Estimated Ultimate Recovery (EUR) Prediction for Eagle Ford Shale Using Integrated Datasets and Artificial Neural Networks
Abstract
1. Introduction
2. Study Area—Eagle Ford Marl Continuous Oil Assessment Unit (AU)
3. Sources of Input Data for EUR Modeling, and Preliminary Considerations
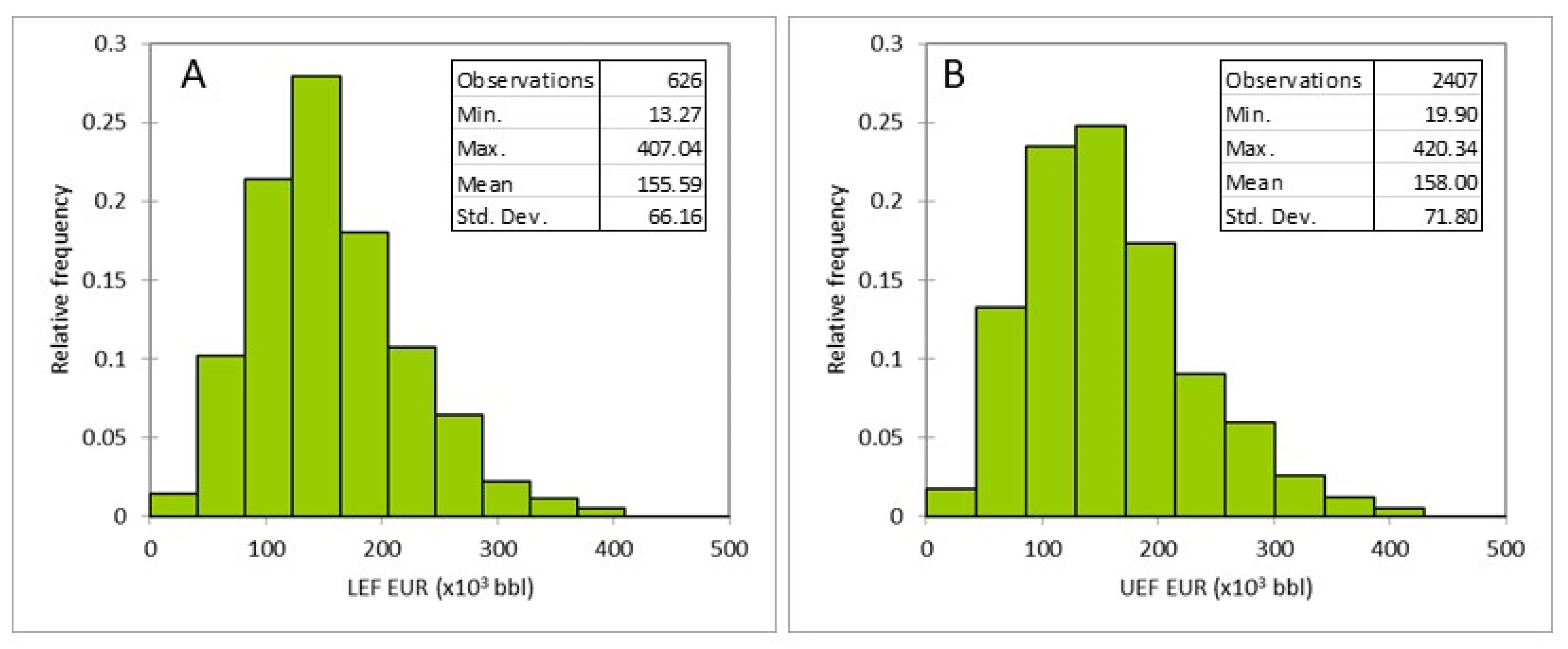
3.1. Well Specific EUR Data
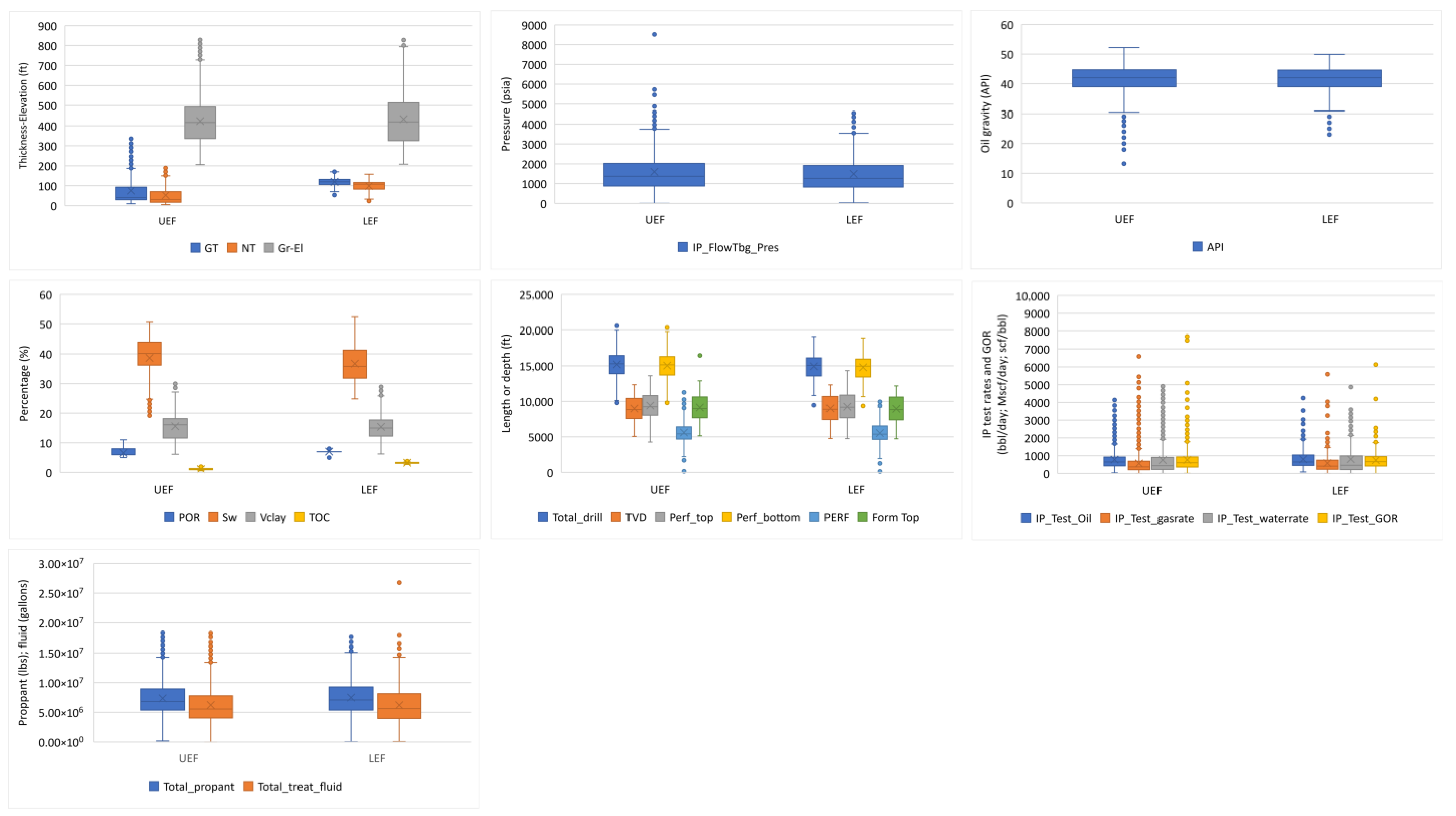
3.2. Well and Reservoir Data
4. Principal Component Analysis (PCA) for Model Complexity Reduction
5. Development of ANN Models for EUR Prediction—Results and Discussion
5.1. Preliminary Models for Hyper-Parameter Search
5.2. Training, Cross-Validation and Testing of Final Models: Results of EUR Prediction
6. Summary and Conclusions
- The preliminary analysis based on univariate correlations indicated that none of the variables included in the dataset for this study exhibited a strong univariate correlation with the DCA-based EURs, which suggested that EUR is a complex function of multiple variables. To select the variables that accounted for most of the variation in the dataset, we performed a principal component analysis (PCA).
- The results of the PCA suggested that the TVD of the wells, formation thickness, perforated/lateral length, and completion parameters, as well as some variables related to fluid delivery potential and intrinsic reservoir properties (porosity, water saturation, and TOC) accounted for most of the variation for both the lower Eagle Ford (LEF) and upper Eagle Ford (UEF). Therefore, we used these variables to construct the ANN models.
- For both the LEF and UEF, training and testing results of optimized ANN models suggested that the approach could be promising for predicting EURs with acceptable accuracy. Indeed, besides the error results, the two-sample Kolmogorov–Smirnov (KS) tests conducted to compare actual (DCA-based) and ANN-predicted EUR values suggested that both sets of EUR values could have been drawn from the same distribution. This suggests that the EURs predicted by the ANN models were reasonable estimates, and that the ANN approach could be useful in corroborating estimates of the EUR based on more traditional approaches.
