Method and Experimental Research of Transmission Line Tower Grounding Body Condition Assessment Based on Multi-Parameter Time-Domain Pulsed Eddy Current Characteristic Signal Extraction
Abstract
1. Introduction
2. Multi-Parameter Time-Domain Feature Signal Extraction and SVM Corrosion Evaluation Classification
2.1. DTC Signal Extraction
2.2. Identification and Classification of Grounding Body Parameters Using TDC-SVM
3. Simulation Validation of a Multi-Parameter Time-Domain Characterization Method for Corrosion Assessment
3.1. Influence of Multiple Parameters of the Grounding Body on the Decay Time Constant
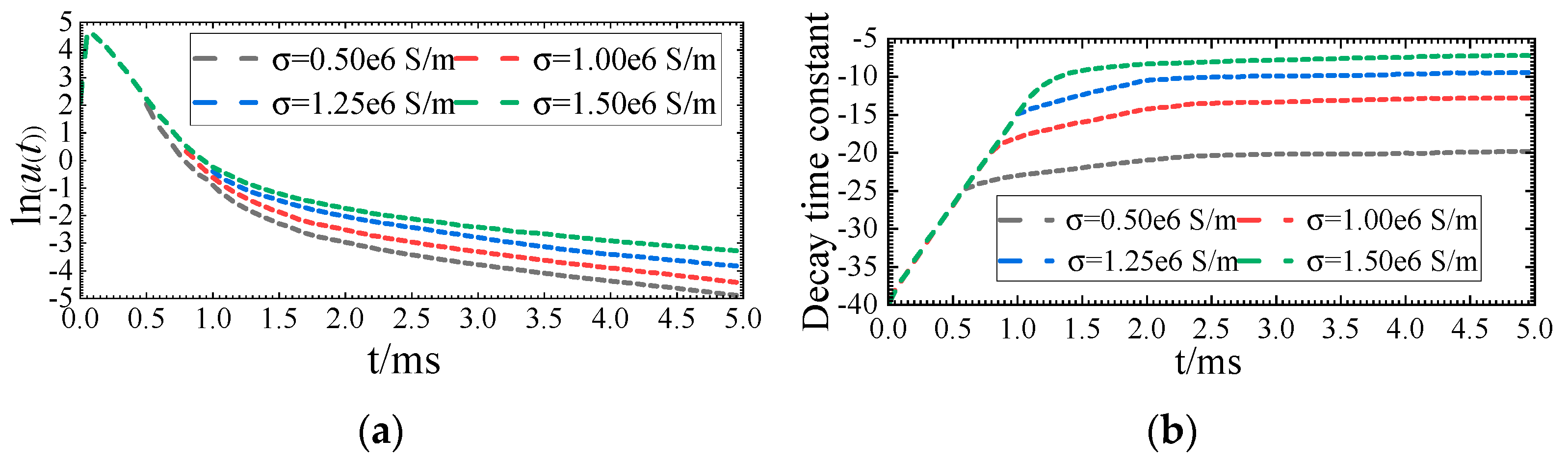
3.1.1. The Change in Conductivity
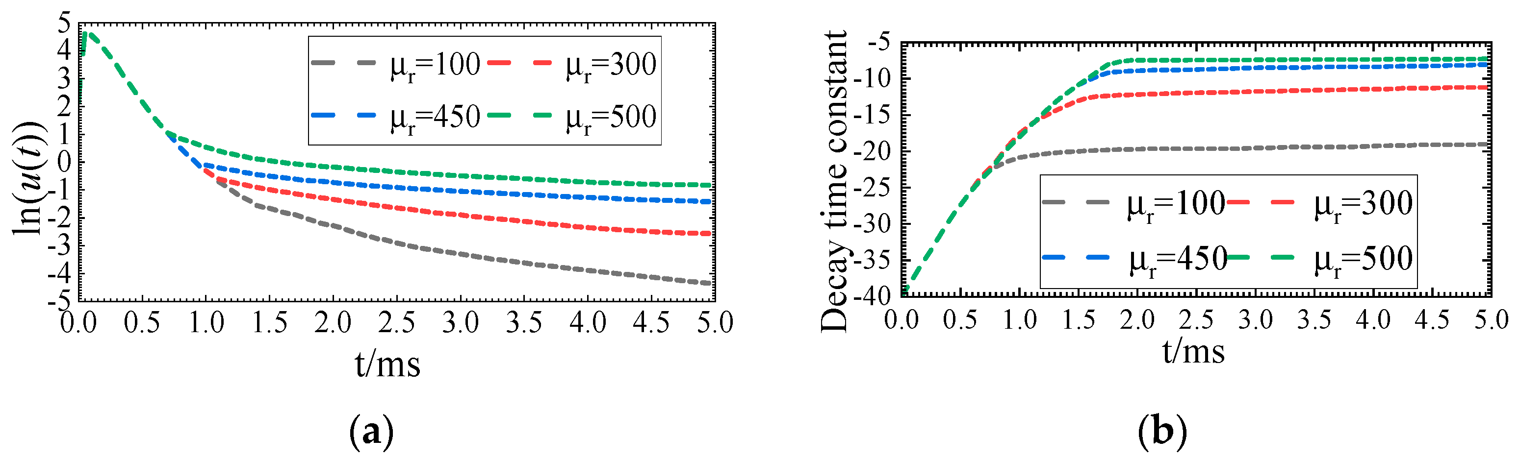
3.1.2. The Change in Relative Permeability
