Next Article in Journal
Dry Anaerobic Digestion of Selectively Collected Biowaste: Technological Advances, Process Optimization and Energy Recovery Perspectives
Previous Article in Journal
Evaluation of Technological Alternatives for the Energy Transition of Coal-Fired Power Plants, with a Multi-Criteria Approach
 
 
Font Type:
Arial Georgia Verdana
Font Size:
Aa Aa Aa
Line Spacing:
Column Width:
Background:
Article

Fast Voltage Stability Margin Computation via a Second-Order Power Flow Supported by a Linear Voltage Stability Index and Sensitivity Analysis

by
Wilmer E. Barreto
1 and
Carlos A. Castro
1,2,*
1
School of Electrical and Computer Engineering, University of Campinas (UNICAMP), Campinas 13083-970, Brazil
2
School of Electrical Engineering, Pontifical Catholic University of Campinas (PUC-Campinas), Campinas 13087-571, Brazil
*
Author to whom correspondence should be addressed.
Energies 2025, 18(17), 4474; https://doi.org/10.3390/en18174474
Submission received: 22 July 2025 / Revised: 16 August 2025 / Accepted: 19 August 2025 / Published: 22 August 2025
(This article belongs to the Section F1: Electrical Power System)

Abstract

One of the crucial types of information needed to guarantee the secure operation of power systems is their voltage stability condition. This is particularly true for power systems operating at peak hours or under abnormal conditions, such as contingencies. The literature shows several methods for voltage stability assessment; however, they are either accurate and computationally burdensome or less accurate and computationally efficient. The main goal of this research work is to propose methods that are both accurate and fast, features that are especially important in strict real-time operating conditions. Two new methods for computing the maximum loadability and the voltage stability margin of power systems are proposed. Both methods use a powerful, second-order, and non-divergent power flow with an optimally computed step size; however, each of them is initialized differently. Very high-quality initializations are obtained by using a linear voltage stability index and sensitivity analysis factors. This combination leads to a fast, robust, and accurate method, suited for strict real-time power system operation. The proposed methods require 90% fewer power flow runs compared with conventional methods, such as the continuation method for small systems, and tend to require even fewer power flow runs for larger systems. Computer simulations of the proposed methods use small benchmarks to large realistic power systems, showing that the requirements for real-time use—namely accuracy, robustness, and computational efficiency—are met.

1. Introduction

Our society is highly dependent on the supply of electric energy. Its use is intense in domestic, commercial, and industrial environments. One of the key points of a high-quality electric power service is related to its continuity. The technical and economic consequences of interruptions in the electric energy service can be disastrous. Severe disturbances that lead to blackouts result in huge financial losses, and their restoration processes take considerable time. As an example, the US/Canada 2003 blackout led to an approximate USD 8.6 billion impact on the economy, and its restoration took up to 48 h [1]. Since blackouts are the consequences of voltage instabilities in power systems, appropriate monitoring and assessment of voltage stability conditions is of vital importance. A secure operation from the voltage stability standpoint can be guaranteed by maintaining an appropriate voltage stability margin (VSM), or loading margin, especially during heavy load periods. Therefore, a power system is secure from the voltage stability standpoint if it can withstand a certain load increase while keeping an appropriate voltage profile.
Even though several aspects of the voltage stability problem have been known for decades, the assessment of the voltage stability condition of power systems during real-time operation is still a challenge, since it demands efficient, robust, and fast methods to compute it.
The power stability problem is classified into several categories, and appropriate models and analysis methods are used in each case [2]. In this paper, since the voltage stability problem will be tackled, steady-state models associated with long-term disturbances will be adopted.
The voltage stability phenomenon has been studied for a long time, and the available literature is vast. In this paper, we opted to cite just a few references, in order (a) to show examples of the different approaches that have been proposed in the last decades; and (b) to support the methods proposed here.
A careful review of the literature suggests that the voltage stability analysis approaches specifically proposed to deal with long-term phenomena can be generally classified as model- or measurement-based [3].
Several model-based analysis models can be found in the literature, such as (1) the continuation methods [4], (2) the optimal power flow methods [5], (3) the direct methods [6], and (4) the power flow methods [7]. Most of these methods include detailed models for the systems, such as equipment bounds and control variables. In general, however, they may be computationally expensive, which is an important disadvantage when it comes to real-time operation analyses.
Most measurement-based methods are based on the so-called voltage stability indices (VSI) [8,9,10,11,12,13]. More recently, the wide use of synchronized phasor measurement has led to the proposal of new voltage stability indices. Most of these indices are based on Thevenin equivalent circuits [3,4,11]. One of the important advantages of VSIs is the computational efficiency of their computations, which is highly convenient for real-time operation analyses. On the other hand, the utilization of VSIs may present some disadvantages. Firstly, even though VSIs can be efficiently used to compare the voltage stability conditions of different power systems, their values cannot be directly related to their VSMs. Several VSIs are defined to range from zero (for example, corresponding to no load conditions) to one (for example, corresponding to the maximum loading point). A particular VSI value of, say, 0.8, is not at all related to a voltage stability margin given in power (MVA, MW, or MVAr) [14]. Secondly, the equations for the calculation of VSIs do not allow the inclusion of power systems’ physical constraints, such as generators’ reactive power bounds. An attempt to include such bounds was made in [11], where an index based on sensitivities was proposed to predict when the generators’ reactive power bounds would have been reached. It is a well-known fact that VSIs may experience abrupt changes when generators reach their respective reactive power limits. According to [11], this change can be as low as 0.01 or as high as 0.5, depending on the importance of the generator for the power system. Finally, relating a certain change in a VSI to a change in the VSM is not an easy task.
It is important to mention that power systems have been experiencing important changes related to the energy transition, especially by replacing fossil-based generation with cleaner renewable generation, particularly wind and solar. The increasing penetration of intermittent non-dispatchable types of generation will influence systems’ loadings and their voltage stability conditions [15,16,17].
The proposed approaches found in the literature for assessing the voltage stability condition of power systems are usually either (a) accurate and computationally burdensome, or (b) less accurate and computationally efficient, which is a conflicting situation. So, the main objective of this research work is to propose a method that fulfills both the requirements related to accuracy and computational burden.
In this paper, a new, accurate, and computationally efficient method for computing the voltage stability margins of power systems is proposed for real-time operation applications. The proposed method incorporates the qualities of both model-based and measurement-based models, leading to an efficient combination of three ideas already present in the literature, as described below.
  • The iterative model-based method presented in [7] will be referred to as M1. It is a robust and efficient method, since (a) it is based on a powerful, second-order, and non-divergent power flow with step size optimization (PFSSO), (b) all system’s bounds and control variables are taken into account, (c) it allows the adjustment of the desired accuracy of the VSM in an original way, and (d) it converges to the maximum loading point (MLP), and therefore to the VSM, after a few power flow runs. M1 depends on an initial guess. On the one hand, this initial guess may be either a feasible or an infeasible operating point, since PFSSO can handle both cases. This characteristic is crucial to guarantee the method’s robustness. On the other hand, the initial guess directly influences the number of iterations for convergence. So, an educated initial guess tends to be a crucial factor for the fast convergence of the method.
  • A measurement-based method was proposed in [18] to evaluate power systems’ voltage stability condition using a linear VSI (LVSI) based on a Thévenin equivalent circuit. This method will be referred to as M2 in this paper. Although the computation of LVSI is very fast, the determination of VSM from LVSI is not accurate. One of the main reasons that leads to this inaccuracy is that M2 cannot model equipment limits and control variables appropriately.
  • It was shown in [19,20,21] that it is possible to compute the sensitivity of a generator’s reactive power concerning the system’s loading. In other words, it is possible to estimate the system load for which the reactive power limit of a certain generation bus will be reached. Whenever such a limit is reached, the control over the nodal voltage is lost, and this bus then behaves as a load bus. Since this discontinuity in the system’s operation cannot be captured by the LVSI used in M2, in this paper, method M3 is proposed to consider this estimate for the computation of the initial operating point used by M1 to obtain the MLP. It will be shown that a procedure based on joining the information provided by M2 and M3 will result in a very good quality initial point for M1.
    In this paper, two methods are proposed, namely:
    • Proposed method 1 (PM1)—use M2 to compute a good initial guess for M1.
    • Proposed method 2 (PM2)—use M2 and M3 to compute a good initial guess for M1.
Table 1 summarizes and clarifies the above discussion.
Both PM1 and PM2 will be described in detail, and the computer simulations will show that they are robust and computationally very fast for determining the MLP and the VSM of power systems, making them appropriate tools to be used in real-time power system operation.
M1, M2, and M3, as well as PM1 and PM2, will be described in the following sections. Then, results from computer simulations will be shown and discussed to support the claims made above.