- In addition, this approach could provide preliminary estimates of EURs for plays with extensive geological data, but with no wells or very little production history. However, the extent to which applying our approach to a hypothetical play or other plays with almost no productive history could provide reasonable predictions of the EUR would likely depend on how close of an analog the play is to the assessment units (AUs) used to source existing (DCA-based) EUR data. We also tested the sensitivities of the ANN-predictions of EUR to changes around the mean values of the input variables. The differences in the EUR predictions for the LEF were most sensitive to changes in porosity, net thickness of the interval, clay volume and the API gravity of the oil. The differences in the EUR predictions for the UEF were most sensitive to changes in the total organic carbon (TOC) and water saturation.
- The results of this sensitivity analysis indicated the importance of considering these parameters in predicting EURs for these intervals. Since the model predictions for the LEF were most sensitive to changes in a different set of parameters than that for the UEF, this could suggest that EUR predictions using this approach could vary based on the selected production interval, even within the same formation or AU. It could also suggest that using either the LEF or the UEF individually as an analog could be more appropriate for applying this method to predict the EUR of a new AU. In future work, integration of other important reservoir properties (such as permeability) or geomechanical variables (e.g., Young’s modulus) may improve the predictive capability of the ANN models developed here, but data on these additional parameters for the Eagle Ford Shale were not available to the extent necessary to consider them in this study. In addition, although we have shown that the MLP-ANN can be a useful approach, other machine learning and fuzzy-inference methods exist and could be tested for their predictive performance relative to each other to select the “best” modeling approach. Finally, this study focused on integrating data from different sources to develop MLP-based ANN models for a specific application to the Eagle Ford Shale continuous oil marl AU, and it could be useful to apply the methods developed here to other AUs.
