Next Article in Journal
Gramian Angular Field–Gramian Adversial Network–ResNet34: High-Accuracy Fault Diagnosis for Transformer Windings with Limited Samples
Previous Article in Journal
The Role of the Aogula Fault in the Migration of Hydrocarbon Along the Sartu, Putaohua, and Gaotaizi Reservoirs and Its Relationship with Accumulation in the Songliao Basin
 
 
Font Type:
Arial Georgia Verdana
Font Size:
Aa Aa Aa
Line Spacing:
Column Width:
Background:
Article

Parameter Optimization Design of Adaptive Flaps for Vertical Axis Wind Turbines

1
School of Energy and Power Engineering, University of Shanghai for Science and Technology, Shanghai 200093, China
2
Shanghai Key Laboratory of Multiphase Flow and Heat Transfer in Power Engineering, Shanghai 200093, China
3
Power China Huadong Engineering Corporation Limited, Hangzhou 311100, China
*
Author to whom correspondence should be addressed.
Energies 2025, 18(16), 4333; https://doi.org/10.3390/en18164333
Submission received: 6 July 2025 / Revised: 11 August 2025 / Accepted: 11 August 2025 / Published: 14 August 2025
(This article belongs to the Special Issue Latest Challenges in Wind Turbine Maintenance, Operation, and Safety)

Abstract

To enhance the aerodynamic performance of vertical axis wind turbines (VAWTs) under complex gust conditions, the design parameters of the flap were optimized using the computational fluid dynamics (CFD) method combined with orthogonal experimental design and the SHERPA algorithm, and two gust models with mainly high and low wind speeds were generated by a self-compiling program to investigate the effects of three combinations of the chordwise mounting position of the flap, the moment of inertia, and the maximum deflection angle on the aerodynamic performance of the vertical axis wind turbine. The results demonstrated that adaptive flaps reduced the flow separation region and suppressed the formation and development of separation vortices, thereby enhancing aerodynamic performance. The adaptive flap was found to be more effective in high-speed gust environments than in low-speed ones. The optimal configuration—chordwise position at 0.4C, moment of inertia at 6.12 × 10−5 kg·m2, and a maximum deflection angle of 40°—led to a 57.24% improvement relative to the original airfoil.

1. Introduction

With the accelerated transformation of the global energy structure, renewable energy technologies have emerged as a critical pathway to achieving carbon neutrality [1]. Among various forms of renewable energy, wind energy has garnered considerable attention due to its widespread availability and high level of technological maturity [2]. Wind power generation systems are generally categorized into horizontal axis wind turbines (HAWTs) and vertical axis wind turbines (VAWTs). A vertical axis wind turbine is a highly promising wind power generation device that is especially suitable for small-scale distributed wind energy development scenarios in urban and suburban areas [3]. As the development of the conventional HAWT has encountered bottlenecks, VAWTs have shown greater potential for development due to their strong structural stability, high environmental adaptability, low maintenance cost, and ease of manufacturing [4,5].
However, suburban areas have high surface roughness due to extensive construction and trees, making incoming wind easily affected by surface shear stress and prone to extreme gusts [6]. Extreme gusts are a special airflow phenomenon characterized by a rapid increase followed by a rapid decrease in wind speed within a short time, exhibiting suddenness and instability while also containing a large amount of instantaneous energy [7]. If the energy of instantaneous gusts could be utilized, the power generation capacity of wind turbines would be effectively increased. However, for small VAWTs commonly used in distributed energy systems, their relatively simple control systems and the inertia effect during rotor rotation usually fail to adjust the rotational speed promptly in response to the short-term wind speed changes of extreme gusts, making it difficult to effectively capture the instantaneous energy within gusts [8]. Additionally, due to the significant variation in attack of angle and dynamic stall characteristics, the wind energy efficiency of VAWTs is notably reduced under gusty conditions compared to steady winds [9]. Therefore, it is necessary to adopt flow control techniques to improve the aerodynamic performance of VAWTs under extreme gust conditions
Common flow control techniques can be divided into active control and passive control [5,10,11]. Active control methods, such as the pitch adjustment and suction techniques, theoretically adjust the blade state based on real-time wind conditions to maximize wind energy capture. However, an active control system significantly increases the overall complexity of the wind turbine. This is because the active control system requires additional mechanical structures and energy input, which raises the failure rate of the wind turbine and also has issues with delayed response [12,13,14]. Passive control methods, such as vortex generators and Gurney flaps, typically involve adding physical structures to the airfoil surface to alter the aerodynamic performance of the wind turbine blades without external intervention [15,16,17]. Nevertheless, such passive controls usually only work well in specific environments and may have poor control effectiveness in complex gust wind conditions with high wind speed fluctuations and turbulence intensity.
To address this issue, some researchers have drawn inspiration from birds, which mitigate flow separation in complex gusty environments through adaptive wing movements. A bio-inspired flow control method was proposed using adaptive flaps placed on the surface of turbine blades. In 1997, Bechert et al. [18] first conducted research on bio-inspired flaps based on small feather-like structures for flow control. Kernstine et al. [19] found that the position and size of the flaps significantly affect flow control performance on airfoil surfaces. When the flaps are too close to the leading edge, the stall angle of attack occurs earlier, and the maximum lift coefficient decreases. When the flaps are installed in the trailing edge area, they may induce near-stall conditions and also cause a decrease in lift. Arivoli et al. [20] also studied the effect of flap position on flow control, suggesting that the optimal chordwise position of the flap should vary with spanwise changes. Reiswich et al. [21] conducted wind tunnel experiments on different flap positions and quantities, showing that a combination of leading and trailing edge flaps significantly improves lift after stall and delays the stall angle. Johnston et al. [22] found through wind tunnel experiments that an angle of flap lift greater than 60° results in adverse effects such as reduced lift and increased drag; when freely lifted, the flap stabilizes at an angle between 30° and 45°. Hafien et al. [23] investigated trailing-edge adaptive flaps on an NACA 0012 airfoil and demonstrated that variations in the deflection angle of the flaps significantly reduce the size of separation vortices. Further studies by the same team confirmed the effects of the flaps and demonstrated that the gap between the flap and the trailing edge could induce a downwash effect [24]. Building upon these findings, Hao et al. [25] conducted a systematic study on adaptive flaps and determined that the optimal deflection angle was not fixed but was instead dependent on the mounting position. When the separation point was located upstream of the flap, the lift coefficient initially increased and then decreased with greater deflection angles. The team then applied the flap to a VAWT to investigate the effects of flap position and number on flow control. Their results showed that symmetric placement of adaptive flaps on both sides of the blade yielded the most significant improvement in turbine performance, increasing the power coefficient by 29.9% [26].
Although previous studies have confirmed the feasibility of adaptive flaps for flow control in VAWT, several issues could be improved. First, most scholars have only studied the effect of changes in a single parameter of the flap on flow control, while there is less research on the synergistic optimization of multiple parameters of the flap. Each parameter of the flap has a different degree of impact on flow control, so it is necessary to explore the effects of parameter combinations. Second, existing studies mostly focus on the flow control characteristics of the flap under steady wind conditions, without considering their effects under unsteady turbulent gusts. This neglects the intrinsic lift-enhancing and stability-maintaining functions of the flap, which were originally designed to mimic birds’ responses to complex variable wind environments in nature. Currently, there is limited research on flow control VAWTs under complex gusts, despite these conditions being closer to the actual operating environment of VAWTs. Thirdly, some studies have considered unsteady turbulent gusts; they have ignored the impact of different wind speed distribution characteristics (such as average wind speed). Wind speed distribution characteristics affect the dynamic response of flaps, so it is necessary to consider the flow control effect of flaps under gust conditions with different characteristics.
Therefore, in this study, two gust models with different wind speed distribution characteristics were generated using a compiling program to simulate incoming flow conditions. Computational fluid dynamics (CFD), combined with orthogonal experimental design, was employed to optimize the design parameters of the adaptive flaps. Furthermore, the SHERPA algorithmic optimization was then applied to the orthogonal design results to explore the optimal parameter configurations under different gust conditions. This study aims to provide both theoretical guidance and practical strategies for enhancing VAWT performance and informing the aerodynamic design of adaptive flap systems in complex gusty environments.