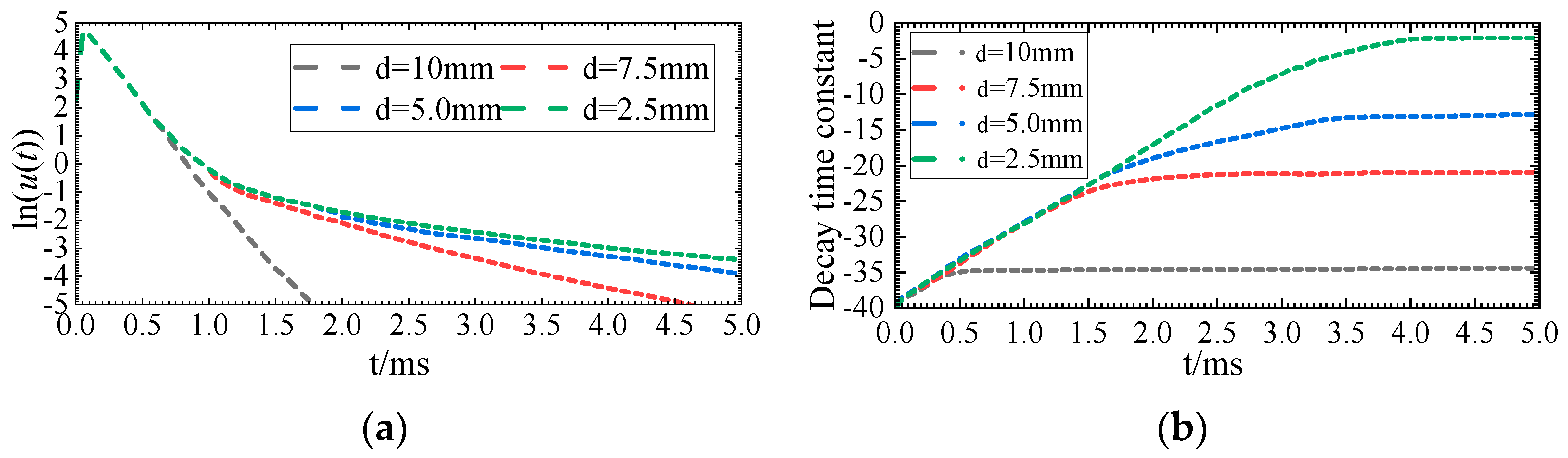
3.1.3. The Change in Loss Grounding Body
3.2. Verification of Ground Defect Model
3.3. Corrosion Classification Based on SVM
4. Test Verification
4.1. PEC Platform and Detection System Construction
- (1)
- DC power supply module: provides a DC voltage with adjustable amplitude for the pulse excitation circuit and signal amplification circuit.
- (2)
- Excitation circuit module: used to generate pulse excitation signals with adjustable pulse width, period, and amplitude. The pulse excitation circuit is mainly composed of a single-chip microcomputer (MCU) and a half-bridge circuit. The MCU generates a pulse excitation signal by controlling the on and off states of the corresponding transistors in the half-bridge circuit.
