Next Article in Journal
Counteracting the Aging Process of the Aircraft’s DC Power Grid in the Context of Shaping the Characteristics of the Power Source
Previous Article in Journal
Coupling Characteristics and Construction Method of Single-AC Multi-DC Hybrid Grid
Previous Article in Special Issue
Design and Implementation of a Full SiC-Based Phase-Shifted Full-Bridge DC-DC Converter with Nanocrystalline-Cored Magnetics for Railway Battery Charging Applications
 
 
Font Type:
Arial Georgia Verdana
Font Size:
Aa Aa Aa
Line Spacing:
Column Width:
Background:
Article

Development and Optimization of a 10-Stage Solid-State Linear Transformer Driver

by
Keegan Kelp
1,*,
Dawson Wright
1,
Kirk Schriner
1,
Jacob Stephens
1,
James Dickens
1,
John Mankowski
1,
Zach Shaw
2 and
Andreas Neuber
1,*
1
Center for Pulsed Power and Power Electronics, Texas Tech University, Lubbock, TX 79409, USA
2
Nevada National Security Site, North Las Vegas, NV 89193, USA
*
Authors to whom correspondence should be addressed.
Energies 2025, 18(19), 5129; https://doi.org/10.3390/en18195129
Submission received: 28 August 2025 / Revised: 18 September 2025 / Accepted: 24 September 2025 / Published: 26 September 2025
(This article belongs to the Special Issue Advancements in Electromagnetic Technology for Electrical Engineering)

Abstract

This work details the development of a 10-stage solid-stage linear transformer driver (SSLTD) capable of producing 24 kV, 1 kA pulses with a rise-time of ∼10 ns utilizing SiC MOSFET switches. Throughout the development process, various design parameters were investigated for their influence on the LTD’s performance. Among these considerations was an evaluation of the behavior of several nanocrystalline magnetic core materials subject to high-voltage pulsed conditions, with an emphasis on minimizing energy losses. Another design parameter of interest lies in the physical layout of the LTD structure, particularly the diameter of the central stalk and the dielectric material, which together define the characteristics of the coaxial transmission line, as well as the overall height of each stage. The influence of each of these parameters was weighed to optimize the final design for fastest output pulse rise-time, highest efficiency, and cleanest output pulse waveform profile across varying load resistance. This work also introduces a pulsed reset technique, where repetition-rated burst testing was used to find the maximum operational frequency of the LTD without driving the magnetic cores into saturation.

1. Introduction

The demand for faster and more reliable pulsed power systems continues to grow, driven by applications in plasma physics, fusion research, and advanced accelerator technologies [1,2,3]. Advancements in solid-state switching technology have made pulsed power systems utilizing solid-state switches a viable option to meet these demands. The linear transformer driver (LTD) topology is well suited for solid-state switching and offers the potential for scaling to medium-scale pulsed power systems.
LTDs offer competitive advantages over traditional Marx generators, especially in the case of solid-state pulsed power. Although LTDs utilize magnetic cores that are often costly and bulky, the advantage offered over the solid-state Marx generator is the stage-to-stage isolation, meaning each stage is ground-referenced, allowing for simple and reliable low-voltage trigger circuitry. LTDs are compact, modular devices engineered to deliver high-power, short-duration pulses, achieved by integrating multiple pulse-forming stages that enable high repetition rates, fast rise-times, and efficient energy transfer [4,5,6,7]. Unlike conventional transformers, the LTD functions more like a linear voltage adder, operating similarly to an inductive voltage adder (IVA) in its energy delivery mechanism [8,9].
The characterization of magnetic materials for use in LTDs and IVAs has previously focused on amorphous materials under fast pulse excitation [10,11,12]. Prior work on nanocrystalline magnetic core losses has established that losses increase with frequency and flux swing ( Δ B), and models have been proposed to accurately capture this response [13,14]. The response of nanocrystalline magnetic cores to pulsed excitation has been investigated, and a corresponding model was developed, although that work focused on relatively larger pulse widths (tens of µs) [15]. Additionally, a comparison of magnetic core losses between amorphous and nanocrystalline magnetic cores in a relevant saturation time regime (2–6 µs) revealed that nanocrystalline cores exhibit lower energy loss [16]. This work extends the investigation of nanocrystalline materials, with a preliminary examination of their behavior under pulsed conditions with rise-times in the tens of nanoseconds and sub-microsecond saturation times. Ultimately, this work examines the impact of different magnetic cores and their magnetic properties on overall LTD performance in terms of pulse rise-time and energy losses. Additionally, this work utilizes an active (pulsed) magnetic core reset technique, eliminating the need for bulky choke inductors, which are prone to overheating under continuous current operation. To asses the effectiveness of the magnetic core reset, the LTD was operated in a repetition-rated manner to determine the maximum shot frequency under specific output pulse conditions, as resetting the core is required between consecutive shots. This work also examines the role of LTD physical geometry on its performance, more specifically, the center stalk diameter, the dielectric, and the corresponding transmission line impedance. The LTD geometry investigation focuses on the resulting output pulse rise-time and pulse shape across varying loads with different center stalks. The variations in output pulse seen with different stalks speak to the transmission line nature of the LTD, suggesting that the classical understanding of this system as a transformer, while useful, is an incomplete representation of the complexities associated with the LTD.

Background

The LTD was first developed in Tomsk, Russia, at the High Current Electronics Institute (HCEI) [17]. The novelty of the LTD as a prime-power generator is its capability to deliver fast high-voltage/current pulses directly to the load without additional pulse compression stages, typically necessary with the more traditional Marx generator-based systems [4,9]. Since this first development, there have been successful ventures expanding the scope and capabilities of the LTD topology, including a joint effort conducted between Sandia National lab and the HCEI in Russia. These LTD experiments aimed to produce 0.5 MA pulses with a fast rise-time of just 100 ns, utilizing gas switches [18]. The MYKONOS laboratory in Sandia came from this foundational work, where experiments were conducted by stacking 10, 1 MA, 100 kV LTD cavities to achieve a 1 MA, 1 MV output pulse [19]. The LTD technology has also been adapted to smaller-scale systems using solid-state switching, typically using high-power MOSFETs [4,5,6,7,20]. A key difference in the operation of a solid-state LTD (SSLTD) in relation to the traditional LTD is the ability to turn off the switches. In SSLTDs, the energy storage capacitors are often relatively large to minimize voltage droop during the pulse. The square output pulse is shaped by the timing of the switches being turned on and off [4]. Another advancement in the development of SSLTDs is the bipolar SSLTD, capable of producing positive or negative pulses based on the input triggers [20].
Table 1 summarizes the performance specifications of SSLTDs reported in the literature, along with the results of the system developed in this work; see Section 3.3 for a detailed discussion. The reported systems feature stage voltages of 1 kV or less, rise-times in the range of 4–40 ns, 4–30 stages, and resistive loads ranging from 40 Ω to 300 Ω .