2. Theoretical Framework

The theoretical background necessary for the appropriate understanding of the proposed method will be presented and discussed in this section.

2.1. Second-Order Power Flow with Step Size Optimization (PFSSO) [22,23]

Power systems operating in steady-state conditions can be represented by the following set of algebraic nonlinear equations.
g x , ρ = 0 .
Array x corresponds to the system’s state variables, namely voltage magnitudes ( V ) and phase angles ( θ ). Scalar ρ is the loading factor. In this paper, ρ multiplies all bus power injections, so power factors are kept constant.
Equation (1) can be rewritten as
g x , ρ = Δ P x , ρ Δ Q x , ρ = P s c h ρ P c a l x Q s c h ρ Q c a l x = 0 0 .
Arrays Δ P and Δ Q correspond to the mismatches of real and reactive powers, respectively. P c a l and P s c h are the arrays of calculated and scheduled nodal real powers, respectively. P c a l depends on the state variables, whereas P s c h = ρ P b c is a function of the loading factor. P b c is the array of base case real power injections. Of course, similar definitions hold for the reactive power quantities.
The power flow iterative process considers the reactive power generation limits of PV buses. Whenever the reactive power limit is violated at some bus, its type is switched from PV (generation bus) to PQ (load bus). These new PQ buses can be switched back to PV in further iterations, depending on the voltage magnitude variation and the respective violated limit (upper or lower). This feature is not explicitly shown in (1) and (2), but its computational implementation is straightforward.
The representation of additional characteristics of loads and generators other than reactive power limits, such as rates of change, can be implemented by modifying (1) and (2) [4]. This flexibility can be particularly useful when the network contains non-dispatchable generation sources such as wind and solar.
The conventional iteration-based power flow methods may not converge or may diverge for the so-called ill-conditioned power systems [7,22,23]. These numerical difficulties may occur even if the system operates normally in a stable equilibrium point.
PFSSO is an efficient, non-divergent, and robust power flow method [24]. Originally, the bus voltages were represented in rectangular coordinates. An alternative version of this method was proposed in [22,23], where voltages were represented in polar coordinates. An improved power flow method with voltages in polar coordinates, which resulted in a more robust method than the previous ones, was proposed in [25].
The conventional Newton’s method applied to power systems consists of obtaining the state variables x starting from an initial guess x 0 through steps Δ x . The main idea of PFSSO is to adjust the step size to avoid numerical problems, basically related to the ill-conditioning of the nonlinear algebraic set of power flow equations. This adjustment is included in Newton’s method by multiplier μ , which considers first- and second-order information from the Taylor series expansion of (1), as will be described ahead.
At iteration r , the state variable array x r + 1 is obtained by
x ( r + 1 ) = x ( r ) + μ ( r ) Δ x r ,
where
Δ x ( r ) = x g 1 x = x ( r ) g x r , ρ .
x g corresponds to the Jacobian matrix of (1), and μ(r) is the optimal multiplier that adjusts Newton’s step size. μ(r) is computed by minimizing the quadratic function F ( μ ) based on the nodal power mismatches, as
F ( μ ) = 1 2 g t s 2 2 = 1 2 i Ω g g t s , i 2 .
Ωg is the set of power flow equations g that contains the real and reactive power equations of load buses (PQ) and the real power equations of generation (PV) buses. g t s is an array that contains the expansion of g in the Taylor series by retaining only the first- and second-order terms [23]:
g t s ( μ ) = g ( x r , ρ ) + μ x g ( x r ) t Δ x r + μ 2 T x r ,
where T(x) is an array that contains the second-order terms of g , given by
T ( x ) = 1 2 i Ω g Δ x i x i 2 g ( x ) .
By replacing (5) in (4), one obtains a fourth-degree polynomial. Its local minimum is found by imposing F / μ = 0 , which leads to a cubic equation whose unknown is μ [23]. The optimal multiplier is one of the roots of the cubic equation, and it is used in (3) to control Newton’s step size.
The main features of the optimal multiplier μ are three-fold [7,22,23]. (a) The computed optimal multipliers for well-conditioned systems are close to one. In these situations, PFSSO behaves similarly to the conventional Newton’s method. (b) If the power system is ill-conditioned, μ assumes values at each iteration to overcome numerical problems that could result in divergence or non-convergence. Eventually, PFSSO converges to the correct stable solution [22,23]. (c) Infeasible systems do not have a state variable array x that meets the power flow Equation (1). In this case, μ tends to zero during the iterative process, eventually reaching zero (or, in practice, a value smaller than a predefined threshold). Infeasibility may result from situations like contingencies or unexpected excessive loadings. When the optimal multiplier approaches zero, PFSSO converges to an operating point on the feasibility boundary in the load parameter space (as demonstrated in [26] and illustrated in Figure 1), while the conventional power flow would have failed. At this boundary point, the Jacobian matrix is singular. This property is very useful, since information regarding this point can be used in several power system studies, including voltage stability analysis. This feature will be explored ahead.

2.2. Computing the MLP Using PFSSO [7]

The basic principles for the computation of the MLP were proposed in [7], based on the exceptional features of the PFSSO [22,23].
Figure 1a shows a simple representation of a two-dimensional load parameter space. Consider that the base case corresponds to ( ρ = 1 ). Loading factor ρ multiplies all elements of the scheduled power array as shown in (2), so that power factors remain constant. As ρ increases, the operating point is driven along the load direction s s c h . The objective is to obtain the MLP, which corresponds to the loading factor ρ c r . While the load increases, that is, ρ is smaller than ρ c r , PFSSO converges to a feasible stable operating point. However, if an infeasible point is reached, that is, ρ > ρ c r , PFSSO converges to a point on the feasibility boundary Σ (point P), as shown in [26], and μ tends to zero. Note that point P is the MLP along the load increase direction s 1 . Depending on the value of ρ , different MLPs on Σ are obtained by PFSSO. Also, array w is the left eigenvector related to the zero eigenvalue of the Jacobian matrix at P , and it is normal to the feasibility boundary Σ [26].
Array Δ S in Figure 1a contains the power mismatches provided by PFSSO, and it corresponds to the distance between operating point P and scheduled point S s c h in the parameter space.
According to [7], the load correction Δ ρ is calculated from Δ S and w . Scalar ( ρ Δ ρ ) approximates the new estimate of the desired maximum loading point along s s c h . The VSM is the distance between the MLP and the base case in parameter space.
A detailed procedure for computing the MLP is proposed and discussed in [7]. For the sake of completeness, the main features of such a procedure will be highlighted here. Figure 1b illustrates a two-dimensional load parameter space, like Figure 1a. If an initial loading factor ρ 0 is set up in the infeasible region, PFSSO converges to the operating point P 0 on the boundary Σ . The new loading factor estimate ρ 1 is given by:
ρ 1 = ρ 0 Δ ρ = ρ 0 Δ S , w S s c h b c , w   .
The loading factor correction Δ ρ computed from (7) considers the power mismatches Δ S provided by PFSSO and the left eigenvector w associated with the zero eigenvalue of the Jacobian matrix. The new loading factor estimate ρ 1 corresponds to an infeasible operating point, and running PFSSO leads to boundary point P 1 . The steps just described suggest an iterative procedure. Therefore, new loading factors are computed successively until the MLP along the desired load increase direction s s c h is achieved.
Note that the procedure described earlier starts with an infeasible loading factor ρ 0 . The steps described earlier, starting from an infeasible point, are only possible due to the special features of the non-divergent method PFSSO. Of course, running the conventional power flow methods would result in divergence, and no relevant information could have been retrieved to compute the MLP. Nonetheless, even though the procedure described above considered an infeasible loading factor ρ 0 as the initial point, the proposed methods can perform well in the case of feasible initial operating points. Note also that intermediate points P 0 , P 1 , and further operating points computed in the iterative process are located on the feasibility boundary Σ . Therefore, it is reasonable to expect that some generators’ reactive power limits would have been reached at these points. Of course, PFSSO can handle this situation appropriately, and this is one of the advantages of the proposed methods.
Depending on the analysis being carried out, each utility can define an acceptable error in the value of the MLP (the difference between the computed MLP and the actual exact MLP). For example, an error of 5% could be acceptable and would not interfere with the necessary control actions to be taken.
According to [7], it is possible to include information about this acceptable error in the proposed methods. Suppose that an acceptable error of 5% is defined by a certain utility. Therefore, loading factors in the range [ 0.95 ρ c r   ,   1.05 ρ c r ] are acceptable for practical purposes. A PV curve, along with a graphical interpretation of the acceptable range, is shown in Figure 2.
Consider that ± ε % is an acceptable error range in the MLP. Consider also that scalar α is associated with the range of acceptable solutions, given by:
α = 1 + ε / 100 1 ε / 100 .
Method M1 proposed in [7] is described below.
(1)
Set iteration counter i = 0 . Set initial loading ρ ( i ) . It is usual, though not mandatory, to set ρ 0 large enough to establish an infeasible operating point.
(2)
Run PFSSO for ρ ( i ) . If the operating point is infeasible ( μ 0 ), continue; else, go to step (5).
(3)
Obtain ρ t e m p = ρ ( i ) Δ ρ , where Δ ρ is computed by (7).
(4)
Run PFSSO for ρ t e m p . If the operating point is feasible, continue; else, go to step (6).
(5)
Run PFSSO for ρ ( i + 1 ) = ρ t e m p α . If the operating point is infeasible, the final solution is given by ρ c r = ρ i + 1 + ρ t e m p / 2 ; else, set ρ i + 1 = ρ ( i ) + ρ i + 1 / 2 (average of the most recent feasible and infeasible points). Increment the iteration counter i and go to step (2).
(6)
Run PFSSO for ρ ( i + 1 ) = ρ t e m p / α . If the operating point is feasible, the final solution is ρ c r = ρ i + 1 + ρ t e m p / 2 ; else, increment counter i and go to step (3).
The simulation results shown in [7] certify that M1 is robust, efficient, and accurate.
Finally, M1 has some important features that are worth mentioning.
  • M1 is based on running PFSSO. Therefore, the inclusion of all controls and limits occurs naturally in the power flow formulation.
  • The simulation results shown in [7] demonstrate that a more efficient iterative process occurs when the initial point is infeasible ( ρ 0 > ρ c r ). In this case, the number of iterations and PFSSO runs are smaller. However, any initial loading factor ρ 0 can be used, and M1 can still provide accurate results.
  • The efficiency of the iterative process depends on the distance between the initial loading factor ρ 0 and the maximum loading factor ρ c r .

