Fractional-Derivative Enhanced LSTM for Accurate SOH Prediction of Lithium-Ion Batteries
Abstract
1. Introduction
- (1)
- We propose a novel LSTM variant that integrates a local fractional derivative operator into the cell state update function, enabling the model to learn the multiscale memory characteristics of battery degradation.
- (2)
- We construct a SOH estimation framework that preserves the interpretability of physical degradation processes while maintaining the flexibility of deep learning, bridging the gap between black-box models and physically inspired ones.
- (3)
- We validate the proposed model using the CALCE lithium-ion battery dataset, and the results show that it consistently outperforms the conventional LSTM model in both prediction accuracy and robustness.
2. Dataset Introduction
2.1. Dataset Description
2.2. Feature Engineering and Rationale
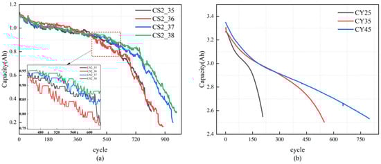
- Discharge Capacity (C):
- 2.
- Mean Internal Resistance (IR):
- 3.
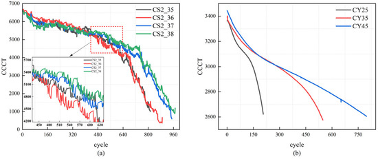
- Constant Current Charging Time (CCCT):
- 4.
- Constant Voltage Charging Time (CVCT):
2.3. Data Preprocessing and Preparation
- Outlier Removal and Trend Smoothing:
- 2.
- Feature Normalization:
3. LSTM Based on Fractional Dimension
3.1. Structure of LSTM
3.2. Local Derivative Based on Fractional Dimension
- Apparent roughness coupled with underlying regularity;
- A dimensionality that lies between integers.
3.3. Improved LSTM
4. Experimental Result Analysis
4.1. Subsection
4.2. Sensitivity Analysis of Hyperparameters and
4.3. Performance Evaluation on CALCE LiCoO2 Dataset
4.4. Validation on Tongji University NCA Dataset Under Diverse Conditions
5. Conclusions
Author Contributions
Funding
Data Availability Statement
Conflicts of Interest
References
- Al-Smadi, M.K.; Abu Qahouq, J.A. State of Health Estimation for Lithium-Ion Batteries Based on Transition Frequency’s Impedance and Other Impedance Features with Correlation Analysis. Batteries 2025, 11, 133. [Google Scholar] [CrossRef]
- Feng, J.; Cai, F.; Zhan, X.; Zhang, X.; Zhao, Y.; Wang, S. A Novel State-of-Health Prediction and Assessment Strategies for High-Capacity Mining Lithium-Ion Batteries Based on Multi-Indicator. J. Electrochem. Soc. 2024, 171, 050514. [Google Scholar] [CrossRef]
- Xing, L.; Liu, X.; Luo, W.; Wu, L. State of Health Estimation for Lithium-Ion Batteries Using IAO-SVR. World Electr. Veh. J. 2023, 14, 122. [Google Scholar] [CrossRef]
- Beslow, L.; Landore, S.; Park, J.W. Statistical Modeling Procedures for Rapid Battery Pack Characterization. Batteries 2023, 9, 437. [Google Scholar] [CrossRef]
- Zhong, Y.; Yang, X.; Guo, R.; Zhai, L.; Wang, X.; Wu, F.; Wu, C.; Bai, Y. Protecting Lithium Metal Anodes in Solid-State Batteries. Electrochem. Energy Rev. 2024, 7, 30. [Google Scholar] [CrossRef]