Author Contributions
Funding
Data Availability Statement
Acknowledgments
Conflicts of Interest
References
- Hou, L.; Yu, Z.; Luo, X.; Lin, S.; Zhao, Z.; Yang, Z.; Wu, S.; Cui, J.; Zhang, L. Key geological factors controlling the estimated ultimate recovery of shale oil and gas: A case study of the Eagle Ford Shale, Gulf Coast Basin, USA. Pet. Explor. Dev. 2021, 48, 762–774. [Google Scholar] [CrossRef]
- Wang, K.; Li, H.; Wang, J.; Jiang, B.; Bu, C.; Zhang, Q.; Luo, W. Predicting production and estimated ultimate recoveries for shale gas wells: A new methodology approach. Appl. Energy 2017, 206, 1416–1431. [Google Scholar] [CrossRef]
- Xi, Z.; Morgan, M. Combining decline-curve analysis and geostatistics to forecast gas production in the Marcellus Shale. SPE Reserv. Eval. Eng. 2019, 22, 1562–1574. [Google Scholar] [CrossRef]
- Weijermars, R.; Tugan, M.F.; Khanal, A. Production rates and EUR forecasts for interfering parent-parent wells and parent-child wells: Fast analytical solutions and validation with numerical reservoir simulators. J. Pet. Sci. Eng. 2020, 190, 107032. [Google Scholar] [CrossRef]
- Li, B.; Billiter, T.C.; Tokar, T. Rescaling method for improved machine-learning decline curve analysis for unconventional reservoirs. SPE J. 2021, 26, 1759–1772. [Google Scholar] [CrossRef]
- Valko, P.P. Assigning value to stimulation in the Barnett Shale: A simultaneous analysis of 7000 plus production histories and well completion records. In Proceedings of the SPE Hydraulic Fracturing Technology Conference, The Woodlands, TX, USA, 19–21 January 2009. Paper SPE-119369-MS. [Google Scholar] [CrossRef]
- Duong, A.N. An Unconventional rate decline approach for tight and fracture dominated gas wells. In Proceedings of the Canadian Unconventional Resources and International Petroleum Conference, Calgary, AB, Canada, 19–21 October 2010. Paper SPE-137748-MS. [Google Scholar] [CrossRef]
- Clarkson, C.R. Production data analysis of unconventional gas wells: Review of theory and best practices. Int. J. Coal Geol. 2013, 109, 101–146. [Google Scholar] [CrossRef]
- Mehana, M.; Callard, J. Reserve estimation with unified production analysis. In Proceedings of the 6th Unconventional Resources Technology Conference, Houston, TX, USA, 23–25 July 2018; URTEC-2901909-MS. pp. 691–696. [Google Scholar] [CrossRef]
- Korde, A.; Goddard, S.D.; Obadare, O.A. Probabilistic decline curve analysis in the Permian Basin using Bayesian and approximate Bayesian inference. SPE Reserv. Eval. Eng. 2021, 24, 536–551. [Google Scholar] [CrossRef]
- Shin, H.-J.; Lim, J.-S.; Shin, S.-H. Estimated ultimate recovery prediction using oil and gas production decline curve analysis and cash flow analysis for resource play. Geosyst. Eng. 2014, 17, 78–87. [Google Scholar] [CrossRef]
- Sharma, A.; Lee, W.J. Improved workflow for EUR prediction in unconventional reservoirs. In Proceedings of the 4th Unconventional Resources Technology Conference, San Antonio, TX, USA, 1–3 August 2016; URTEC-2444280-MS. pp. 961–978. [Google Scholar] [CrossRef]
- Male, F. Assessing impact of uncertainties in decline curve analysis through hindcasting. J. Pet. Sci. Eng. 2019, 172, 340–348. [Google Scholar] [CrossRef]
- Mehana, M.; Callard, J.; Kang, Q.; Viswanathan, H. Monte Carlo simulation and production analysis for ultimate recovery estimation of shale wells. J. Nat. Gas Sci. Eng. 2020, 83, 103584. [Google Scholar] [CrossRef]
- Male, F.; Duncan, I.J. The paradox of increasing initial oil production but faster decline rates in fracking the Bakken Shale: Implications for long term productivity of tight oil plays. J. Pet. Sci. Eng. 2022, 208, 109406. [Google Scholar] [CrossRef]
- Charpentier, R.R.; Cook, T.A. Improved USGS Methodology for Assessing Continuous Petroleum Resources, Version 2.0. U.S. Geological Survey Data Series 547 and Program. U.S. Geol. Surv. Data Ser. 547, U.S. Department of the Interior, U.S. Geological Survey, 2010. Available online: https://pubs.usgs.gov/publication/ds547 (accessed on 18 August 2025).
- Attanasi, E.D.; Freeman, P.A. Economic Analysis of the 2010 U.S. Geological Survey Assessment of Undiscovered Oil and Gas in the National Petroleum Reserve in Alaska; U.S. Geological Survey Open-File Report 2011-1103; U.S. Department of the Interior, U.S. Geological Survey; 2011. Available online: https://pubs.usgs.gov/publication/ofr20111103 (accessed on 18 August 2025).