- (3)
- Detection coil: mainly composed of exciting and receiving coil. During the detection process, the exciting coil interacts with the changing electromagnetic field and the induced eddy current generated in both the air and the grounding body. The receiving coil captures the eddy current field containing multi-parameter information about the grounding body, enabling the detection of its corrosion.
- (4)
- Amplification circuit module: includes a power conversion circuit and a signal amplification circuit. The power conversion circuit transforms the positive voltage from the DC power supply into equal positive and negative voltages and provides power to the signal amplification circuit. The signal amplification circuit, consisting of an instrument amplifier, features an adjustable signal amplification factor and bias.
- (5)
- Data acquisition module: is mainly used to collect the excitation signal in the excitation circuit and transient PEC response in the receiving coil and upload them to the host computer.
4.2. Experimental Results and Analysis
5. Conclusions
Author Contributions
Funding
Data Availability Statement
Conflicts of Interest
References
- Tian, H.; Jia, L.; Hu, S.; Hu, Y.; Qu, L.; Liu, G. Study on Thermal Stability of Tower Grounding Electrode Under Lightning Strike and Power Frequency Follow Current. Insul. Surge Arresters 2024, 1–9. [Google Scholar]
- Yu, Y.; Zhu, H.; Zhang, Z.; Huang, S.; Xia, J.; Gao, C. Research on material selection of transmission Tower grounding body. Mater. Sci. Technol. 2017, 25, 25–31. [Google Scholar]
- Zhao, P.; Wang, J.; Xia, H.; He, W. A Novel Industrial Magnetically Enhanced Hydrogen Production Electrolyzer and Effect of Magnetic Field Configuration. Appl. Energy 2024, 367, 123402. [Google Scholar] [CrossRef]
- Jie, C.; Jianxun, J. Analysis of lightning-strike fault of 10 kV distribution lines and simulation study on lightning protection measures. Insul. Surge Arresters 2011, 4, 73–77. [Google Scholar]
- Wangzeng, L.; Jinhe, T.; Lin, W. Combined Grounding Performance and Application Range of Tower Foundation and Long Vertical Grounding Electrode. Insul. Surge Arresters 2024, 122–130. [Google Scholar] [CrossRef]
- Robers, M.A.; Scottini, R. Pulsed eddy current in corrosion detection. In Proceedings of the 8th European Conference on Nondestructive Testing Barcelona, Barcelona, Spain, 17–21 June 2002. [Google Scholar]
- Wassink, C.H.P.; Robers, M.A.; Raad, J.A.; Bouma, T. Condition monitoring of inaccessible piping. In Proceedings of the 15th World Conference on Non-Destructive Testing Roma, Rome, Italy, 14–21 October 2000. [Google Scholar]
- Li, Y.; Jing, H.; Abidin, I.Z.; Yan, B. A gradient-field pulsed eddy current probe for evaluation of hidden material degradation in conductive structures based on lift-off invariance. Sensors 2017, 17, 943. [Google Scholar] [CrossRef]
- Tian, G.Y.; Sophian, A. Reduction of lift-off effects for pulsed eddy current NDT. NDT E Int. 2005, 38, 319–324. [Google Scholar] [CrossRef]
