Diverse Anhydrous Pyrolysis Analyses for Assessment of the Hydrocarbon Generation Potential of the Dukla, Silesian, and Skole Units in the Polish Outer Carpathians
Abstract
1. Introduction
2. Research Material
| Formation | Sample ID | Rock-Eval | ||||||||||||||
|---|---|---|---|---|---|---|---|---|---|---|---|---|---|---|---|---|
| Tmax | S1 | S2 | S3 | PI | PC | RC | TOC | HI | OI | MINC | ||||||
| Dukla Unit | ||||||||||||||||
| Menilite Beds (Upper Eocene–Oligocene) | 1D | 430 | 0.30 | 45.07 | 1.73 | 0.01 | 3.91 | 3.25 | 7.16 | 629 | 24 | 0.27 | ||||
| Menilite Beds (Upper Eocene–Oligocene) | 2D | 437 | 0.52 | 37.87 | 0.58 | 0.01 | 3.26 | 3.74 | 7.00 | 541 | 8 | 0.09 | ||||
| Menilite Beds (Upper Eocene–Oligocene) | 3D | 427 | 3.49 | 82.75 | 0.46 | 0.04 | 7.22 | 6.32 | 13.54 | 611 | 3 | 0.36 | ||||
| Menilite Beds (Upper Eocene–Oligocene) | 4D | 433 | 0.27 | 45.76 | 0.59 | 0.01 | 3.86 | 2.76 | 6.62 | 691 | 9 | 0.11 | ||||
| Transition Beds (Oligocene) | 5D | 434 | 0.39 | 24.63 | 0.26 | 0.02 | 2.12 | 2.65 | 4.77 | 516 | 5 | 0.14 | ||||
| Silesian Unit | ||||||||||||||||
| Menilite Beds (Oligocene) | 1Sl | 429 | 0.39 | 8.04 | 0.13 | 0.05 | 0.73 | 2.18 | 2.91 | 276 | 4 | 0.12 | ||||
| Tectonic Melange (Oligocene) | 2Sl | 431 | 0.15 | 9.62 | 0.08 | 0.02 | 0.83 | 1.83 | 2.66 | 362 | 3 | 0.06 | ||||
| Menilite Beds (Oligocene) | 3Sl | 425 | 1.37 | 38.32 | 0.21 | 0.03 | 3.34 | 3.26 | 6.6 | 581 | 3 | 0.26 | ||||
| Menilite Beds (Oligocene) | 4Sl | 410 | 2.70 | 52.69 | 1.93 | 0.05 | 4.71 | 4.1 | 8.81 | 598 | 22 | 0.07 | ||||