2. Materials and Methods

2.1. System Setup

The system includes simple controls for the synchronous triggering of the LTD stages and the core reset boards, a 10-stage LTD, and a load. The individual stages consist of ten bricks, each in parallel, with a total stage voltage of 2.4 kV and a maximum current of 1 kA. In this configuration, current addition is achieved by connecting multiple bricks in parallel within a single stage, whereas voltage addition is accomplished by connecting multiple stages in series. The basic expression given in Equation (1) describes this voltage amplification.
V o u t = N s t a g e s · V 0
where V o u t is the total output voltage, N s t a g e s is the number of stages, and V 0 is the charge voltage of each stage.
Figure 1 shows the magnetizing current and the main current paths in a simplified 2-stage LTD. The magnetic core acts as a choke, suppressing the current in the inner loop, the magnetization current. The current in this inner loop is not transferred to the load and is a source of losses in this system, highlighting the necessity of high-performance magnetic cores for high efficiency. When the core is driven into saturation, almost all current will take the same path as the magnetization current, and the load current will be small. In addition to the current loops depicted in Figure 1, the transmission line is depicted with a coaxial geometry consisting of an inner and outer conductor with a dielectric in between. Equation (2) gives an expression for the characteristic impedance of this transmission line.
Z 0 = 1 2 π · μ 0 · μ r ϵ 0 · ϵ r · ln r 2 r 1
where μ r and ϵ r are the relative permeability and permittivity of the dielectric medium, while r 1 and r 2 represent the outer radius of the inner conductor and the inner radius of the outer conductor, as illustrated in Figure 1.

2.1.1. Stage Layout

Each stage of the LTD consists of ten bricks connected in parallel. The bricks are arranged in an annular configuration around the magnetic core and are interconnected by a copper pad positioned beneath the core; see Figure 2a. The board diameter is 300 mm, a size selected to accommodate the core dimensions available at the beginning of the design process. At the center of the board is a hole with a diameter of 22 mm (or 7 8 in.), which corresponds to the outer diameter of the transmission line. This size was determined based on the core’s inner diameter of 33.7 mm, providing adequate space for the outer conductor of the transmission line and the reset winding required on the core.
The switch selected for this design is the Genesic G2R120MT33J SiC N-channel MOSFET [21]. This device features a maximum hold-off voltage of 3.3 kV and a pulsed current rating of 100 A. To ensure reliability and extend the lifespan of both the MOSFET and the capacitors, the maximum charging voltage per brick is limited to 2.4 kV. Each brick includes a 330 nF capacitor bank, resulting in a total capacitance of 3.3 μ F per stage. The capacitor configuration comprises multilayer ceramic capacitors arranged in a two-high vertical stack within a metal frame. This metal frame allows for small mechanical vibrations as a result of the piezoelectric effect associated with the fast discharge rates required of the capacitors in this system. The capacitors are arranged with three sets of two series capacitors connected in parallel, totaling six capacitors per brick.
Twelve 6 mm (1/4 in.) vias are located along the edge of the board and are designed for the aluminum standoffs used to stack multiple LTD boards. Ten vias serve as ground connections, while the remaining two are designated for high and low voltage distribution to each board. The outer conductor of the transmission line is a copper tube with a height matching that of the standoffs. This copper tube alternately contacts the top of one stage and the bottom of the next, creating a repeating pattern throughout the structure, as shown in Figure 1. As a result, small breaks appear in the outer conductor at each stage, corresponding to the thickness of the PCB. The current path, of course, is continuous, as depicted in Figure 1. Depending on operating requirements, the low-voltage rail can vary between 10 and 30 V. On the final board in the stack, both voltage connections are capped with a washer and nut to ensure they do not make contact with the top ground plane, preventing accidental shorts.
The inner conductor of the transmission line, the center stalk, is grounded at the bottom of the system and connected to the load at the top. Each individual stage, as well as the load, share a common ground, established by the standoffs discussed previously, making this a very modular design where stages can be added or replaced with ease.

2.1.2. Magnetic Reset Controls

An essential part of the LTD is the core reset mechanism. The core’s total flux must be below the saturation point for the LTD to operate correctly. If the core saturates, the inner current loop of the LTD effectively becomes a short circuit. This disruption compromises the voltage to the load, resulting in a distorted or incomplete pulse.
This work examines the distinction between continuous reset and active (pulsed) core reset strategies, with particular attention to the reset time required between repetition-rated pulses. At higher pulse voltages or with extended pulse durations, each pulse induces a substantial flux swing in the core, which must be reset prior to the subsequent pulse. This is not an issue for bipolar LTDs where there is an equal but opposite polarity pulse to reset the core [20]. However, with space or cost limitations in mind, a single-polarity pulse with an active reset mechanism is a viable method to achieve repetition-rated operation. The stage-to-stage isolated pulsed reset allows for independent operation of each LTD stage, which is essential for waveform shaping. In contrast, the simplest DC reset technique utilizing a single choke inductor shared across all cores restricts independent stage-level control.
During material testing, both DC and active (pulsed) reset methods are used to evaluate core behavior with a peak reset current of 4 A. Each core is fitted with a single-turn winding connected to the reset source during testing, serving as the core’s reset winding.
The DC reset method utilizes a DC power supply connected through a choke inductor, isolating the reset winding from the power source. The choke inductor permits steady DC current to flow into the winding while effectively blocking high-frequency or pulsed currents that may be induced during testing. Through this investigation, it has been found that choke inductors without magnetic material are best suited for this purpose.
The active reset board determines both the duration and magnitude of the core reset current, allowing the cores to be reset to different levels for comparison or for tailoring the fall time based on the length of the high-voltage pulse. The circuit is a simple switch–capacitor bank design, as shown in Figure 3. The capacitor bank consists of 6 mF and can be charged up to 20 V, providing sufficient energy storage to maintain a constant current for extended periods. For example, a 4 A current can be sustained for approximately 1 ms before experiencing only a 5% voltage decay. The reset current for each board is regulated by selecting a specific resistor value and adjusting the charging voltage accordingly. The reset board connects directly to the core reset winding, with a MOSFET serving as the switch to control both the timing and duration of the reset pulse. When the MOSFET is open, the LTD is effectively isolated from the reset board, eliminating the need for a choke inductor.
The effectiveness of the two reset techniques was evaluated in the following manner: an initial high-voltage pulse drives the core into saturation, followed by a subsequent high-voltage pulse after some time delay. The second high-voltage pulse was measured with varying delay times, and total flux swing calculated to quantify the extent of core reset achieved during the reset pulse. The active reset evaluation follows the same general method with the addition of reset pulses and delays prior to each high voltage pulse, as illustrated in Figure 4. The reset board was charged to 20 V with current limited to 4 A to be consistent with the 4 A DC reset current used in this evaluation.
The time delay between the reset pulse and the high-voltage pulse is set to 10 μ s, ensuring the reset board turns off completely before the high-voltage pulse is applied. Similarly, a 5 μ s delay is introduced between the high-voltage pulse and the next reset pulse. These delays add 15 μ s to the inter-pulse spacing. The reset time is varied from 25 μ s to 500 μ s, where increasing this time no longer provides additional flux swing.