2. Wind Turbine Model

2.1. Baseline Blade

In this study, the VAWT model used by Li et al. [27] in wind tunnel experiments was adopted as the baseline to enable direct comparison and validation against their experimental measurements. The turbine featured two straight blades and an H-type configuration. The specific geometric parameters are listed in Table 1. Figure 1 shows the geometric model of the reference VAWT.
Since the cross-section of the straight-blade H-type VAWT was uniform along the spanwise direction, the blade’s mid-span section was isolated and simplified as a two-dimensional numerical model to reduce computational cost. Although two-dimensional models cannot capture three-dimensional flow characteristics, the airfoil at the mid-span position is minimally affected by spanwise flow interference [27], justifying the use of a two-dimensional model. Furthermore, in the experimental study by [27], pressure sensors were mounted at the blade’s mid-span section to measure aerodynamic pressures at various azimuth angles θ, which provided comprehensive experimental data. Therefore, this section was selected as the two-dimensional model to facilitate comparison and validation.
λ = R ω V
Since this work primarily focused on the optimization of adaptive flaps for VAWT under gust conditions, the wind turbine was operated at a constant angular velocity corresponding to the optimal tip speed ratio λ = 2.29 under an average wind speed of 7 m/s.

2.2. Adaptive Flap Model

The principle of bio-inspired adaptive flow control using surface-mounted flaps on the blade is depicted in Figure 2. The adaptive mechanism functions as follows: at a low angle of attack, the fluid flows along the blade surface, and the flap remains attached to the airfoil due to the combined effects of fluid forces and flap elasticity. As the angle of attack increases and flow separation occurs, the low-pressure region generated by the separation vortex induces a pressure moment that deflects the flap upward. As a result, the large-scale separation vortex is broken into smaller coherent vortices, thereby mitigating flow separation [28]. Since the deflection angle of the flap is able to adjust passively in response to the degree of flow separation, the system exhibits adaptive behavior.
The geometric model of the blade with a single adaptive flap installed is illustrated in Figure 3. Since VAWT blades primarily capture wind energy in the upwind region—where the suction surface is located on the inner side of the blade’s mid-span—only the configuration with flaps mounted on the inner side was taken into account. Three different installation positions were examined, with the distance from the leading edge (dLE) set at 0.4C, 0.6C, and 0.8C. A torsional flap was connected at the root to provide damping torque and to prevent flap deflection in the absence of flow separation. Additionally, a cord was attached at the trailing edge to restrict the maximum deflection angle.
According to the adaptive mechanism of the flap, the chordwise mounting position (PLE) affected distinct regions of surface flow over the airfoil, directly influencing the progression of flow separation. The moment of inertia (IS), representing the flap’s mass distribution and inertial response characteristics during rotation, directly impacted its dynamic response behavior. The maximum deflection angle (αmax), serving not only as a constraint on flap motion but also influencing boundary layer development, thereby altered the location of the separation point.
These three key parameters—PLE, IS, and αmax—significantly influenced the effectiveness of flap-based flow control. Moreover, different flap characteristics could exhibit better performance under varying wind conditions. Therefore, this study aimed to investigate the impact of combined variations in PLE, IS, and αmax on the aerodynamic performance of the VAWT in complex gust environments. In practical scenarios, IS could be adjusted by altering the internal mass distribution of the flap, while αmax could be controlled by attaching a limiting cord to the trailing edge of the flap.

2.3. Orthogonal Experimental Design of Parameter Levels

In this study, PLE, IS, and αmax were selected as the variable parameters for the adaptive flap. However, due to the large number of possible level combinations among the three factors, a full-factorial simulation would result in substantial computational cost. Therefore, the orthogonal experimental design method was employed to identify an optimal parameter combination with a limited number of simulations [28]. The specific parameter levels are summarized in Table 2. The ranges were determined based on benchmark values reported in the literature [25,26] and were further refined for this study.
The remaining geometric parameters of the flap were kept constant, as illustrated in Figure 3. The flap length lFlap was set to 0.15C, with a leading-edge diameter DFlap-TE of 0.15lFlap and a trailing-edge diameter DFlap-TE of 0.01lFlap. To ensure that the flap conformed to the airfoil surface when in a non-operational state, a recessed groove matching the airfoil profile was constructed. Additionally, a gap-type flow channel was created between the flap and the blade to facilitate fluid entry and trigger flap actuation. The angle of the gap flow channel γ was set to 1°, and the inlet gap width at the leading edge was set to 0.3DFlap-LE.