2.3. Linear Voltage Stability Index [18]

Reference [18] proposed a linear voltage stability index (VSI). The linearity of this VSI is very attractive, since it can be used directly to estimate the maximum loading point, and hence the voltage stability margin. Following the concept of other VSIs proposed in the literature, this linear index is derived from the Thévenin equivalent circuit, under the assumption of a multi-port network equivalent model [18,27], and it is computed for each bus of the network. The derivation of this index is shown in detail in [18]; nonetheless, a brief description of its main features follows for the sake of clarity.
The multi-port network equivalent model of a power system can be given by:
I G 0 I L = Y b u s V G V Z V L = Y G G Y G Z Y G L Y Z G Y Z Z Y Z L Y L G Y L Z Y L L V G V Z V L .
Y b u s is the system’s admittance matrix; I and V are the current injections and bus voltages, respectively. Subscripts G , L , and Z correspond to generation, load, and zero-injection buses. According to (9), the load voltages are given by:
V L = K V G Z L I L ,
where
Z L = Y L L Y L Z Y Z Z 1 Y Z L 1 ,   and
K = Z L Y L G Y L Z Y Z Z 1 Y Z G .
Considering that the matrix Y b u s remains constant as the load increases, the voltage at bus i is given by:
V ^ L i = E ^ T i Z ^ T i I ^ L i .
where
E ^ T i = j = 1 n G K i j V ^ G j ,   and
Z ^ T i = j = 1 n L Z L i j ( S ^ L j * / S ^ L i * ) V ^ L i * V ^ L j * .
n L and n G are, respectively, the numbers of load and generation buses. E ^ T i and Z ^ T i are, respectively, the equivalent voltage and impedance related to bus i after applying Thevenin’s theorem. Assuming that E T i and Z ^ T i remain approximately constant as the load increases, the linear index associated with bus i is defined in [18] as:
V S I i = 1 V ^ L i E ^ T i V ^ L i V ^ c r i 2 ,
where
V c r i = E T i 2 cos δ c r i ,
δ c r i = 45 θ i + ϕ i 2 ,
θ i = tan 1 ( Q i / P i ) ,   and
ϕ i = tan 1 ( R e ( Z ^ T i ) / I m ( Z ^ T i ) ) .
According to [18], the voltage stability index for the entire system is defined as:
V S I = min ( V S I 1 , V S I 2 , , V S I n L )
and the respective maximum real power is:
P m a x = P b a s e   c a s e 1 V S I .
The MLP is computed by:
ρ l i = P m a x P b a s e   c a s e = 1 1 V S I   .
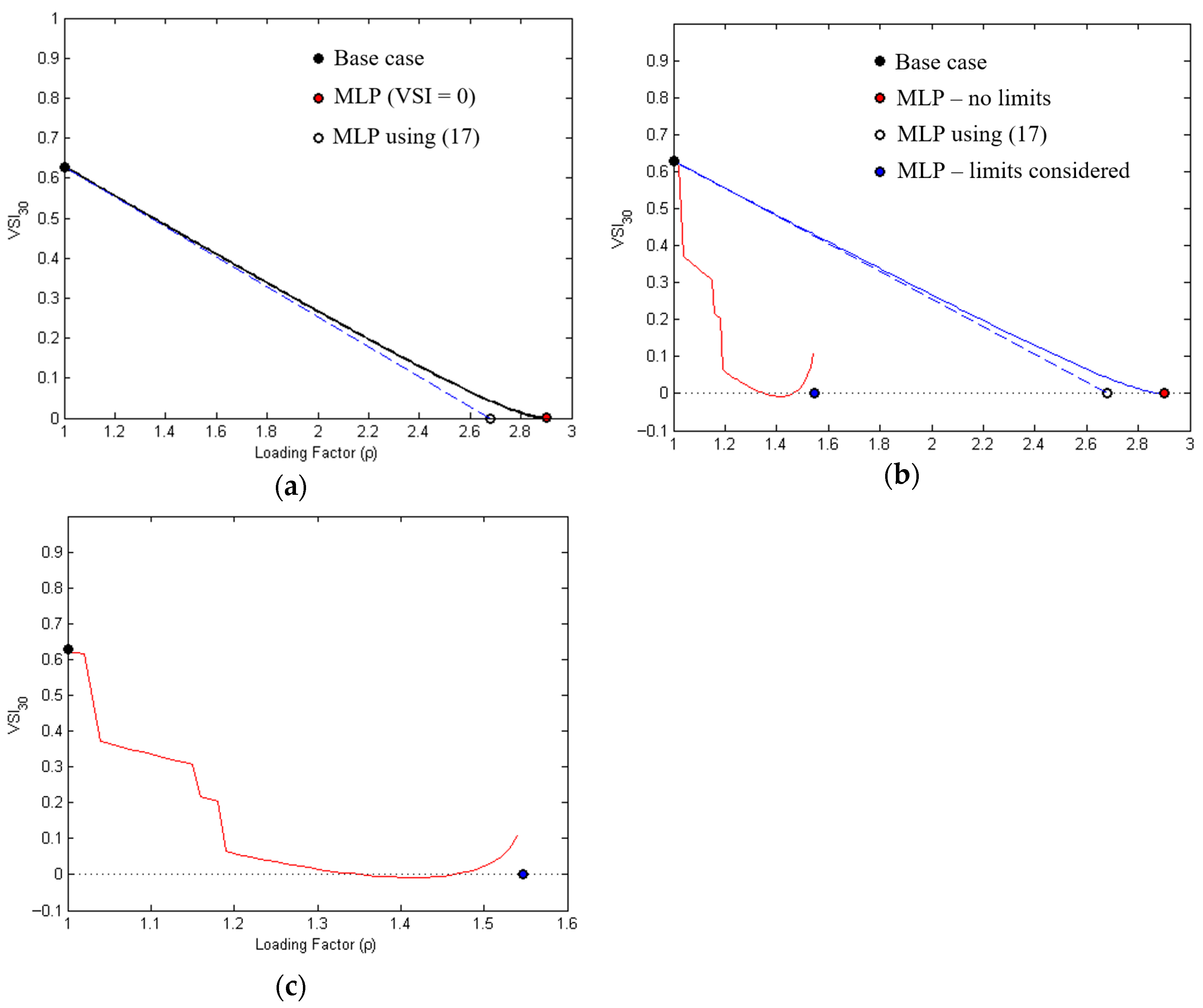
As an example, Figure 3a illustrates the evolution of the linear voltage stability index for bus 30 of the IEEE 30-bus system [28]. In this case, generators’ reactive power limits were not considered. After increasing ρ from the base case ( ρ = 1 ) up to a point for which the conventional power flow did not converge, and calculating the VSI from (14) and (15), the MLP was estimated as ρ c r = 2.9 . Figure 3a also shows that the actual behavior of the index is not linear. From (17), the computed MLP is ρ c r = 2.6861 . Therefore, there is an error of 7.4% with respect to the actual MLP.
Note that the MLP computed by (17) does not consider the generators’ reactive power limits. On the other hand, the authors in [18] stressed the importance of including the reactive limits of generators, since generator limitations significantly affect the MLP. Thus, neglecting such limits leads to considerable errors, which is not reasonable for practical purposes. Figure 3b illustrates the evolution of VSI30 when the generators’ reactive power limits are considered. The MLP in this case is ρ c r = 1.5468 , which is significantly smaller than the one computed without reactive power limits. Figure 3b shows that the index is piecewise linear. Discontinuities occur whenever some generator reaches its respective reactive power limit. Moreover, the VSI becomes nonlinear in the vicinity of the maximum loading point. Figure 3c illustrates a detailed view of the evolution of VSI30 considering generators’ reactive power limits. In [18], the VSI is derived based on a linear model, so the actual nonlinear behavior due to the reactive power limits is not accounted for.
In this research work, a method referred to as M2 is proposed for obtaining the MLP based on VSI. The steps of M2 are as follows:
(1) 
Set loading factor ρ = 1 (system’s base case).
(2) 
Compute the maximum loading factor ρ l i using (17).
Some considerations regarding M2 are as follows: (a) the calculation of ρ l i is very fast, since (17) is based on a system of linear equations (9); (b) the derivation described in [18] (and briefly shown here for the sake of clarity) does not consider equipment controls and limits.
The idea is to use loading ρ l i as an initial point for the proposed method PM1.

