Next Article in Journal
Key Factors, Degradation Mechanisms, and Optimization Strategies for SCO2 Heat Transfer in Microchannels: A Review
Previous Article in Journal
Soot Mass Concentration Prediction at the GPF Inlet of GDI Engine Based on Machine Learning Methods
 
 
Font Type:
Arial Georgia Verdana
Font Size:
Aa Aa Aa
Line Spacing:
Column Width:
Background:
Article

A Computational Thermo-Fluid Dynamics Simulation of Slot Jet Impingement Using a Generalized Two-Equation Turbulence Model

by
Antonio Mezzacapo
*,
Rossella D’Addio
and
Giuliano De Stefano
Engineering Department, University of Campania Luigi Vanvitelli, Via Roma 29, 81031 Aversa, Italy
*
Author to whom correspondence should be addressed.
Energies 2025, 18(14), 3862; https://doi.org/10.3390/en18143862
Submission received: 30 May 2025 / Revised: 12 July 2025 / Accepted: 18 July 2025 / Published: 20 July 2025
(This article belongs to the Special Issue Computational Fluids Dynamics in Energy Conversion and Heat Transfer)

Abstract

In this study, a computational thermo-fluid dynamics simulation of a wide-slot jet impingement heating process is performed. The present configuration consists of a turbulent incompressible air jet impinging orthogonally on an isothermal cold plate at a Reynolds number of around 11,000. The two-dimensional mean turbulent flow field is numerically predicted by solving Reynolds-averaged Navier–Stokes (RANS) equations, where the two-equation eddy viscosity k- ω model is utilized for turbulence closure. As the commonly used shear stress transport variant overpredicts heat transfer at the plate due to excessive turbulent diffusion, the recently developed generalized k- ω (GEKO) model is considered for the present analysis, where the primary model coefficients are suitably tuned. Through a comparative analysis of the various solutions against one another, in addition to reference experimental and numerical data, the effectiveness of the generalized procedure in predicting both the jet flow characteristics and the heat transfer at the plate is thoroughly evaluated, while determining the optimal set of model parameters. By improving accuracy within the RANS framework, the importance of model adaptability and parameter tuning for this specific fluid engineering application is demonstrated. This study offers valuable insights for improving predictive capability in turbulent jet simulations with broad engineering implications, particularly for industrial heating or cooling systems relying on wide-slot jet impingement.