3. Numerical Simulation Setup

3.1. Computational Domain and Mesh Generation

To reduce computational cost, the mid-span section of the blade was extracted and simplified into a two-dimensional model. The computational domain boundaries and mesh configuration are illustrated in Figure 4. Figure 4a shows the full flow field and boundary conditions: a velocity inlet was applied to the left boundary, a pressure outlet to the right boundary, and slip wall conditions were imposed on all other boundaries [29]. A row of refined mesh elements was added downstream of the rotating region to accurately capture the wake characteristics of the wind turbine. Figure 4b presents the rotating domain and the refined mesh zone. The wind turbine rotation was simulated using the sliding mesh method within the rotor domain, which was coupled to the stationary domain via an interface boundary [30]. Figure 4c displays the mesh near the airfoil surface. To facilitate boundary layer flow analysis, 24 layers of boundary-layer mesh were generated in the direction normal to the airfoil surface. The height of the first layer is set to 0.015 mm to ensure that the dimensionless wall distance (y+) is approximately 1, as shown in Figure 5. For simulating motion, the sliding mesh approach was adopted to model rotor rotation, while mesh refinement was applied to the flap region. This configuration enabled the adaptive lifting and restoring motion of the flap, synchronized with blade rotation, to be realized through overlapping mesh.

3.2. Adaptive Response Model of the Flap

During the numerical simulation, the adaptive rotation of the flap was calculated using the following equation [26]:
I s d 2 α d t 2 = M f + M s α i α i 1 = M f + M s I s × Δ t + α i 1 α i 2 Δ t × Δ t ,
where IS is the moment of inertia of the flap about the rotation center (unit: kg·m2); α is the rotation angle of the flap (unit: °); MS is the restoring torque provided by the torsional flap installed at the rotation center, set to −2 × 10−5 N∙m; Mf is the torque generated by aerodynamic force acting on the flap (unit: N∙m).
The adaptive rotation process of the flap is illustrated in Figure 6. First, the flow field around the airfoil was solved using Star-CCM+ v2310. The aerodynamic loads and rotation angle of the flap were monitored in real time. Equation (2) was solved using the prescribed values defined in the User-Defined Function (UDF). The motion of the flap was realized through dynamic mesh technology. This process was iteratively repeated until the specified time step was reached.

3.3. Gust Model

To simulate the unsteady gusts encountered by VAWTs under real operating conditions, a gust model was constructed based on stochastic differential equations following the method proposed in [7]. The time-varying wind speed function was defined as follows:
U ( t ) = U mean + U amp × sin ( 2 π f c a 2 ( t ) ) ,
where Umean is the reference mean wind speed, set to 7 m/s to match the experimental conditions; Uamp is the gust amplitude, set to 4.26 m/s based on the calibrated parameter from [7] to simulate extreme conditions; fc is the characteristic frequency of the wind speed (Hz); α2(t) is the stochastic term representing gust randomness, defined as follows:
d y ( t ) = a [ y ( t ) , t ] d t + b [ y ( t ) , t ] d W ( t ) , t [ 0 , t ] y ( 0 ) = y 0 ,
where α[y(t), t] and b[y(t), t] is the drift term and diffusion term of the differential equation, respectively; W(t) is the standard Wiener process.
Based on a self-developed MATLAB v2024a. program and the aforementioned mathematical model, gust wind speed profiles were generated, as illustrated in Figure 7. The figure presents two asymmetric gust profiles corresponding to a characteristic fluctuation frequency of 0.5 Hz. These two curves represent wind environments dominated by high-speed and low-speed gusts, respectively. It should be noted that, even under steady wind conditions, the rotor must rotate for a period of time before numerical convergence is achieved. Therefore, to ensure the accuracy and representativeness of the simulation results under gust conditions, data collected after 3 s were selected for analysis. During this interval, the average wind speed was 7 m/s, consistent with the reference wind speed used in steady-state simulations. In the figure, the star indicates the area of particular focus.

3.4. Numerical Algorithm

Since the Mach number of small-scale VAWT is relatively low and no thermal diffusion occurs during operation, an incompressible, constant-density, implicit segregated flow model was adopted in this study to solve the flow field equations. The SIMPLE algorithm was employed to handle the coupling between pressure and velocity. The air density was set to 1.1841 kg/m3, and the dynamic viscosity was set to 1.855 × 10−5 kg/(m∙s). A second-order upwind scheme was used for solving velocity, pressure, and turbulence quantities, while second-order central differencing was applied for temporal discretization.
To accurately compute the complex flow features, a suitable turbulence model was required. The SST k-ω turbulence model, which combines the advantages of the standard k-ω and k-ε models, was selected [31]. This model has been widely applied in VAWT simulations due to its good balance between computational cost and accuracy. Therefore, the SST k-ω turbulence model was adopted in this study [31]. In addition, the simulation accuracy of the VAWT was closely related to the time step size and the number of rotor revolutions, and the relevant parameter settings were determined in the validation section [32].

3.5. Optimization Algorithm

The SHERPA intelligent optimization algorithm in HEEDS v2404 was employed for the optimization design in this study. SHERPA is a hybrid optimization algorithm that integrates both global and local search strategies. It was capable of simultaneously evaluating multiple design cases in parallel, automatically selecting the most appropriate algorithm to accelerate convergence, reduce optimization time, and minimize human intervention—thereby achieving a high degree of automation. In addition, the robustness of the algorithm ensured that the optimized design maintained good performance under fluctuating gust conditions. The specific optimization process is illustrated in Figure 8.

4. Verification of the Computational Model

To ensure the accuracy of the computational model, simulations were first conducted under the same conditions as the experiment, using a steady wind speed of 7 m/s and a tip speed ratio λ = 2.29. The validation was carried out from three aspects: mesh independence, time step sensitivity, and comparison with experimental data.

4.1. Mesh Independence Verification

To evaluate mesh independence, simulations were performed with different mesh densities while keeping all other settings constant. The variation in the VAWT power coefficient CP with respect to the total number of mesh elements is shown in Table 3. The power coefficient CP was calculated using the following equation:
C P = P 0.5 ρ V 3 A ,
where A is the rotor swept area (m2); P is the output power (W).
Using the result obtained with the highest mesh density as the reference, it can be seen from the table that when the total number of mesh elements reached approximately 320,000, the error in the power coefficient was less than 1%, and the results became stable. Considering the balance between computational accuracy and efficiency, all subsequent simulations were performed using a mesh configuration of approximately 320,000 elements.

4.2. Time Step Verification

This study focused on the influence of adaptive flaps on the aerodynamic characteristics of VAWT under gust conditions. Therefore, simulations were conducted at a constant angular velocity corresponding to the optimal tip speed ratio λ = 2.29. The rotational increment per time step dθ was defined as the product of the time step dt and angular velocity. To evaluate the effect of time resolution, torque coefficients were compared under dθ = 0.5°, 1° and 2°, and analyzed against experimental values. The torque coefficient CQ was calculated using the following equation:
C Q = Q 0.5 ρ D H R V 2 ,
where Q is the rotational torque generated by the blade (unit: N·m).
As shown in Figure 9, the torque coefficient curves for dθ = 1° and dθ = 0.5° were nearly identical, indicating that the numerical error caused by time step size became negligible when the rotational increment per time step was smaller than 1°. To ensure greater accuracy, a time step of dθ = 0.5° was used in all subsequent simulations.