- Zhang, C.; Luo, L.; Yang, Z.; Zhao, S.; He, Y.; Wang, X.; Wang, H. Battery SOH Estimation Method Based on Gradual Decreasing Current, Double Correlation Analysis and GRU. Green Energy Intell. Transp. 2023, 2, 100108. [Google Scholar] [CrossRef]
- Luo, L.; Huang, H. Fast Joint SOC-SOH Estimation Method for Energy Storage Batteries Based on Broadband Excitation Detection. J. Energy Storage 2025, 109, 115107. [Google Scholar] [CrossRef]
- Hong, J.; Chen, Y.; Chai, Q.; Lin, Q.; Wang, W. State-of-Health Estimation of Lithium-Ion Batteries Using a Novel Dual-Stage Attention Mechanism Based Recurrent Neural Network. J. Energy Storage 2023, 72, 109297. [Google Scholar] [CrossRef]
- Vennam, G.; Sahoo, A. A Dynamic SOH-Coupled Lithium-Ion Cell Model for State and Parameter Estimation. IEEE Trans. Energy Convers. 2023, 38, 1186–1196. [Google Scholar] [CrossRef]
- Li, X.; Ju, L.; Geng, G.; Jiang, Q. Data-Driven State-of-Health Estimation for Lithium-Ion Battery Based on Aging Features. Energy 2023, 274, 127378. [Google Scholar] [CrossRef]
- Sun, X.; Zhang, Y.; Zhang, Y.; Wang, L.; Wang, K. Summary of Health-State Estimation of Lithium-Ion Batteries Based on Electrochemical Impedance Spectroscopy. Energies 2023, 16, 5682. [Google Scholar] [CrossRef]
- Xu, Z.; Wang, J.; Lund, P.D.; Zhang, Y. Co-Estimating the State of Charge and Health of Lithium Batteries through Combining a Minimalist Electrochemical Model and an Equivalent Circuit Model. Energy 2022, 240, 122815. [Google Scholar] [CrossRef]
- Li, C.; Yang, L.; Li, Q.; Zhang, Q.; Zhou, Z.; Meng, Y.; Zhao, X.; Wang, L.; Zhang, S.; Li, Y.; et al. SOH Estimation Method for Lithium-Ion Batteries Based on an Improved Equivalent Circuit Model via Electrochemical Impedance Spectroscopy. J. Energy Storage 2024, 86, 111167. [Google Scholar] [CrossRef]
- Zhang, L.; Sun, C.; Liu, S. State of Health Prediction of Lithium-Ion Batteries Based on Multi-Kernel Relevance Vector Machine and Error Compensation. World Electr. Veh. J. 2024, 15, 248. [Google Scholar] [CrossRef]
- Zhang, X.; Feng, J.; Cai, F.; Huang, K.; Wang, S. A Novel State of Health Estimation Model for Lithium-Ion Batteries Incorporating Signal Processing and Optimized Machine Learning Methods. Front. Energy 2025, 19, 348–364. [Google Scholar] [CrossRef]
- Hochreiter, S.; Schmidhuber, J. Long Short-Term Memory. Neural Comput. 1997, 9, 1735–1780. [Google Scholar] [CrossRef] [PubMed]
- Hou, Z.; Xu, W.; Jia, G.; Wang, J.; Cai, M. Estimation of SOH of Lithium-Ion Batteries Based on PSO-Bi GRU-Attention Network. J. Electrochem. Soc. 2024, 171, 020550. [Google Scholar] [CrossRef]
- Gou, B.; Xu, Y.; Feng, X. State-of-Health Estimation and Remaining-Useful-Life Prediction for Lithium-Ion Battery Using a Hybrid Data-Driven Method. IEEE Trans. Veh. Technol. 2020, 69, 10854–10867. [Google Scholar] [CrossRef]
- Qu, J.; Liu, F.; Ma, Y.; Fan, J. A Neural-Network-Based Method for RUL Prediction and SOH Monitoring of Lithium-Ion Battery. IEEE Access 2019, 7, 87178–87191. [Google Scholar] [CrossRef]