| Menilite Beds (Oligocene) | 5Sl | 421 | 0.14 | 10.37 | 1.6 | 0.01 | 0.97 | 2.52 | 3.49 | 297 | 46 | 0.09 | ||||
| Menilite Beds (Oligocene) | 6Sl | 422 | 5.14 | 144.04 | 1.14 | 0.03 | 12.5 | 5.59 | 18.09 | 796 | 6 | 0.11 | ||||
| Istebna Beds (Senonian–Paleocene) | 7Sl | 427 | 0.02 | 0.29 | 0.23 | 0.06 | 0.05 | 0.49 | 0.54 | 54 | 43 | 0.07 | ||||
| Lgota Beds (Albian) | 8Sl | 430 | 0.03 | 0.77 | 0.25 | 0.04 | 0.08 | 0.81 | 0.89 | 87 | 28 | 0.60 | ||||
| Verovice Beds (Barrenian–Albian) | 9Sl | 422 | 0.10 | 11.06 | 0.3 | 0.01 | 0.96 | 2.38 | 3.34 | 331 | 9 | 0.04 | ||||
| Skole Unit | ||||||||||||||||
| Menilite Beds (Upper Eocene–Oligocene) | 1Sk | 417 | 0.92 | 37.75 | 3.78 | 0.02 | 3.44 | 4.07 | 7.51 | 503 | 50 | 0.24 | ||||
| Menilite Beds (Upper Eocene–Oligocene) | 2Sk | 410 | 0.60 | 33.54 | 2.81 | 0.02 | 3.07 | 4.73 | 7.80 | 430 | 36 | 0.33 | ||||
| Menilite Beds (Upper Eocene–Oligocene) | 3Sk | 418 | 0.63 | 50.78 | 3.86 | 0.01 | 4.48 | 4.5 | 8.98 | 565 | 43 | 0.20 | ||||
| Menilite Beds (Upper Eocene–Oligocene) | 4Sk | 400 | 4.20 | 106.58 | 2.03 | 0.04 | 9.34 | 4.63 | 13.97 | 763 | 15 | 0.08 | ||||
| Spas Beds (Barrenian–Albian) | 5Sk | 425 | 0.05 | 6.03 | 0.23 | 0.01 | 0.58 | 1.2 | 1.78 | 339 | 13 | 1.30 | ||||
| Sample ID | Py-GC/FID | Py-GC/IRMS | TG/DTG | |||||||||||||
| 40–300 °C | 300–650 °C | 650–1050 °C | ||||||||||||||
| Yield indicator | C1–C9 | C10–C15 | C15+ | δ13C-C1 | δ13C-C2 | δ13C-C3 | Weight loss | Onset–Tmax–Endset [°C] | Weight loss | Onset–Tmax–Endset [°C] | Weight loss | Onset–Tmax–Endset [°C] | ||||
| Dukla Unit | ||||||||||||||||