- Nafiah, F.; Sophian, A.; Khan, M.R.; Abidin, I.M.Z. Quantitative evaluation of crack depths and angles for pulsed eddy current nondestructive testing. NDT E Int. 2019, 102, 180–188. [Google Scholar] [CrossRef]
- Tian, G.Y.; Sophian, A. Defect classification using a new feature for pulsed eddy current sensors. NDT E Int. 2005, 38, 77–82. [Google Scholar] [CrossRef]
- Xu, Z.; Wu, X.; Li, J.; Kang, Y. Assessment of wall thinning in insulated ferromagnetic pipes using the time-to-peak of differential pulsed eddy-current testing signals. NDT E Int. 2012, 51, 24–29. [Google Scholar] [CrossRef]
- Chen, X.; Hou, D.; Zhao, L.; Huang, P.; Zhang, G. Study on defect classification in multi-layer structures based on Fisher linear discriminate analysis by using pulsed eddy current technique. NDT E Int. 2014, 67, 46–54. [Google Scholar] [CrossRef]
- Ulapane, N.; Alempijevic, A.; Calleja, T.V.; Miro, J.V. Pulsed eddy current sensing for critical pipe condition assessment. Sensors 2017, 17, 2208. [Google Scholar] [CrossRef]
- Eddy, I.C.; Underhill, P.R.; Morelli, J.; Krause, T.W. Pulsed eddy current response to liftoff in different sizes of concrete embedded rebar. In Proceedings of the IEEE SENSORS, Montreal, QC, Canada, 27–30 October 2019; pp. 1–4. [Google Scholar]
- Tamhane, D.; Patil, J.; Banerjee, S.; Tallur, S. Feature Engineering of Time-Domain Signals Based on Principal Component Analysis for Rebar Corrosion Assessment Using Pulse Eddy Current. IEEE Sens. J. 2021, 21, 22086–22093. [Google Scholar] [CrossRef]
- Ulapane, N.; Wickramanayake, S.; Kodagoda, S. Pulsed eddy current sensing for condition assessment of reinforced concrete. In Proceedings of the 2019 14th IEEE Conference on Industrial Electronics and Applications (ICIEA), Xi’an, China, 19–21 June 2019; pp. 1–6. [Google Scholar]
- Gotoh, Y.; Hirano, H.; Nakano, M.; Fujiwara, K.; Takahashi, N. Electromagnetic nondestructive testing of rust region in steel. IEEE Trans. Magnet. 2005, 41, 3616–3618. [Google Scholar] [CrossRef]
- Eddy, I.; Underhill, P.R.; Morelli, J.; Krause, T.W. Pulsed eddy current response to general corrosion in concrete rebar. J. Nondestruct. Eval. Diag. Progn. Eng. Syst. 2020, 3, 044501. [Google Scholar] [CrossRef]
- Grenier, M.; Demers-Carpentier, V.; Rochette, M.; Hardy, F. Pulsed eddy current: New developments for corrosion under insulation examinations. In Proceedings of the 19th World Conference Non-Destructive Testing, Munich, Germany, 13–17 June 2016; pp. 13–17. [Google Scholar]
- Morozov, M.; Dobie, G.; Gachagan, A. Assessment of corrosion under insulation and engineered temporary wraps using pulsed eddy-current techniques. In Proceedings of the 56th Annual British Conference of Non-Destructive Testing, Telford, UK, 5–7 September 2017; pp. 475–484. [Google Scholar]
- Dolabdjian, C.P.; Perez, L.; De Haan, V.O.; De Jong, P.A. Performance of magnetic pulsed-eddy-current system using high dynamic and high linearity improved giant magnetoresistance magnetometer. IEEE Sensors J. 2006, 6, 1511–1517. [Google Scholar] [CrossRef]
- GB/T 50046-2018; Standard for Anticorrosion Design of Industrial Constructions. Standardization Administration of China: Beijing, China, 2018.