- Schmitt, J.; Horstkoetter, I.; Baeker, B. Effective Estimation of Battery State-of-Health by Virtual Experiments via Transfer- and Meta-Learning. J. Energy Storage 2023, 63, 106969. [Google Scholar] [CrossRef]
- Zhang, Q.; Wang, D.; Schaltz, E.; Stroe, D.-I.; Gismero, A.; Yang, B. Lithium-Ion Battery Calendar Aging Mechanism Analysis and Impedance-Based State-of-Health Estimation Method. J. Energy Storage 2023, 64, 107029. [Google Scholar] [CrossRef]
- Bharath, Y.K.; Anandu, V.P.; Vinatha, U.; Sudeep, S. Long-Term Estimation of SoH Using Cascaded LSTM-RNN for Lithium Batteries Subjected to Aging and Accelerated Degradation. Energy Storage 2024, 6, e70066. [Google Scholar] [CrossRef]
- Zheng, M.; Luo, X. Joint Estimation of State of Charge (SOC) and State of Health (SOH) for Lithium Ion Batteries Using Support Vector Machine (SVM), Convolutional Neural Network (CNN) and Long Sort Term Memory Network (LSTM) Models. Int. J. Electrochem. Sci. 2024, 19, 100747. [Google Scholar] [CrossRef]
- Bengio, Y.; Simard, P.; Frasconi, P. Learning Long-Term Dependencies with Gradient Descent Is Difficult. IEEE Trans. Neural Netw. 1994, 5, 157–166. [Google Scholar] [CrossRef] [PubMed]
- Van, C.N.; Quang, D.T. Estimation of SoH and Internal Resistances of Lithium Ion Battery Based on LSTM Network. Int. J. Electrochem. Sci. 2023, 18, 100166. [Google Scholar] [CrossRef]
- Lao-atiman, W.; Bumroongsri, P.; Kheawhom, S.; Olaru, S. A Novel State-of-Health Notion and Its Use for Battery Aging Monitoring of Zinc-Air Batteries. Comput. Chem. Eng. 2024, 180, 108465. [Google Scholar] [CrossRef]
- Gao, M.; Bao, Z.; Zhu, C.; Jiang, J.; He, Z.; Dong, Z.; Song, Y. HFCM-LSTM: A Novel Hybrid Framework for State-of-Health Estimation of Lithium-Ion Battery. Energy Rep. 2023, 9, 2577–2590. [Google Scholar] [CrossRef]
- Lin, C.; Wu, L.; Tuo, X.; Liu, C.; Zhang, W.; Huang, Z.; Zhang, G. A Lightweight Two-Stage Physics-Informed Neural Network for SOH Estimation of Lithium-Ion Batteries with Different Chemistries. J. Energy Chem. 2025, 105, 261–279. [Google Scholar] [CrossRef]
- Zhu, R.; Hu, J.; Peng, W. Bayesian Calibrated Physics-Informed Neural Networks for Second-Life Battery SOH Estimation. Reliab. Eng. Syst. Saf. 2025, 264, 111432. [Google Scholar] [CrossRef]
- Zhang, X.; Li, X.; Yang, K.; Wang, Z. Lithium-Ion Battery Modeling and State of Charge Prediction Based on Fractional-Order Calculus. Mathematics 2023, 11, 3401. [Google Scholar] [CrossRef]
- Chakraborty, M.; Maiti, D.; Konar, A.; Janarthanan, R. A Study of the Grunwald-Letnikov Definition for Minimizing the Effects of Random Noise on Fractional Order Differential Equations. In Proceedings of the 2008 4th International Conference on Information and Automation for Sustainability, Colombo, Sri Lanka, 12–14 December 2008; pp. 449–456. [Google Scholar]
- Battery Data | Center for Advanced Life Cycle Engineering. Available online: https://calce.umd.edu/battery-data (accessed on 20 July 2025).