1. Introduction

Jet impingement heating and cooling represent some of the most effective techniques for achieving high local heat transfer rates, with broad applications across numerous industrial sectors, e.g., [1]. These include the cooling of electronic equipment, thermal management of turbine blades, temperature control during manufacturing processes such as thermal spraying, and cooling systems for space launch platforms and vertical or short takeoff and landing (V/STOL) aircraft [2]. The underlying mechanism involves a high-velocity jet of fluid impacting a solid surface, disrupting the thermal boundary layer and thereby significantly enhancing heat transfer, compared to conventional convection methods [3]. Among the various jet configurations, slot jets, especially wide-slot jets, have garnered increasing attention. Unlike circular jets, which produce axisymmetric flow fields and localized high heat transfer at the stagnation point, wide-slot jets generate a quasi-two-dimensional flow, which leads to a broader stagnation region and a more uniform heat transfer distribution over the impingement area [4]. The ability to maintain relatively high Nusselt numbers over extended surfaces makes wide-slot jets particularly attractive for engineering applications requiring uniform heating or cooling, such as continuous processing of metal sheets in galvanizing lines [5], soft abrasive flow finishing [6], and extrusion-based additive manufacturing [7,8].
The key parameters governing the performance of jet impingement systems are represented by the nozzle-to-plate distance, the flow Reynolds number, the inlet turbulence intensity, and the nozzle exit conditions. For wide-slot jets, the aspect ratio (length-to-width) also plays a crucial role in determining the extent of two-dimensionality in the flow field. Previous research shows that with increasing aspect ratio, the side effects become negligible, and the jet behaves more like a truly two-dimensional impinging flow, with smoother gradients in both velocity and temperature profiles across the width. Experimental studies have highlighted the complexity inherent in jet impingement flows. According to classical interpretation, e.g., [9], the flow field can be divided into four distinct regions: the potential core, the developing shear layer, the stagnation zone, and the wall jet region. Each of these regions presents unique challenges for accurate modeling and measurement. In particular, the interaction between the decaying jet and the stagnation point results in complex vortex dynamics and strong turbulence intensities, influencing both local and global heat transfer characteristics. For instance, the experimental study by Gardon and Akfirat [10] emphasized the importance of turbulence in determining the heat transfer characteristics of impinging jets. Their pioneering work provided correlations between local Nusselt number, Reynolds number, and nozzle-to-plate spacing, forming a basis for the validation of modern numerical models.
The experimental reproduction of wide-slot jet flows remains quite challenging. Practical difficulties include maintaining a uniform velocity profile at the nozzle exit, minimizing side entrainment effects, and accurately capturing turbulence statistics in the near-wall regions. As a result, computational fluid dynamics (CFD) has emerged as an alternative powerful tool for investigating the thermo-fluid dynamics of slot jet impingement, e.g., [11]. CFD simulations are usually based on Reynolds-averaged Navier–Stokes (RANS) equations, enabling the detailed analysis of the mean turbulent flow and thermal fields, without the need for costly and complex experimental setups. However, the reliability of CFD predictions heavily depends on the choice of the closure turbulence model, e.g., [12]. Recent studies that have further refined the understanding of turbulence effects pointed out that standard models often overpredict the turbulent kinetic energy near the stagnation zone, unless production limiters or additional corrections are applied [13]. In fact, traditional RANS models such as the realizable k- ε and shear stress transport (SST) k- ω models are commonly employed due to their robustness and computational efficiency [14]. For instance, recent numerical investigations have successfully applied RANS-based approaches to complex flow scenarios, including the simulation of turbulent supersonic impinging jets [15] and confined slot jets operating with nanofluids [16]. However, great challenges persist, particularly in accurately capturing heat transfer at the stagnation point and the complex flow separation phenomena observed in impinging jet configurations [13].
In order to address certain constraints associated with the classical steady RANS methodology, a novel generalized turbulence modeling technique was recently presented in [17]. The newly introduced procedure represents a reconfiguration of the widely recognized k- ω two-equation eddy viscosity model, which is known as the generalized k- ω (GEKO) model. The suggested formulation utilizes adjustable coefficients that can be modified by the user while maintaining the inherent model calibration for essential flows. Consequently, the turbulence closure procedure can be fine-tuned for specific engineering applications within a secure parameter space.
In this context, the present study aims to investigate the performance of the generalized model to predict the thermo-fluid dynamics characteristics of a turbulent wide-slot jet impinging on an isothermal flat plate. Thus, an emphasis is placed on examining the predictive capabilities of different RANS-based simulations, considering factors such as nozzle-to-plate distance, Reynolds number, and turbulence production corrections. Unlike conventional models with fixed parameters, the present tunable coefficients allow for targeted adaptation to specific flow conditions, improving the reliability of numerical predictions for the current configuration. In fact, by calibrating the GEKO model against experimental data, this study demonstrates a significant improvement in the simulation of turbulent wide-slot jet impingement, paving the way for more efficient design of thermal management systems in fluid engineering applications.
The remainder of this paper is organized as follows. In Section 2, the physical–mathematical model is briefly introduced. The proposed computational model for jet flow simulations is presented in Section 3, including the main numerical settings. The results of calibration of the generalized model coefficients are presented in Section 4, for both heat transfer and velocity field predictions. Finally, the concluding remarks are summarized in Section 5.

2. Turbulence Closure

The main objective of this study is to assess the thermal and fluid dynamic characteristics of the slot jet impingement using modern turbulence modeling approaches. Specifically, the mean turbulent jet flow is simulated by solving the steady RANS equations supplied with the generalized version of the two-equation k- ω eddy viscosity model [17].