2.4. Sensitivity of Generators’ Reactive Powers with Respect to System’s Loading [19,20,21]

Consider the set of nonlinear algebraic power flow equations given by (1). They can be rewritten as:
ρ P k s c h P k c a l ( x ) = 0 ρ Q k s c h Q k c a l ( x ) = 0 ,         k = 1 , , n .
A loading change Δ ρ leads to a change in the system’s operating point Δ x , as follows:
x g Δ x + ρ g Δ ρ = 0 Δ x = x g 1 ρ g Δ ρ = g x 1 g ρ Δ ρ = S ρ Δ ρ ,
where Δ x is an 2 n × 1 array, g x is the ( 2 n × 2 n ) Jacobian matrix, Δ ρ is a scalar, and S ρ = ( g x 1 g ρ ) is an 2 n × 1 array of the sensitivities of the state variables with respect to the loading ρ . g ρ is an 2 n × 1 array given by:
g ρ = ρ g =   P 1 s c h     P 2 s c h       P n s c h     Q 1 s c h     Q 2 s c h       Q n s c h     T .
A functional dependent variable w , such as the reactive power at a generation bus, is also dependent on the state variables x and the loading ρ , and can be represented by:
w = h x , ρ .
Changes in w due to changes in ρ can be estimated by their sensitivities as:
S w ρ = h x · g x 1 · g ρ = h x · S ρ ,
where S w ρ is an ( n × 1 ) array corresponding to the sensitivities of the reactive powers with respect to ρ , and h x is an ( n × 2 n ) array of derivatives of w with respect to state variables x [21]. The matrix S w ρ can be obtained by:
S w ρ = Q x c a l · g x 1 · g ρ ,
where Q x c a l is formed by elements of the Jacobian matrix. The net reactive power injected at the generation bus k is given by:
Q k = Q k g Q k d = V k m Κ V m ( G k m s e n θ k m B k m c o s θ k m ) ,
where Q k g and Q k d correspond to the generated and consumed (load) reactive powers, respectively. From (24),
Q k g = Q k d + Q k c a l ( x ) .
Consider now an array Q g containing all reactive powers generated at each bus, defined as:
Q g = Q 1 g   Q 2 g Q n g T .
where the array Q g is of dimension ( n × 1 ). It has been observed that a loading change Δ ρ leads to a state variable change Δ x . In turn, Δ x leads to a change in the reactive power injections. Therefore:
Δ Q = x Q · Δ x = x Q c a l · Δ x ,
since Q g is constant and does not depend on x . Therefore, considering also (19), we obtain:
Δ Q = x Q c a l · S ρ · ρ = Q x c a l · S ρ · ρ = S w ρ · ρ .
Matrix Q x c a l is given by:
Q x c a l = x Q c a l = θ Q c a l V Q c a l ,
where Q x c a l is an ( n × 2 n ) matrix formed by elements of the Jacobian matrix.
The sensitivity factors allow the search for the smallest loading change such that a generation bus reaches its reactive power generation limit [20]. This loading change is given approximately by [19]:
ρ = min Q j l i m Q j g S w ρ ( j ) ,       j = 1 n g ,
where Q j l i m = Q j m a x if S w ρ > 0 , or Q j l i m = Q j m i n if S w ρ < 0 . The individual loading changes relating to all generators are computed by:
ρ j = Q j l i m Q j g S w ρ ( j ) ,       j = 1 n g .
Then, the average loading ρ a v is computed by:
ρ a v = 1 n k k = 1 n k ρ k ,     ρ k < ρ l i ,
where n k is the number of generators whose loadings Δ ρ k are less than the loading defined by the linear VSI ρ l i . Now, the average loading ρ a v obtained from the sensitivity analysis and the loading ρ l i obtained by the linear VSI can be combined to define the initial loading for the proposed method PM2, as will be shown in the next section.

3. Proposed Methods

In this paper, the two proposed methods are referred to as PM1 and PM2. They are intended to take advantage of the strengths of M1, M2, and M3, while also overcoming their occasional limitations. Furthermore, M1 has been enhanced compared with [7], enabling it to handle feasible operating points more efficiently throughout the iterative process.
The proposed method PM1 is described in Algorithm 1.
Algorithm 1. PM1.
M2 (Section 2.3)
(1)
Define   the   base   case   operating   point   by   setting   the   loading   factor   ρ = 1 .
(2)
Compute   the   critical   loading   factor   ρ l i using (17). This point corresponds to an approximate MLP.
M1 (improved) (Section 2.2)
(3)
Set   the   iteration   counter   i = 0 .   Set   ρ ( i ) = ρ l i .
(4)
Run   PFSSO   for   ρ ( i ) .   If   the   operating   point   is   infeasible   ( μ   tends   to   zero ) ,   go   to   step   ( 6 ) .   Otherwise ,   set   ρ t e m p = ρ ( i ) and continue.
(5)
Run   PFSSO   for   ρ ( i + 1 ) = ρ t e m p α .   If   the   converged   point   is   infeasible ,   set   ρ c r = ρ i + 1 + ρ t e m p / 2   as   the   solution   and   stop .   Otherwise ,   set   ρ t e m p = ρ i + 1 ,   increment   i , and repeat step (5).
(6)
Set   ρ t e m p = ρ ( i ) Δ ρ , where   Δ ρ   is   computed   by   ( 7 ) .   If   ρ t e m p < 1 , set  ρ t e m p = α and go to step (8). Otherwise, continue.
(7)
Run   PFSSO   for   ρ t e m p . If the converged point is infeasible, go to step (9). Otherwise, continue.
(8)
Run   PFSSO   for   ρ i + 1 = ρ t e m p α .   If   the   converged   point   is   infeasible ,   set   ρ c r = ρ i + 1 + ρ t e m p / 2   as   the   solution   and   stop .   Otherwise ,   set   ρ i + 1 = ρ ( i ) + ρ i + 1 / 2   ( average   of   the   most   recent   feasible   and   infeasible   points ) ,   increment   i and go to step (4).
(9)
Run   PFSSO   for   ρ i + 1 = ρ t e m p / α .   If   the   converged   point   is   infeasible ,   increment   i   and   go   to   step   ( 6 ) .   Otherwise ,   set   ρ c r = ρ i + 1 + ρ t e m p / 2 as the solution and stop.
Steps (1) and (2) correspond to method M2 as described in Section 2.3. The linear voltage stability index computed by (17) in step (2) provides an initial estimate of the maximum loading point, which serves as the starting point for M1. Steps (3) to (9) correspond to M1, as described in Section 2.2. Note that the first run of PFSSO in step (4) uses the loading estimated by the linear voltage stability index computed by (17). The iterative process yields the actual maximum loading point. The slight yet crucial modification introduced in step (3) furnishes an educated initial guess, which is infeasible for most systems, as will be demonstrated ahead. However, since this initial point is obtained via M2, the value ρ l i from step (2) is expected to be close to the actual maximum loading point.
It is important to note that, in general, the Thevenin equivalent model inherently simplifies the network. Nevertheless, the proposed methods demonstrate sufficient robustness to refine the initial estimate and accurately determine the desired MLP, in accordance with the predefined acceptable error ε.
Figure 4 illustrates the steps of PM1, where each point represents the algorithm presented above.
For some systems, the loading factor ρ l i calculated in step (2) may be feasible. Regardless, M1 can effectively handle such cases, as demonstrated in steps (3)–(9). Furthermore, note that the computational effort required by PM1 (steps (1)–(9)) is directly related to the number of power flow runs needed for convergence.
The proposed method PM2 is described in Algorithm 2.
Algorithm 2. PM2.
M2 (Section 2.3)
(1)
Let   the   base   case   operating   point   be   defined   by   the   loading   factor   ρ = 1 .
(2)
Compute   the   critical   loading   factor   ρ l i , corresponding to the MLP, using (17).
M3 (Section 2.4)
(3)
Compute   the   sensitivities   of   the   loading   margin   with   respect   to   all   active   generators .   A   generator   k   is   active   if   Q k m i n < Q G k < Q k m a x .
(4)
Obtain   the   set   of   sensitivities   ρ k   such   that   ρ k < ρ l i .
(5)
Compute   the   average   loading   ρ a v as in (32).
M1 (improved) (Section 2.2)
(6)
Set   iteration   counter   i = 0 .   Set   ρ ( i ) = ( ρ l i + ρ a v ) / 2 .
(7)
Run   PFSSO   for   ρ ( i ) .   If   the   operating   point   is   infeasible   ( μ   tends   to   zero ) ,   go   to   step   ( 9 ) .   Otherwise ,   set   ρ t e m p = ρ ( i ) and continue.
(8)
Run   PFSSO   for   ρ ( i + 1 ) = ρ t e m p α .   If   the   converged   point   is   infeasible ,   set   ρ c r = ρ i + 1 + ρ t e m p / 2   as   the   solution   and   stop .   Otherwise ,   set   ρ t e m p = ρ i + 1 ,   increment   i , and repeat step (8).
(9)
Set   ρ t e m p = ρ ( i ) Δ ρ , where   Δ ρ   is   computed   by   ( 7 ) .   If   ρ t e m p < 1 , set  ρ t e m p = α and go to step (11). Otherwise, continue.
(10)
Run   PFSSO   for   ρ t e m p . If the converged point is infeasible, go to step (12). Otherwise, continue.
(11)
Run   PFSSO   for   ρ i + 1 = ρ t e m p α .   If   the   converged   point   is   infeasible ,   ρ c r = ρ i + 1 + ρ t e m p / 2   is   the   solution   and   stop .   Otherwise ,   set   ρ i + 1 = ρ ( i ) + ρ i + 1 / 2   ( average   of   the   most   recent   feasible   and   infeasible   points ) ,   increment   i , and go to (7).
(12)
Run   PFSSO   for   ρ i + 1 = ρ t e m p / α .   If   the   converged   point   is   infeasible ,   increment   i   and   go   to   step   ( 9 ) .   Otherwise ,   ρ c r = ρ i + 1 + ρ t e m p / 2 is the solution. Stop.
In PM2, the initial estimate computed using the linear VSI (step (2)) is used as a cap value for the estimates obtained through sensitivity analysis (step (4)). The average of these estimates results in the first operating point (step (5)), which will be used by PFSSO in step (7). PM2 was developed to be even more robust than PM1, since a better initial loading factor is computed for M1. Consequently, fewer power flow computations will be necessary to achieve the actual maximum loading point.
Although the proposed methods in this manuscript are based on (2)—that is, the power system operating state is changed by assuming a constant power factor—they can be adapted to different formulations, such as the one used in [4], where different patterns of load and generation increases are possible.