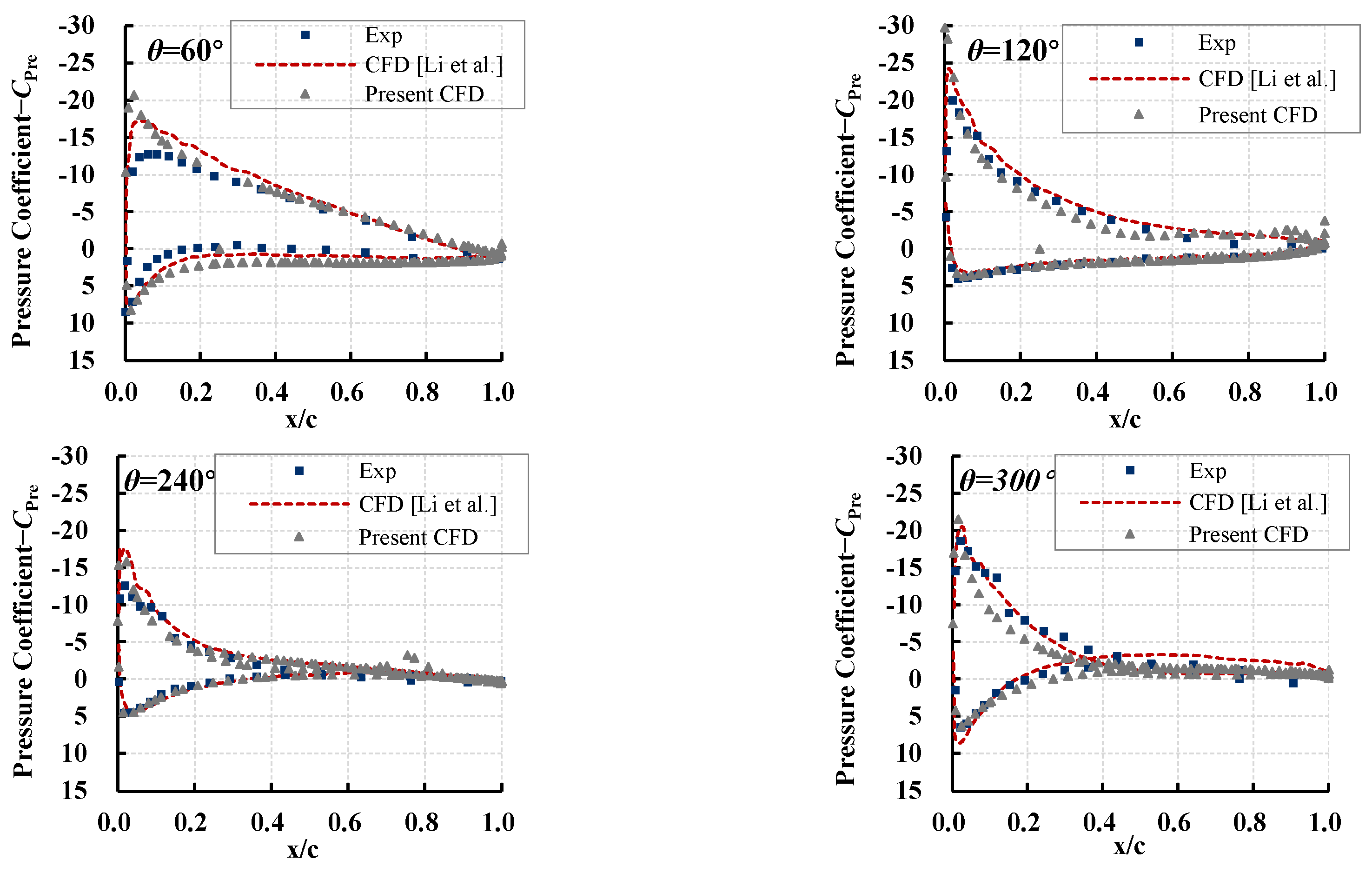
4.3. Validation with Experimental Data

Finally, to verify the accuracy of the numerical model developed in this study, the pressure coefficients extracted at different azimuth angles θ on the VAWT blade were compared with both the experimental data and CFD simulation results reported in [27], as shown in Figure 10. The pressure coefficient CPre was calculated as follows:
C pre = Pr e 1 / 2 ρ V 2 ,
where Pre is the static pressure on the airfoil surface (unit: Pa).
As shown in the figure, the simulated results in this study agreed well with the experimental data, demonstrating the accuracy of the numerical method and results.

5. Results and Analysis

5.1. Results of the Orthogonal Experiment

Under realistic gust conditions, the output power of a VAWT is a time-dependent function. However, the traditional power coefficient CP is calculated based on the average wind speed U ¯ , which fails to account for the unsteady energy capture behavior of the turbine in gusty environments, resulting in computational bias. To address this issue, a method was proposed in [8] to evaluate the aerodynamic performance of wind turbines under gust conditions. Based on this method, the energy capture efficiency of the turbine can be quantified using the following equation:
C e = E turb / E wind = 0 T Q ( t ) Ω d t 0.5 ρ A 0 T U ( t ) 3 d t ,
where Ewind is the total energy contained in the incoming turbulent wind at the inflow plane over the operating period T (unit: J); Eturb is the energy captured by the wind turbine over the operating period T (unit: J); U(t)—instantaneous gust wind speed (unit: m/s). As indicated by the equation, if the inflow wind U(t) is steady, the calculated result of Ce is equivalent to CP. However, under gust conditions, Ce enables the quantification of the energy content associated with fluctuating wind speeds.
To compare the effectiveness of adaptive flap flow control, simulations were first conducted using the original VAWT under both low-speed and high-speed gust conditions. The results showed that the average Ce value of the original airfoil under high-speed gusts was 0.239, while it was 0.205 under low-speed gusts—both are significantly lower than the energy utilization efficiency under steady wind conditions, where CP = 0.445. These findings indicate that gust conditions substantially reduce the efficiency of the VAWT.
Based on this, an orthogonal experiment was conducted to analyze the performance of adaptive flaps under gusty conditions. For both wind environments, an L9 orthogonal array was designed with three variables and three levels each. The average Ce over the 3–7 s interval was used as the evaluation metric. The experimental results are presented in Table 4.
As shown in Table 4, under high-speed gust conditions, all orthogonal test combinations led to improvements in the energy capture performance of the VAWT. Among them, the combination A1B2C3 (Scheme 8) showed the most significant enhancement, with a 54.73% increase compared to the original airfoil. In contrast, under low-speed gust conditions, only the combination A3B2C1 (also Scheme 8) resulted in improved energy capture, with an average energy coefficient of 0.237—representing a 15.99% increase over the original design.
To further analyze the influence of each factor level on the energy coefficient, a range analysis was conducted under both gust conditions, as shown in Table 5. In orthogonal experiments, the magnitude of the range value reflects the degree of influence a given factor has on the performance metric—the larger the range, the greater the influence. According to Table 5, the chordwise mounting position of the flap had the greatest impact on the VAWT performance under low-speed gust conditions, while the moment of inertia was the most influential factor under high-speed gust conditions.
To provide a more intuitive understanding, the variation in Ce with respect to factor levels A, B, and C is plotted in Figure 11, where the horizontal axis represents factor levels and the vertical axis represents the energy coefficient. Under low-speed gust conditions, the optimal combination was A3B2C1 (Scheme 8), whereas under high-speed gust conditions, A1B2C3 (Scheme 2) produced the best performance.
Under low-speed gusts, the Ce value was negatively correlated with the maximum deflection angle, indicating that reducing the maximum deflection angle contributed positively to energy capture. Additionally, placing the flap further downstream had a more favorable impact on Ce. In contrast, opposite trends were observed in high-speed gust conditions. For both wind environments, excessively high or low moment of inertia values adversely affected Ce, suggesting that there exists an optimal range for the flap’s moment of inertia.