2.1. Mean Flow Equations

Assuming the fluid in question is Newtonian and that there are no extra sources of mass, momentum, or energy, the mathematical framework derived from the incompressible RANS methodology comprises the following three stationary transport equations:
u i x i = 0 ,
ρ u j u i x j = p x i + x j μ u i x j + u j x i ρ u i u j ¯ ,
ρ u j T x j = x j λ c p T x j ρ u j T ¯ ,
where u i , p, and T are the mean velocity components, mean pressure, and mean temperature, respectively. The physical properties of the fluid are assumed constant, with ρ , μ , λ , and c p representing the density, dynamic viscosity, thermal conductivity, and heat capacity, respectively.
The turbulent Reynolds stresses, ρ u i u j ¯ , in the momentum Equation (2), and the turbulent heat transfer flux, ρ u j T ¯ , in the energy Equation (3) represent unclosed terms that require modeling. Following the classical eddy viscosity approach, these terms are approximated as follows:
ρ u i u j ¯ = μ t u i x j + u j x i 2 3 ρ k δ i j ,
ρ u j T ¯ = μ t Pr t T x j ,
where μ t is the turbulent eddy viscosity, and Pr t stands for the turbulent Prandtl number, while δ i j is the Kronecker symbol. According to the k- ω model formulation, the effects of unresolved turbulent fluctuations on mean flow are represented by the turbulent kinetic energy k = u i u i ¯ / 2 and the specific dissipation rate of turbulence ω = ε / k . The modeling procedure involves solving two additional transport equations to obtain the k and ω fields, which are then used to compute the turbulent eddy viscosity. Since its inception, this approach has undergone continuous refinement, becoming one of the most reliable RANS models for flows involving significant flow separation [14,18]. For instance, this two-equation model was recently further developed for adaptive unsteady RANS simulations of external flows [19]. The different variants of the k- ω model are widely adopted in industrial CFD applications due to their good balance between computational efficiency and physical fidelity.
In the present study, the shear stress transport (SST) variant of the k- ω model is adopted as the baseline RANS approach [18]. This version is designed to blend the advantages of the standard k- ω model near the wall and the k- ε model in the free stream. The turbulent eddy viscosity variable is evaluated as follows:
μ t = a 1 ρ k max ( a 1 ω , F 2 S ) ,
where S = 2 S i j S i j 1 / 2 is the magnitude of the strain rate tensor S i j = 1 2 u i x j + u j x i , a 1 is the dimensionless model constant, and F 2 is the dimensionless blending function.
Standard k- ω model formulations generally contain empirical coefficients calibrated against experimental data from canonical flows, such as a turbulent boundary layer over a flat plate, free shear layer, and decaying homogeneous turbulence. These parameters are actually interdependent and must satisfy multiple constraints, which limit the adaptability of basic models to more complex flow scenarios. Practically, RANS models are well-calibrated for attached boundary layers, where they perform reasonably well, while they are much less reliable for jets, mixing layers, impinging flows, and massively separated flows. As no single RANS model performs well across all these regimes, in order to address these limitations, various modified versions have been introduced to better suit specific applications. On the other hand, a more general version of this model has been recently introduced, as described in the next section.

2.2. Generalized Two-Equation Turbulence Model

The GEKO model consists of a two-equation eddy viscosity turbulence model designed to serve as a versatile RANS framework, adaptable to different flow conditions and engineering applications, e.g., [17,20]. Building upon the same foundation as the k- ω SST model, the new generalized formulation introduces six tunable coefficients that allow users to customize the turbulence closure without undermining the core calibration, which remains valid for both boundary layers and free shear flows. Therefore, a key advantage of the GEKO model lies in its user-defined flexibility, allowing model adjustments within a safe and physically consistent parameter space. Importantly, this customization process does not require expert-level knowledge of turbulence modeling, making the approach accessible to a wider range of CFD practitioners. Recent studies have reported successful calibration of model parameters in diverse fluid engineering scenarios.
According to the GEKO methodology, the transport equations for the two turbulence variables k and ω are redefined as follows:
( ρ k ) t + ( ρ k u i ) x i = P k C μ ρ k ω + x i μ + μ t σ k k x i ,
( ρ ω ) t + ( ρ ω u i ) x i = C ω 1 F 1 ω k P k C ω 2 F 2 ρ ω 2 + F 3 2 σ ω ρ ω k x i ω x i + x i μ + μ t σ ω ω x i ,
where standard values may be used for the coefficients C μ , C ω 1 , and C ω 2 , as well as for the turbulent Prandtl numbers, σ k and σ ω [18]. The additional functions F 1 , F 2 , and F 3 incorporate the free model parameters originally introduced in the generalized formulation.
The tunable coefficients considered in this study are summarized in Table 1, where each parameter is listed along with the associated control function, recommended range, and default value. Among these parameters, C sep and C nw are specifically intended for wall-bounded flows, while C mix is correlated with C sep . Notably, given the actual value of C sep , there exists an associated optimal coefficient C mix opt , which restricts any negative impact of C sep on mixing layers. The coefficient C jet allows to adjust spreading rate of jet flows. The coefficient C corner accounts for the flow behavior in corner regions. In this study, the effects of these four coefficients are systematically examined to assess the model’s capability in predicting impinging jet flow. The remaining coefficient C curv that controls the curvature effects is kept at its default value.