4. Simulation Results

In this section, the computer simulation results are presented, ranging from small benchmarks to large realistic power systems. The small systems used are the standard IEEE 14-, 30-, 57-, 118-, and 300-bus systems whose data were obtained from [28]. The data for the large systems were also provided by [28], and they “represent the size and complexity of part of the European high-voltage transmission network.” [28]. The power flow runs for computing the linear index ρ l i and the sensitivity-based index ρ a v were carried out with version 6.0 of Matpower [28], applying a threshold of 0.01 MW/MVAr for power mismatches. For PFSSO, a threshold of 0.001 was adopted for computing the optimal multiplier μ , while 0.1 was considered the threshold for the minimum nonzero step size. In other words, optimal multipliers less than 0.1 were treated as zero.

4.1. Proposed Method PM1

4.1.1. IEEE Test Systems

The standard IEEE 14-, 30-, 57-, 118-, and 300-bus systems are used in the computer simulations. Method M1 requires defining the parameter ε , which determines the acceptable error in calculating the VSM. Table 2 and Table 3 present the simulation results considering acceptable errors of ε = 1 % and ε = 5 % , respectively.
In Table 2 and Table 3, ρ c r a c t u a l represents the actual maximum loading factor obtained through successive runs of the conventional power flow with incrementally increasing loading, until divergence occurs. The reactive power limits of generators are taken into account. ρ c r a c t u a l serves as a reference value for further comparisons. ρ 0 is the maximum loading factor computed by M2—steps (1)(2) of PM1—and is used as the initial value for M1—steps (3)(9) of PM. ρ c r c o m p denotes the maximum loading computed by PM1. #Iterations refers to the number of iterations required for PM1 to converge within the acceptable error ε , and #PFSSO indicates the number of power flow runs using second-order step size optimization. In the case of the IEEE 57-bus system, note that ρ 0 < ρ c r a c t u a l —meaning the initial guess for M1 is a feasible operating point. As previously mentioned, this has no impact on the convergence of PM1, underscoring its robustness.
To clarify the process of calculating the initial loading factor estimate ρ 0 (which is equal to ρ l i ), consider the IEEE 14-bus system. The voltage stability indices (VSIs) computed using (15), as well as the initial loading estimate ρ l i computed using (17) for the load buses, are presented in Table 4.
According to Table 4, the smallest VSI—and consequently, the smallest loading factor—corresponds to bus 14. The corresponding ρ l i is assumed as ρ 0 in Table 2 and Table 3. The evolution of the loading factor ρ and the number of power flow runs for the IEEE 14-bus system are depicted in Figure 5. The dashed lines represent the range of acceptable solutions, in this case considering ε = 5 % . PM1 converges after a few power flow executions.

4.1.2. Large Systems

The results provided by PM1 for larger realistic systems [28] are presented in Table 5. The number of iterations and power flow runs required for PM1 to converge are small, consistent with those obtained for the IEEE systems.
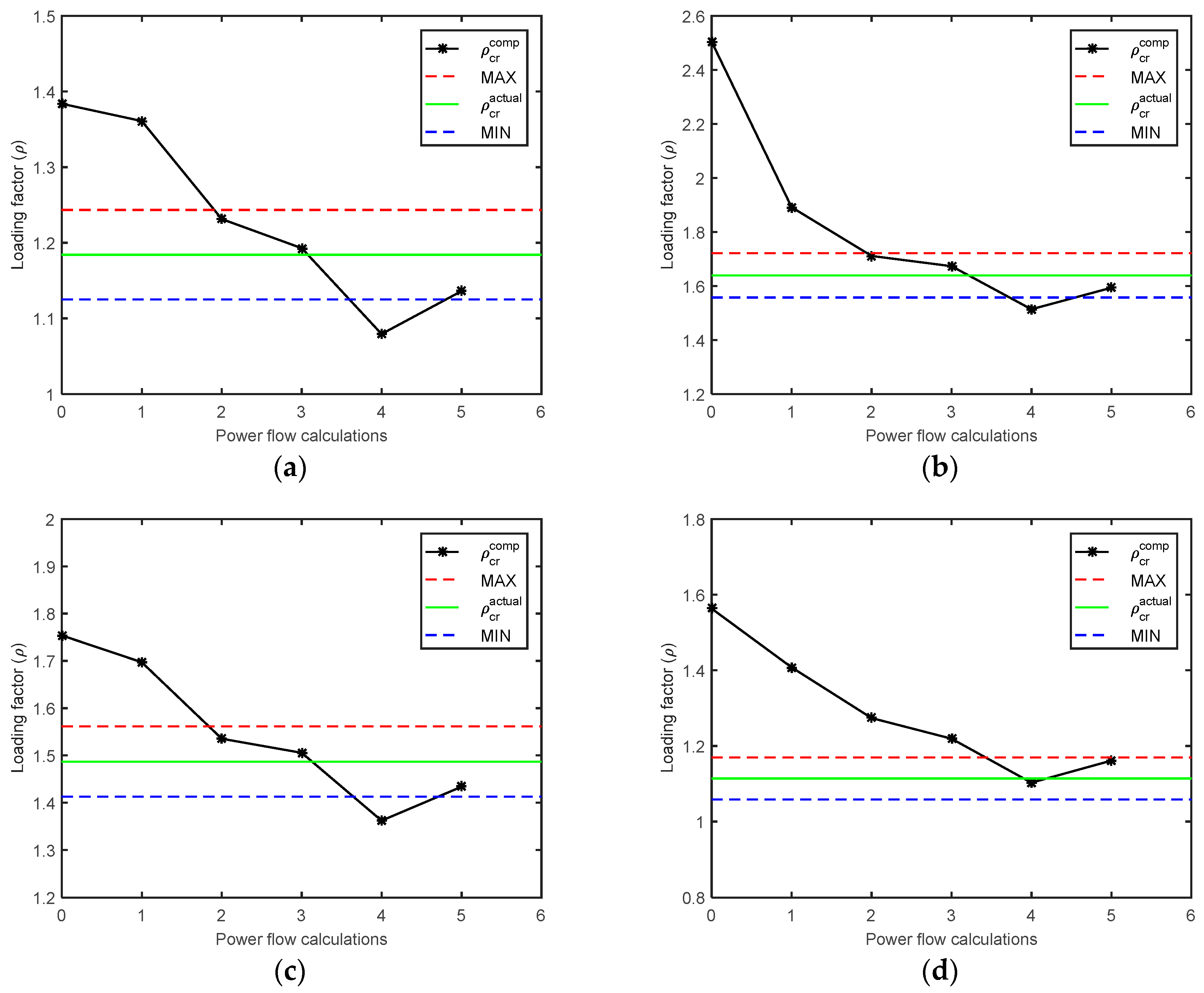
In Table 5, the maximum loading computed from M2 ( ρ 0 = ρ l i ) falls outside the acceptable error range ( ε ). The main reasons for this are as follows: (a) the linear nature of the voltage stability index, and (b) the omission of the generator reactive power limits (see Figure 4). The evolution of the loading factor as a function of the number of power flow runs for the systems in Table 5 is illustrated in Figure 6, considering an acceptable error ε = 5 % at the final maximum loading point.
Using the linear voltage stability index from [18] to estimate the maximum loading point (M1) is computationally very efficient. However, system limits and control mechanisms cannot be accounted for, which leads to significant inaccuracies. Employing the maximum loading factor derived from the linear index as an initial estimate for the iterative method PM1 results in a highly efficient iterative process. The number of iterations required for convergence, as well as the number of power flow runs, decreases significantly. PM1’s performance benefits from this strategy. The maximum loading point calculated by M1 for different initial values of ρ 0 is displayed in Table 6. Figure 7 illustrates the behavior of the maximum loading factor as a function of the number of power flow runs for an initial loading of ρ 0 = 6 .
Table 6 shows that method M1 can compute both the maximum loading and the voltage stability margin within the predefined acceptable error range ( ε ), regardless of the initial guess. This behavior was also demonstrated in [7]. The number of iterations required for convergence is related to the initial guess—a value closer to the actual VSM results in fewer iterations.
Nonetheless, Table 6 also shows that method M1 performs much more efficiently when an informed initial guess is used (provided by M2), resulting in a significantly smaller number of required power flow runs. Therefore, integrating M1 with M2—resulting in PM1—leads to substantial benefits, constituting one of the main contributions of this paper.
The proposed method PM1 is both robust and efficient, making it suitable for real-time operation of power systems. For all tested systems, the number of power flow runs required is very small.