| 1D | 31.16 | 68.60 | 19.99 | 11.41 | −39.57 | −34.62 | −34.15 | 2.00 | 40-104-220 | 9.88 | 338-453-610 | 5.00 | 650-709-745 | |||
| 2D | 24.57 | 69.43 | 17.90 | 12.67 | −37.93 | −32.55 | −31.57 | 0.69 | 40-104-210 | 8.73 | 346-462-609 | 5.23 | 650-685-729 | |||
| 3D | 20.12 | 31.67 | 21.04 | 47.30 | −39.47 | −31.35 | −30.42 | n.d. | n.d. | n.d. | n.d. | n.d. | n.d. | |||
| 4D | 22.99 | 46.00 | 23.79 | 30.20 | −41.54 | −34.25 | −34.45 | n.d. | n.d. | n.d. | n.d. | n.d. | n.d. | |||
| 5D | 8.38 | 72.85 | 18.48 | 8.66 | −38.50 | −32.05 | −31.95 | 0.71 | 40-93-200 | 7.52 | 350-462-604 | 4.72 | 650-677-730 | |||
| Silesian Unit | ||||||||||||||||
| 1Sl | 3.27 | 36.72 | 33.67 | 29.60 | −37.36 | −32.07 | −31.44 | 2.95 | 40-84-180 | 7.72 | 300-491-558 | 3.82 | 650-734-790 | |||
| 2Sl | 8.92 | 41.70 | 46.76 | 11.53 | −37.82 | −32.55 | −33.63 | 1.27 | 60-104-210 | 7.17 | 366-469-594 | 4.01 | 650-751-815 | |||
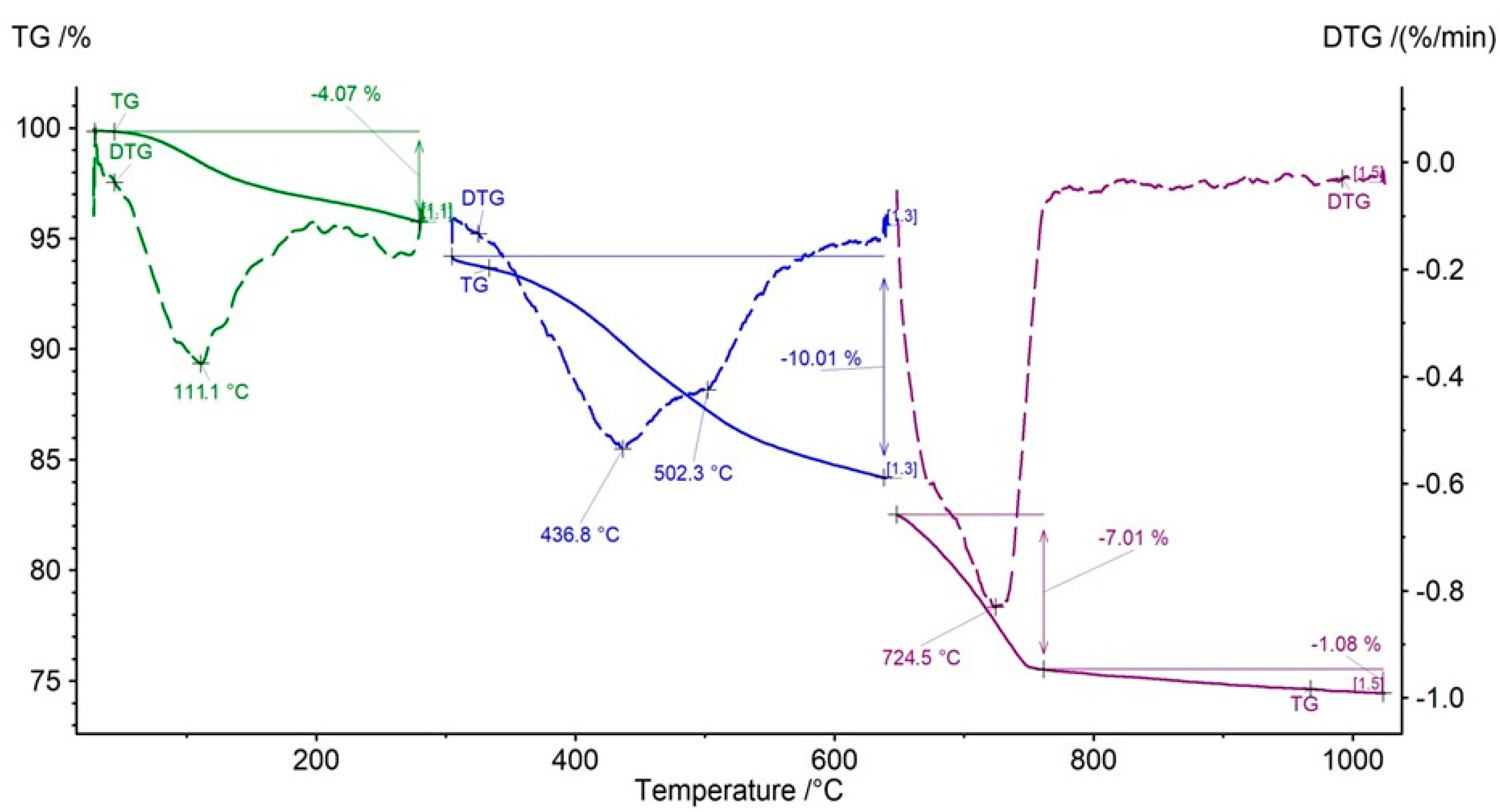
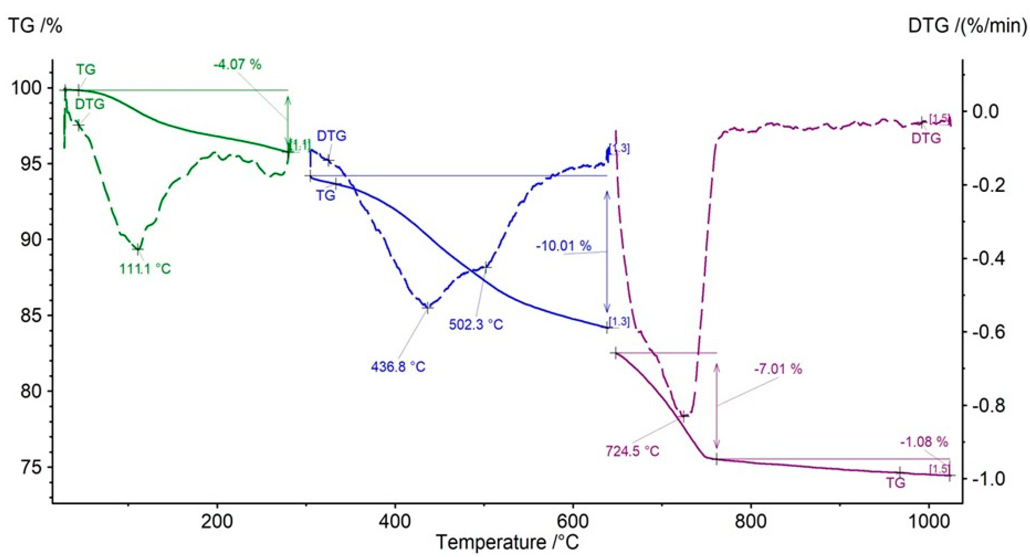
| 3Sl | 13.31 | 32.44 | 27.91 | 39.65 | −38.76 | −33.71 | −32.92 | 1.91 | 40-99-180 | 10.01 | 360-448; 515-650 | 6.70 | 650-713-750 | |||
| 4Sl | 9.17 | 50.07 | 28.39 | 21.54 | −42.84 | −33.62 | −33.00 | n.d. | n.d. | n.d. | n.d. | n.d. | n.d. | |||
| 5Sl | 8.63 | 61.32 | 27.78 | 13.90 | −37.20 | −32.17 | −32.08 | 2.29 | 40-116-190 | 7.15 | 350-437; 502-600 | 3.89 | 650-674-720 | |||
| 6Sl | 45.58 | 21.92 | 20.78 | 57.31 | −43.18 | −35.64 | −35.71 | n.d. | n.d. | n.d. | n.d. | n.d. | n.d. | |||
| 7Sl | 0.33 | 93.20 | 6.36 | 0.43 | n.d. | n.d. | n.d. | 2.09 | 60-81-260 | 6.37 | 360-509-608 | 2.31 | n.o. | |||