2.2. Magnetic Materials

Identifying core material characteristics is crucial for the design and operation of the LTD. Three different cores were evaluated to optimize LTD performance. While all cores were made from the same Metglas nanocrystalline material from MK Magnetics, they underwent different annealing processes, affecting their magnetic properties. The cores are laminated, which is crucial for minimizing eddy current losses during fast pulse excitation.
The cores are identical in size, with dimensions provided in Figure 2b and a maximum total flux swing, assuming the core is fully reset into negative saturation of 2.36 T. The thickness of the lamination is 13 μ m and the total width of the layer (including the insulation) is 16 μ m, resulting in a lamination count of approximately 2340. The 3 μ m insulation thickness is inferred from the total area of the core and the packing factor specified in the datasheet.
Although all cores use the same nanocrystalline magnetic material, differences in annealing field strength and orientation result in varied permeability and B-H characteristics, while the material’s maximum flux density remains constant. Table 2 summarizes the magnetic properties of the three cores.
To meet the design requirement of a 500 ns pulse at 2.4 kV (1.2 mVs), the core must support a flux swing of at least 1.62 T without saturating, based on its physical dimensions.
To evaluate the performance of the cores under pulsed conditions, which more accurately reflect LTD operation, their magnetic behavior was tested under fast pulsed excitations. A simple pulse generator was used to apply voltages up to 2.4 kV to the cores, with a rise-time of approximately 20 ns. The core was first reset using a single-turn continuous DC reset current of 4 A before applying the high-voltage pulse. The reset utilizes an air core choke inductor (10 mH) to isolate the low-voltage DC supply from the high-voltage pulse. Due to MOSFET limitations, the maximum available current for testing was 200 A.
Using the current and voltage measurements on a single turn excited by a high voltage pulse from the pulse generator described previously, the average H-field and B-field throughout the core can be calculated using Equations (3)–(5), adapted from [10,24].
H = N p · I p l e
Δ B = 1 N p · A e f f · V p d t
l e = π · ( d o d i ) l n ( d o d i )
where N p is the number of primary turns, A e f f is the effective cross-sectional area of the core, l e is the effective path length of the core, d o is the core outer diameter, and d i is the inner diameter of the core. For N p = 1, I p = 200 A, and an effective magnetic path length l e of 0.218 m, resulting in a maximum H-field of approximately 900 A/m, using Equations (3) and (5).
Differentiating Equation (4), with the assumption of square pulse excitation, yields the magnetization rate expressed by Equation (6) [10]. The magnetization rate is an influential quantity that has been found to directly impact the behavior of the magnetic core [10,12,15,24].
d B d t = V N · A e f f

3. Results

3.1. Material Responses

All cores were tested using a single primary turn for consistency with the one-turn topology of the LTD; see Figure 5. The cores reach saturation at different times despite resetting with the same 4 A current. This difference highlights the impact of the annealing process on magnetic properties, specifically the DC permeability.
The saturation times for each core align with their initial DC reset points, with the 3W-L core saturating first due to its lower total flux utilization, followed by the 3W-M and 3W-H cores. Upon reaching saturation, all of the cores exhibit a steep voltage drop, signaling the collapse of the effective inductance.
The behavior of each core under these conditions is illustrated in Figure 6a. One feature of the B-H curve that must be considered under pulsed conditions is the initial push-out in H, which is a result of the finite diffusion time, which limits the ability of the magnetic field to engage the magnetic material [25]. From Figure 6a, it is evident that each core has a significant push-out with the 3W-L, 3W-M, and 3W-H materials, having an initial push-out of ∼80 A/m.
The energy loss of these magnetic materials must also be evaluated to determine the optimal core for the LTD. The energy loss for a magnetic material may be found by taking the area within the B-H curve; the expression for the energy loss of a magnetic core is given by Equation (7).
E l o s s m 3 = H d B
As seen in Figure 6b, the B-H curve of the magnetic material widens with increasing pulse voltage or magnetization rate; thus, the area within the curve increases, producing higher losses.
To be consistent with the magnetic core’s use case in an LTD where saturation should be avoided, the energy loss comparison was taken at 80% of the total flux swing, Δ B u s e = 0.8 Δ B t o t a l . As a figure of merit, the loss is normalized by the square of the total flux swing, yielding the loss factor in units of mJ/(cm3· T2). The energy loss factor is given by Equation (8) [26], where a lower loss factor reflects superior core performance.
L F = E l o s s / cm 3 ( Δ B ) 2
At the upper end of the magnetization rates of interest, the 3W-L material has the lowest energy losses, followed by the 3W-H, with 3W-M being the most lossy; see Figure 7a. However, considering the loss factor, the 3W-H outperforms the other two cores; see Figure 7b.
Next, the core reset time was evaluated, with the results of the continuous 4 A reset effectiveness across varying reset time for each core given in Figure 8a. Even at this reset level, none of the cores could utilize their full available flux swing of 2.36 T. The 3W-H core came closest, reaching 2.2 T after approximately 200 μ s. Initially, the 3W-L core exhibited the highest recovery flux at 40 μ s, but the other cores surpassed it by 100 μ s. All cores reached their total available flux after 200 μ s, corresponding to a 5 kHz repetition rate. However, suppose the core is not fully saturated and operates within 1 T flux swing. In that case, the maximum repetition rate would increase to approximately 20 kHz, demonstrating the trade-off between flux utilization and the achievable pulse repetition rate.
The active reset takes more time to reach similar flux swing across all cores, primarily due to the additional time delay between the reset and high-voltage pulse; see Figure 8b. This extra delay allows for natural flux relaxation towards B r , reducing the maximum achievable flux. The effect is most pronounced in the 3W-L core, as its lower remanent flux makes it more susceptible to natural reset effect.
In both reset methods, the 3W-H core exhibits the highest available flux at a reset of 4 A, reaching approximately 2.2 T in both cases. The continuous reset method achieves a slightly higher maximum usable flux than the pulsed reset, and it also reaches complete core reset twice as fast. This demonstrates that while both methods can achieve similar total flux swings, the continuous (DC) reset is generally faster when using similar reset voltage and currents. As a result, DC reset is the preferred approach for high-repetition-rate LTD applications, where space limitations do not discourage the use of large choke inductors. Alternatively, the reset voltage amplitude could be increased. One estimates that roughly a doubling of the amplitude will reset the core in a similar time as the 4 A DC case.
Based on the evaluations described previously, the 3W-H core emerges as the best choice for the LTD, as it provides the largest total flux swing, the lowest energy loss factor at the higher magnetization rates of interest, and similar reset times compared to the other cores with the continuous and pulsed reset techniques. The 3W-M material performed very similar to the 3W-H throughout this evaluation and would also perform well as a LTD magnetic core. Although the 3W-L core underperformed relative to the other two cores during evaluation, its low B r / B s ratio enables a flux swing of ∼1.2 T per pulse without requiring reset circuitry—an advantage in applications where implementing core reset is impractical.

