Study on Heat Transfer of Fluid in a Porous Media by VOF Method with Fractal Reconstruction
Abstract
1. Introduction
2. Mathematical Model
2.1. Problem Statement
2.2. VOF Method with Fractal Reconstruction
2.2.1. W–M Function
2.2.2. Fractal Reconstruction
2.3. Governing Equations and Boundary Conditions
2.3.1. Governing Equations in the External Fluid Region
2.3.2. Governing Equations in the Internal Fluid Region
2.3.3. Liquid–Gas Interface Matching Conditions
2.3.4. The Governing Equations of the Flow Field in the Whole Area
3. Numerical Methods
3.1. Heat and Mass Transfer Performance
3.2. Computing Procedure
3.3. Grid Independency and Validation
4. Results and Discussion
4.1. Combined Effects of Fractal Dimension and Evaporation Coefficient
4.2. Combined Effects of the Marangoni Number and Thermal Rayleigh Number
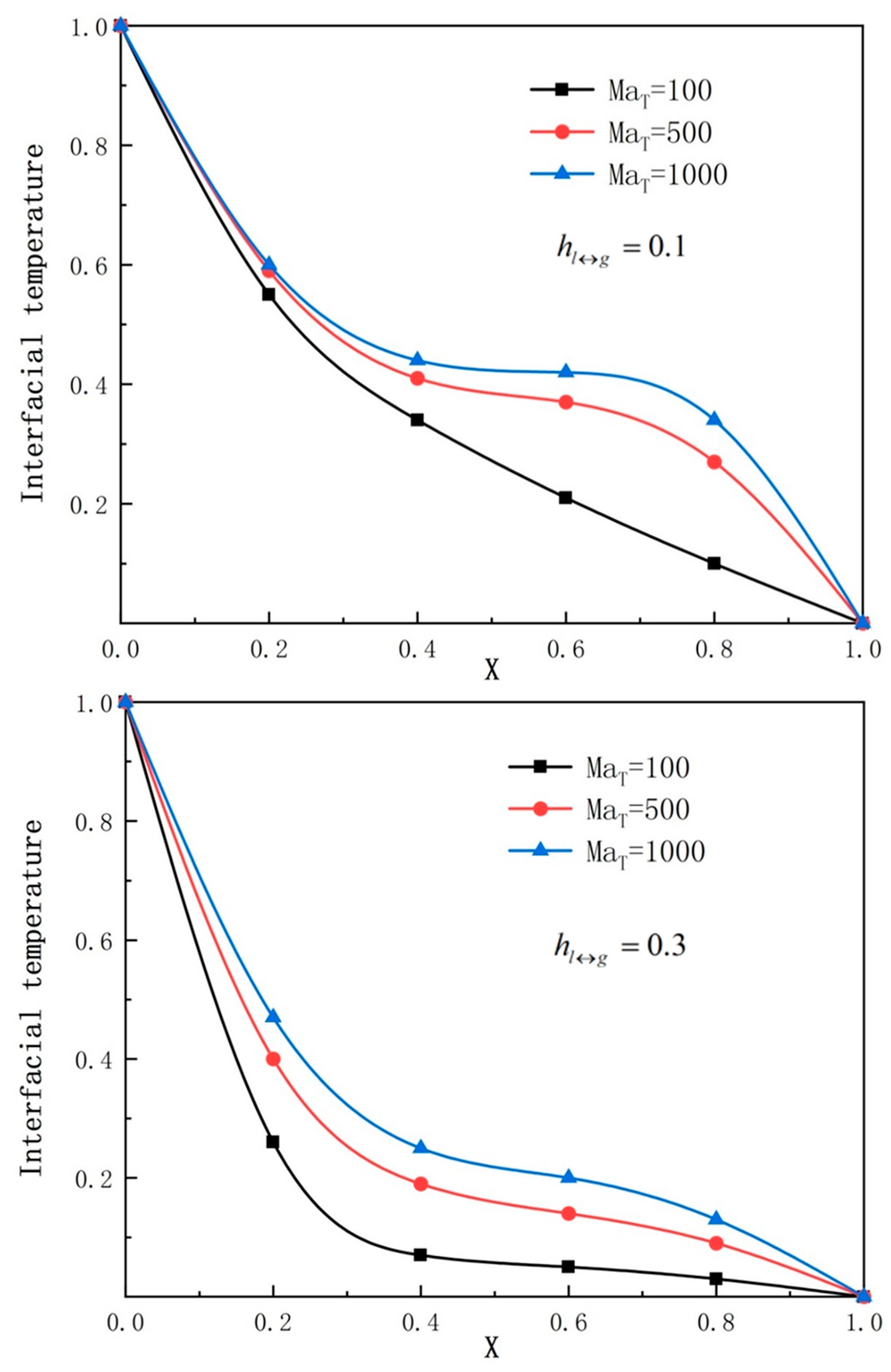
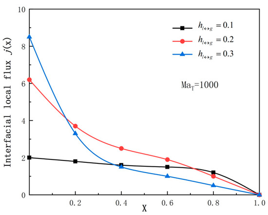
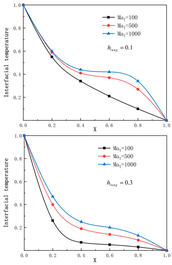
4.3. Combined Effects of the Marangoni Number and Evaporation Biot Number
5. Conclusions
Author Contributions
Funding
Data Availability Statement
Acknowledgments
Conflicts of Interest
Nomenclature
| concentration | heat capacity of porous medium | ||
| effective mass diffusivity | porosity of the porous media | ||
| gravitational acceleration | dimensionless dynamic viscosity | ||
| solutal coefficients of surface tension | thermal coefficients of surface tension | ||
| local Nusselt number | dimensionless temperature | ||
| dimensionless pressure | Prandtl number | ||
| vertical unit vector | porous Rayleigh number | ||
| temperature | density | ||
| pressure | thermal diffusion coefficient | ||
| velocity vector | heat capacity ratio | ||
| velocity in x direction | Darcy number | ||
| dimensionless velocity in X direction | x-coordinate | ||
| velocity in y direction | time | ||
| velocity in z direction | permeability | ||
| thermal diffusivity | Marangoni number |
References
- Qin, T.R.; Grigoriev, R.O. A numerical study of buoyancy-Marangoni convection of volatile binary fluids in confined geometries. Int. J. Heat Mass Transf. 2018, 127, 308–320. [Google Scholar] [CrossRef]
- Qin, T.R.; Tukovic, Z.; Grigoriev, R.O. Buoyancy-thermocapillary convection of volatile fluids under atmospheric conditions. Int. J. Heat Mass Transf. 2014, 75, 284–301. [Google Scholar] [CrossRef]
- Zhang, L.; Li, Y.R.; Wu, C.M. Effect of Surface Evaporation on Steady Thermocapillary Convection in an Annular Pool, Microgravity. Sci. Technol. 2016, 28, 499–509. [Google Scholar]
- Zhu, Z.Q.; Liu, Q.S. Experimental investigation of thermocapillary convection in a liquid layer with evaporating interface. Chin. Phys. Lett. 2008, 5, 4046–4049. [Google Scholar] [CrossRef]
- Zhang, Q.; Wu, X.Y.; Meng, Q.B.; Cai, J.C. Fractal models for gas-water transport in shale porous media considering wetting characteristics. Fractals 2020, 28, 2050138. [Google Scholar] [CrossRef]