| 8Sl | 0.48 | 76.26 | 22.38 | 1.36 | n.d. | n.d. | n.d. | 2.56 | 60-89-190 | 5.26 | 380-499-603 | 3.37 | 670-728-768 | |||
| 9Sl | 2.09 | 64.31 | 25.21 | 10.47 | −40.42 | −33.10 | −33.76 | n.d. | n.d. | n.d. | n.d. | n.d. | n.d. | |||
| Skole Unit | ||||||||||||||||
| 1Sk | 35.71 | 26.49 | 54.76 | 18.78 | −35.47 | −28.85 | −28.78 | 3.65 | 40-112-215 | 10.03 | 360-442; 502-560 | 7.64 | 670-729-775 | |||
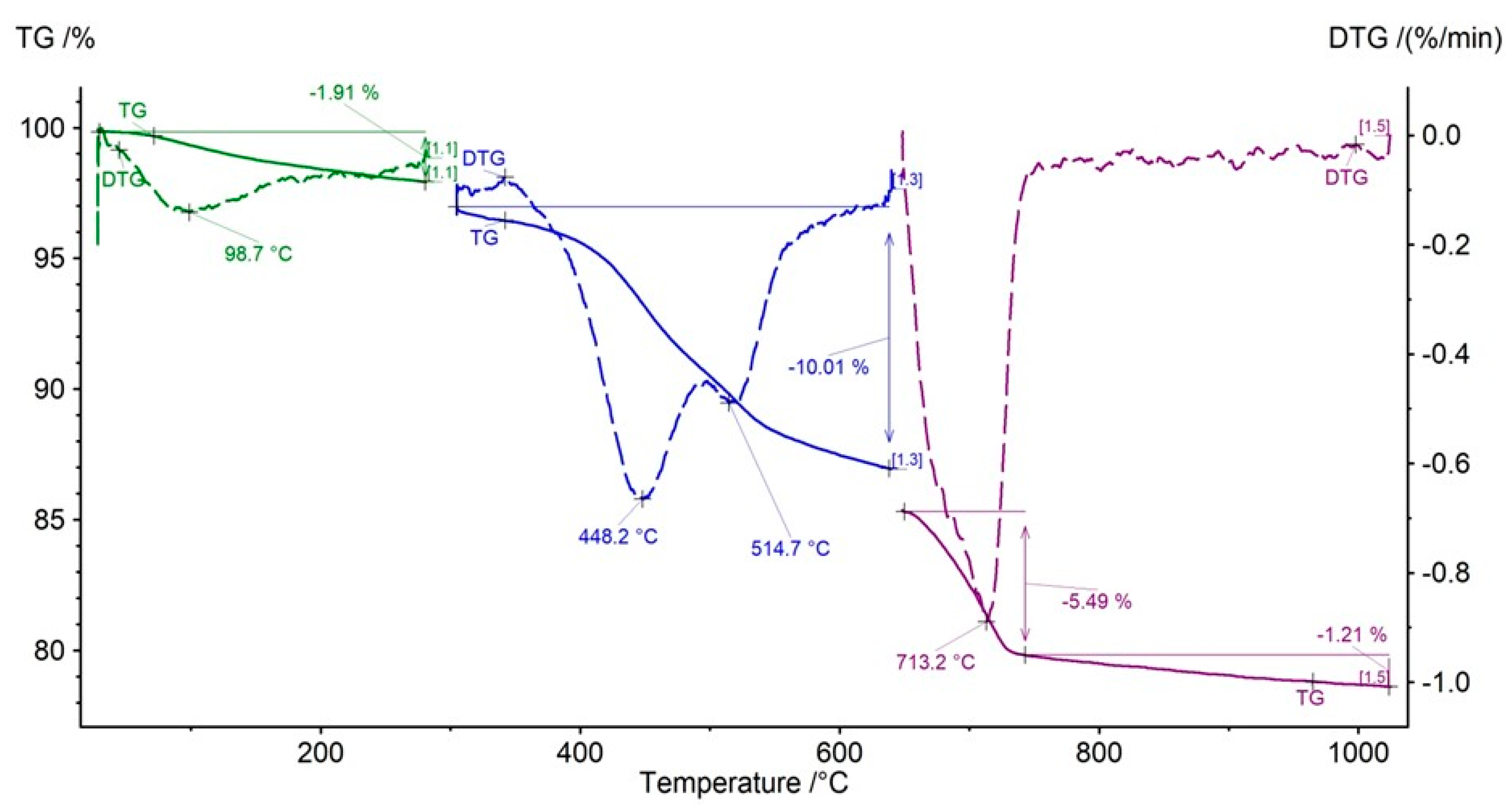
| 2Sk | 14.58 | 34.37 | 34.49 | 31.13 | −38.19 | −32.25 | −31.04 | 4.07 | 40-111-200 | 10.01 | 330-437; 502-600 | 8.09 | 650-725-770 | |||
| 3Sk | 43.92 | 52.88 | 26.09 | 21.03 | −40.00 | −34.48 | −34.37 | 5.06 | 60-123-220 | 9.87 | 325-443-590 | 5.68 | 650-697-780 | |||
| 4Sk | 55.09 | 15.88 | 18.76 | 65.36 | −42.40 | −34.70 | −35.52 | n.d. | n.d. | n.d. | n.d. | n.d. | n.d. | |||
| 5Sk | 1.49 | 60.98 | 26.27 | 12.76 | −43.75 | −34.15 | −31.98 | n.d. | n.d. | n.d. | n.d. | n.d. | n.d. | |||
Geological Setting
3. Analytical Methods
3.1. Rock-Eval
3.2. TG/DTG
3.3. Py-GC/FID
3.4. Py-GC/IRMS
4. Results and Discussion
4.1. Characteristics of Organic Matter from the Dukla Unit
4.2. Characteristics of Organic Matter from the Silesian Unit
4.3. Characteristics of Organic Matter from the Skole Unit
5. Conclusions
- In the Silesian Unit, the Menilite beds samples showed greater diversity, demonstrated both in the fractional composition of the generated products (showing an oil- and-gas-prone character) and in the decomposition rates of the organic matter, which is directly related to a higher activation energy of the kerogen compared to that in the Dukla and Skole Units.