3.2. Single-Stage Testing

Following individual characterization, the cores were integrated into the LTD system to evaluate their influence on overall performance, including rise-time, output pulse shape, and system efficiency under practical operating conditions. A statistical comparison based on 100 shots with a 50 Ω load was used to assess each core’s average voltage amplitude during the pulse flat-top and its rise-time, revealing negligible differences. Representative waveforms at 2.4 kV for each core, shown in Figure 9, illustrate nearly identical profiles. The only notable distinction is that the 3W-L core saturates earlier due to its lower available flux swing for a given reset current.
To assess the LTD’s rise-time sensitivity to switching speed, the MOSFET gate voltage was varied—a straightforward method for influencing switching behavior. While advanced gate-boosting techniques exist to mitigate parasitic inductance and capacitance effects [2,27,28,29,30], this study focused on direct gate voltage adjustment. The results show a clear reduction in rise-time with increased gate voltage, from 34.4 ns at 10 V to 7.9 ns at 25 V; see Table 3. Voltages below 10 V were insufficient for full MOSFET activation. At higher speeds, parasitic elements introduced ringing lasting for ∼30 ns before the output voltage amplitude settled.
With the switching characteristics established, attention was then directed toward the transmission line section of the LTD, specifically the influence of insulation material and geometry. Variations in dielectric type, stalk height, and diameter were examined to assess their impact on impedance matching and pulse fidelity. Initially, a 6 mm (1/4 in.) diameter stalk operating in air yielded a characteristic impedance of approximately 75 Ω (Equation (2)). Replacing air with PTFE ( ϵ r = 2.1 , μ r = 1 ) reduced the impedance to 51 Ω . Although this change had no measurable effect on rise-time, it resulted in a modest increase in average voltage amplitude—from 2305 V to 2320 V—across all core types. This improvement is attributed to better impedance matching with the 50 Ω load, enhancing power transfer and reducing reflection losses.
To further explore geometric influences, the height of the single-stage LTD structure was also evaluated. While the 26 mm core height sets a lower bound, the initial system height of 50.8 mm (2 in.), chosen somewhat arbitrarily during early development, was reduced to 31.75 mm (1.25 in.). This reduction led to a measurable improvement in rise-time, though it had minimal effect on average voltage amplitude. The combined effects of these and previously discussed parameter changes are illustrated in Figure 10.
The results show that when the single-stage LTD is shorter and the MOSFET gate is driven with the maximum rated voltage, the rise-time decreases. Additionally, impedance matching improves the average flat-top voltage over the non-impedance matched case. Furthermore, shot-to-shot variations are reduced, improving the consistency of the LTD output.
A complete statistical analysis is provided in Table 4, presenting the 200-shot averages for flat-top voltage, current, rise-time, and jitter. At a 500 V charging voltage, the rise-time is approximately 4.5 ns, and as the voltage increases to the maximum of 2.4 kV, the rise-time increases to 7.9 ns. Jitter is kept relatively constant regardless of voltage. A sweep of input voltages and pulse widths was conducted under these optimized conditions, with the results presented in Figure 11.

3.3. Ten-Stage Results

With single-stage performance fully characterized, the study progressed to evaluating the complete 10-stage LTD system. When stacked, the total system capacitance decreases since the LTD charges in parallel but effectively discharge in series, leading to an effective capacitance of C s t a g e / N s t a g e . For the 10-stage setup, this results in a capacitance of one-tenth that of a single stage.
The pulsed reset boards were attached with a single turn winding around core of each stage, as shown in Figure 12. To evaluate the voltage output of the full 10-stage LTD, testing was conducted by sweeping the charging voltage from 500 V to up to 2.4 kV in 500 V increments. The fully assembled LTD has a total height of 35.5 cm and a width of 40.5 cm, including the attached pulsed reset boards.
Based on the results of the magnetic core evaluation and single-stage LTD testing, the following parameters were chosen for the best performance: the 3W-H core was used for its higher flux availability compared to the other cores, a PTFE dielectric was used as the center stalk insulation material, which aided in impedance matching, and a shorter overall height and a gate drive voltage of 25 V were used to minimize rise-time.
The results for the 10-stage LTD operating with a 12.7 mm (1/2 in.) diameter stalk and PTFE dielectric ( Z 0 = 23 Ω , ϵ r = 2.1 ) with a 50 Ω load are presented in Figure 13a. A voltage overshoot is observed on the leading edge of the pulse, which quickly settles into a stable flat-top. At 24 kV, the FWHM pulse width is 56 ns, and the rise-time is 10 ns. The peak instantaneous power reaches 13 MW, while the average flat-top power over the duration of the pulse is 11.3 MW. The SSLTD developed in this work performs quite well in comparison with others reported in the literature; see Table 1. The 24 kV output voltage achieved is slightly lower than the 29 kV reported in [4]; however, the SSLTD presented here delivers over twice the current and has a significantly faster switching speed. It is also capable of driving a lower load impedance of 25 Ω , and demonstrates the fastest dV/dt switching rate of 2.4 kV/ns, outperforming the rest of the devices outlined in Table 1, with the next best at 1.42 kV/ns [5]. The maximum pulse width at the maximum output voltage of 24 kV is just over 500 ns, limited by saturation of the cores. The minimum pulse width is approximately 50 ns, constrained by the cumulative propagation delays of the gate drivers in the trigger signal path. A summary of the statistical averages for the system is provided in Table 5.
The impact of transmission line impedance on voltage waveform shape and rise-time was examined for three different stalk characteristic impedances, 6 Ω , 23 Ω , and 51 Ω , as shown in Figure 13b,c. An output voltage of 20 kV with a load resistance of 25 Ω resulted in a peak current of approximately 800 A; see Figure 13b,c. Although not explicitly shown, under similar testing conditions with an increased charge voltage, an output voltage of 24 kV into the same load produced a peak current of approximately 1 kA. In Figure 13b, a sweep of load resistances with Z 0 = 23 Ω reveals that the 100 Ω load produces a noticeable voltage overshoot at the front of the pulse, while the 25 Ω load does not. This overshoot is likely caused by the impedance mismatch between the characteristic impedance of the center stalk, Z 0 , and the load. The similarities in voltage waveforms for the Z 0 = 23 Ω , R l o a d = 50 Ω and Z 0 = 51 Ω , R l o a d = 100 Ω configurations shown in Figure 13b,c, both with approximately R l o a d = 2 · Z 0 , support this claim.
Having characterized the influence of transmission line parameters on pulse behavior, the next focus was on evaluating the full 10-stage LTD system under repetition-rated operation. Using a 6 mm stock diameter and a PTFE dielectric ( Z 0 = 51 Ω ), this test aimed to determine the maximum achievable repetition rate while maintaining a significant flux swing in the magnetic cores for each pulse.
Due to limitations in the LTD’s charging capabilities, specifically the limited current capacity of the power supply, the repetition rate evaluation was conducted in bursts of 10 shots into a 10 k Ω load. The active (pulsed) reset scheme used for this evaluation was the same as outlined in Section 3.1, with a 20 V charge voltage and peak current of 4 A. The large load resistance of 10 k Ω minimizes voltage droop on the energy storage capacitors, with losses dominated by the magnetic cores (∼180 mJ per pulse), while approximately 20 mJ per pulse is dissipated in the load resistor. A short burst of pulses opposed to continuous repetition-rated operation also eliminates the thermal concerns that arise with the relatively high average power output. A simple method to overcome the charging limitations and achieve a longer burst sequence is to add a large buffer capacitor on the high-voltage power rail. This capacitor allows the discharge capacitors to recharge between subsequent pulses, extending the burst operation.
The LTD was charged to 1.2 kV, with each pulse having a pulse width of 1 μ s, correlating to a flux swing of approximately 1.8 T. Based on previous results outlined in Section 3.1, the minimum inter-pulse spacing that should be expected would be around 300 μ s, correlating to a pulse repetition frequency of 3.3 kHz. Figure 14 shows an example voltage waveform from a 10 shot burst with a charge voltage of 1.2 kV and an inter-pulse spacing of 1 ms.
The observed pulse-to-pulse droop is due to the limited capacitor charging speed and could be overcome or minimized with a more aggressive charging scheme. As discussed previously, the voltage decay on each pulse is due to the losses in the magnetic core and the inability to recharge the energy storage capacitors to the target voltage between pulses. Figure 15 depicts the flux swing of each core of the LTD across the 10 shots in the burst across a range of inter-pulse spacings. The top grouping consisting of the 1 ms–600 μ s inter-pulse spacings experience some reduction in flux swing as the pulse number increases, associated with the energy loss in the cores. The reduction in flux swing observed in the 500 μ s and 400 μ s inter-pulse spacing tests was significantly more rapid in the initial pulses, indicating saturation of the magnetic cores.
These results demonstrate that, under the previously defined operating conditions, the minimum inter-pulse spacing is between 500 μ s and 600 μ s, corresponding to a maximum operating frequency of just under 2 kHz.