4.2. Proposed Method PM2

4.2.1. IEEE Test Systems

Table 7 and Table 8 present the results obtained for the standard IEEE 14-, 30-, 57-, 118-, and 300-bus systems, considering acceptable errors in the calculation of the VSM, equal to ε = 1 % and ε = 5 % , respectively.
Table 7 and Table 8 demonstrate the overall efficiency and robustness of PM2. In certain cases, such as the IEEE 118-bus system, the number of power flow runs is slightly higher than in the other cases. This may be attributed to the distinct physical characteristics of the systems, which could introduce numerical challenges for the proposed method to converge.
To clarify the process of calculating the initial loading factor estimate ρ 0 (which corresponds to the average between ρ l i and ρ a v ), consider the IEEE 57-bus system. This system contains seven generation buses, including the slack bus. Table 9 presents the sensitivity calculations results for the generation buses, in ascending order. Generators G 2 and G 8 are excluded since their sensitivities exceed ρ l i , which is equal to 1.482 (see Table 7 and Table 8). Consequently, ρ a v is computed as the average of the remaining sensitivities, resulting in 1.04, as shown in Table 7 and Table 8.
Figure 8 presents a comparison of the behavior of the loading factor as a function of the number of power flow runs for PM1 and PM2, using the IEEE 14-bus test system as an example, with ε = 5 % . PM2 provides a faster solution, requiring only one iteration and three power flow runs.

4.2.2. Large Systems

Table 10 presents the performance of PM2 for larger realistic systems [28]. It is worth noting that ρ 0 is now closer to the actual maximum loading, highlighting the advantage of incorporating generator sensitivities. Specifically, for the 2746 wp system, ρ 0 lies within the feasible region, that is, ρ 0 < ρ c r a c t u a l . This further underscores the robustness of the proposed method PM2.
Figure 9 illustrates the evolution of the iterative process for the large systems listed in Table 10, considering an acceptable error ε = 5 % .

4.3. Proposed Method and the Continuation Method

The literature presents several methods for determining the maximum loading of power systems. Most of these methods rely on tuning simulation parameters, which makes a fair comparison among them a challenging task. Considering this, the purpose of this section is to compare the performance of the proposed methods, PM1 and PM2, with the well-known continuation power flow (CPF). The CPF implementation from MATPOWER [28] is regarded as a reliable simulation tool and has been widely adopted in power system research. Specific simulation conditions were defined to ensure the fairest possible comparison among the three methods, as outlined below.
Proposed methods PM1 and PM2—the acceptable error was defined as ε = 5 % , matching the value used in the previous simulations.
CPF from MATPOWER—the default parameters were used (e.g., step size, tolerances, parameterization method). The iterative process was halted once the nose of the PV curve was reached, although MATPOWER can compute the complete PV curve. The reactive power limits of the generators were enforced. The active and reactive power limits of the slack bus were left open ( Q m a x = 9999   M V A r ,   Q m i n = 9999   M V A r ,   P m a x = 9999   M W ). Additionally, the upper limit of active power for all PV buses (generators) was set to 9999   M W .
The CPF consists of two steps, namely a predictor and a corrector [28]. The predictor step uses the tangent vector (MATPOWER’s default). The corrector step involves solving an augmented set of power flow equations, where an additional equation related to parameterization is included alongside the conventional ones. The computational burden of the CPF can generally be evaluated by the number of corrector steps (i.e., power flow-like runs) required to reach the nose point. CPF also features step size control, with a default step size of 0.05 . Additionally, it includes event functions (flags) that trigger a rollback when activated; that is, the current step is rolled back and retried with a modified step size. Rollbacks result in additional power flow-like runs.
The computational burden of the proposed methods can also be evaluated by the number of power flow runs with step size optimization (PFSSO). In turn, the computational effort of a PFSSO run is practically equivalent of that of a conventional power flow, as discussed in [23].
Table 11 presents the results obtained for the IEEE standard test systems, as well as for a large system from MATPOWER [28]. Rows 6, 10, and 13 from Table 11 demonstrate that the proposed methods are able to converge to the actual maximum loading point, within the predefined acceptable error margin, after a small number of power flow runs.
It is important to note that this is not a complete comparison, since the simulations were based on specific parameter settings, as discussed earlier. For instance, if the acceptable error for PM1 and PM2 were smaller—say, 2 % —the number of power flow runs would likely have been higher. Conversely, if the step size of CPF was larger—for example, 0.1 —the number of power flow-like runs would likely have been lower. The CPF results from Table 11 were obtained by the following MATPOWER code:
define_constants;
mpopt = mpoption(‘out.all’, 0,’verbose’, 2);
mpopt = mpoption(mpopt, ‘cpf.stop_at’, ‘NOSE’, ‘cpf.step’, 0.05);
mpopt = mpoption(mpopt, ‘cpf.plot.level’, 1);
mpopt = mpoption(mpopt, ‘cpf.enforce_q_lims’, 1);
mpopt = mpoption(mpopt, ‘cpf.plot.bus’, 9201);
mpcb = loadcase(case2869pegase);
mpct = mpcb;
mpct.gen(:, [PG QG]) = mpcb.gen(:, [PG QG]) * 2;
mpct.bus(:, [PD QD]) = mpcb.bus(:, [PD QD]) * 2;
results = runcpf(mpcb, mpct, mpopt);
This particular code was applied to generate the PV curve of “case2869pegase” system from MATPOWER. Naturally, the code must be appropriately modified to obtain the PV curves for other systems.

5. Conclusions

This paper proposed two robust and efficient methods for determining the maximum loading factors and voltage stability margins of power systems. These methods were specifically designed for real-time operational applications. The core idea behind both approaches was to integrate two existing techniques from the literature, preserving their advantages while addressing their limitations.
A linear voltage stability index was used to establish the initial guess for an iterative method based on a non-divergent, robust, and second-order power flow with step size optimization. Subsequently, a loading factor derived from the sensitivity of loading with respect to the generators’ reactive powers was combined with that obtained from the linear voltage stability index. The resulting method proved to be even more efficient.
One of the key features of the proposed methods is their ability to handle different initial guesses. Simulation results have shown that the number of iterations is consistently low, regardless of whether the initial guess is feasible or infeasible, or close to or far from the actual MLP.
The maximum loading points of both the standard test systems and realistic power systems were computed after a small number of power flow runs. The efficiency of the proposed methods was demonstrated through a comparative analysis with the continuation power flow method, under specific assumptions regarding parameter settings.