- The Menilite beds in the Skole Unit are characterized by the lowest activation energy and the lowest temperature for the onset of generative processes.
- The activation energy for the Menilite beds of the Dukla Unit is found to be intermediate between the values for the Silesian and Skole Unit. The samples also exhibited the greatest homogeneity in terms of their geochemical character.
- Isotopic compositions of methane, ethane, and propane are similar to natural gases present in regional deposits (e.g., Węglówka and Potok fold deposits—thermogenic gases generated in oil window).
Author Contributions
Funding
Data Availability Statement
Acknowledgments
Conflicts of Interest
References
- Labus, M.; Kierat, M.; Matyasik, I.; Spunda, K.; Kania, M.; Janiga, M.; Bieleń, W. Wykorzystanie skompilowanych badań termicznych w charakterystyce skał macierzystych na przykładzie warstw menilitowych. Nafta-Gaz. 2019, 75, 67–76. [Google Scholar] [CrossRef]
- Labus, M.; Matyasik, I. Application of different thermal analysis techniques for the evaluation of petroleum source rocks. J. Therm. Anal. Calorim. 2019, 136, 1185–1194. [Google Scholar] [CrossRef]
- Lafargue, E.; Marquis, F.; Pillot, D. Rock-Eval 6 applications in hydrocarbon exploration, production and in soil contamination studies. Oil Gas Sci. Technol. 1998, 53, 421–437. [Google Scholar] [CrossRef]
- Lewan, M.D.; Kotarba, M.J.; Curtis, J.B.; Więcław, D.; Kosakowski, P. Oil generation kinetics for organic facies with Type-II and -IIS kerogen in the Menilite Shales of the Polish Carpathians. Geochim. Cosmochim. Acta 2006, 70, 3351–3368. [Google Scholar] [CrossRef]
- Skala, D.; Korica, S.; Vitorović, D.; Neumann, H.J. Determination of kerogen type using DSC and TG analysis. J. Therm. Anal. 1997, 49, 745–753. [Google Scholar] [CrossRef]
- Dziadzio, P.S.; Matyasik, I. Sedimentary environment and geochemical correlation of the Oligocene deposits from the Dukla and Grybow units. Nafta-Gaz 2018, 6, 423–434. [Google Scholar] [CrossRef]
- Kania, M.; Janiga, M. Using pyrolysis gas chromatography (Py-GC) to determine the products composition of the simulated generation process of hydrocarbons. Nafta-Gaz 2015, 71, 720–728. [Google Scholar] [CrossRef]
- Dziadzio, P.S.; Matyasik, I.; Garecka, M.; Szydło, A. Lower Oligocene Menilite Beds, Polish Outer Carpathians: Supposed deep-sea flysch locally reinterpreted as shelfal, based on new sedimentological, micropalaeontological and organic-geochemical data. Pr. Nauk. INiG-PIB 2016, 213, 1–120. [Google Scholar] [CrossRef]
- Matyasik, I.; Dziadzio, P.S. Reconstruction of petroleum system based on integrated geochemical and geological investigation: Selected examples from middle Outer Carpathians in Poland. In The Carpathians and Their Foreland: Geology and Hydrocarbon Resources; Golonka, J., Picha, F.J., Eds.; AAPG Memoir 84: Tulsa, OK, USA, 2006; pp. 497–518. [Google Scholar]
- Matyasik, I.; Kierat, M.; Kania, M.; Brzuszek, P. Qualitative evaluation of hydrocarbons generated from different types of source rocks on the basis of PY-GC, Rock-Eval and Leco research results. Nafta-Gaz 2017, 73, 719–729. [Google Scholar] [CrossRef]
- Słoczyński, T.; Matyasik, I.; Spunda, K. A three-component model of kerogen kinetics on the example of the Menilite Beds. Geol. Geophys. Environ. 2025, 51, 27–42. [Google Scholar] [CrossRef]
- Labus, M. Thermal methods implementation in analysis of fine-grained rocks containing organic matter. J. Therm. Anal. Calorim. 2017, 129, 965–973. [Google Scholar] [CrossRef]
- Janiga, M.; Kania, M. Pyrolysis Py-GC-IRMS—Partial validation of on-line determination of carbon isotope composition. Nafta-Gaz 2019, 5, 247–253. [Google Scholar] [CrossRef]