4. Conclusions

This work presents the development of a 10-stage LTD and examines how key design parameters influence system performance. The design features a higher per-stage charging voltage of 2.4 kV—more than double the ∼1 kV typically reported in SSLTDs—enabling higher output voltages with fewer stages. Combined with a 1 kA current capacity, this configuration achieves a 24 kV output and ∼10 ns rise-time, placing it at the upper end of SSLTD performance.
Among the nanocrystalline cores tested, the 3W-H material—annealed with a longitudinal field—exhibited the lowest energy loss under high-voltage pulsed conditions. However, single-stage testing showed minimal differences in rise-time and voltage amplitude across all three core material types. These tests also highlighted the importance of maximizing gate voltage, minimizing stage height, and matching transmission line impedance to the load for optimal performance.
In the 10-stage system, impedance matching was shown to improve pulse shape by reducing voltage overshoot. Repetition-rated testing demonstrated that the system can operate just under 2 kHz while maintaining a flux swing of ∼1.8 T per pulse. This confirms that, although continuous reset may support higher frequencies, pulsed reset remains viable for repetition-rated operation.

Author Contributions

Conceptualization, D.W., K.K., and A.N.; methodology, K.K. and D.W.; formal analysis, D.W.; investigation, D.W., K.K., K.S., J.S., J.D., J.M., and A.N.; data curation, D.W. and K.K.; writing—original draft preparation, K.K. and D.W.; writing—review and editing, K.K. and A.N.; funding acquisition, Z.S. and A.N. All authors have read and agreed to the published version of the manuscript.

Funding

This work was done under the auspices of Mission Support and Test Services, LLC, under Contract No. DE-NA0003624 with the U.S. Department of Energy and the National Nuclear Security Administration’s Office of Defense Programs, and supported by the Site-Directed Research and Development Program. DOE/NV/03624- -2234.

Data Availability Statement

Data is contained within the article.

Conflicts of Interest

The authors declare no conflicts of interest.

Correction Statement

This article has been republished with a minor correction to the Data Availability Statement. This change does not affect the scientific content of the article.

Abbreviations

The following abbreviations are used in this manuscript:
LTDLinear Transformer Driver
SSLTDSolid-State Linear Transformer Driver
SiCSilicon Carbide
PTFEPolytetrafluoroethylene

