Cost-Effective Winding Strategy and Experimental Validation of a Real-Scale HTS Field Coil for 10 MW Class Wind Turbine Generators
Abstract
1. Introduction
2. Description and Design of the HTS Field Coil for 10 MW HTS Wind Power Generator
2.1. Specification of the 10 MW HTS Wind Power Generator
2.2. Specifications of the HTS Wires and HTS Field Coils
3. Simulation Analysis of the HTS Coil Using Two Types of the HTS Wire
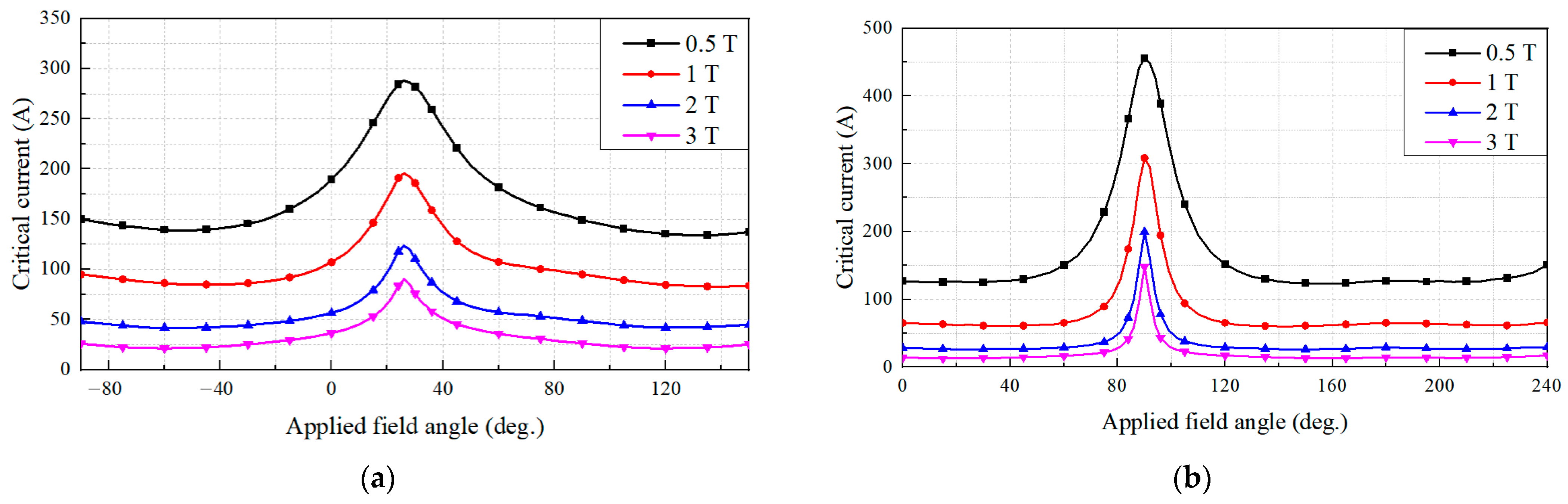
3.1. Estimation of the Critical Current Distribution of HTS Coil with Wire A and B
3.2. Estimation of the Critical Current Distribution of HTS Coil with Iron Core
4. Experiments on HTS Field Coils for a 10 MW Class HTS Wind Generator
4.1. Manufacturing of the HTS Field Coil
4.2. Test of the HTS Field Coils in LN2
4.3. Test of the HTS Field Coils Equipped with the Iron Core in LN2
5. Discussion
6. Conclusions
Funding
Institutional Review Board Statement
Informed Consent Statement
Data Availability Statement
Conflicts of Interest
References
- Nguyen, V.G.; Sirohi, R.; Tran, M.H.; Truong, T.H.; Duong, M.T.; Pham, M.T.; Cao, D.N. Renewable energy role in low-carbon economy and net-zero goal: Perspectives and prospects. Energy Environ. 2025, 36, 2248–2287. [Google Scholar] [CrossRef]
- Gul, E.; Baldinelli, G.; Bartocci, P.; Shamim, T.; Domenighini, P.; Cotana, F.; Wang, J.; Fantozzi, F.; Bianchi, F. Transition toward net zero emissions-Integration and optimization of renewable energy sources: Solar, hydro, and biomass with the local grid station in central Italy. Renew. Energy 2023, 207, 672–686. [Google Scholar] [CrossRef]
- Lau, H.C.; Tsai, S.C. Global Decarbonization: Current Status and What It Will Take to Achieve Net Zero by 2050. Energies 2023, 16, 7800. [Google Scholar] [CrossRef]
- Summerfield-Ryan, O.; Park, S. The power of wind: The global wind energy industry’s successes and failures. Ecol. Econ. 2023, 210, 107841. [Google Scholar] [CrossRef]
- Global Wind Energy Council (GWEC). Global Wind Report 2021; Global Wind Energy Council: Brussels, Belgium, 2021; Volume 80. [Google Scholar]
- Sayed, E.T.; Olabi, A.G.; Alami, A.H.; Radwan, A.; Mdallal, A.; Rezk, A.; Abdelkareem, M.A. Renewable Energy and Energy Storage Systems. Energies 2023, 16, 1415. [Google Scholar] [CrossRef]
- Dorrell, J.; Lee, K. The Cost of Wind: Negative Economic Effects of Global Wind Energy Development. Energies 2020, 13, 3667. [Google Scholar] [CrossRef]
- Bilgili, M.; Alphan, H. Global growth in offshore wind turbine technology. Clean Technol. Environ. Policy 2022, 24, 2215–2227. [Google Scholar] [CrossRef]
- Bošnjaković, M.; Katinić, M.; Santa, R.; Marić, D. Wind Turbine Technology Trends. Appl. Sci. 2022, 12, 8653. [Google Scholar] [CrossRef]
- IRENA. Future of Wind Deployment, Investment, Technology, Grid Integration and Socio-Economic Aspects. Available online: https://www.irena.org (accessed on 20 July 2022).