Author Contributions

W.E.B. and C.A.C. contributed equally to all stages of this research work. All authors have read and agreed to the published version of the manuscript.

Funding

This research was funded by Coordenação de Aperfeiçoamento de Pessoal de Nível Superior (CAPES), Brazil, Finance Code 001, and Conselho Nacional de Desenvolvimento Científico e Tecnológico (CNPq), Brazil, Grant 302488/2022-7.

Data Availability Statement

All data mentioned in this manuscript are available upon request.

Conflicts of Interest

The authors declare no conflicts of interest.

Abbreviations

The following abbreviations are used in this manuscript:
CPFContinuation power flow
IEEEThe Institute of Electrical and Electronics Engineers
LVSILinear voltage stability index
MLPMaximum loading point
PFSSOPower flow with step size optimization
VSIVoltage stability index
VSMVoltage stability margin

References

  1. Adibi, M.M.; Martins, N. Impact of power system blackouts. In Proceedings of the IEEE PES General Meeting, Panel Session, Denver, CO, USA, 26–30 June 2015. [Google Scholar] [CrossRef]
  2. IEEE/CIGRE Joint Task Force on Stability Terms and Definitions. Definition and classification of power system stability–Revisited Extended. IEEE Trans. Power Syst. 2021, 36, 3271–3281. [Google Scholar] [CrossRef]
  3. Liu, J.-H.; Chu, C.-C. Wide-area measurement-based voltage stability indicators by modified coupled single-port models. IEEE Trans. Power Syst. 2014, 29, 756–764. [Google Scholar] [CrossRef]
  4. Ajjarapu, V.; Christy, C. The continuation power flow: A tool for steady-state voltage stability analysis. IEEE Trans. Power Syst. 1992, 7, 416–423. [Google Scholar] [CrossRef]
  5. Irisarri, G.D.; Wang, X.; Tong, J.; Mokhtari, S. Maximum loadability of power systems using interior point nonlinear optimization method. IEEE Trans. Power Syst. 1997, 12, 162–172. [Google Scholar] [CrossRef]
  6. Alvarado, F.L.; Jung, T.H. Direct detection of voltage collapse conditions. In Proceedings, Bulk Power System Voltage Phenomena: Voltage Stability and Security; EPRI EL6183; Electric Power Research Institute: Palo Alto, CA, USA, 1989; pp. 523–538. [Google Scholar]
  7. Tavares, B.L.; Bedriñana, M.F.; Castro, C.A. Practical method for computing the maximum loading point using a load flow with step size optimization. IET Gener. Transm. Distrib. 2011, 5, 1250–1258. [Google Scholar] [CrossRef]
  8. Kessel, P.; Glavitsch, H. Estimating the voltage stability of a power system. IEEE Trans. Power Deliv. 1986, 1, 346–354. [Google Scholar] [CrossRef]
  9. Hong, Y.-H.; Pan, C.-T.; Lin, W.-W. Fast calculation of a voltage stability index of power systems. IEEE Trans. Power Syst. 1997, 12, 1555–1560. [Google Scholar] [CrossRef]
  10. Oukennou, A.; Sandali, A. Analysis and comparison of line voltage stability indices. In Proceedings of the 6th International Renewable and Sustainable Energy Conference (IRSEC), Rabat, Morocco, 5–8 December 2018. [Google Scholar]
  11. Matavalam, A.R.R.; Ajjarapu, V. Sensitivity-based Thévenin index with systematic inclusion of reactive power limits. IEEE Trans. Power Syst. 2018, 33, 932–942. [Google Scholar] [CrossRef]
  12. Jirjees, M.A.; Al-Nimma, D.A.; Al-Hafidh, M.S.M. Selection of proper voltage stability index for real system loading. In Proceedings of the 2nd International Conference Electrical, Communication, Computer, Power and Control Engineering (ICECCPCE), Mosul, Iraq, 13–14 February 2019. [Google Scholar]
  13. Shekhawat, N.; Gupta, A.K.; Sharma, A.K. Voltage stability assessment using line stability indices. In Proceedings of the 3rd International Conference and Workshops on Recent Advances and Innovations in Engineering, Jaipur, India, 22–25 November 2018. [Google Scholar]
  14. Abed, A.M. WSCC Voltage Stability Criteria, Undervoltage load shedding strategy, and reactive power reserve monitoring methodology. In Proceedings of the IEEE PES Summer Meeting, Edmonton, AB, Canada, 18–22 July 1999. [Google Scholar]
  15. Wang, Y.; Li, Z.; Lu, F. Research on the impact of wind power integration on power system voltage stability. In Proceedings of the IEEE PES Innovative Smart Grid Technologies Asia, Chengdu, China, 21–24 May 2019. [Google Scholar]
  16. Li, G.; Hu, X.; Li, Y.; Yang, G.; Bai, L. Influences of large-scale wind farm centralized access on power system voltage stability. In Proceedings of the IEEE 5th Information Technology and Mechatronics Engineering Conference, Chongqing, China, 12–14 June 2020. [Google Scholar]
  17. Rahman, S.; Saha, S.; Islam, S.N.; Arif, M.T.; Mosadeghy, M.; Oo, A.M.T.; Haque, M.E. Analysis of power grid voltage stability with high penetration of solar PV systems. In Proceedings of the IEEE 5th Information Technology and Mechatronics Engineering Conference, Chongqing, China, 12–14 June 2020. [Google Scholar]
  18. Matavalam, A.R.R.; Ajjarapu, V. Calculating the long-term voltage stability margin using a linear index. In Proceedings of the IEEE PES General Meeting, Denver, CO, USA, 26–30 June 2015. [Google Scholar]
  19. Tognete, A.L.; Castro, C.A. An efficient sensitivity analysis-based method for calculating load margins to voltage collapse. Control. Autom. 1999, 10, 73–82. [Google Scholar]
  20. Zarate, L.A.L.; Castro, C.A. Sensitivity techniques for the fast assessment of security margins to voltage collapse. In Proceedings of the 2005 IEEE Russia Power Tech, St. Petersburg, Russia, 27–30 June 2005. [Google Scholar]
  21. Zarate, L.A.L.; Castro, C.A. Fast computation of security margins to voltage collapse based on sensitivity analysis. IEE Proc.–Gen. Transm. Distr. 2006, 153, 35–43. [Google Scholar] [CrossRef]
  22. Castro, C.A.; Braz, L.M.C. A new approach to the polar Newton power flow using step optimization. In Proceedings of the 29th North American Symposium Power Symposium, Laramie, WY, USA, 13–14 October 1997. [Google Scholar]
  23. Braz, L.M.C.; Castro, C.A.; Murari, C.A.F. A critical evaluation of the size optimization-based load flow methods. IEEE Trans. Power Syst. 2000, 15, 202–207. [Google Scholar] [CrossRef]
  24. Iwamoto, S.; Tamura, Y. A load flow calculation method for ill-conditioned power systems. IEEE Trans. Power App. Syst. 1981, 100, 1736–1743. [Google Scholar] [CrossRef]
  25. Tate, J.E.; Overbye, T.J. A comparison of the optimal multiplier in polar and rectangular coordinates. IEEE Trans. Power Syst. 2005, 20, 1667–1674. [Google Scholar] [CrossRef]
  26. Overbye, T.J. A power flow measure for unsolvable cases. IEEE Trans. Power Syst. 1994, 9, 1359–1365. [Google Scholar] [CrossRef]
  27. Su, H.-Y.; Liu, C.-W. Estimating the voltage stability margin using PMU measurements. IEEE Trans. Power Syst. 2016, 31, 3221–3229. [Google Scholar] [CrossRef]
  28. Zimmerman, R.D.; Murillo-Sanchez, C.E.; Thomas, R.J. MATPOWER: Steady-state operations, planning and analysis tools for power systems research and education. IEEE Trans. Power Syst. 2011, 26, 12–19. [Google Scholar] [CrossRef]
Figure 1. (a) Two-dimensional parameter space and behavior of PFSSO. (b) Illustration of the calculation of the MLP. Adapted from [7].
Figure 1. (a) Two-dimensional parameter space and behavior of PFSSO. (b) Illustration of the calculation of the MLP. Adapted from [7].
Energies 18 04474 g001
Figure 2. Range of acceptable MLP solutions. Adapted from [7].