- Wang, F.; Wu, M.; Wang, Y.; Sun, W.; Chen, G.; Feng, Y.; Shi, X.; Zhao, Z.; Liu, Y.; Lu, S. Prediction of Influencing Factors on Estimated Ultimate Recovery of Deep Coalbed Methane: A Case Study of the Daning–Jixian Block. Processes 2025, 13, 31. [Google Scholar] [CrossRef]
- Mehana, M.; Guiltinan, E.; Vesselinov, V.; Middleton, R.; Hyman, J.D.; Kang, Q.; Viswanathan, H. Machine-learning predictions of the shale wells’ performance. J. Nat. Gas Sci. Eng. 2021, 88, 103819. [Google Scholar] [CrossRef]
- Liu, Y.-Y.; Ma, X.-H.; Zhang, X.-W.; Wei, G.; Kang, L.-X.; Yu, R.-Z.; Sun, Y.-P. A deep-learning-based prediction method of the estimated ultimate recovery (EUR) of shale gas wells. Pet. Sci. 2021, 18, 1450–1464. [Google Scholar] [CrossRef]
- Whidden, K.J.; Pitman, J.K.; Pearson, O.N.; Paxton, S.T.; Kinney, S.A.; Gianoutsos, N.J.; Schenk, C.J.; Leathers-Miller, H.M.; Birdwell, J.E.; Brownfield, M.E.; et al. Assessment of Undiscovered Oil and Gas Resources in the Eagle Ford Group and Associated Cenomanian–Turonian Strata, U.S. Gulf Coast, Texas, 2018; U.S. Geological Survey Fact Sheet 2018–3033; U.S. Department of the Interior, U.S. Geological Survey; 2018. Available online: https://pubs.usgs.gov/publication/fs20183033 (accessed on 18 August 2025).
- Dubiel, R.F.; Pearson, O.N.; Pitman, J.K.; Pearson, K.M.; Kinney, S.A. Geology and sequence stratigraphy of undiscovered oil and gas resources in conventional and continuous petroleum systems in the Upper Cretaceous Eagle Ford Group and related strata, U.S. Gulf Coast region. Gulf Coast Assoc. Geol. Soc. Trans. 2012, 62, 57–72. [Google Scholar]
- Dawson, W.C. Shale microfacies: Eagle Ford Group (Cenomanian-Turonian) North-Central Texas outcrops and subsurface equivalents. Trans.—Gulf Coast Assoc. Geol. Soc. 2000, 50, 607–622. [Google Scholar]
- Denne, R.A.; Breyer, J.A. Regional Depositional Episodes of the Cenomanian–Turonian Eagle Ford and Woodbine Groups of Texas; Breyer, J.A., Ed.; The Eagle Ford Shale—A renaissance in U.S. oil production (AAPG Memoir 110); American Association of Petroleum Geologists: Tulsa, OK, USA, 2016; pp. 87–133. [Google Scholar]
- Hammes, U.; Eastwood, R.; McDaid, G.; Vankov, E.; Gherabati, S.A.; Smye, K.; Shultz, J.; Potter, E.; Ikonnikova, S.; Tinker, S. Regional assessment of the Eagle Ford Group of south Texas, USA—Insights from lithology, pore volume, water saturation, organic richness, and productivity correlations. Interpretation 2016, 4, SC125–SC150. [Google Scholar] [CrossRef]
- Donovan, A.D.; Staerker, T.S.; Pramudito, A.; Gardner, R.D.; Pope, M.C.; Corbett, M.J.; Lowery, C.M.; Romero, A.M. A 3-D outcrop perspective of an unconventional carbonate mudstone reservoir. In Proceedings of the Unconventional Resources Technology Conference, Denver, CO, USA, 12–14 August 2013. Paper URTEC-1580954-MS. [Google Scholar] [CrossRef]
- Donovan, A.D.; Staerker, T.S.; Pramudito, A.; Li, W.; Corbett, M.J.; Lowery, C.M.; Romero, A.M.; Gardner, A.D. The Eagle Ford outcrops of East Texas: Understanding heterogeneities within unconventional mudstone reservoirs. GCAGS J. 2012, 1, 162–185. [Google Scholar]
- Phelps, R.M.; Kerans, C.; Da-Gama, R.O.B.P.; Jeremiah, J.; Hull, D.; Loucks, R.G. Response and recovery of the Comanche carbonate platform surrounding multiple Cretaceous oceanic anoxic events, northern Gulf of Mexico. Cretac. Res. 2015, 54, 117–144. [Google Scholar] [CrossRef]
- Donovan, A.D.; Evenick, J.; Banfield, L.; McInnis, N.; Hill, W. An organofacies-based mudstone classification for unconventional tight rock and source rock plays. In Proceedings of the 5th Unconventional Resources Technology Conference, Austin, TX, USA, 24–26 July 2017; URTEC-2715154-MS. pp. 3683–3697. [Google Scholar] [CrossRef]
- S&P Global Commodity Insights. Enerdeq U.S. Well History and Production. Database Available from S&P Global Commodity Insights. 2023. Available online: https://spglobal.com/commodityinsights (accessed on 5 February 2023).
- Leathers-Miller, H.M. Steps Taken for Calculating Estimated Ultimate Recoveries of Wells in the Eagle Ford Group and Associated Cenomanian–Turonian Strata, U.S. Gulf Coast, Texas, 2018; U.S. Geological Survey Scientific Investigations Report 2020–5077; U.S. Department of the Interior, U.S. Geological Survey; 2020. Available online: https://pubs.usgs.gov/publication/sir20205077 (accessed on 18 August 2025).
- Leathers-Miller, H.M. Estimated Ultimate Recoveries of Oil Wells in the Eagle Ford Group and Associated Cenomanian–Turonian Strata, U.S. Gulf Coast 2024, Texas, 2018; U.S. Department of the Interior, U.S. Geological Survey; 2024. Available online: https://www.sciencebase.gov/catalog/item/64f9e883d34ed30c2054ae36 (accessed on 18 August 2025).