- Song, W.H.; Yao, J.; Li, Y.; Sun, H.; Wang, D.Y.; Yan, X. Gas-water relative permeabilities fractal model in dual-wettability multiscale shale porous media during injected water spontaneous imbibition and flow back process. Fractals 2020, 28, 2050103. [Google Scholar] [CrossRef]
- Wang, R.; Dion, S.A. Effect of meniscus curvature on phase-change performance during capillary-enhanced filmwise condensation in porous media. Front. Therm. Eng. 2023, 3, 1131363. [Google Scholar] [CrossRef]
- Lacroix, M.; Nguyen, P.; Schweich, D.; Huu, C.P.; Savin-Poncet, S.; Edouard, D. Pressure drop measurements and modeling on SiC foams. Chem. Eng. Sci. 2007, 62, 3259–3267. [Google Scholar] [CrossRef]
- Dietrich, B.; Schabel, W.; Kind, M.; Martin, H. Pressure drop measurements of ceramic sponges-Determining the hydraulic diameter. Chem. Eng. Sci. 2009, 64, 3633–3640. [Google Scholar] [CrossRef]
- Jafarizadeh, A.; Ahmadzadeh, M.; Mahmoudzadeh, S.; Panjepour, M. A New Approach for Predicting the Pressure Drop in Various Types of Metal Foams Using a Combination of CFD and Machine Learning Regression Models. Transp. Porous Media 2023, 147, 59–91. [Google Scholar] [CrossRef]
- Inayat, A.; Schwerdtfeger, J.; Freund, H.; Körner, C.; Singer, R.F.; Schwieger, W. Periodic open-cell foams: Pressure drop measurements and modeling of an ideal tetrakaidecahedra packing. Chem. Eng. Sci. 2011, 66, 2758–2763. [Google Scholar] [CrossRef]
- Minkowycz, W.J.; Sparrow, E.M. Condensation Heat Transfer in the Presence of Noncondensables, Interfacial Resistance, Superheating, Variable Properties, and Diffusion. Int. J. Heat Mass Transf. 1966, 9, 1125–1144. [Google Scholar] [CrossRef]
- Siow, E.C.; Ormiston, S.J.; Soliman, H.M. Fully Coupled Solution of a Two-Phase Model for Laminar Film Condensation of Vapor–Gas Mixtures in Horizontal Channels. Int. J. Heat Mass Transf. 2002, 45, 3689–3702. [Google Scholar] [CrossRef]
- Ali, H.M.; Qasim, M.Z.; Ali, M. Free Convection Condensation Heat Transfer of Steam on Horizontal Square Wire Wrapped Tubes. Int. J. Heat Mass Transf. 2016, 98, 350–358. [Google Scholar] [CrossRef]
- Yu, B.M.; Cheng, P. A fractal permeability model for bi-dispersed porous media. Int. J. Heat Mass Transf. 2002, 45, 2983–2993. [Google Scholar] [CrossRef]
- Mandelbrot, B.B. The Fractal Geometry of Nature; Freeman: San Francisco, CA, USA, 1982. [Google Scholar]
- Zhang, Q.; Chen, X.Q.; Huang, Y.Y.; Chen, Y. Fractal modeling of fluidic leakage through metal sealing surfaces. AIP Adv. 2018, 8, 045310. [Google Scholar] [CrossRef]
- Zou, M.Q.; Yu, B.M.; Fu, Y.J.; Xu, P. A Monte Carlo method for simulating fractal surfaces. Physica A 2007, 386, 176–186. [Google Scholar] [CrossRef]
- Zhu, Q.Y.; Yang, W.B.; Wang, G.H.; Yu, H.Z. A study on capillary actions of power-law fluids in porous fibrous materials via W-M function. Int. J. Heat Mass Transfer. 2019, 129, 255–264. [Google Scholar] [CrossRef]