5.2. Algorithm Optimization Analysis

This paper applied further algorithmic optimization improvements to the optimal cases identified from the orthogonal experimental design under high- and low-speed gust conditions. Through orthogonal analysis, it was determined that the flap’s moment of inertia possessed a distinct optimization range; therefore, it was selected as the design variable for the algorithmic optimization. To enhance optimization efficiency, the search range for the moment of inertia was further narrowed; the specific variable range and the number of sampling points are shown in Table 6. Maximizing the average energy coefficient was maintained as the optimization objective.
Figure 12 illustrates the iterative convergence process of the optimization algorithm. Under high-speed gust conditions, the solution tended towards stability after approximately 26 iterations. The moment of inertia converged to 6.12 × 10−5 kg·m2, corresponding to an average Ce of 0.3758, which represented a 57.24% improvement compared to the baseline airfoil. For the low-speed gust environment, the algorithm reached a stable state after 22 iterations. The optimal moment of inertia was 4.23 × 10−5 kg·m2, at which point the average Ce reached 0.2456, resulting in a performance improvement of 19.8%. The obtained data indicated that the selected optimization algorithm exhibited good convergence and optimization efficiency under different wind speed conditions.

5.3. Performance Analysis Under Low-Speed Gust Conditions

A performance comparison was conducted between the optimal scheme under low-speed gust conditions and the original airfoil. Figure 13 presents the average single-blade torque curves for both airfoils during the 3–7 s interval.
σ = i = 1 N x i x ¯ 2 / N 1 2
As shown in Table 7, the torque variance of the flap-equipped airfoil is reduced to 29.41% of that of the baseline airfoil, indicating that the flap is better able to suppress the effects induced by gust fluctuations, achieving more stable energy capture amidst these variations.
It can be observed that the adaptive flap primarily exerted influence in the azimuth range of 90–180°. Compared to the original airfoil, the flap-equipped airfoil exhibited an overall increase in average torque within this region, achieving a total improvement of 24.52%.
It can be observed that the adaptive flap primarily exerted influence in the azimuth range of 90–180°. Compared to the original airfoil, the flap-equipped airfoil exhibited an overall increase in average torque within this region, achieving a total improvement of 33.96%. To further investigate the reasons for torque improvement of the flap-equipped airfoil within the 90–180° azimuth range, vorticity contour plots of the airfoil from 120° to 180° were generated, as shown in Figure 14.
At θ = 120°, flow separation had already occurred on the original airfoil, while the addition of the adaptive flap significantly reduced the separation region near the trailing edge. At θ = 150°, flow separation on the original airfoil became more pronounced. However, similar to the case at 120°, the adaptive flap continued to reduce the size of the separation region. At θ = 180°, large-scale flow separation and the formation of separation vortices were observed on the original airfoil, whereas the flap-equipped airfoil effectively suppressed vortex formation.
These results indicate that the adaptive flap reduced the separation area and suppressed vortex development, thereby enhancing torque output within this azimuthal range.

5.4. Performance Analysis Under High-Speed Gust Conditions

To evaluate the aerodynamic performance of the optimal scheme under high-speed gust conditions, a comparative analysis was conducted against the original airfoil. Figure 15 presents the average single-blade torque curves for both airfoils.
As shown in Table 8, under high-speed gusts, the flap-equipped airfoil is better able to suppress the effects induced by gust fluctuations, resulting in more stable energy capture amidst these variations. A comparison with Table 8 reveals that the stability improvement is greater under high-speed gusts than under low-speed gust conditions.
As shown in the figure, the adaptive flap primarily influenced the azimuth range of 90–180°, similar to the case under low-speed gusts. The flap-equipped airfoil achieved a 38.95% increase in average single-blade torque compared to the original design, with the improvement under high-speed gust conditions being significantly greater than that observed in low-speed conditions.
To further investigate the flow control mechanism of the flap within its effective azimuthal range, vorticity contours of the airfoil from 120° to 180° were plotted under high-speed gust conditions, as shown in Figure 16. The original airfoil exhibited more severe flow separation under high-speed gusts than in low-speed conditions. At θ = 120°, a large separation region began to develop, accompanied by the gradual formation of separation vortices. At θ = 150°, large-scale vortices were fully formed, and at θ = 180°, the size of the vortices increased further. In contrast, the flap-equipped airfoil demonstrated superior flow control performance. At θ = 120°, it effectively suppressed the development of the separation region and delayed vortex formation. At θ = 150°, the vortex size was significantly reduced, and at θ = 180°, the suppression effect became even more pronounced. These results indicate that under high-speed gust conditions, the adaptive flap substantially enhanced torque output in this azimuthal range by suppressing separation and reducing vortex size.
It is worth noting that the significant performance improvement of the flap-equipped airfoil under high-speed gust conditions can be attributed to distinct flow field characteristics. Compared to the low-speed gust environment, the original airfoil experienced more severe flow separation under high-speed gusts. This provided greater opportunity for the adaptive flap to exert its flow control function, indicate ng that the adaptive flap is more effective and better suited for high-speed gust conditions.