- IHS Markit DeclinePlus Software, version 2; IHS Markit: London, UK, 2015. Information on Current Version (Forecast) Under Harmony Enterprise Environment. Available online: https://www.ihsenergy.ca/support/documentation_ca/Harmony_Enterprise/latest/content/print_pdf_output/harmony_enterprise_help.pdf (accessed on 18 August 2025).
- ESRI. ArcGIS Desktop: Release, version 10.8.2; Environmental Systems Research Institute: Redlands, CA, USA, 2021.
- Gherabati, S.A.; Hammes, U.; Male, F.; Browning, J. Assessment of hydrocarbon in place and recovery factors in the Eagle Ford Shale play. SPE Reserv. Eval. Eng. 2018, 21, 291–306. [Google Scholar] [CrossRef]
- Liang, Y.; Liao, L.; Guo, Y. A Big Data Study: Correlations between EUR and petrophysics/engineering/production parameters in shale formations by data regression and interpolation analysis. In Proceedings of the Paper SPE-194381-MS Presented at the SPE Hydraulic Fracturing Technology Conference, The Woodlands, TX, USA, 5–7 February 2019. [Google Scholar] [CrossRef]
- Faraway, J.; Chatfield, C. Time series forecasting with neural networks: A comparative study using airline data. Appl. Stat. 1998, 47, 231–250. [Google Scholar] [CrossRef]
- Addinsoft Xlstat-Pro: User’s Manual. New York, NY, USA, 2007. Current Version. Available online: https://www.xlstat.com/ (accessed on 18 August 2025).
- Kaiser, H.F. The varimax criterion for analytic rotation in factor analysis. Psychometrika 1958, 23, 187–200. [Google Scholar] [CrossRef]
- Grima, M.A.; Bruines, P.A.; Verhoef, P.N.W. Modeling tunnel boring machine performance by neuron-fuzzy methods. Tunn. Undergr. Space Technol. 2000, 15, 259–269. [Google Scholar] [CrossRef]
- Davis, J.C. Statistics and Data Analysis in Geology, 2nd ed.; Wiley and Sons: New York, YN, USA, 1986. [Google Scholar]
- Karacan, C.Ö. Modeling and prediction of ventilation methane emissions of U.S. longwall mines using supervised artificial neural networks. Int. J. Coal Geol. 2008, 73, 371–387. [Google Scholar] [CrossRef]
- Wang, L.; Tian, L.; Yao, B.; Yu, X. Machine learning analyses of low salinity effect in sandstone porous media. J. Porous Media 2020, 23, 731–740. [Google Scholar] [CrossRef]
- Zou, C.; Zhao, L.; Fei, H.; Wang, Y.; Chen, Y.; Geng, J. A comparison of machine learning methods to predict porosity in carbonate reservoirs from seismic-derived elastic properties. Geophysics 2023, 88, B101–B120. [Google Scholar] [CrossRef]
- Gavriliev, S.; Petrova, T.; Miklyaev, P.; Karfidova, E. Predicting radon flux density from soil surface using machine learning and GIS data. Sci. Total Environ. 2023, 903, 166348. [Google Scholar] [CrossRef]
- Eberhart, R.C.; Dobbins, R.W. Neural Network PC Tools: A Practical Guide; Academic Press Inc.: San Diego, CA, USA, 1990. [Google Scholar]
- Flood, I.; Kartam, N. Neural networks in civil engineering I: Principles and understanding. J. Comput. Civ. Eng. 1994, 8, 131–148. [Google Scholar] [CrossRef]
- Maier, H.R.; Dandy, G.C. Neural networks for the prediction and forecasting of water resources variables: A review of modeling issues and applications. Environ. Model. Softw. 2000, 15, 101–124. [Google Scholar] [CrossRef]
- Wei, C.; Quan, Z.; Qian, Z.; Pang, H.; Su, Y.; Wang, L. An attention mechanism augmented CNN-GRU method integrating optimized variational mode decomposition and frequency feature classification for complex signal forecasting. Expert Syst. Appl. 2025, 269, 126464. [Google Scholar] [CrossRef]
- Hassoun, M.H. Fundamentals of Artificial Neural Networks; MIT Press: Cambridge, MA, USA, 1995. [Google Scholar]
- Rogerson, J. Recent Progress in Artificial Neural Networks; Clanrye International: New York, NY, USA, 2019. [Google Scholar]
- Khan, S. Backpropagation-Based Multilayer Perceptron Neural Networks. MATLAB Central File Exchange. Available online: https://www.mathworks.com/matlabcentral/fileexchange/66477-backpropagation-based-multi-layer-perceptron-neuralnetworks. (accessed on 12 November 2020).