- Abu-Nada, E. Application of nanofluids for heat transfer enhancement of separated flows encountered in a backward facing step. Int. J. Heat Fluid Flow 2008, 29, 242–249. [Google Scholar] [CrossRef]
- Zhu, Q.Y.; Yang, W.B.; Yu, H.Z. Study on the permeability of red sandstone via image enhancement. Fractals 2017, 25, 1750055. [Google Scholar] [CrossRef]
- Zhao, W.D.; Xu, Z.J.; Zhao, J.; Zhao, F.; Han, X.Z. Variational infrared image enhancement based on adaptive dual-threshold gradient field equalization. Infrared Phys. Technol. 2014, 66, 152–159. [Google Scholar] [CrossRef]
- Li, J.; Du, Q.; Sun, C.X. An improved boxcounting method for image fractal dimension estimation. Pattern Recognit. 2009, 42, 2460–2469. [Google Scholar] [CrossRef]
- Zhuang, Y.J.; Zhu, Q.Y. Numerical study on combined buoyancy–Marangoni convection heat and mass transfer of power-law nanofluids in a cubic cavity filled with a heterogeneous porous medium. Int. J. Heat Fluid Flow. 2018, 71, 39–54. [Google Scholar] [CrossRef]
- Liu, S.; Zhu, Q.Y. A Study on Heat and Mass Transfer of Power-Law Nanofluids. In A Fractal Porous Medium with Complex Evaporating Surface. Fractals 2021, 7, 2150211. [Google Scholar] [CrossRef]













| Grid Density (X × Y × Z) | Average Nusselt Number (Nu) | Relative Error Compared to Finest Grid (%) |
|---|---|---|
| 40 × 40 × 40 (coarse) | 3.12 | 5.8 |
| 80 × 80× 80 (medium) | 3.28 | 1.2 |
| 120 × 120 × 120 (fine) | 3.32 | - |
Disclaimer/Publisher’s Note: The statements, opinions and data contained in all publications are solely those of the individual author(s) and contributor(s) and not of MDPI and/or the editor(s). MDPI and/or the editor(s) disclaim responsibility for any injury to people or property resulting from any ideas, methods, instructions or products referred to in the content. |
© 2025 by the authors. Licensee MDPI, Basel, Switzerland. This article is an open access article distributed under the terms and conditions of the Creative Commons Attribution (CC BY) license (https://creativecommons.org/licenses/by/4.0/).
Share and Cite
Liu, S.; Zhu, Q.; Xu, W. Study on Heat Transfer of Fluid in a Porous Media by VOF Method with Fractal Reconstruction. Energies 2025, 18, 3935. https://doi.org/10.3390/en18153935
Liu S, Zhu Q, Xu W. Study on Heat Transfer of Fluid in a Porous Media by VOF Method with Fractal Reconstruction. Energies. 2025; 18(15):3935. https://doi.org/10.3390/en18153935
Chicago/Turabian StyleLiu, Shuai, Qingyong Zhu, and Wenjun Xu. 2025. "Study on Heat Transfer of Fluid in a Porous Media by VOF Method with Fractal Reconstruction" Energies 18, no. 15: 3935. https://doi.org/10.3390/en18153935
APA StyleLiu, S., Zhu, Q., & Xu, W. (2025). Study on Heat Transfer of Fluid in a Porous Media by VOF Method with Fractal Reconstruction. Energies, 18(15), 3935. https://doi.org/10.3390/en18153935