- Zhu, J.; Wang, Y.; Huang, Y.; Bhushan Gopaluni, R.; Cao, Y.; Heere, M.; Mühlbauer, M.J.; Mereacre, L.; Dai, H.; Liu, X.; et al. Data-Driven Capacity Estimation of Commercial Lithium-Ion Batteries from Voltage Relaxation. Nat. Commun. 2022, 13, 2261. [Google Scholar] [CrossRef]
- Wei, Z.; Sun, X.; Li, Y.; Liu, W.; Liu, C.; Lu, H. A Joint Estimation Method for the SOC and SOH of Lithium-Ion Batteries Based on AR-ECM and Data-Driven Model Fusion. Electronics 2025, 14, 1290. [Google Scholar] [CrossRef]
- Li, X.; Yu, H.; Wang, J.; Xia, Y.; Zheng, H.; Song, H. Prediction of State-of-Health of Lithium-Ion Battery Based on CEEMDAN-SG-LSTM Combined Model. Mater. Today Sustain. 2024, 28, 100999. [Google Scholar] [CrossRef]








| Battery | Type | Initial Capacity | End Capacity | Cycles | Temperature | Charge/ Discharge |
|---|---|---|---|---|---|---|
| CS2_35 | LiCoO2 | 1.1 Ah | 0.77 Ah | 815 | 24 °C | 1 C/1 C |
| CS2_36 | LiCoO2 | 1.1 Ah | 0.77 Ah | 889 | 24 °C | 1 C/1 C |
| CS2_37 | LiCoO2 | 1.1 Ah | 0.77 Ah | 950 | 24 °C | 1 C/1 C |
| CS2_38 | LiCoO2 | 1.1 Ah | 0.77 Ah | 971 | 24 °C | 1 C/1 C |
| CY25 | NCA | 3.5 Ah | 2.485 Ah | 208 | 25 °C | 0.5 C/1 C |
| CY35 | NCA | 3.5 Ah | 2.485 Ah | 582 | 35 °C | 0.5 C/1 C |
| CY45 | NCA | 3.5 Ah | 2.485 Ah | 800 | 45 °C | 0.5 C/1 C |
| Experimental Parameter | Value |
|---|---|
| α | 0.8 |
| ∆t | 0.7 |
| Learning rate | 0.001 |
| Num layers | 1 |
| Hidden dim | 64 |
| Feature size | 64 |
| Batch size | 16 |
| Battery | Error Metrics | LSTM | SVR [3] | MKRVM [14] | F-LSTM |
|---|---|---|---|---|---|
| CS2_35 | MAE | 0.0175 | 0.0226 | 0.0202 | 0.0165 |
| RMSE | 0.0273 | 0.0334 | 0.0263 | 0.0269 | |
| CS2_36 | MAE | 0.0369 | 0.0316 | 0.0228 | 0.0100 |
| RMSE | 0.0543 | 0.0437 | 0.0308 | 0.0131 | |
| CS2_37 | MAE | 0.0181 | 0.0211 | 0.0195 | 0.0177 |
| RMSE | 0.0265 | 0.0307 | 0.0246 | 0.0230 | |
| CS2_38 | MAE | 0.0234 | 0.0215 | 0.0209 | 0.0113 |
| RMSE | 0.0325 | 0.0304 | 0.0276 | 0.0164 |
| Battery | Error Metrics | LSTM | F-LSTM |
|---|---|---|---|
| CY25 | MAE | 0.00492 | 0.00295 |
| RMSE | 0.00682 | 0.00403 | |
| CY35 | MAE | 0.00531 | 0.00218 |
| RMSE | 0.00736 | 0.00265 | |
| CY45 | MAE | 0.00483 | 0.00313 |
| RMSE | 0.00562 | 0.00377 |
Disclaimer/Publisher’s Note: The statements, opinions and data contained in all publications are solely those of the individual author(s) and contributor(s) and not of MDPI and/or the editor(s). MDPI and/or the editor(s) disclaim responsibility for any injury to people or property resulting from any ideas, methods, instructions or products referred to in the content. |
© 2025 by the authors. Licensee MDPI, Basel, Switzerland. This article is an open access article distributed under the terms and conditions of the Creative Commons Attribution (CC BY) license (https://creativecommons.org/licenses/by/4.0/).
Share and Cite
Han, J.; Luo, B.; Wang, C. Fractional-Derivative Enhanced LSTM for Accurate SOH Prediction of Lithium-Ion Batteries. Energies 2025, 18, 4697. https://doi.org/10.3390/en18174697
Han J, Luo B, Wang C. Fractional-Derivative Enhanced LSTM for Accurate SOH Prediction of Lithium-Ion Batteries. Energies. 2025; 18(17):4697. https://doi.org/10.3390/en18174697
Chicago/Turabian StyleHan, Jing, Bingbing Luo, and Chunsheng Wang. 2025. "Fractional-Derivative Enhanced LSTM for Accurate SOH Prediction of Lithium-Ion Batteries" Energies 18, no. 17: 4697. https://doi.org/10.3390/en18174697
APA StyleHan, J., Luo, B., & Wang, C. (2025). Fractional-Derivative Enhanced LSTM for Accurate SOH Prediction of Lithium-Ion Batteries. Energies, 18(17), 4697. https://doi.org/10.3390/en18174697