- Vogl, J. Advances in Isotope Ratio Mass Spectrometry and Required Isotope Reference Materials. Mass Spectrom. 2013, 2, S0020. [Google Scholar] [CrossRef]
- Dias, F.; Freeman, K.H.; Franks, S.G. Gas chromatography–pyrolysis–isotope ratio mass spectrometry: A new method for investigating intramolecular isotopic variation in low molecular weight organic acids. Org. Geochem. 2002, 33, 161–168. [Google Scholar] [CrossRef]
- Matyasik, I. Petroleum system of Silesian and Dukla Units in Jaslo-Krosno-Sanok area. Nafta-Gaz 2009, 3, 201–206. [Google Scholar]
- Matyasik, I. Biomarkers in the genetic characteristics of petroleum systems. Sci. Work Oil Gas Inst. 2011, 177, 220. [Google Scholar]
- Kotarba, M.J.; Więcław, D.; Koltun, Y.V.; Marynowski, L.; Kuśmierek, J.; Dudok, I.V. Organic geochemical study and genetic correlation of natural gas, oil and Menilite source rocks in the area between San and Stryi rivers (Polish and Ukrainian Carpathians). Org. Geochem. 2007, 38, 1431–1456. [Google Scholar] [CrossRef]
- Kotarba, M.J.; Więcław, D.; Dziadzio, P.; Kowalski, A.; Bilkiewicz, E.; Kosakowski, P. Organic geochemical study of source rocks and natural gas and their genetic correlation in the central part of the Polish Outer Carpathians. Mar. Pet. Geol. 2013, 45, 106–120. [Google Scholar] [CrossRef]
- Koester, J.; Kotarba, M.; Lafargue, E.; Kosakowski, P. Source rock habitat and hydrocarbon potential of Oligocene Menilite Formation (Flysch Carpathians, SE Poland): An organic geochemical and isotope approach. Org. Geochem. 1998, 29, 543–558. [Google Scholar] [CrossRef]
- Koester, J.; Rospondek, M.; Schouten, S.; Kotarba, M.; Zubrzycki, A.; Damste, J.S. Biomarker geochemistry of a foredeep basin: The Oligocene Menilite Formation in SE Poland. Org. Geochem. 1998, 29, 649–669. [Google Scholar] [CrossRef]
- Kołtun, Y.; Kotarba, M.; Kosakowski, P.; Espitalie, J. Hydrocarbon potential of the Menilite and Spas Beds in the Polish and Ukrainian parts of the Flysch Carpathians. In Extended Abstracts Book, Conference and Exhibition on Modern Exploration and Improved Oil and Gas Recovery Methods; Kraków, Poland, 1995; pp. 147–150. [Google Scholar]
- Kosakowski, P.; Kołtun, Y.; Machowski, G.; Poprawa, P.; Papiernik, B. The geochemical characteristics of the Oligocene—Lower Miocene Menilite Formation in the Polish and Ukrainian Outer Carpathians: A review. J. Petrol. Geol. 2018, 41, 319–335. [Google Scholar] [CrossRef]
- Kosakowski, P.; Więcław, D.; Kotarba, M.J. Source rock characteristic of the selected flysch deposits in the transfrontier area of the Polish Outer Carpathians. Geol. AGH 2009, 35, 155–190. [Google Scholar]
- Curtis, J.B.; Kotarba, M.J.; Lewan, M.D.; Więcław, D. Oil/source rock correlations in the Polish Flysch Carpathians and Mesozoic basement and organic facies of the Oligocene Menilite Shales: Insights from hydrous pyrolysis experiments. Org. Geochem. 2004, 35, 1579–1596. [Google Scholar] [CrossRef]
- Ślączka, A.; Golonka, J.; Oszczypko, N.; Cieszkowski, M.; Słomka; Matyasik, I. Occurrence of Upper Jurassic–Lower Cretaceous black organic rich pelitic sediments as targets for unconventional hydrocarbon exploration in the Outer Carpathians and adjacent part of the Alps. AAPG Bull. 2014, 98, 1967–1994. [Google Scholar] [CrossRef]
- Karnkowski, P. Oil and Gas Deposits in Poland; Geological Society “Geos”: Krakow, Poland, 1999. [Google Scholar]
- Kopciowski, R.; Garecka, M. Najmłodsze utwory strefy Siar—Jednostki magurskiej. Przegl. Geol. 1996, 44, 5. [Google Scholar]
- Kołtun, Y. Organic matter in Oligocene Menilite Formation rocks of the Ukrainian Carpathians: Paleoenvironment and geochemical evolution. Org. Geochem. 1992, 18, 423–430. [Google Scholar] [CrossRef]