Figure 2. Range of acceptable MLP solutions. Adapted from [7].
Energies 18 04474 g002
Figure 3. (a) Evolution of the VSI for bus 30 of the IEEE 30-bus system; (b) evolution of VSI for bus 30 of the IEEE 30-bus system, generators’ reactive power limits considered; (c) detailed view of the evolution of VSI for bus 30 of the IEEE 30-bus system, generators’ reactive power limits enforced.
Figure 3. (a) Evolution of the VSI for bus 30 of the IEEE 30-bus system; (b) evolution of VSI for bus 30 of the IEEE 30-bus system, generators’ reactive power limits considered; (c) detailed view of the evolution of VSI for bus 30 of the IEEE 30-bus system, generators’ reactive power limits enforced.
Energies 18 04474 g003
Figure 4. Illustration of the proposed method.
Figure 4. Illustration of the proposed method.
Energies 18 04474 g004
Figure 5. Loading factor as a function of the number of power flow runs, IEEE 14-bus system, ε = 5 % .
Figure 5. Loading factor as a function of the number of power flow runs, IEEE 14-bus system, ε = 5 % .
Energies 18 04474 g005
Figure 6. Loading factor and the number of power flow runs, ε = 5 % : (a) 1354 pegase system; (b) 2736 sp system; (c) 2746 wp system; (d) 2869 pegase system.
Figure 6. Loading factor and the number of power flow runs, ε = 5 % : (a) 1354 pegase system; (b) 2736 sp system; (c) 2746 wp system; (d) 2869 pegase system.
Energies 18 04474 g006
Figure 7. Maximum loading factor as a function of the number of power flow runs, 2869 pegase system, ε = 5 % , ρ 0 = 6 .
Figure 7. Maximum loading factor as a function of the number of power flow runs, 2869 pegase system, ε = 5 % , ρ 0 = 6 .
Energies 18 04474 g007
Figure 8. Evolution of the maximum loading as a function of the number of power flow calculations, IEEE 14-bus system, ε = 5 % .
Figure 8. Evolution of the maximum loading as a function of the number of power flow calculations, IEEE 14-bus system, ε = 5 % .
Energies 18 04474 g008
Figure 9. Loading as a function of the number of power flow runs, ε = 5 % : (a) 1354 pegase system; (b) 2736 sp system; (c) 2746 wp system; (d) 2869 pegase system.
Figure 9. Loading as a function of the number of power flow runs, ε = 5 % : (a) 1354 pegase system; (b) 2736 sp system; (c) 2746 wp system; (d) 2869 pegase system.
Energies 18 04474 g009
Table 1. Summary of the proposed methods.
Table 1. Summary of the proposed methods.
MethodDescription
M1Method proposed in [7] for assessing the maximum loading point.
M2Computation of the initial operating point based on a linear voltage stability index [18]. This initial point is used by M1.
M3Computation of the initial operating point based on the sensitivity of generators’ reactive powers with respect to the system’s loading [19,20,21]. This initial point is used by M1.
PM1M2M1 ⇨ maximum loading point.
PM2(M2 + M3) ⇨ M1 ⇨ maximum loading point.
Table 2. PM1: IEEE test systems— ε = 1 % .
Table 2. PM1: IEEE test systems— ε = 1 % .
System ρ c r a c t u a l ρ 0 = ρ l i ρ c r c o m p #Iter#PFSSO
141.784.411.7637
301.552.691.5325
571.621.481.6256
1182.144.812.1749
3001.061.321.0625
#Iter e #PFFSO stand for number of iterations and number of PFSSO runs respectively.
Table 3. PM1: IEEE test systems— ε = 5 % .
Table 3. PM1: IEEE test systems— ε = 5 % .
System ρ c r a c t u a l ρ 0 = ρ l i ρ c r c o m p #Iter#PFSSO
141.784.411.8725
301.552.691.6325
571.621.481.5612
1182.144.812.1625
3001.061.321.1225
Table 4. PM1: linear VSI and ρ l i for the IEEE 14-bus system.
Table 4. PM1: linear VSI and ρ l i for the IEEE 14-bus system.
Load   Bus   i V S I i ρ l i
40.9212.18
50.9417.83
90.815.18
100.815.30
110.898.82
120.9213.19
130.909.64
140.774.41
Table 5. PM1: results for large systems, ε = 5 % .
Table 5. PM1: results for large systems, ε = 5 % .
System ρ c r a c t u a l ρ 0 = ρ l i ρ c r c o m p #Iter#PFSSO
1354 pegase1.181.381.1425
2736 sp1.642.511.5925
2746 wp1.491.751.4325
2869 pegase1.111.561.1625
Table 6. MLP for 2869 pegase system, ε = 5 % ρ c r a c t u a l = 1.11 .
Table 6. MLP for 2869 pegase system, ε = 5 % ρ c r a c t u a l = 1.11 .
ρ 0 ρ c r c o m p #Iter#PFSSO
1.561.1625
21.1537
31.1549
41.1349
61.06511
Table 7. PM2: IEEE test systems, ε = 1 % .
Table 7. PM2: IEEE test systems, ε = 1 % .
System ρ c r a c t u a l ρ l i ρ a v ρ 0 = ( ρ l i + ρ a v ) / 2 ρ c r c o m p #Iter#PFSSO
141.784.411.252.831.8025
301.552.691.241.961.5513
571.621.481.041.261.6267
1182.144.811.993.402.1637
3001.061.321.131.221.0525
Table 8. PM2: IEEE test systems, ε = 5 % .
Table 8. PM2: IEEE test systems, ε = 5 % .
System ρ c r a c t u a l ρ l i ρ a v ρ 0 = ( ρ l i + ρ a v ) / 2 ρ c r c o m p #Iter#PFSSO
141.784.411.252.831.8113
301.552.691.241.961.4913
571.621.481.041.261.5623
1182.144.811.993.402.1038
3001.061.321.131.221.0713
Table 9. Loadings ρ a v for the IEEE 57-bus system.
Table 9. Loadings ρ a v for the IEEE 57-bus system.
Generation   Bus   j Δ ρ j
91.02
61.04
31.04
121.05
81.51
21.73
Table 10. PM2: simulation results for large systems, ε = 5 % .
Table 10. PM2: simulation results for large systems, ε = 5 % .
System ρ c r a c t u a l ρ l i ρ a v ρ 0 = ( ρ l i + ρ a v ) / 2 ρ c r c o m p #Iter#PFSSO
1354 pegase1.181.381.131.261.1513
2736 sp1.642.511.281.891.6013
2746 wp1.491.751.181.471.5512
2869 pegase1.111.561.171.371.1725
Table 11. Proposed methods and the CPF.
Table 11. Proposed methods and the CPF.
MethodSystem1430571183002869 Pegase
ρ c r a c t u a l 1.781.551.622.141.061.11
PM1 ρ c r c o m p 1.871.631.562.161.111.16
error4.855.003.610.925.004.05
#iter221222
#PFSSO552555
PM2 ρ c r c o m p 1.811.481.562.101.071.17
error1.754.163.611.770.635.05
#iter112312
#PFSSO333835
CPF ρ c r c o m p 1.731.571.622.111.051.12
#steps45585916048297
#(steps + rollbacks)49636619164389
Disclaimer/Publisher’s Note: The statements, opinions and data contained in all publications are solely those of the individual author(s) and contributor(s) and not of MDPI and/or the editor(s). MDPI and/or the editor(s) disclaim responsibility for any injury to people or property resulting from any ideas, methods, instructions or products referred to in the content.

Share and Cite

MDPI and ACS Style

Barreto, W.E.; Castro, C.A. Fast Voltage Stability Margin Computation via a Second-Order Power Flow Supported by a Linear Voltage Stability Index and Sensitivity Analysis. Energies 2025, 18, 4474. https://doi.org/10.3390/en18174474

AMA Style

Barreto WE, Castro CA. Fast Voltage Stability Margin Computation via a Second-Order Power Flow Supported by a Linear Voltage Stability Index and Sensitivity Analysis. Energies. 2025; 18(17):4474. https://doi.org/10.3390/en18174474

Chicago/Turabian Style

Barreto, Wilmer E., and Carlos A. Castro. 2025. "Fast Voltage Stability Margin Computation via a Second-Order Power Flow Supported by a Linear Voltage Stability Index and Sensitivity Analysis" Energies 18, no. 17: 4474. https://doi.org/10.3390/en18174474

APA Style

Barreto, W. E., & Castro, C. A. (2025). Fast Voltage Stability Margin Computation via a Second-Order Power Flow Supported by a Linear Voltage Stability Index and Sensitivity Analysis. Energies, 18(17), 4474. https://doi.org/10.3390/en18174474

Note that from the first issue of 2016, this journal uses article numbers instead of page numbers. See further details here.

Article Metrics

Back to TopTop