- Karacan, C.Ö. Multilayer Perceptrons. In Encyclopedia of Mathematical Geosciences. Encyclopedia of Earth Sciences Series, 1st ed.; Sagar, B.S.D., Cheng, Q., McKinley, J., Agterberg, F., Eds.; Springer: Cham, Switzerland, 2023; pp. 951–954. [Google Scholar] [CrossRef]
- Schröer, G.; Trenkler, D. Exact and randomization distributions of Kolmogorov-Smirnov tests two or three samples. Comput. Stat. Data Anal. 1995, 20, 185–202. [Google Scholar] [CrossRef]
- Ver Hoeve, M.; Meyer, C.; Preusser, J.; Makowitz, A. Basinwide Delineation of Gas-Shale “Sweet Spots” Using Density and Neutron Logs: Implications for Qualitative and Quantitative Assessment of Gas-Shale Resources; Chatellier, J., Jarvie, D., Eds.; Critical Assessment of Shale Resource Plays (AAPG Memoir 103); American Association of Petroleum Geologists: Tulsa, OK, USA, 2013; Chapter 9; pp. 151–165. [Google Scholar]
- Pan, B.; Li, Y.; Zhang, M.; Wang, X.; Iglauer, S. Effect of total organic carbon (TOC) content on shale wettability at high pressure and high temperature conditions. J. Pet. Sci. Eng. 2020, 193, 107374. [Google Scholar] [CrossRef]
- Tian, H.; He, K.; Huangfu, Y.; Liao, F.; Wang, X.; Zhang, S. Oil content and mobility in a shale reservoir in Songliao Basin, Northeast China: Insights from combined solvent extraction and NMR methods. Fuel 2024, 357, 129678. [Google Scholar] [CrossRef]
- Tan, J.; Horsfield, B.; Fink, R.; Krooss, B.; Schulz, H.M.; Rybacki, E.; Zhang, J.; Boreham, C.J.; van Graas, G.; Tocher, B.A. Shale gas potential of the major marine shale formations in the upper Yangtze platform, South China, Part III: Mineralogical, lithofacial, petrophysical, and rock mechanical properties. Energy Fuels 2014, 28, 2322–2342. [Google Scholar] [CrossRef]
- Rybacki, E.; Reinicke, A.; Meier, T.; Makasi, M.; Dresen, G. What controls the mechanical properties of shale rocks?—Part I: Strength and Young’s Modulus. J. Pet. Sci. Eng. 2015, 135, 702–722. [Google Scholar] [CrossRef]
- Gholami, R.; Rasouli, V.; Sarmadivaleh, M.; Minaeian, V.; Fakhari, N. Brittleness of gas shale reservoirs: A case study from the North Perth basin, Australia. J. Nat. Gas Sci. Eng. 2016, 33, 1244–1259. [Google Scholar] [CrossRef]
- Liu, J.; Qu, L.; Song, Z.; Li, J.; Liu, C.; Feng, Y.; Sun, H. Fracability evaluation method and influencing factors of the tight sandstone reservoir. Geofluids 2021, 2021, 7092143. [Google Scholar] [CrossRef]











| Variable | Acronym | Unit | Min. | Max. | Mean | Std. Dev. |
|---|---|---|---|---|---|---|
| Gross thickness | GT | ft | 53.7 | 189.0 | 119.7 | 21.2 |
| Net thickness | NT | ft | 23.3 | 158.3 | 98.5 | 27.2 |
| Porosity | POR | % | 5.0 | 9.0 | 7.0 | 0.7 |
| Water Saturation | Sw | % | 24.8 | 52.4 | 36.7 | 6.1 |
| Clay volume | Vclay | % | 6.2 | 29.3 | 15.4 | 4.2 |
| Total organic carbon | TOC | wt % | 2.3 | 4.4 | 3.2 | 0.3 |
| Ground elevation | Gr-El | ft | 208.0 | 835.0 | 432.4 | 124.2 |
| IP test flowing tubing pressure | IP_FlowTbg_Pres | psia | 25.0 | 4712.0 | 1494.4 | 911.6 |
| Oil gravity | API | API | 23.0 | 49.9 | 41.4 | 4.8 |
| IP test oil rate | IP_Test_Oil | bbl/day | 83.5 | 4250.0 | 797.1 | 542.1 |
| IP test gas rate | IP_Test_gasrate | Mscf/day | 1.0 | 5592.0 | 579.1 | 559.8 |
| IP test water rate | IP_Test_waterrate | bbl/day | 1.0 | 4866.0 | 806.6 | 870.7 |
| IP test gas oil ratio | IP_Test_GOR | scf/bbl | 2.0 | 6124.0 | 741.3 | 488.9 |
| Total drill length | Total_drill | ft | 9456.0 | 19,076.0 | 14,930.3 | 1720.7 |
| True vertical depth | TVD | ft | 4772.0 | 12,325.0 | 9011.2 | 1715.3 |
| Perforation top | Perf_top | ft | 4750.0 | 14,319.0 | 9239.2 | 1716.5 |
| Perforation bottom | Perf_bottom | ft | 9359.0 | 18,904.0 | 14,777.1 | 1715.6 |
| Perforated/lateral length | PERF | ft | 141.0 | 9938.0 | 5537.9 | 1340.6 |
| Total proppant used | Total_proppant | pounds | 51,914.0 | 18,210,000.0 | 7,490,543.5 | 3,096,755.3 |