- Sharma, V.; Sharma, S.; Sharma, G. Recent development in the field of wind turbine. Mater. Today Proc. 2022, 64, 1512–1520. [Google Scholar] [CrossRef]
- Ali, S.; Park, H.; Lee, D. Investigating the Structural and Power Performance of a 15 MW Class Wind Energy Generation System under Experimental Wind and Marine Loading. J. Mar. Sci. Eng. 2024, 12, 1485. [Google Scholar] [CrossRef]
- Jung, G.E.; Sung, H.J.; Dinh, M.C.; Park, M.; Shin, H. A Comparative analysis of economics of PMSG and SCSG floating offshore wind farms. Energies 2021, 14, 1386. [Google Scholar] [CrossRef]
- Dias da Silva, M. Design and Optimization of Spoke Type Permanent Magnet Synchronous Machines: A Rare-Earth Element Free Solution For Electromobility. Ph.D. Thesis, Acta Universitatis Upsaliensis, Uppsala, Sweden, 2025. [Google Scholar]
- Amato, A.; Becci, A.; Bollero, A.; Cerrillo-Gonzalez, M.D.M.; Cuesta-Lopez, S.; Ener, S.; Dirba, I.; Gutfleisch, O.; Innocenzi, V.; Montes, M.; et al. Life cycle assessment of rare earth elements-free permanent magnet alternatives: Sintered ferrite and Mn–Al–C. ACS Sustain. Chem. Eng. 2023, 11, 13374–13386. [Google Scholar] [CrossRef]
- Dayo, S.A.; Memon, A.; Memon, Z.A.; Jumani, T.A.; Abbas, G.; Othmen, S.; Yousef, A.; Wijaya, A.A. A new approach for improving dynamic fault ride through capability of gridctied based wind turbines. Sci. Rep. 2025, 15, 6144. [Google Scholar] [CrossRef]
- Wagh, C.; Boukhenfouf, J.; Colas, F.; Rouco, L.; Guillaud, X. Non-linear interaction between synchronous generator and GFM controlled wind turbines–Inertial effect enhancement and oscillations mitigation. Wind. Energy Sci. Discuss. 2025, 2025, 1–23. [Google Scholar]
- Liu, D.; Salmi, T.; Deng, F.; Ye, C. Characteristics of the superconducting field winding of an HTS wind turbine generator during a short circuit fault. IEEE Trans. Appl. Supercond. 2022, 32, 5200606. [Google Scholar] [CrossRef]
- Köster, R.; Binder, A. Multi-objective optimization of a direct-drive wind turbine generator with HTS excitation winding. IEEE Trans. Appl. Supercond. 2022, 32, 5200508. [Google Scholar] [CrossRef]
- Prajzendanc, P.; Kreischer, C. A Review of New Technologies in the Design and Application of Wind Turbine Generators. Energies 2025, 18, 4082. [Google Scholar] [CrossRef]
- Kolchanova, I.; Poltavets, V. Superconducting generators for wind turbines. In Proceedings of the 2021 International Conference on Electrotechnical Complexes and Systems (ICOECS), Ufa, Russia, 16–18 November 2021; IEEE: Piscataway, NJ, USA, 2021; pp. 529–533. [Google Scholar]
- Zhang, C.; Shen, L.; Wu, X.; Shan, F.; Chen, L.; Liu, S.; Zheng, Z.; Zhu, L.; Wang, J.; Zhai, Y. Review of Offshore Superconducting Wind Power Generation for Hydrogen Production. Energies 2025, 18, 1889. [Google Scholar] [CrossRef]
- Hoang, T.-K.; Queval, L.; Vido, L.; Nguyen, D.-Q. Levelized Cost of energy comparison between permanent magnet and superconducting wind generators for various nominal power. IEEE Trans. Appl. Supercond. 2022, 32, 5202606. [Google Scholar] [CrossRef]