5.5. Wake Analysis of the Optimal Case

Considering that actual operating wind speeds in wind farms often exceeded the rated wind speed, and additionally, the flaps were better suited for high-speed gust environments, this paper focused on analyzing the wind turbine wake conditions under high-speed gust environments, as illustrated in Figure 17 and Figure 18.
Figure 17 presents the wake velocity contours, which revealed significant differences in the wake characteristics of the two wind turbine types. The wake velocity deficit behind the flap-equipped VAWT was lower than that of the baseline VAWT. This directly validated that the flap structure enhanced the wind turbine’s energy capture efficiency. However, the range of wake influence was larger, which was an inherent consequence of the high-efficiency design. Subsequent relevant optimization would be required to mitigate its negative impact.
Figure 18 shows the wake vorticity contours. Compared to the baseline VAWT, the wake vortices of the flap-equipped VAWT were broken down into multiple smaller vortices, which was due to the presence of the flap structure. The presence of the flap expanded the range of wake influence, but it divided the wake vortices into multiple discrete, small-scale vortices, reducing the disturbance intensity of the vorticity on the downstream flow field; the actual impact would thus be reduced.

6. Conclusions

In this study, orthogonal experiments combined with CFD simulations were conducted to investigate the influence of key adaptive flap parameters—namely, PLE, IS, and αmax—on the aerodynamic performance of a VAWT under two different types of gust conditions. Comparative analyses were performed between the optimal configurations and the original airfoil, leading to the following conclusions:
(1)
Based on range analysis, IS was identified as the most influential parameter under high-speed gust conditions. The optimal configuration was achieved with a PLE of 0.4C, an IS of 5 × 10−5 kg·m2, and an αmax of 40°, resulting in a 54.73% improvement in aerodynamic efficiency over the original airfoil. Under low-speed gust conditions, PLE became the dominant factor. The best performance was obtained with a PLE of 0.8C, an IS of 6.12 × 10−5 kg·m2, and an αmax of 20°, yielding a 15.99% improvement.
(2)
For both gust conditions, the azimuthal range of 90–180° was identified as the critical region for aerodynamic enhancement. Within this range, the adaptive flap in the optimal configuration effectively reduced the size of the separation zone and suppressed the formation and development of separation vortices, thereby improving aerodynamic performance.
(3)
A comparison of optimal configurations under different gust conditions revealed that adaptive flaps are more effective in high-speed gust environments. This is attributed to the more severe flow separation experienced by the original airfoil in high-speed gusts, allowing the flap to exert greater control over the flow field.
(4)
For natural wind environments with randomly fluctuating wind speeds, the recommended parameter configuration is a PLE of 0.8C, an IS of 5 × 10−5 kg·m2, and an αmax of 20°, which can enhance the performance of VAWT.

Author Contributions

Conceptualization, Z.R. and W.M.; methodology, Z.R. and W.M.; software, Z.R.; validation, Z.R., Y.P. and H.O.; formal analysis, Z.R.; investigation, Y.P. and H.O.; resources, W.M.; data curation, Z.R.; writing—original draft preparation, Z.R.; writing—review and editing, Z.R., W.M., Y.L., Y.P., H.O. and R.Z.; visualization, Z.R.; supervision, W.M.; project administration, W.M.; funding acquisition, W.M. All authors have read and agreed to the published version of the manuscript.

Funding

This work was supported by the National Key Research and Development Program of China (Grant No. 2024YFA1012501), the National Natural Science Foundation of China (Grant Nos. 52376204 and 52476212), and the Class IV Peak Discipline Construction Project of Shanghai—Energy Science and Technology: Institute for Non-Carbon-Based Energy Conversion and Utilization, Shanghai.

Data Availability Statement

The original contributions presented in the study are included in the article, further inquiries can be directed to the corresponding author.

Conflicts of Interest

Author Yongqing Lai was employed by the company Power China Huadong Engineering Corporation Limited. The remaining authors declare that the research was conducted in the absence of any commercial or financial relationships that could be construed as a potential conflict of interest.