References

  1. Spielman, R. Pulsed-Power Innovations for Next-Generation, High-Current Drivers. IEEE Trans. Plasma Sci. 2022, 50, 2621–2627. [Google Scholar] [CrossRef]
  2. Azizi, M.; van Oorschot, J.; Huiskamp, T. Ultrafast Switching of SiC MOSFETs for High-Voltage Pulsed-Power Circuits. IEEE Trans. Plasma Sci. 2020, 48, 4262–4271. [Google Scholar] [CrossRef]
  3. Stygar, W.A.; Cuneo, M.E.; Headley, D.I.; Ives, H.C.; Leeper, R.J.; Mazarakis, M.G.; Olson, C.L.; Porter, J.L.; Wagoner, T.C.; Woodworth, J.R. Architecture of Petawatt-Class Z-Pinch Accelerators. Phys. Rev. Spec. Top.—Accel. Beams 2007, 10, 030401. [Google Scholar] [CrossRef]
  4. Jiang, W. Review of Solid-State Linear Transformer Driver Technology. Matter Radiat. Extrem. 2018, 3, 159–164. [Google Scholar] [CrossRef]
  5. Xue, H.; Yuan, Q.; Ding, W.; Meng, Y.; Wan, Z.; Wang, Y. Fast and Flexible Solid-State Linear Transformer Driver for Plasma Discharge Based on Metal Oxide Semiconductor Field Effect Transistor. Rev. Sci. Instrum. 2024, 95, 054704. [Google Scholar] [CrossRef] [PubMed]
  6. Rao, J.; Zhu, Y.; Wang, Y.; Jiang, S.; Li, Z. Study on the Basic Characteristics of Solid-State Linear Transformer Drivers. IEEE Trans. Plasma Sci. 2020, 48, 3168–3175. [Google Scholar] [CrossRef]
  7. Risch, R.; Biela, J. Solid-State Marx Generator vs. Linear Transformer Driver: Comparison of Parasitics and Pulse Waveforms for Nanosecond Pulsers. In Proceedings of the 2021 IEEE Pulsed Power Conference (PPC), Denver, CO, USA, 12–16 December 2021; pp. 1–12. [Google Scholar]
  8. Smith, I.D. Induction voltage adders and the induction accelerator family. Phys. Rev. Spec. Top.—Accel. Beams 2004, 7, 064801. [Google Scholar] [CrossRef]
  9. McBride, R.D.; Stygar, W.A.; Cuneo, M.E.; Sinars, D.B.; Mazarakis, M.G.; Leckbee, J.J.; Savage., M.E.; Hutsel, B.T.; Douglass, J.D.; Kiefer, M.L.; et al. A Primer on Pulsed Power and Linear Transformer Drivers for High Energy Density Physics Applications. IEEE Trans. Plasma Sci. 2018, 46, 3928–3967. [Google Scholar] [CrossRef]
  10. Acosta-Lech, D.; Houck, T.L.; McHale, B.; Misch, M.K.; Sugihara, K. Multi-Pulse Performance of Amorphous Metal Magnetic Cores at High Magnetization Rates. In Proceedings of the 2019 IEEE Pulsed Power & Plasma Science (PPPS), Orlando, FL, USA, 23–28 June 2019; pp. 1–4. [Google Scholar] [CrossRef]
  11. Taccetti, J.M.; McCrady, R.; Rose, C.R. Fast magnetization of amorphous metallic cores. In Proceedings of the 2017 IEEE 21st International Conference on Pulsed Power (PPC), Brighton, UK, 18–22 June 2017; pp. 1–4. [Google Scholar] [CrossRef]
  12. Kim, M.; Clancy, T.; Houck, T.L.; Pogue, N. Pulsed Transformer Magnetic Core Comparison of Different Materials for Pulsed Power Applications. In Proceedings of the 2023 IEEE Pulsed Power Conference (PPC), San Antonio, TX, USA, 25–29 June 2023; pp. 1–4. [Google Scholar]
  13. Petrescu, L.G.; Petrescu, M.C.; Cazacu, E.; Constantinescu, C.D. Estimation of Energy Losses in Nanocrystalline FINEMET Alloys Working at High Frequency. Materials 2021, 14, 7745. [Google Scholar] [CrossRef] [PubMed]
  14. Vellinger, J.; Goldmann, D.; Metzger, J.; Schramm, S. Losses of Nanocrystalline Core Materials for High Power, High Frequency Applications. In Proceedings of the PCIM Europe 2022, International Exhibition and Conference for Power Electronics, Intelligent Motion, Renewable Energy and Energy Management, Nuremberg, Germany, 10–12 May 2022; pp. 1–7. [Google Scholar] [CrossRef]
  15. Zhang, C.; Zhang, M.; Li, Y. Measurement and Simulation of Magnetic Properties of Nanocrystalline Alloys under High-Frequency Pulse Excitation. Materials 2023, 16, 2850. [Google Scholar] [CrossRef] [PubMed]
  16. Burdt, R.; Curry, R.D.; McDonald, K.F.; Melcher, P.; Ness, R.; Huang, C. Evaluation of nanocrystalline materials, amorphous metal alloys, and ferrites for magnetic pulse compression applications. J. Appl. Phys. 2006, 99, 08D911. [Google Scholar] [CrossRef]
  17. Koval’chuk, B.M.; Vizir’, V.A.; Kim, A.A.; Kumpyak, E.V.; Loginov, S.V.; Bastrikov, A.N.; Chervyakov, V.V.; Tsoi, N.V.; Monjaux, P.; Kh’yui, D. Fast primary storage device utilizing a linear pulse transformer. Russ. Phys. J. 1997, 40, 1142–1153. [Google Scholar] [CrossRef]
  18. Mazarakis, M.G.; Fowler, W.E.; Kim, A.A.; Sinebryukhov, V.A.; Rogowski, S.T.; Sharpe, R.A.; McDaniel, D.H.; Olson, C.L.; Porter, J.L.; Struve, K.W.; et al. High current, 0.5-MA, fast, 100-ns, linear transformer driver experiments. Phys. Rev. Spec. Top.—Accel. Beams 2009, 12, 050401. [Google Scholar] [CrossRef]
  19. Mazarakis, M.G.; Fowler, W.E.; LeChien, K.L.; Long, F.W.; Matzen, M.K.; McDaniel, D.H.; McKee, R.G.; Olson, C.L.; Porter, J.L.; Rogowski, S.T.; et al. High-Current Linear Transformer Driver Development at Sandia National Laboratories. IEEE Trans. Plasma Sci. 2010, 38, 704–713. [Google Scholar] [CrossRef]
  20. Sun, G.; Li, L.; Ding, W.; Shen, S. Bipolar Solid-State LTD Based on Push-pull Circuit. In Proceedings of the 2021 International Conference on Electrical, Communication, and Computer Engineering (ICECCE), Kuala Lumpur, Malaysia, 12–13 June 2021; pp. 1–5. [Google Scholar] [CrossRef]
  21. GeneSic Semiconductor. G2R120MT33J 3300V 120 mΩ SiC MOSFET. Rev 21 May 2021. Available online: https://www.genesicsemi.com/sic-mosfet/G2R120MT33J/G2R120MT33J.pdf (accessed on 23 September 2025).
  22. GeneSic Semiconductor. G2R1000MT33J 3300V 1000 mΩ SiC MOSFET. Rev 21 June 2021. Available online: https://www.genesicsemi.com/sic-mosfet/G2R1000MT33J/G2R1000MT33J.pdf (accessed on 23 September 2025).
  23. Metglas. FT-3W High-Performance Nanocrystalline Foil. 2015. Available online: https://metglas.com/wp-content/uploads/2016/12/FT-3W-Datasheet-Nov_2015-1.pdf (accessed on 23 September 2025).
  24. Howard, A.B.; Curry, R.D.; Burdt, R.A. High-dB/dt Square-Pulse Excitation of Finemet Magnetic Material. IEEE Trans. Plasma Sci. 2016, 44, 1914–1918. [Google Scholar] [CrossRef]
  25. Wright, D.; Kelp, K.; Klein, T.; Stephens, J.; Dickens, J.; Mankowski, J.; Shaw, Z.C.; Neuber, A. Assessing nanocrystalline pulsed transformer core performance using Maxwell ANSYS. AIP Adv. 2025, 15, 065323. [Google Scholar] [CrossRef]
  26. Greenwood, M.; Gowar, J.; Bird, B. A comparability parameter for amorphous magnetic materials. In Proceedings of the 7th Pulsed Power Conference, Monterey, CA, USA, 11–14 June 1989; pp. 186–189. [Google Scholar] [CrossRef]
  27. Hochberg, M.; Sack, M.; Mueller, G. A Test Environment for Power Semiconductor Devices Using a Gate-Boosting Circuit. IEEE Trans. Plasma Sci. 2016, 44, 2030–2034. [Google Scholar] [CrossRef]
  28. Yang, Y.; Wen, Y.; Gao, Y. A Novel Active Gate Driver for Improving Switching Performance of High-Power SiC MOSFET Modules. IEEE Trans. Power Electron. 2019, 34, 7775–7787. [Google Scholar] [CrossRef]
  29. Yamaguchi, K.; Katsura, K.; Yamada, T.; Sato, Y. Comprehensive Evaluation of Gate Boost Driver for SiC-MOSFETs. In Proceedings of the IEEE Energy Conversion Congress and Exposition (ECCE), Milwaukee, WI, USA, 18–22 September 2016; pp. 1–8. [Google Scholar]
  30. Collier, L.; Kajiwara, T.; Dickens, J.; Mankowski, J.; Neuber, A. Fast SiC Switching Limits for Pulsed Power Applications. IEEE Trans. Plasma Sci. 2019, 47, 5306–5313. [Google Scholar] [CrossRef]
Figure 1. Simplified LTD structure cross-section showing the main and magnetizing current paths and transmission line characteristics.
Figure 1. Simplified LTD structure cross-section showing the main and magnetizing current paths and transmission line characteristics.
Energies 18 05129 g001
Figure 2. (a) Physical layout of a single stage of the LTD. (b) Dimensions of the magnetic core used for the LTD. The total board diameter is 300 mm. Trigger path traces are all 143 mm, giving a delay of ∼one ns. Magnetic core dimensions are as follows: OD = 118.7 mm; ID = 33.7 mm; and height = 28 mm. The total area is 9.53 cm2, with a packing factor of 0.78, resulting in an effective area of 7.43 cm2 and an effective length is 218 mm. This core is the FT-3W-H, although all have the same physical dimensions.
Figure 2. (a) Physical layout of a single stage of the LTD. (b) Dimensions of the magnetic core used for the LTD. The total board diameter is 300 mm. Trigger path traces are all 143 mm, giving a delay of ∼one ns. Magnetic core dimensions are as follows: OD = 118.7 mm; ID = 33.7 mm; and height = 28 mm. The total area is 9.53 cm2, with a packing factor of 0.78, resulting in an effective area of 7.43 cm2 and an effective length is 218 mm. This core is the FT-3W-H, although all have the same physical dimensions.
Energies 18 05129 g002
Figure 3. Pulsed magnetic reset schematic, featuring the charging protection circuit, the discharge capacitor, the current limiting resistor, the MOSFET switch, and the trigger circuitry with R g and C g , which regulate the switching speed of the MOSFET. The board can provide up to 20 V and 5 A to the core between high-voltage pulses. The MOSFET used on the pulsed reset board is a 3.3 kV rated Genesic G2R1000MT33J [22].
Figure 3. Pulsed magnetic reset schematic, featuring the charging protection circuit, the discharge capacitor, the current limiting resistor, the MOSFET switch, and the trigger circuitry with R g and C g , which regulate the switching speed of the MOSFET. The board can provide up to 20 V and 5 A to the core between high-voltage pulses. The MOSFET used on the pulsed reset board is a 3.3 kV rated Genesic G2R1000MT33J [22].
Energies 18 05129 g003
