scholar] [CrossRef]
- Khodaei, B.; Sobati, M.A.; Shahhosseini, S. Optimization of ultrasound-assisted oxidative desulfurization of high sulfur kerosene using response surface methodology (RSM). Clean Technol. Environ. Policy 2016, 18, 2677–2689. [Google Scholar] [CrossRef]
- Liu, J.; Wang, J.; Leung, C.; Gao, F. A Multi-Parameter Optimization Model for the Evaluation of Shale Gas Recovery Enhancement. Energies 2018, 11, 654. [Google Scholar] [CrossRef]
- Yolmeh, M.; Jafari, S.M. Applications of response surface methodology in the food industry processes. Food Bioprocess Technol. 2017, 10, 413–433. [Google Scholar] [CrossRef]
- Jung, Y.S.; Kwak, Y.S.; Lee, J.; Jin, C.S. Study on the optimal design of PMa-SynRM loading ratio for achievement of ultra-premium efficiency. IEEE Trans. Magn. 2017, 53, 8001904. [Google Scholar] [CrossRef]
- Kim, S.-I.; Hong, J.-P.; Kim, Y.-K.; Nam, H.; Cho, H.-I. Optimal design slotless-type PMLSM considering multiple response by response surface methodology. IEEE Trans. Magn. 2006, 42, 1219–1222. [Google Scholar]
- Saha, S.; Choi, G.-D.; Cho, Y.-H. Optimal rotor shape design of LSPM with efficiency and power factor improvement using response surface methodology. IEEE Trans. Magn. 2015, 51, 8113104. [Google Scholar] [CrossRef]
- Yang, H.; Gong, S.; Liu, Y.; Lin, Z.; Qu, Y. A Multi-task Learning Model for Daily Activity Forecast in Smart Home. Sensors 2020, 20, 1933. [Google Scholar] [CrossRef]
- Piotrowski, P.; Rutyna, I.; Baczyński, D.; Kopyt, M. Evaluation Metrics for Wind Power Forecasts: A Comprehensive Review and Statistical Analysis of Errors. Energies 2022, 15, 9657. [Google Scholar] [CrossRef]





















| Item | Value | Unit |
|---|---|---|
| Target efficiency | 95.4 | % |
| Maximum external inertia moment | 4.376 | kg·m2 |
| Input voltage | 380 | V |
| Frequency | 60 | Hz |
| Stator outer diameter | 345 | mm |
| Stator inner diameter | 235 | mm |
| Air gap | 0.9 | mm |
| Number of slots | 48 | - |
| Turn for the slot | 5 | - |
| Core material | 50PN470 | - |
| Iron loss coefficient (Kh/Ke) | 152.60/1.28 | |
| Core yield strength | 275 | MPa |
| Conductor bar material | Aluminum | - |
| Phase resistance @60 °C | 0.04 | Ohm |
| Rated load torque | 196.3 | Nm |
| Mechanical + stray loss | 500 | W |
| Num. of Flux Barrier Layers | Load Current [Arms] | Efficiency [%] | Power Factor [-] | Ld − Lq [mH] |
|---|---|---|---|---|
| 4 layers | 91.0 | 94.49 | 0.65 | 5.35 |
| 5 layers | 85.4 | 94.91 | 0.69 | 6.15 |
| 6 layers | 81.0 | 95.12 | 0.72 | 7.54 |
| Num. of Flux Barrier Layers | Load Current [Arms] | Efficiency [%] | Power Factor [-] | Ld − Lq [mH] |
|---|---|---|---|---|
| 4 layers | 75.6 | 94.90 | 0.79 | 14.25 |
| 5 layers | 78.2 | 94.77 | 0.75 | 12.99 |
| Wshaft [mm] | Wbc [mm] | Wbe [mm] | Wseg [mm] |
|---|---|---|---|
| 20 | 7.5 | 7 | 9 |
| Case | XA | XB | XC |
|---|---|---|---|
| 1 | 15–20 mm | 0.35–0.55 | 0.4–0.8 |
| 2 | 15–20 mm | 6–9 mm | 6–9 mm |
| Case 1 | Case 2 | |||
|---|---|---|---|---|
| i/ij | Effciency | Power Factor | Effciency | Power Factor |
| 0 | 89.26 | 0.166 | 85.64 | 0.310 |
| A | 0.39 | 0.042 | −0.042 | 0.036 |
| B | 4.89 | 0.516 | 1.80 | 0.106 |
| C | 4.65 | 0.394 | 1.13 | 0.122 |
| AA | −6 × 10−3 | −7 × 10−4 | −9 × 10−3 | −0.002 |
| AB | −4.26 | −0.428 | −0.37 | −0.022 |
| AC | −1.10 | −0.056 | −0.25 | −0.005 |
| BB | −0.10 | −0.012 | 0.13 | 0.008 |
| BC | −0.20 | −0.022 | −0.06 | −0.002 |
| CC | 0.89 | 0.131 | 0.07 | 0.001 |
| Parameter | Efficiency [%] | Power Factor [-] | |||||
|---|---|---|---|---|---|---|---|
| Case | XA | XB | XC | RSM | FEA | RSM | FEA |
| 1 | 14.5 mm | 0.46 | 0.8 | 95.3 | 95.2 | 0.77 | 0.79 |
| 2 | 14 mm | 6 mm | 9.5 mm | 95.6 | 95.7 | 0.79 | 0.80 |