References

  1. International Renewable Energy Agency. World Energy Transitions Outlook 2024: 1.5 °C Pathway; International Renewable Energy Agency: Abu Dhabi, United Arab Emirates, 2024. [Google Scholar]
  2. Lee, J.; Zhao, F. Global Wind Report 2024; Global Wind Energy Council: Abu Dhabi, United Arab Emirates, 2024. [Google Scholar]
  3. Rehman, S.; Rafique, M.M.; Alam, M.M.; Alhems, L.M. Vertical axis wind turbine types, efficiencies, and structural stability—A Review. Wind. Struct. 2019, 29, 15–32. [Google Scholar]
  4. Zhang, Q.; Bashir, M.; Miao, W.; Liu, Q.; Li, C.; Yue, M.; Wang, P. Aerodynamic analysis of a novel pitch control strategy and parameter combination for vertical axis wind turbines. Renew. Energy 2023, 216, 119089. [Google Scholar] [CrossRef]
  5. Shen, Z.; Gong, S.; Zuo, Z.; Chen, Y.; Guo, W. Darrieus vertical-axis wind turbine performance enhancement approach and optimized design: A review. Ocean Eng. 2024, 311, 118965. [Google Scholar] [CrossRef]
  6. Letson, F.; Pryor, S.C.; Barthelmie, R.J.; Hu, W. Observed gust wind speeds in the coterminous United States, and their relationship to local and regional drivers. J. Wind Eng. Ind. Aerodyn. 2018, 173, 199–209. [Google Scholar] [CrossRef]
  7. Wekesa, D.W.; Wang, C.; Wei, Y.; Danao, L.A.M. Analytical and numerical investigation of unsteady wind for enhanced energy capture in a fluctuating free-stream. Energy 2017, 121, 854–864. [Google Scholar] [CrossRef]
  8. McIntosh, S.; Babinsky, H.; Bertenyi, T. Unsteady Power Output of Vertical Axis Wind Turbines Operating within a Fluctuating Free-Stream. In Proceedings of the 46th AIAA Aerospace Sciences Meeting and Exhibit, Reno, NV, USA, 7–10 January 2008. [Google Scholar]
  9. McIntosh, S.; Babinsky, H.; Bertenyi, T. Optimizing the Energy Output of Vertical Axis Wind Turbines for Fluctuating Wind Conditions. In Proceedings of the 45th AIAA Aerospace Sciences Meeting and Exhibit, Reno, NV, USA, 8–11 January 2007. [Google Scholar]
  10. Zhu, H.; Hao, W.; Li, C.; Ding, Q.; Wu, B. A critical study on passive flow control techniques for straight-bladed vertical axis wind turbine. Energy 2018, 165, 12–25. [Google Scholar] [CrossRef]
  11. Chen, S.; Song, C.; Qian, Z.; Wu, A.; Zhu, Y.; Xia, J.; Wang, J.; Yang, Y.; Chen, X.; Yuan, Y.; et al. Improvement of Modified Rotor on Aerodynamic Performance of Hybrid Vertical Axis Wind Turbine. Energies 2025, 18, 3357. [Google Scholar] [CrossRef]
  12. Saemian, M.; Bergadà, J.M. Active flow control actuators on wind turbines; comprehensive review. Ocean Eng. 2025, 339, 121991. [Google Scholar] [CrossRef]
  13. Lahoz Fernández, M.; Nabhani, A.; Saemian, M.; Bergada, J. Wind Turbine Enhancement via Active Flow Control Implementation. Appl. Sci. 2024, 14, 11404. [Google Scholar] [CrossRef]
  14. Tang, H.; Rabault, J.; Kuhnle, A.; Wang, Y.; Wang, T. Robust active flow control over a range of Reynolds numbers using an artificial neural network trained through deep reinforcement learning. Phys. Fluids 2020, 32, 53605. [Google Scholar] [CrossRef]
  15. Satar, M.H.A.; Razak, N.A.; Abdullah, M.S.; Ismal, F. A comprehensive comparison of passive flow controls on the wind turbine blade lift and drag performances: A CFD approach. Eur. J. Mech.—B/Fluids 2024, 108, 119–133. [Google Scholar] [CrossRef]
  16. Akhter, M.Z.; Omar, F.K. Review of Flow-Control Devices for Wind-Turbine Performance Enhancement. Energies 2021, 14, 1268. [Google Scholar] [CrossRef]
  17. Mohamed, O.S.; Ibrahim, A.A.; Etman, A.K.; Abdelfatah, A.A.; Elbaz, A.M.R. Numerical investigation of Darrieus wind turbine with slotted airfoil blades. Energy Convers. Manag. X 2020, 5, 100026. [Google Scholar] [CrossRef]
  18. Bechert, D.W.; Bruse, M.; Hage, W.; Meyer, R. Fluid Mechanics of Biological Surfaces and their Technological Application. Naturwissenschaften 2000, 87, 157–171. [Google Scholar] [CrossRef]
  19. Kernstine, K.; Moore, C.; Cutler, A.; Mittal, R. Initial Characterization of Self-Activated Movable Flaps, “Pop-Up Feathers”. In Proceedings of the 46th AIAA Aerospace Sciences Meeting and Exhibit, Reno, NV, USA, 7–10 January 2008. [Google Scholar]
  20. Arivoli, D.; Singh, I. Self-adaptive flaps on low aspect ratio wings at low Reynolds numbers. Aerosp. Sci. Technol. 2016, 59, 78–93. [Google Scholar] [CrossRef]
  21. Reiswich, A.; Finster, M.; Heinrich, M.; Schwarze, R. Effect of Flexible Flaps on Lift and Drag of Laminar Profile Flow. Energies 2020, 13, 1077. [Google Scholar] [CrossRef]
  22. Johnston, J.; Gopalarathnam, A. Investigation of a bio-inspired lift-enhancing effector on a 2D airfoil. Bioinspiration Biomim. 2012, 7, 036003. [Google Scholar] [CrossRef]
  23. Hafien, C.; Bourehla, A.; Bouzaiane, M. Passive Separation Control on a Symmetric Airfoil via Elastic-Layer. J. Appl. Fluid Mech. 2016, 9, 2569–2580. [Google Scholar] [CrossRef]
  24. Hafien, C.; Mbarek, T.B. Reduced order model for the lift coefficient of an airfoil equipped with extrados and/or trailing edge flexible flaps. Comput. Fluids 2019, 180, 82–95. [Google Scholar] [CrossRef]
  25. Hao, W.; Ding, Q.; Li, C. Optimal performance of adaptive flap on flow separation control. Comput. Fluids 2019, 179, 437–448. [Google Scholar] [CrossRef]
  26. Hao, W.; Bashir, M.; Li, C.; Sun, C. Flow control for high-solidity vertical axis wind turbine based on adaptive flap. Energy Convers. Manag. 2021, 249, 114845. [Google Scholar] [CrossRef]
  27. Li, Q.a.; Maeda, T.; Kamada, Y.; Murata, J.; Kawabata, T.; Shimizu, K.; Ogasawara, T.; Nakai, A.; Kasuya, T. Wind tunnel and numerical study of a straight-bladed vertical axis wind turbine in three-dimensional analysis (Part I: For predicting aerodynamic loads and performance). Energy 2016, 106, 443–452. [Google Scholar] [CrossRef]
  28. Quan, H.; Guo, Y.; Li, R.; Su, Q.; Chai, Y. Optimization design and experimental study of vortex pump based on orthogonal test. Sci. Prog. 2020, 103, 36850419881883. [Google Scholar] [CrossRef]
  29. Daróczy, L.; Janiga, G.; Petrasch, K.; Webner, M.; Thévenin, D. Comparative analysis of turbulence models for the aerodynamic simulation of H-Darrieus rotors. Energy 2015, 90, 680–690. [Google Scholar] [CrossRef]
  30. Weipao, M. Study of Fluid Structure Interaction Response of Wind Turbine in Typhoon Environments and Wind Resistance of Adaptive Blade. Ph.D. Thesis, University of Shanghai for Science & Technology, Shanghai, China, 2019. [Google Scholar]
  31. Menter, F.R. Zonal two equation kw turbulence models for aerodynamic flows. In Proceedings of the 23rd Fluid Dynamics, Plasmadynamics, and Lasers Conference, Orlando, FL, USA, 6–9 July 1993. [Google Scholar]
  32. Miao, W.; Liu, Q.; Xu, Z.; Yue, M.; Li, C.; Zhang, W. A comprehensive analysis of blade tip for vertical axis wind turbine: Aerodynamics and the tip loss effect. Energy Convers. Manag. 2022, 253, 115140. [Google Scholar] [CrossRef]
Figure 1. Geometry parameters of VAWT.
Figure 1. Geometry parameters of VAWT.
Energies 18 04333 g001
Figure 2. Bionic flap adaptive flow control principle.
Figure 2. Bionic flap adaptive flow control principle.
Energies 18 04333 g002
Figure 3. Airfoil adaptive flaps geometry.
Figure 3. Airfoil adaptive flaps geometry.
Energies 18 04333 g003
Figure 4. Mesh and boundary conditions of the fluid region. (a) Full computational domain mesh and boundary conditions; (b) rotating domain and refined mesh region; (c) airfoil surface mesh and refinement zone.
Figure 4. Mesh and boundary conditions of the fluid region. (a) Full computational domain mesh and boundary conditions; (b) rotating domain and refined mesh region; (c) airfoil surface mesh and refinement zone.
Energies 18 04333 g004
Figure 5. Variation in dimensionless wall distance (y+).
Figure 5. Variation in dimensionless wall distance (y+).
Energies 18 04333 g005
Figure 6. Adaptive shrapnel motion flow chart.
Figure 6. Adaptive shrapnel motion flow chart.
Energies 18 04333 g006
Figure 7. Random gust curve.
Figure 7. Random gust curve.
Energies 18 04333 g007
Figure 8. Global optimization process.
Figure 8. Global optimization process.
Energies 18 04333 g008
Figure 9. Torque coefficients of different time steps [27].
Figure 9. Torque coefficients of different time steps [27].
Energies 18 04333 g009
Figure 10. Pressure coefficient distribution of λ = 2.29 [27].
Figure 10. Pressure coefficient distribution of λ = 2.29 [27].
Energies 18 04333 g010
Figure 11. Relation between each factor and indicator.
Figure 11. Relation between each factor and indicator.
Energies 18 04333 g011
Figure 12. Iterative convergence process of the SHERPA algorithm.
Figure 12. Iterative convergence process of the SHERPA algorithm.
Energies 18 04333 g012
Figure 13. Airfoil single-blade average torque curve at low-gust wind.
Figure 13. Airfoil single-blade average torque curve at low-gust wind.
Energies 18 04333 g013
Figure 14. Vorticity contours of the airfoil at various azimuth angles under low-speed gust conditions.
Figure 14. Vorticity contours of the airfoil at various azimuth angles under low-speed gust conditions.
Energies 18 04333 g014
Figure 15. Average single-blade torque curves of the airfoil under high-speed gust conditions.
Figure 15. Average single-blade torque curves of the airfoil under high-speed gust conditions.
Energies 18 04333 g015
Figure 16. Vorticity contours of the airfoil at various azimuth angles under high-speed gust conditions.
Figure 16. Vorticity contours of the airfoil at various azimuth angles under high-speed gust conditions.
Energies 18 04333 g016
Figure 17. Wake velocity contour.
Figure 17. Wake velocity contour.
Energies 18 04333 g017
Figure 18. Wake vortex contour.
Figure 18. Wake vortex contour.
Energies 18 04333 g018
Table 1. Geometry and operation parameters of VAWT.
Table 1. Geometry and operation parameters of VAWT.
ParameterValue
AirfoilNACA 0015
Blade chord length C (m)0.225
Fixed pitch angle β (°)
Rotor diameter D (m)1.7
Tower diameter DT (m)0.225
Blade height H (m)1.02
Inflow wind speed V (m/s)7
Table 2. Orthogonal experimental design factors and levels.
Table 2. Orthogonal experimental design factors and levels.
LevelA: Chordwise Position/mmB: Moment of Inertia/kg·m2C: Maximum Deflection Angle/°
Level 10.4C1 × 10−520°
Level 20.6C5 × 10−530°
Level 30.8C9 × 10−540°
Table 3. The verification of mesh independence.
Table 3. The verification of mesh independence.
Mesh SchemeNumber of MeshCpRelative Error vs. Mesh 4
1242,5840.4352.473%
2286,3250.4440.414%
3321,5850.4450.136%
4368,5450.446-
Table 4. Orthogonal design of experiments results.
Table 4. Orthogonal design of experiments results.
Scheme Factor Low-Speed   Gust   C e ¯ High-Speed   Gust   C e ¯
ABC
Baseline---0.2050.239
10.4C1 × 10−520°0.0440.298
20.4C5 × 10−540°0.0120.369
30.4C9 × 10−530°0.0600.349
40.6C1 × 10−540°0.0190.332
50.6C5 × 10−530°0.0790.325
60.6C9 × 10−520°0.0750.326
70.8C1 × 10−530°0.1660.324
80.8C5 × 10−520°0.2370.348
90.8C9 × 10−540°0.1560.339
Table 5. Average value and extreme difference in each indicator.
Table 5. Average value and extreme difference in each indicator.
Factor Low-Speed   Gust   C e ¯ High-Speed   Gust   C e ¯
ABCABC
Mean 10.0390.0760.1190.3390.3180.324
Mean 20.0570.1090.1020.3280.3470.332
Mean 30.1860.0970.0620.3370.3380.346
Range R0.1470.0330.0570.0110.0290.023
Table 6. Design variable settings.
Table 6. Design variable settings.
Design VariableMinimumMaximumSample Points
Is2.5 × 10−5 kg·m27.5 × 10−5 kg·m250
Table 7. Comparison of the average Ce-variance of different types of blades in low gust.
Table 7. Comparison of the average Ce-variance of different types of blades in low gust.
Airfoil TypeVarianceRelative Rate of Change
Original0.01326-
Flap0.0093629.41%
Table 8. Comparison of the average Ce-variance of different types of blades in high gust.
Table 8. Comparison of the average Ce-variance of different types of blades in high gust.
Airfoil TypeVarianceRelative Rate of Change
Original0.01484-
Flap0.0084143.32%
Disclaimer/Publisher’s Note: The statements, opinions and data contained in all publications are solely those of the individual author(s) and contributor(s) and not of MDPI and/or the editor(s). MDPI and/or the editor(s) disclaim responsibility for any injury to people or property resulting from any ideas, methods, instructions or products referred to in the content.