3. Computational Model

3.1. Jet Flow Geometry

The present study focuses on the numerical investigation of a turbulent incompressible wide-slot jet impinging perpendicularly on a flat plate. Due to assumptions inherent in the classical turbulence theory, as implemented within the statistical RANS framework, two-dimensional computational models are sufficient for the study of this particular configuration. This simplification was validated in previous studies where no significant differences in the distribution of the Nusselt number were observed between two- and three-dimensional simulations, e.g., [16].
Figure 1 provides a schematic representation of the computational domain along with imposed boundary conditions. The coordinate system is such that x = 0 corresponds to nozzle exit and y = 0 coincides with the nozzle centerline. This way, ( u 1 , u 2 ) ( U , V ) represents the wall-normal (vertical) and wall-parallel (horizontal) velocity components, respectively. The width of the orifice D j is assumed as the natural reference length. In agreement with the reference experimental studies [21,22], the nozzle-to-plate distance is set to either H = 6 D j or H = 8 D j for the present numerical simulations. The plate extends over a breadth as high as B = 50 D j on each side in order to reproduce the experimental set-up [21]. This choice minimizes the influence of the outlet boundary conditions on the heat transfer process mainly occurring at the impingement region, also aligning with high fidelity numerical simulations, e.g., [23]. The computational domain is bounded by an adiabatic wall located at x = 0 , while x = H corresponds to the flat plate of interest. The actual geometrical parameters are summarized in Table 2.

3.2. Jet Flow Parameters

The thermo-fluid dynamics of the jet impingement heating process are characterized by the following dimensionless parameters. The jet flow Reynolds number is defined as follows:
Re j = ρ U j D j μ ,
where U j is the jet centerline mean velocity at the nozzle exit. Treating the evolving fluid as an ideal gas, the jet flow Mach number is defined as follows:
Ma j = U j γ R T j ,
where T j is the inlet (jet) temperature. Unlike our previous study dealing with a turbulent supersonic jet [15], the jet velocity is particularly low here, and the air flow can be assumed to be incompressible. In addition, given the small temperature difference that is imposed, the thermo-physical properties of the working fluid can be considered constant [24]. The heat transfer process is measured by the Nusselt number distribution along the isothermal plate. The local value of this parameter is evaluated as follows:
Nu ( y ) = α D j λ ,
with the heat transfer coefficient being the following:
α ( y ) = q ˙ T j T w ,
where q ˙ ( y ) is the wall heat flux, and T w is the uniform temperature of the (cold) plate. The wall heat transfer can be globally evaluated by means of the following average Nusselt number:
N u ¯ = 1 2 b b b Nu ( y ) d y ,
according to similar works, e.g., [16].

3.3. Boundary Conditions

In this study, the hot jet is directed perpendicularly toward the cold plate, which is maintained at a constant temperature of T w = 338 K , as illustrated in Figure 1. Given the known jet temperature of T j = 373 K, the actual air properties are those reported in Table 3. Moreover, based on the actual inlet conditions summarized in Table 4, the Reynolds and Mach numbers take the values R e j = 11 , 000 and M a j = 0.067 , respectively, corresponding to turbulent incompressible jet flow. The values of the turbulence variables k and ω at the inlet section are calculated by specifying the eddy viscosity ratio and the turbulence intensity. Following similar numerical studies, e.g., [25], a seventh-power mean velocity profile is prescribed at the inlet section ( x = 0 , | y | D j / 2 ) :
U ( y ) = U j 1 2 | y | D j 7 .
The upper boundary of the channel ( x = 0 ) is assumed as a no-slip adiabatic wall, while the lower boundary ( x = H ) is modeled as a no-slip isothermal wall. In addition, the pressure-outlet condition is used on the lateral sides ( | y | = B ), with a backflow temperature of 373 K. The actual pressure-outlet boundary conditions are summarized in Table 5.

3.4. Numerical Solving

The RANS Equations (2) and (3), together with the incompressibility constraint (1), are supplied with the two model Equations (7) and (8). The finite-volume (FV) method is employed to numerically solve these governing equations, applying conservation principles to each control volume, e.g., [26]. Specifically, the CFD software ANSYS Fluent 2022 R2 [27] is used for the present calculations. Table 6 shows the main settings of the selected numerical solver, along with the relevant motivations [13,22,24,28]. The steady-state pressure-based solver for incompressible flow is used, with second-order upwind discretization being applied to both momentum and energy equations. Pressure–velocity coupling is addressed by utilizing the SIMPLE algorithm; gradients are determined using the least squares cell-based method, while diffusion terms are discretized using the second order upwind scheme. The convergence of the computations is monitored by tracking the scaled residuals for each resolved transport equation.
In terms of turbulence closure modeling, the use of the production limiter and the Kato–Launder limiter is considered for both the baseline k- ω SST and GEKO models. The Kato–Launder limiter was proven to significantly improve the prediction of heat transfer, particularly in the stagnation region, resulting in better agreement with the experimental data. Specifically, previous numerical studies such as [13] have shown how using the limiter decreases the Nusselt number by 8–10% for the k- ω SST model, while making local extrema in the Nusselt number distribution more visible and realistic. Therefore, applying production limiters improves both the accuracy and the physical realism of turbulence model predictions. Moreover, the viscous heating option has allowed one to assess its impact on the accuracy and physical realism of the model predictions, particularly in regions with significant shear and viscous dissipation, such as the impingement region [29,30].