- Świdziński, H. The flysch Carpathians between the Dunajec and San rivers. In Regional Geology of Poland, Vol. 1, Carpathians, Vol. 2, Tectonics; Polskie Towarzystwo Geologiczne: Kraków, Poland, 1953; pp. 362–422. [Google Scholar]
- Oszczypko-Clowes, M.; Oszczypko, N. The position and age of the youngest deposits in the Mszana Dolna and Szczawa tectonic windows (Magura Nappe, Western Carpathians, Poland). Acta Geol. Pol. 2004, 54, 339–367. [Google Scholar]
- Paul, Z.; Ryłko, W.; Tomaś, A. Outline of the geological structure of the western part of the Polish Carpathians (without Quaternary formations). Przegl. Geol. 1996, 44, 469–476. [Google Scholar]
- ten Haven, H.L.; Lafargue, E.; Kotarba, M. Oil/oil and oil/source rock correlations in the Carpathian Foredeep and Overthrust, south-east Poland. Org. Geochem. 1993, 20, 935–959. [Google Scholar] [CrossRef]
- Kotlarczyk, J. Geology of the Przemyśl Carpathians: A sketch to the portrait. Przegl. Geol. 1988, 36, 325–333. [Google Scholar]
- Kotarba, M.J.; Kołtun, Y.V. The origin and habitat of hydrocarbons of the Polish and Ukrainian parts of the Carpathian Province. In The Carpathians and Their Foreland: Geology and Hydrocarbon Resources; Golonka, J., Picha, F.J., Eds.; AAPG Memoir 84: Tulsa, OK, USA, 2006; pp. 395–442. [Google Scholar]
- Matyasik, I.; Labus, M.; Kierat, M.; Spunda, K. Differentiation of the generation potential of the Menilite and Istebna Beds of the Silesian Unit in the Carpathians based on compiled pyrolytic studies. Energies 2021, 14, 6866. [Google Scholar] [CrossRef]
- Williams, P.T.; Ahmad, N. Influence of process conditions on the pyrolysis of Pakistani oil shales. Fuel 1999, 78, 653–662. [Google Scholar] [CrossRef]
- Liu, Q.; Wu, X.; Wang, X.; Jin, Z.; Zhu, D.; Meng, Q.; Huang, S.; Liu, J.; Fu, Q. Carbon and hydrogen isotopes of methane, ethane, and propane: A review of genetic identification of natural gas. Earth Sci. Rev. 2019, 190, 247–292. [Google Scholar] [CrossRef]
- Faber, E. Zur Isotopengeochemie gasförmiger Kohlenwasserstoffe. Erdöl-Erdgas-Kohle 1987, 103, 210–218. [Google Scholar]
- Jarmołowicz-Szulc, K.; Jankowski, L. Geochemical analysis and genetic correlations for bitumens and rocks of the black shale type in the Outer Carpathians tectonic units in southeastern Poland and the adjacent territory. Biul. Państwowego Inst. Geol. 2011, 444, 73–98. [Google Scholar]
- Kołtun, Y.; Espitalie, J.; Kotarba, M.; Roure, F.; Ellouz, N.; Kosakowski, P. Petroleum generation in the Ukrainian External Carpathians and adjacent foreland. J. Petrol. Geol. 1998, 21, 265–268. [Google Scholar] [CrossRef]
- Kotarba, M.J.; Więcław, D.; Dziadzio, P.; Kowalski, A.; Kosakowski, P.; Bilkiewicz, E. Organic geochemical study of source rocks and natural gas and their genetic correlation in the eastern part of the Polish Outer Carpathians and Palaeozoic–Mesozoic basement. Mar. Petrol. Geol. 2014, 56, 97–122. [Google Scholar] [CrossRef]
- Kotarba, M.J.; Więcław, D.; Bilkiewicz, E.; Dziadzio, P.; Kowalski, A. Genetic correlation of source rocks and natural gas in the Polish Outer Carpathians and Paleozoic-Mesozoic basement east of Krakow (southern Poland). Geol. Q. 2017, 61, 795–824. [Google Scholar] [CrossRef]
- Matyasik, I.; Kupisz, L. Geological-geochemical generation conditions of menilite beds of the Strzyżów depression. Nafta-Gaz 1996, 11, 469–479. [Google Scholar]
- Matyasik, I. Badania geochemiczne warstw menilitowych, inoceramowych i spaskich jednostki skolskiej fliszu karpackiego. Nafta-Gaz 1994, 6, 234–244. [Google Scholar]
- Durand, B. Kerogen: Insoluble Organic Matter from Sedimentary Rocks; Editions Technip: Paris, France, 1980. [Google Scholar]