Share and Cite

MDPI and ACS Style

Ran, Z.; Miao, W.; Lai, Y.; Pan, Y.; Ou, H.; Zhang, R. Parameter Optimization Design of Adaptive Flaps for Vertical Axis Wind Turbines. Energies 2025, 18, 4333. https://doi.org/10.3390/en18164333

AMA Style

Ran Z, Miao W, Lai Y, Pan Y, Ou H, Zhang R. Parameter Optimization Design of Adaptive Flaps for Vertical Axis Wind Turbines. Energies. 2025; 18(16):4333. https://doi.org/10.3390/en18164333

Chicago/Turabian Style

Ran, Zhenxu, Weipao Miao, Yongqing Lai, Yurun Pan, Huahao Ou, and Ruize Zhang. 2025. "Parameter Optimization Design of Adaptive Flaps for Vertical Axis Wind Turbines" Energies 18, no. 16: 4333. https://doi.org/10.3390/en18164333

APA Style

Ran, Z., Miao, W., Lai, Y., Pan, Y., Ou, H., & Zhang, R. (2025). Parameter Optimization Design of Adaptive Flaps for Vertical Axis Wind Turbines. Energies, 18(16), 4333. https://doi.org/10.3390/en18164333

Note that from the first issue of 2016, this journal uses article numbers instead of page numbers. See further details here.

Article Metrics

Back to TopTop