| Total treatment fluid used | Total_treat_fluid | gallons | 79,465.0 | 26,767,856.0 | 6,213,479.4 | 3,067,203.0 |
| Formation top depth | Form Top | ft | 4733.0 | 12,189.8 | 8953.5 | 1714.6 |
| Variable | Acronym | Unit | Min. | Max. | Mean | Std. Dev. |
|---|---|---|---|---|---|---|
| Gross thickness | GT | ft | 10.0 | 352.1 | 75.5 | 75.9 |
| Net thickness | NT | ft | 5.1 | 201.8 | 52.4 | 45.3 |
| Porosity | POR | % | 5.0 | 11.0 | 6.6 | 1.3 |
| Water Saturation | Sw | % | 19.2 | 50.7 | 38.6 | 7.2 |
| Clay volume | Vclay | % | 6.1 | 30.5 | 15.6 | 4.3 |
| Total organic carbon | TOC | wt % | 0.5 | 2.0 | 1.1 | 0.3 |
| Ground elevation | Gr-El | ft | 206.0 | 828.4 | 422.8 | 112.9 |
| IP test flowing tubing pressure | IP_FlowTbg_Pres | psia | 2.0 | 8520.0 | 1598.6 | 995.9 |
| Oil gravity | API | API | 13.3 | 52.2 | 41.3 | 5.1 |
| IP test oil rate | IP_Test_Oil | bbl/day | 29.2 | 4138.0 | 777.4 | 535.6 |
| IP test gas rate | IP_Test_gasrate | Mscf/day | 1.0 | 6592.0 | 556.8 | 588.7 |
| IP test water rate | IP_Test_waterrate | bbl/day | 1.0 | 5009.0 | 752.5 | 830.0 |
| IP test gas oil ratio | IP_Test_GOR | scf/bbl | 4.0 | 26,866.0 | 758.9 | 942.0 |
| Total drill length | Total_drill | ft | 9810.0 | 20,594.0 | 15,204.6 | 1764.0 |
| True vertical depth | TVD | ft | 5075.0 | 12,354.0 | 8991.8 | 1615.2 |
| Perforation top | Perf_top | ft | 4267.0 | 13,609.0 | 9417.4 | 1618.4 |
| Perforation bottom | Perf_bottom | ft | 9810.0 | 20,359.0 | 15,040.8 | 1773.1 |
| Perforated/lateral length | PERF | ft | 145.0 | 11,262.0 | 5623.4 | 1260.0 |
| Total proppant used | Total_proppant | pounds | 166,958.0 | 18,318,000.0 | 7,372,399.9 | 3,031,326.0 |
| Total treatment fluid used | Total_treat_fluid | gallons | 94.0 | 18,272,150.0 | 6,225,776.6 | 2,955,197.2 |
| Formation top depth | Form Top | ft | 5165.0 | 16,453.0 | 9142.2 | 1694.3 |
| LEF | UEF | ||||||||||
|---|---|---|---|---|---|---|---|---|---|---|---|
| PC1R | PC2R | PC3R | PC4R | PC5R | PC1R | PC2R | PC3R | PC4R | PC5R | ||
| Variability (%) | 31.041 | 16.394 | 13.193 | 12.067 | 6.564 | Variability (%) | 33.986 | 13.176 | 11.220 | 10.357 | 10.203 |
| Cumulative % | 31.041 | 47.435 | 60.628 | 72.695 | 79.259 | Cumulative % | 33.986 | 47.162 | 58.382 | 68.740 | 78.942 |
| PC1R | PC2R | PC3R | PC4R | PC5R | PC1R | PC2R | PC3R | PC4R | PC5R | ||
| GT | −0.290 | 0.831 | 0.034 | −0.074 | −0.064 | GT | −0.843 | 0.029 | 0.358 | −0.086 | 0.136 |
| NT | −0.030 | 0.851 | 0.030 | −0.161 | 0.112 | NT | −0.665 | −0.045 | 0.424 | −0.001 | 0.425 |
| POR | 0.193 | 0.069 | −0.186 | 0.087 | 0.827 | POR | 0.515 | −0.189 | −0.521 | 0.114 | 0.318 |
| Sw | −0.549 | −0.338 | −0.013 | 0.036 | −0.592 | Sw | −0.395 | 0.103 | −0.277 | −0.162 | −0.714 |
| Vclay | 0.428 | −0.713 | −0.093 | 0.212 | −0.138 | Vclay | 0.684 | 0.032 | −0.237 | −0.002 | −0.534 |
| TOC | −0.657 | 0.409 | 0.083 | −0.211 | −0.009 | TOC | 0.024 | −0.055 | −0.076 | −0.030 | 0.872 |
| Gr-El | −0.840 | 0.251 | 0.165 | −0.084 | −0.029 | Gr-El | −0.812 | 0.107 | 0.134 | −0.103 | 0.126 |
| IP_FlowTbg_Pres | 0.625 | 0.364 | 0.012 | 0.056 | 0.238 | IP_FlowTbg_Pres | 0.585 | −0.006 | 0.453 | −0.038 | 0.218 |
| API | 0.322 | 0.736 | −0.147 | 0.245 | 0.133 | API | 0.221 | −0.060 | 0.873 | 0.038 | 0.104 |
| IP_Test_Oil | 0.262 | −0.173 | 0.150 | 0.807 | 0.138 | IP_Test_Oil | 0.332 | 0.095 | 0.026 | 0.786 | 0.085 |
| IP_Test_gasrate | 0.346 | 0.120 | −0.028 | 0.740 | −0.021 | IP_Test_gasrate | 0.316 | −0.015 | 0.362 | 0.743 | 0.137 |
| IP_Test_waterrate | 0.065 | −0.425 | 0.235 | 0.631 | −0.084 | IP_Test_waterrate | 0.053 | 0.181 | −0.331 | 0.723 | −0.120 |
| IP_Test_GOR | 0.261 | 0.503 | −0.193 | 0.272 | −0.395 | IP_Test_GOR | 0.059 | −0.086 | 0.503 | 0.170 | 0.007 |
| Total_drill | 0.836 | 0.016 | 0.501 | −0.014 | 0.037 | Total_drill | 0.776 | 0.567 | 0.135 | 0.028 | 0.134 |
| TVD | 0.935 | −0.040 | −0.142 | 0.228 | 0.106 | TVD | 0.930 | −0.091 | 0.202 | 0.189 | 0.122 |
| Perf_top | 0.918 | −0.044 | −0.172 | 0.223 | 0.069 | Perf_top | 0.929 | −0.085 | 0.196 | 0.180 | 0.129 |