Figure 4. Visual representation of the timing sequence used in the pulsed reset evaluation, where the reset pulse is opposite polarity of the applied voltage. The inter-pulse spacing is varied, affecting the reset time. Other delay times are held constant throughout.
Figure 4. Visual representation of the timing sequence used in the pulsed reset evaluation, where the reset pulse is opposite polarity of the applied voltage. The inter-pulse spacing is varied, affecting the reset time. Other delay times are held constant throughout.
Energies 18 05129 g004
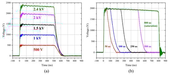
Figure 5. Primary voltage (solid) and current (dashed) waveforms for the three MK cores with a 4 A reset current. The charging voltage is 2 kV, and the rise-time of the applied voltage pulse is ∼20 ns.
Figure 5. Primary voltage (solid) and current (dashed) waveforms for the three MK cores with a 4 A reset current. The charging voltage is 2 kV, and the rise-time of the applied voltage pulse is ∼20 ns.
Energies 18 05129 g005
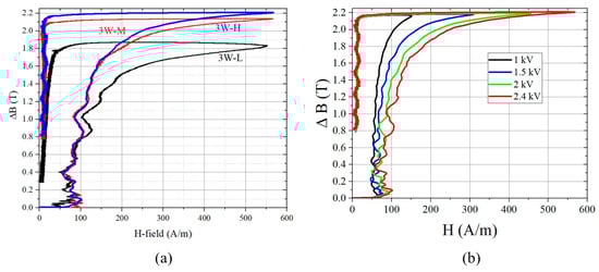
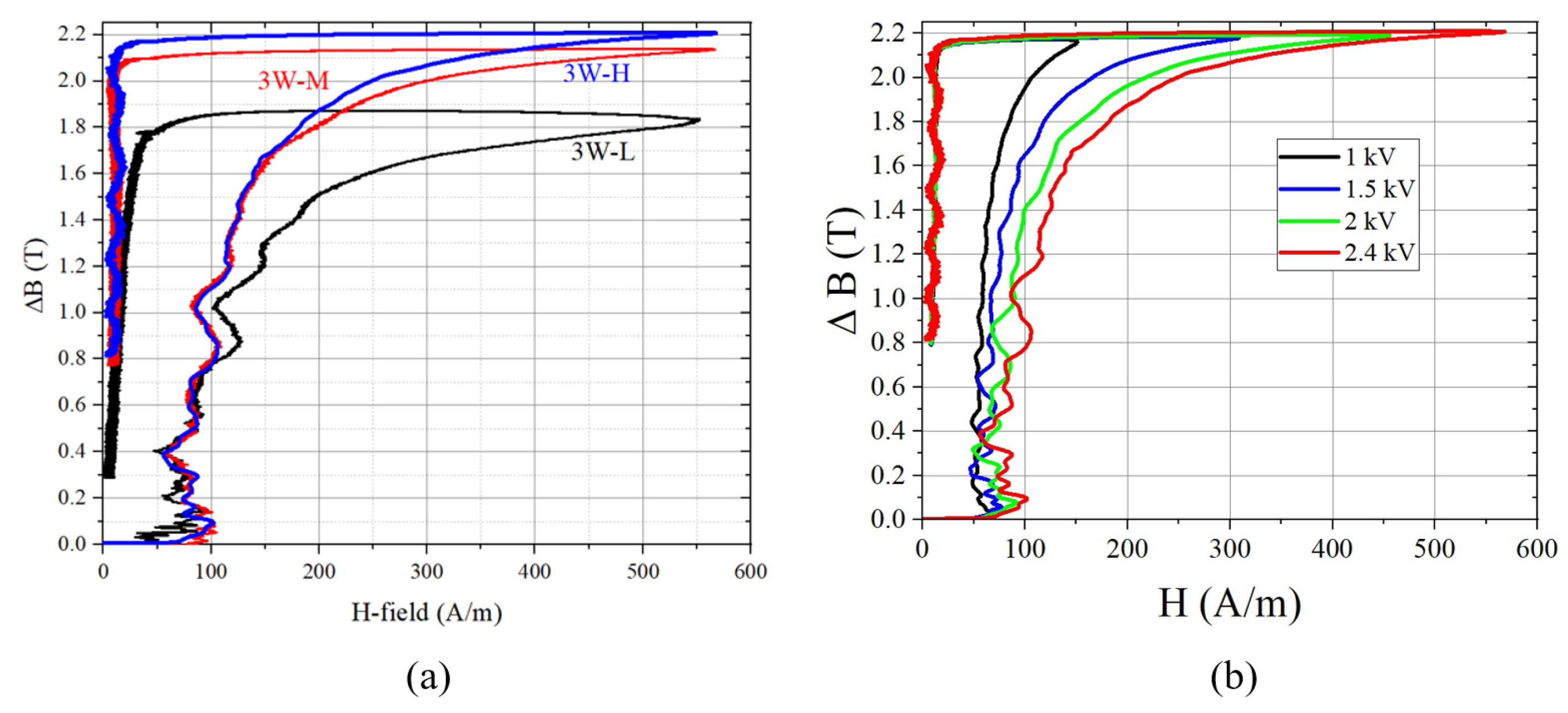
Figure 6. Experimentally measured B-H curves of the MK cores with a continuous DC reset current of 4 A. (a) Comparison of MK cores with 2 kV charge voltage. The 3W-H achieves the highest flux at 2.25 T, while the 3W-L only reaches 1.85 T. (b) 3W-H magnetic core B-H curve widening with increasing pulse voltage with a continuous DC reset current of 4 A.
Figure 6. Experimentally measured B-H curves of the MK cores with a continuous DC reset current of 4 A. (a) Comparison of MK cores with 2 kV charge voltage. The 3W-H achieves the highest flux at 2.25 T, while the 3W-L only reaches 1.85 T. (b) 3W-H magnetic core B-H curve widening with increasing pulse voltage with a continuous DC reset current of 4 A.
Energies 18 05129 g006
Figure 7. Energy loss evaluation across a range of magnetization rates at 80% total flux swing. (a) Total energy loss given in mJ/cm3. (b) Loss factor.
Figure 7. Energy loss evaluation across a range of magnetization rates at 80% total flux swing. (a) Total energy loss given in mJ/cm3. (b) Loss factor.
Energies 18 05129 g007
Figure 8. Magnetic core reset evaluation with flux swing over inter-pulse spacing.(a) Continuous core reset at 4 A, demonstrating that the 3W-H performs the best overall compared to the other cores for an equivalent reset time. (b) Pulsed core reset at 4 A. The 3W-H performs the best overall compared to the other cores for an equivalent reset time unless the inter-pulse spacing is very small, equivalent to a repetition rate of 10 kHz and above.
Figure 8. Magnetic core reset evaluation with flux swing over inter-pulse spacing.(a) Continuous core reset at 4 A, demonstrating that the 3W-H performs the best overall compared to the other cores for an equivalent reset time. (b) Pulsed core reset at 4 A. The 3W-H performs the best overall compared to the other cores for an equivalent reset time unless the inter-pulse spacing is very small, equivalent to a repetition rate of 10 kHz and above.
Energies 18 05129 g008
Figure 9. LTD output waveform at 2.4 kV for each core into a 50 Ω load. Rise-times and voltage amplitudes are similar, but the 3W-L saturates earlier than the other cores. Conditions for the single-stage LTD were a 6 mm (1/4 in.) stalk with PTFE insulation and a 25 V gate voltage.
Figure 9. LTD output waveform at 2.4 kV for each core into a 50 Ω load. Rise-times and voltage amplitudes are similar, but the 3W-L saturates earlier than the other cores. Conditions for the single-stage LTD were a 6 mm (1/4 in.) stalk with PTFE insulation and a 25 V gate voltage.
Energies 18 05129 g009
Figure 10. Influence of varying parameters, height, impedance, and gate voltage on rise-time and average flat-top voltage for the single-stage LTD with a 50 Ω load.
Figure 10. Influence of varying parameters, height, impedance, and gate voltage on rise-time and average flat-top voltage for the single-stage LTD with a 50 Ω load.
Energies 18 05129 g010
Figure 11. Single-stage LTD output waveforms with a 6 mm (1/4 in.) stalk with PTFE insulation and a 25 V gate voltage. (a) Varying charge voltages into a 50 Ω load with a pulse width of 500 ns. (b) Varying pulse widths into a 50 Ω load with 2 kV charge voltage.
Figure 11. Single-stage LTD output waveforms with a 6 mm (1/4 in.) stalk with PTFE insulation and a 25 V gate voltage. (a) Varying charge voltages into a 50 Ω load with a pulse width of 500 ns. (b) Varying pulse widths into a 50 Ω load with 2 kV charge voltage.
Energies 18 05129 g011
Figure 12. Full 10-stage LTD stack with pulsed reset boards attached.
Figure 12. Full 10-stage LTD stack with pulsed reset boards attached.
Energies 18 05129 g012
Figure 13. Ten-stage LTD voltage output waveforms. (a) Varying charging voltages with 12.7 mm (1/2 in.) diameter stalk with PTFE dielectric ( Z 0 = 23 Ω ) and a 50 Ω load. (b) Varying load resistances with a transmission line characteristic impedance of Z 0 = 23 Ω . (c) Varying load resistances with a transmission line characteristic impedance of Z 0 = 51 Ω . A voltage overshoot is noticeable for load impedances greater than the center stalk coaxial line impedance.
Figure 13. Ten-stage LTD voltage output waveforms. (a) Varying charging voltages with 12.7 mm (1/2 in.) diameter stalk with PTFE dielectric ( Z 0 = 23 Ω ) and a 50 Ω load. (b) Varying load resistances with a transmission line characteristic impedance of Z 0 = 23 Ω . (c) Varying load resistances with a transmission line characteristic impedance of Z 0 = 51 Ω . A voltage overshoot is noticeable for load impedances greater than the center stalk coaxial line impedance.
Energies 18 05129 g013
Figure 14. Ten-stage LTD 10-shot burst output voltage waveforms with a charge voltage of 1.2 kV, with each pulse having a FWHM of ∼1.2 μ s and with subsequent pulses being separated by 1 ms delay.
Figure 14. Ten-stage LTD 10-shot burst output voltage waveforms with a charge voltage of 1.2 kV, with each pulse having a FWHM of ∼1.2 μ s and with subsequent pulses being separated by 1 ms delay.
Energies 18 05129 g014
Figure 15. Flux swing on each core of the LTD measured across each of the 10 shots in the burst, with inter-pulse spacings ranging from 1 ms to 400 μ s; see Figure 4 for core reset timing scheme.
Figure 15. Flux swing on each core of the LTD measured across each of the 10 shots in the burst, with inter-pulse spacings ranging from 1 ms to 400 μ s; see Figure 4 for core reset timing scheme.
Energies 18 05129 g015
Table 1. Comparison of SSLTD systems in the literature [4,5,6,7,20] and this work.
Table 1. Comparison of SSLTD systems in the literature [4,5,6,7,20] and this work.
Author (Year)# of StagesRise-Time V out V stage Load
Jiang (2018 [4]3040 ns29 kV967 V120 Ω
Rao (2020) [6]930.4 ns7.5 kV833 V100 Ω
Risch (2021) [7]54 ns4 kV800 V40 Ω
Sun (2021) [20]415 ns1.9 kV433 V50 Ω
Xue (2024) [5]106.2 ns8.8 kV880 V300 Ω
This Work (2025)1010 ns24 kV2.4 kV25 Ω
Table 2. Material properties for FT-3W material [23]. Note: μ i denotes initial permeability; B s a t is the saturation flux density; H c is the coercive field; and B r is the remanent flux density.
Table 2. Material properties for FT-3W material [23]. Note: μ i denotes initial permeability; B s a t is the saturation flux density; H c is the coercive field; and B r is the remanent flux density.
MaterialAnnealing Field μ i (max) B sat (T) H c (A/m) B r B sat (%)
FT-3W-MNo Field74,0001.18160
FT-3W-LTransverse16,5001.1813
FT-3W-HLongitudinal60001.18180
Table 3. Gate voltage and rise-time for 2.4 kV pulse at 32 mm (1.25 in.) LTD height.
Table 3. Gate voltage and rise-time for 2.4 kV pulse at 32 mm (1.25 in.) LTD height.
Gate Voltage (V)Rise-Time (ns)
1034.4
1515.4
208.7
257.9
Table 4. Average flat-top voltage, average flat-top current, and rise-time for various charging voltages of the single-stage LTD using the 3W-H core, 25 V gate drive voltage, 31.75 mm (1.25 in.) overall height, and a 50 Ω load. Each average is over 200 shots and the jitter across the range of voltages is 200 ps or less.
Table 4. Average flat-top voltage, average flat-top current, and rise-time for various charging voltages of the single-stage LTD using the 3W-H core, 25 V gate drive voltage, 31.75 mm (1.25 in.) overall height, and a 50 Ω load. Each average is over 200 shots and the jitter across the range of voltages is 200 ps or less.
V charge Average V flat Average I flat Rise-Time
500 V488 V9.8 A4.5 ns
1 kV977 V19.8 A5.7 ns
1.5 kV1459 V29.7 A6.7 ns
2 kV1939 V39.3 A7.5 ns
2.4 kV2328 V47 A7.9 ns
Table 5. Average voltage, current, and rise-time of the 10-stage LTD for various charging voltages with R load = 50 Ω . Each average is over 100 shots, with each having a jitter of less than 300 ps.
Table 5. Average voltage, current, and rise-time of the 10-stage LTD for various charging voltages with R load = 50 Ω . Each average is over 100 shots, with each having a jitter of less than 300 ps.
V charge (kV)Average V flat (kV)Average I flat (A)Rise-Time (ns)
0.54.96995.5
19.821967
1.514.682948.1
219.833979.4
2.423.8247610
Disclaimer/Publisher’s Note: The statements, opinions and data contained in all publications are solely those of the individual author(s) and contributor(s) and not of MDPI and/or the editor(s). MDPI and/or the editor(s) disclaim responsibility for any injury to people or property resulting from any ideas, methods, instructions or products referred to in the content.