- Matyasik, I.; Steczko, A. Occurrence and diversity of biomarkers in source rocks from Carpathian Flysh. Nafta-Gaz 2004, 9, 451–456. [Google Scholar]
- Matyasik, I.; Steczko, A. Wykorzystanie biomarkerów w korelacji geochemicznej rop naftowych ze złóż Bóbrka-Rogi i Iwonicz Zdrój w powiązaniu z charakterystyką genetyczną skał macierzystych. Wiadomości Naft. I Gazow. 2008, 4, 4–11. [Google Scholar]
- Matyasik, I.; Dziadzio, P.; Steczko, A. A petroleum system assessment of the middle, outer Polish Carpathians—Geochemical analysis of oils and source rocks and oil to source rock correlation by biomarker distributions. In Proceedings of the 21st International Meeting on Organic Geochemistry, Krakow, Poland, 8–12 September 2003; Book of Abstracts Part II. pp. 85–86. Available online: https://www.sciencedirect.com/science/article/abs/pii/S0146638004001925?via%3Dihub (accessed on 27 September 2025).
- Waliczek, M.; Machowski, G.; Poprawa, P.; Świerczewska, A.; Więcław, D. A novel VRo, Tmax, and S indices conversion formulae on data from the fold-and-thrust belt of the Western Outer Carpathians (Poland). Appl. Geochem. 2017, 78, 295–310. [Google Scholar]
- Milkov, A.V.; Etiope, G. Revised genetic diagrams for natural gases based on a global dataset of > 20,000 samples. Org. Geochem. 2018, 125, 109–120. [Google Scholar] [CrossRef]
- Kotarba, M.J.; Więcław, D.; Bilkiewicz, E.; Lillis, P.G.; Dziadzio, P.; Kmiecik, N.; Romanowski, T.; Kowalski, A. Origin, secondary processes and migration of oil and natural gas in the central part of the Polish Outer Carpathians. Mar. Petrol. Geol. 2020, 121, 104617. [Google Scholar] [CrossRef]
- Więcław, D.; Bilkiewicz, E.; Kotarba, M.J.; Lillis, P.G.; Dziadzio, P.S.; Kowalski, A.; Kmiecik, N.; Romanowski, T.; Jurek, K. Origin and secondary processes in petroleum in the eastern part of the Polish Outer Carpathians. Int. J. Earth Sci. 2020, 109, 63–99. [Google Scholar] [CrossRef]










Disclaimer/Publisher’s Note: The statements, opinions and data contained in all publications are solely those of the individual author(s) and contributor(s) and not of MDPI and/or the editor(s). MDPI and/or the editor(s) disclaim responsibility for any injury to people or property resulting from any ideas, methods, instructions or products referred to in the content. |
© 2025 by the authors. Licensee MDPI, Basel, Switzerland. This article is an open access article distributed under the terms and conditions of the Creative Commons Attribution (CC BY) license (https://creativecommons.org/licenses/by/4.0/).
Share and Cite
Janiga, M.; Matyasik, I.; Kania, M.; Labus, M. Diverse Anhydrous Pyrolysis Analyses for Assessment of the Hydrocarbon Generation Potential of the Dukla, Silesian, and Skole Units in the Polish Outer Carpathians. Energies 2025, 18, 5229. https://doi.org/10.3390/en18195229
Janiga M, Matyasik I, Kania M, Labus M. Diverse Anhydrous Pyrolysis Analyses for Assessment of the Hydrocarbon Generation Potential of the Dukla, Silesian, and Skole Units in the Polish Outer Carpathians. Energies. 2025; 18(19):5229. https://doi.org/10.3390/en18195229
Chicago/Turabian StyleJaniga, Marek, Irena Matyasik, Małgorzata Kania, and Małgorzata Labus. 2025. "Diverse Anhydrous Pyrolysis Analyses for Assessment of the Hydrocarbon Generation Potential of the Dukla, Silesian, and Skole Units in the Polish Outer Carpathians" Energies 18, no. 19: 5229. https://doi.org/10.3390/en18195229
APA StyleJaniga, M., Matyasik, I., Kania, M., & Labus, M. (2025). Diverse Anhydrous Pyrolysis Analyses for Assessment of the Hydrocarbon Generation Potential of the Dukla, Silesian, and Skole Units in the Polish Outer Carpathians. Energies, 18(19), 5229. https://doi.org/10.3390/en18195229