- Liu, D.; Polinder, H.; Abrahamsen, A.B.; Wang, X.; Ferreira, J.A. Comparison of superconducting generators and permanent magnet generators for 10-MW direct-drive wind turbines. In Proceedings of the 2016 19th International Conference on Electrical Machines and Systems (ICEMS), Chiba, Japan, 13–16 November 2016; IEEE: Piscataway, NJ, USA, 2016. [Google Scholar]
- Xu, Y.; An, L.-T.; Jia, X.-P.; Jia, B.-Z.; Maki, N. Optimization study of the main parameters of different types of wind turbine generators. Supercond. Sci. Technol. 2022, 35, 035007. [Google Scholar] [CrossRef]
- Köster, R.; Binder, A. Optimum 7 MW HTS direct-drive wind turbine synchronous generator designs with different rotor and stator iron topologies. Elektrotech. Informationstech. 2023, 140, 324–337. [Google Scholar] [CrossRef]
- Kim, C.; Sung, H.-J.; Go, B.-S.; Sim, K.; Nam, G.D.; Kim, S.; Park, M. Design, fabrication, and testing of a full-scale HTS coil for a 10 MW HTS wind power generator. IEEE Trans. Appl. Supercond. 2021, 31, 4900705. [Google Scholar] [CrossRef]
- Kim, C.; Sung, H.J.; Go, B.S.; Nam, G.D.; Kim, S.; Park, M. Design and property analysis of a performance evaluation system for HTS wind power generators. IEEE Trans. Appl. Supercond. 2020, 30, 5202805. [Google Scholar] [CrossRef]
- Sung, H.J.; Go, B.S.; Park, M. A performance evaluation system of an HTS pole for large-scale HTS wind power generators. IEEE Trans. Appl. Supercond. 2019, 29, 5203905. [Google Scholar] [CrossRef]
- Seo, G.; Mun, J.; Kim, D.; Park, M.; Kim, S. Neon-helium hybrid cooling system for a 10 MW class superconducting wind power generator. IEEE Trans. Appl. Supercond. 2021, 31, 5202205. [Google Scholar] [CrossRef]
- Senatore, C.; Barth, C.; Bonura, M.; Kulich, M.; Mondonico, G. Field and temperature scaling of the critical current density in commercial REBCO coated conductors. Supercond. Sci. Technol. 2015, 29, 014002. [Google Scholar] [CrossRef]
- Bo, K.; Chen, J.; Jiang, Y.; Wang, D. Numerical analysis of 40 MW HTS motor electromagnetic characteristics for ship electric propulsion. Sci. Rep. 2023, 13, 20261. [Google Scholar] [CrossRef]












| Items | Value |
|---|---|
| Rated output power | 10.5 MW |
| Rated L-L voltage | 6.6 kV |
| Rated armature current | 918 A |
| Rotating speed | 9.48 rpm |
| Rated torque | 10.57 MN·m |
| Number of poles | 40 |
| Type of the rotor | HTS field coil |
| Type of the stator | Copper winding coil |
| Operating temperature of the HTS field coil | 35 K |
| Cut-in wind speed | 5 m/s |
| Cut-out wind speed | 25 m/s |
| Rated wind speed | 11.3 m/s |
| Length of rotor blades | 89.1 m |
| Average wind speed of the site of installation | 8.5 m/s |
| Items | Wire A | Wire B |
|---|---|---|
| Type of HTS wire | GdBaCuO (GdBCO) | GdBCO |
| Thickness of HTS wire | 0.15 mm | 0.15 mm |
| Width of HTS wire | 12 mm | 12 mm |
| Critical current @77 K, self-field | 500 A | 600 A |