| Item | Case 1 | Case 2 | ||
|---|---|---|---|---|
| Efficiency | PF | Efficiency | PF | |
| NMAE | 0.122 | 0.116 | 0.052 | 0.021 |
| R2 | 0.817 | 0.801 | 0.996 | 0.995 |
| Bar-Type | Boomerang-Type | |||
|---|---|---|---|---|
| Item | Without Notch | With Notch | Case 1 | Case 2 |
| Rotor inertia moment (kg∙m2) | 0.38 | 0.37 | 0.46 | 0.42 |
| Load current (Arms) | 72.7 | 72.5 | 75.9 | 73.0 |
| Stator ohmic loss (W) | 632 | 628 | 689 | 637 |
| Iron loss (W) | 438 | 427 | 391 | 330 |
| Rotor ohmic loss (W) | 282 | 225 | 310 | 191 |
| Efficiency (%) | 95.3 | 95.4 | 95.2 | 95.7 |
| Power factor (-) | 0.81 | 0.81 | 0.79 | 0.80 |
| Saliency ratio (-) | 2.9 | 2.9 | 2.6 | 2.8 |
| Ld − Lq (mH) | 14.7 | 14.8 | 14.0 | 14.7 |
| Current THD (%) | 10.5 | 7.4 | 11.5 | 7.0 |
| Item | Value | Unit |
|---|---|---|
| Rotor inertia moment | 0.423 | kg∙m2 |
| Load current | 76.2 | Arms |
| Stator ohmic loss | 694 | W |
| Iron loss | 392 | W |
| Rotor ohmic loss | 141 | W |
| Efficiency | 95.6 | % |
| Power factor | 0.77 | - |
| Current THD | 6.2 | % |
| Test Number | Speed [rpm] | Torque [Nm] | Output Power [W] | Current [A] | Voltage [V] | Power Factor [-] | Input Power [W] | Efficiency [%] |
|---|---|---|---|---|---|---|---|---|
| 1 | 1800 | 195.9 | 36,926 | 77.43 | 380.35 | 0.753 | 38,450 | 96.04 |
| 2 | 1801 | 196.6 | 37,078 | 77.89 | 380.01 | 0.757 | 38,810 | 95.54 |
| 3 | 1800 | 196.3 | 37,001 | 77.36 | 380.33 | 0.754 | 38,460 | 96.21 |
| 4 | 1800 | 196.2 | 36,982 | 77.46 | 380.38 | 0.754 | 38,570 | 95.89 |
| 5 | 1800 | 196.2 | 36,982 | 77.27 | 380.51 | 0.755 | 38,460 | 96.16 |
| 6 | 1801 | 196.1 | 36,984 | 77.89 | 380.23 | 0.757 | 38,850 | 95.20 |
| 7 | 1800 | 196.1 | 36,964 | 77.67 | 380.52 | 0.756 | 38,710 | 95.49 |
| 8 | 1801 | 196.3 | 37,022 | 77.51 | 380.34 | 0.757 | 38,660 | 95.76 |
| 9 | 1800 | 196.4 | 37,020 | 77.43 | 380.21 | 0.756 | 38,590 | 95.93 |
| 10 | 1800 | 196.4 | 37,020 | 77.31 | 380.44 | 0.756 | 38,510 | 96.13 |
| Average | 1800 | 196.3 | 36,998 | 77.52 | 380.33 | 0.756 | 38,607 | 95.83 |
| FEA | 1800 | 196.3 | 37,001 | 76.20 | 380.00 | 0.771 | 38,703 | 95.60 |
| Error [%] | - | - | - | 1.70 | - | 1.98 | 0.24 | 0.02 |
Disclaimer/Publisher’s Note: The statements, opinions and data contained in all publications are solely those of the individual author(s) and contributor(s) and not of MDPI and/or the editor(s). MDPI and/or the editor(s) disclaim responsibility for any injury to people or property resulting from any ideas, methods, instructions or products referred to in the content. |
© 2025 by the authors. Licensee MDPI, Basel, Switzerland. This article is an open access article distributed under the terms and conditions of the Creative Commons Attribution (CC BY) license (https://creativecommons.org/licenses/by/4.0/).
Share and Cite
Kim, C.-S.; Park, C.-B.; Lee, J.-B.; Kim, S.-H.; Lee, H.-W. Design of a Boomerang-Type Rotor for Achieving IE4 Efficiency in a 37 kW LS-SynRM. Energies 2025, 18, 5464. https://doi.org/10.3390/en18205464
Kim C-S, Park C-B, Lee J-B, Kim S-H, Lee H-W. Design of a Boomerang-Type Rotor for Achieving IE4 Efficiency in a 37 kW LS-SynRM. Energies. 2025; 18(20):5464. https://doi.org/10.3390/en18205464
Chicago/Turabian StyleKim, Choung-Seo, Chan-Bae Park, Jae-Bum Lee, Seong-Hwi Kim, and Hyung-Woo Lee. 2025. "Design of a Boomerang-Type Rotor for Achieving IE4 Efficiency in a 37 kW LS-SynRM" Energies 18, no. 20: 5464. https://doi.org/10.3390/en18205464
APA StyleKim, C.-S., Park, C.-B., Lee, J.-B., Kim, S.-H., & Lee, H.-W. (2025). Design of a Boomerang-Type Rotor for Achieving IE4 Efficiency in a 37 kW LS-SynRM. Energies, 18(20), 5464. https://doi.org/10.3390/en18205464