Share and Cite

MDPI and ACS Style

Kelp, K.; Wright, D.; Schriner, K.; Stephens, J.; Dickens, J.; Mankowski, J.; Shaw, Z.; Neuber, A. Development and Optimization of a 10-Stage Solid-State Linear Transformer Driver. Energies 2025, 18, 5129. https://doi.org/10.3390/en18195129

AMA Style

Kelp K, Wright D, Schriner K, Stephens J, Dickens J, Mankowski J, Shaw Z, Neuber A. Development and Optimization of a 10-Stage Solid-State Linear Transformer Driver. Energies. 2025; 18(19):5129. https://doi.org/10.3390/en18195129

Chicago/Turabian Style

Kelp, Keegan, Dawson Wright, Kirk Schriner, Jacob Stephens, James Dickens, John Mankowski, Zach Shaw, and Andreas Neuber. 2025. "Development and Optimization of a 10-Stage Solid-State Linear Transformer Driver" Energies 18, no. 19: 5129. https://doi.org/10.3390/en18195129

APA Style

Kelp, K., Wright, D., Schriner, K., Stephens, J., Dickens, J., Mankowski, J., Shaw, Z., & Neuber, A. (2025). Development and Optimization of a 10-Stage Solid-State Linear Transformer Driver. Energies, 18(19), 5129. https://doi.org/10.3390/en18195129

Note that from the first issue of 2016, this journal uses article numbers instead of page numbers. See further details here.

Article Metrics

Back to TopTop