| Perf_bottom | 0.832 | 0.011 | 0.506 | −0.002 | 0.034 | Perf_bottom | 0.775 | 0.572 | 0.133 | 0.033 | 0.138 |
| PERF | −0.111 | 0.070 | 0.868 | −0.288 | −0.044 | PERF | −0.103 | 0.914 | −0.064 | −0.186 | 0.029 |
| Total_proppant | −0.121 | −0.056 | 0.840 | 0.365 | −0.067 | Total_proppant | −0.055 | 0.776 | −0.111 | 0.382 | −0.203 |
| Total_treat_fluid | 0.098 | −0.059 | 0.718 | 0.368 | −0.124 | Total_treat_fluid | −0.013 | 0.736 | 0.030 | 0.333 | −0.215 |
| Form Top | 0.935 | −0.047 | −0.144 | 0.228 | 0.106 | Form Top | 0.941 | −0.087 | 0.164 | 0.178 | 0.126 |
| LEF Model (MSE) | UEF Model (MSE) | ||||||||||||
|---|---|---|---|---|---|---|---|---|---|---|---|---|---|
| HL1 | Error | HL2 | Error | Momentum | Error | HL1 | Error | HL2 | Error | HL3 | Error | Momentum | Error |
| 21 | 0.00754 | 17 | 0.00695 | 0.5 | 0.00614 | 40 | 0.01987 | 34 | 0.02058 | 22 | 0.02021 | 0.5 | 0.01967 |
| 23 | 0.00687 | 19 | 0.00655 | 0.6 | 0.00609 | 42 | 0.01950 | 36 | 0.01980 | 24 | 0.02215 | 0.6 | 0.01698 |
| 25 | 0.00564 | 21 | 0.00643 | 0.7 | 0.00614 | 44 | 0.01753 | 38 | 0.01813 | 26 | 0.01985 | 0.7 | 0.02111 |
| 27 | 0.00620 | 23 | 0.00746 | 0.8 | 0.00640 | 46 | 0.02030 | 40 | 0.01938 | 28 | 0.02085 | 0.8 | 0.01990 |
| 29 | 0.00673 | 25 | 0.00757 | 0.9 | 0.00638 | 48 | 0.01774 | 42 | 0.01932 | 30 | 0.02122 | 0.9 | 0.01992 |
| LEF Model | UEF Model | ||
|---|---|---|---|
| MSE | 2001.5 | MSE | 2721.8 |
| NMSE | 0.46 | NMSE | 0.51 |
| MAE (×103 bbl) | 36.6 | MAE (×103 bbl) | 37.0 |
| Min. Abs. Error (×103 bbl) | 2.75 | Min. Abs. Error (×103 bbl) | 0.09 |
| Max. Abs. Error (×103 bbl) | 116.2 | Max. Abs. Error (×103 bbl) | 272.9 |
| LEF Model | UEF Model | ||
|---|---|---|---|
| Actual Testing Data (×103 bbl) | Actual Testing Data (×103 bbl) | ||
| Minimum | 13.27 | MSE | 24.43 |
| Maximum | 305.51 | NMSE | 415.68 |
| Mean | 150.53 | MAE (×103 bbl) | 159.32 |
| Standard deviation | 67.78 | Min. Abs. Error (×103 bbl) | 73.53 |
| Predicted Data (×103 bbl) | Predicted Data (×103 bbl) | ||
| Minimum | 27.81 | MSE | 33.92 |
| Maximum | 340.38 | NMSE | 301.52 |
| Mean | 156.05 | MAE (×103 bbl) | 156.42 |
| Standard deviation | 59.75 | Min. Abs. Error (×103 bbl) | 58.28 |
| Kolmogorov–Smirnov Test | Kolmogorov–Smirnov Test | ||
| d | 0.129 | d | 0.125 |
| p | 0.685 | p | 0.307 |
Disclaimer/Publisher’s Note: The statements, opinions and data contained in all publications are solely those of the individual author(s) and contributor(s) and not of MDPI and/or the editor(s). MDPI and/or the editor(s) disclaim responsibility for any injury to people or property resulting from any ideas, methods, instructions or products referred to in the content. |
© 2025 by the authors. Licensee MDPI, Basel, Switzerland. This article is an open access article distributed under the terms and conditions of the Creative Commons Attribution (CC BY) license (https://creativecommons.org/licenses/by/4.0/).
Share and Cite
Karacan, C.Ö.; Anderson, S.T.; Cahan, S.M. Estimated Ultimate Recovery (EUR) Prediction for Eagle Ford Shale Using Integrated Datasets and Artificial Neural Networks. Energies 2025, 18, 5216. https://doi.org/10.3390/en18195216
Karacan CÖ, Anderson ST, Cahan SM. Estimated Ultimate Recovery (EUR) Prediction for Eagle Ford Shale Using Integrated Datasets and Artificial Neural Networks. Energies. 2025; 18(19):5216. https://doi.org/10.3390/en18195216
Chicago/Turabian StyleKaracan, C. Özgen, Steven T. Anderson, and Steven M. Cahan. 2025. "Estimated Ultimate Recovery (EUR) Prediction for Eagle Ford Shale Using Integrated Datasets and Artificial Neural Networks" Energies 18, no. 19: 5216. https://doi.org/10.3390/en18195216
APA StyleKaracan, C. Ö., Anderson, S. T., & Cahan, S. M. (2025). Estimated Ultimate Recovery (EUR) Prediction for Eagle Ford Shale Using Integrated Datasets and Artificial Neural Networks. Energies, 18(19), 5216. https://doi.org/10.3390/en18195216