- Sun, H.; Shi, Y.; Zhang, W.; Li, Y. Chinese Journal of Scientific Instrument. Chin. J. Sci. Instrum. 2020, 41, 179–186. [Google Scholar]
- He, Y.Z.; Pan, M.C.; Luo, F.L.; Chen, D.X.; Hu, X.C. Support vector machine and optimised feature extraction in integrated eddy current instrument. Measurement 2013, 46, 764–774. [Google Scholar] [CrossRef]
- Chang, C.-C.; Lin, C.-J. LIBSVM: A library for support vector machines. ACM Trans. Intell. Syst. Technol. 2011, 2, 1–27. [Google Scholar] [CrossRef]












| Corrosion Stage | Conductivity (MS/m) | Relative Permeability | Loss Thickness (mm) |
|---|---|---|---|
| Slight corrosion | 1.25~1.5 | 450~500 | 0~2.5 |
| Minor corrosion | 1.0~1.25 | 300~450 | 2.5~5.0 |
| Moderate corrosion | 1.0~1.25 | 100~300 | 5.0~7.5 |
| Severe corrosion | <0.5 | <100 | 7.5~10 |
| Parameters | Excitation Coil | Receiver Coil | Grounding Body |
|---|---|---|---|
| Inner diameter (m) | 0.39 | 0.19 | - |
| Outer diameter (m) | 0.40 | 0.20 | - |
| Thick-ness (mm) | - | - | 20 |
| Length(m) | - | - | 2 |
| Turns | 100 | 50 | - |
| Conductivity (MS/m) | 5.8 | 5.8 | 1.5 |
| Relative permeability | 1 | 1 | 500 |
| Depth of burial(m) | - | - | 1 |
| Conductivity (MS/m) | DTCSV | TTS (ms) | Conductivity (MS/m) | DTCSV | TTS (ms) |
|---|---|---|---|---|---|
| 0.50 | −20.0124 | 1.70 | 1.00 | −13.6921 | 2.05 |
| 1.25 | −8.8756 | 2.50 | 1.50 | −7.5653 | 3.45 |
| Relative Permeability | DTCSV | TTS (ms) | Relative Permeability | DTCSV | TTS (ms) |
|---|---|---|---|---|---|
| 100 | −20.1342 | 1.25 | 300 | −10.7257 | 1.50 |
| 450 | −8.1354 | 1.75 | 500 | −7.4205 | 2.05 |
| Loss Thickness (mm) | DTCSV | TTS (ms) | Loss Thickness (mm) | DTCSV | TTS (ms) |
|---|---|---|---|---|---|
| 10 | −34.8314 | 0.55 | 7.5 | −21.2574 | 2.05 |
| 5.0 | −13.2459 | 3.55 | 2.5 | −2.2526 | 3.95 |
| SVM Optimization Model | Training Set Accuracy (%) | Test Set Accuracy (%) |
|---|---|---|
| TDC-SVM | 90 | 87 |
| TDC-GSSVM | 92 | 89 |
| TDC-GASVM | 95 | 92 |
| TDC-PSOSVM | 98 | 95 |
Disclaimer/Publisher’s Note: The statements, opinions and data contained in all publications are solely those of the individual author(s) and contributor(s) and not of MDPI and/or the editor(s). MDPI and/or the editor(s) disclaim responsibility for any injury to people or property resulting from any ideas, methods, instructions or products referred to in the content. |
© 2025 by the authors. Licensee MDPI, Basel, Switzerland. This article is an open access article distributed under the terms and conditions of the Creative Commons Attribution (CC BY) license (https://creativecommons.org/licenses/by/4.0/).
Share and Cite
Zuo, Y.; Wang, J.; Huang, X.; Liu, Y.; Zeng, Z.; Xu, R.; Chen, Y.; Liu, K.; You, H.; Wang, J. Method and Experimental Research of Transmission Line Tower Grounding Body Condition Assessment Based on Multi-Parameter Time-Domain Pulsed Eddy Current Characteristic Signal Extraction. Energies 2025, 18, 322. https://doi.org/10.3390/en18020322
Zuo Y, Wang J, Huang X, Liu Y, Zeng Z, Xu R, Chen Y, Liu K, You H, Wang J. Method and Experimental Research of Transmission Line Tower Grounding Body Condition Assessment Based on Multi-Parameter Time-Domain Pulsed Eddy Current Characteristic Signal Extraction. Energies. 2025; 18(2):322. https://doi.org/10.3390/en18020322
Chicago/Turabian StyleZuo, Yun, Jie Wang, Xiaoju Huang, Yuan Liu, Zhiwu Zeng, Ruiqing Xu, Yawen Chen, Kui Liu, Hongkang You, and Jingang Wang. 2025. "Method and Experimental Research of Transmission Line Tower Grounding Body Condition Assessment Based on Multi-Parameter Time-Domain Pulsed Eddy Current Characteristic Signal Extraction" Energies 18, no. 2: 322. https://doi.org/10.3390/en18020322
APA StyleZuo, Y., Wang, J., Huang, X., Liu, Y., Zeng, Z., Xu, R., Chen, Y., Liu, K., You, H., & Wang, J. (2025). Method and Experimental Research of Transmission Line Tower Grounding Body Condition Assessment Based on Multi-Parameter Time-Domain Pulsed Eddy Current Characteristic Signal Extraction. Energies, 18(2), 322. https://doi.org/10.3390/en18020322