| Critical current @35 K, 2 T | 652 A | 375 A |
| Critical bend radius | 60 mm | 35 mm |
| Critical tensile strength | >300 MPa | >500 MPa |
| Items | Value |
|---|---|
| Number of layers | 4 |
| Turns of field coil | 310 |
| Inner radius of field coil | 125 mm |
| Outer radius of field coil | 202.5 mm |
| Effective length of field coil | 700 mm |
| Width of center iron-core | 200 mm |
| Width of top and bottom iron-core | 445 mm |
| Co-winding material | Stainless steel tape |
| Thickness of stainless-steel tape | 0.1 mm |
| Height of field coil | 70 mm |
| Height of field coil with iron-core | 125 mm |
| Operating current at 35 K | 221 A |
| Impregnation | Stycast 2850 FT |
| Total length of a 1 pole HTS wire | 3.0 km |
| Materials of the salient pole | S45C and 50PN470 |
| Num. | Items | Value |
|---|---|---|
| 1 | Inner winding | 180 turns |
| 2 | Middle winding | 60 turns |
| 3 | Outer winding | 70 turns |
| Items | Critical Current (77 K) | Critical Current (35 K) | Cost Ratio |
|---|---|---|---|
| Wire A | 108 A | 440 A | 1 |
| Wire B | 92 A | 307 A | 0.6 |
| Combined two wires | 108 A | 440 A | 0.85 |
| Items | Critical Current (Simulation) | Critical Current (Experiment) | Error (%) |
|---|---|---|---|
| HTS field coil 1 | 108 A | 112 A | 3.7% |
| HTS field coil 2 | 92 A | 101 A | 8.9% |
| HTS field coil 1 with iron core | 103 A | 105 A | 1.9% |
| HTS field coil 2 with iron core | 87 A | 93 A | 6.5% |
Disclaimer/Publisher’s Note: The statements, opinions and data contained in all publications are solely those of the individual author(s) and contributor(s) and not of MDPI and/or the editor(s). MDPI and/or the editor(s) disclaim responsibility for any injury to people or property resulting from any ideas, methods, instructions or products referred to in the content. |
© 2025 by the author. Licensee MDPI, Basel, Switzerland. This article is an open access article distributed under the terms and conditions of the Creative Commons Attribution (CC BY) license (https://creativecommons.org/licenses/by/4.0/).
Share and Cite
Kim, C. Cost-Effective Winding Strategy and Experimental Validation of a Real-Scale HTS Field Coil for 10 MW Class Wind Turbine Generators. Energies 2025, 18, 4892. https://doi.org/10.3390/en18184892
Kim C. Cost-Effective Winding Strategy and Experimental Validation of a Real-Scale HTS Field Coil for 10 MW Class Wind Turbine Generators. Energies. 2025; 18(18):4892. https://doi.org/10.3390/en18184892
Chicago/Turabian StyleKim, Changhyun. 2025. "Cost-Effective Winding Strategy and Experimental Validation of a Real-Scale HTS Field Coil for 10 MW Class Wind Turbine Generators" Energies 18, no. 18: 4892. https://doi.org/10.3390/en18184892
APA StyleKim, C. (2025). Cost-Effective Winding Strategy and Experimental Validation of a Real-Scale HTS Field Coil for 10 MW Class Wind Turbine Generators. Energies, 18(18), 4892. https://doi.org/10.3390/en18184892