3.5. Spatial Meshing and Grid Convergence

The computational domain is discretized by means of non-uniform structured meshes. As illustrated in Figure 2, the spatial resolution increases near the walls, while the FV grid gradually coarsens moving towards the lateral boundaries of the domain. Given the significant impact of near-wall turbulence modeling on heat transfer predictions, near-wall resolution is especially relevant, with dimensionless wall normal extent h + generally assumed as the associated measure to be controlled. In this study, the h + insensitive wall treatment is employed in conjunction with the generalized k- ω turbulence model. This treatment allows the use of meshes with arbitrary h + values, ranging from the viscous sublayer to the logarithmic region of the turbulent boundary layer [31]. This flexibility is especially useful in complex or industrial-scale geometries, where achieving fine near-wall resolution uniformly may be impractical. Practically, the wall-resolved (low Reynolds number) and the wall-function formulations are smoothly merged by means of a suitable blending function, which depends on the local h + value that is actually achieved.
As a preliminary verification step, a grid sensitivity analysis is performed by utilizing four different meshes with increasing resolution. Table 7 shows the different cases, with n x and n y denoting the number of FV cells in the wall-normal and wall-parallel directions, respectively. The corresponding local distributions of h + and Nu are shown in Figure 3. Here and in the following, the dependent variable is reported as a function of the distance from the jet centerline | y | by averaging the values on both sides of the impingement plate. Looking at the left side of this figure, grids I I I and I V show sufficiently high near-wall resolution. On the other hand, examining the Nusselt number profiles, reported on the right side, the differences between the various grids are negligibly small for | y | / D j > 10 . Within the range | y | / D j < 5 , some differences are observed, with the coarsest grid noticeably overestimating the peak value. However, the discrepancies among the curves decrease with the increase in the resolution, which confirms the desired mesh convergence. Also, making a comparison with reference experimental data, grid I V is thus selected for all the following numerical calculations. Notably, the corresponding low h + value (of order one) guarantees a fully resolved near-wall treatment, with no wall-functions being actually used. Importantly, by comparing these preliminary results and the reference experiment in [22], the baseline RANS model results in being unable to predict the physical heat transfer, regardless of the numerical resolution. Although grid convergence is achieved, the present k- ω model notably overpredicts the Nusselt number in the impingement zone, not reproducing the experimental trends with the desired accuracy.

4. Results and Discussion

4.1. Heat-Transfer Prediction

To address the influence of individual parameters of the generalized model on the prediction of the jet impingement heating process, a systematic parametric study is carried out. Specifically, each tunable coefficient is varied independently while maintaining the residual coefficients at their default values, as reported in Table 1. Practically, the effect of each model parameter on the Nusselt number distribution is examined by making a direct comparison with a reference experiment conducted at the same jet flow Reynolds number R e j = 11 , 000 for a nozzle-to-plate distance H / D j = 6 [22]. In fact, the present analysis focuses on the following four coefficients: C sep , C mix , C nw , and C jet , which are known to influence separation sensitivity, turbulent mixing, near-wall damping, and jet spreading, respectively [32]. The local Nusselt number distributions (averaged on both sides of the impingement plate) resulting from this parametric study are presented in the following sections, compared against experimental data [22].

4.1.1. Influence of C sep

The left side of Figure 4 shows the effect of varying the parameter C sep for the range of values reported in Table 1. These results provide additional information on the sensitivity of the turbulence model to the closure parameters. With the increase in C sep , the Nusselt number distribution shows a clear amplification along the plate, indicating enhanced convective heat transfer at the wall and causing greater turbulence and energy exchange across the wall jet. Outside the impingement zone, increasing C sep intensifies the convective heat transfer, particularly enhancing the stagnation peak and leading to increased Nusselt numbers in the outer wall-jet region. According to empirical findings, the optimal value of this parameter should be around C sep = 0.9 , providing acceptable accuracy in also capturing the second Nusselt peak, which is particularly challenging in RANS modeling.

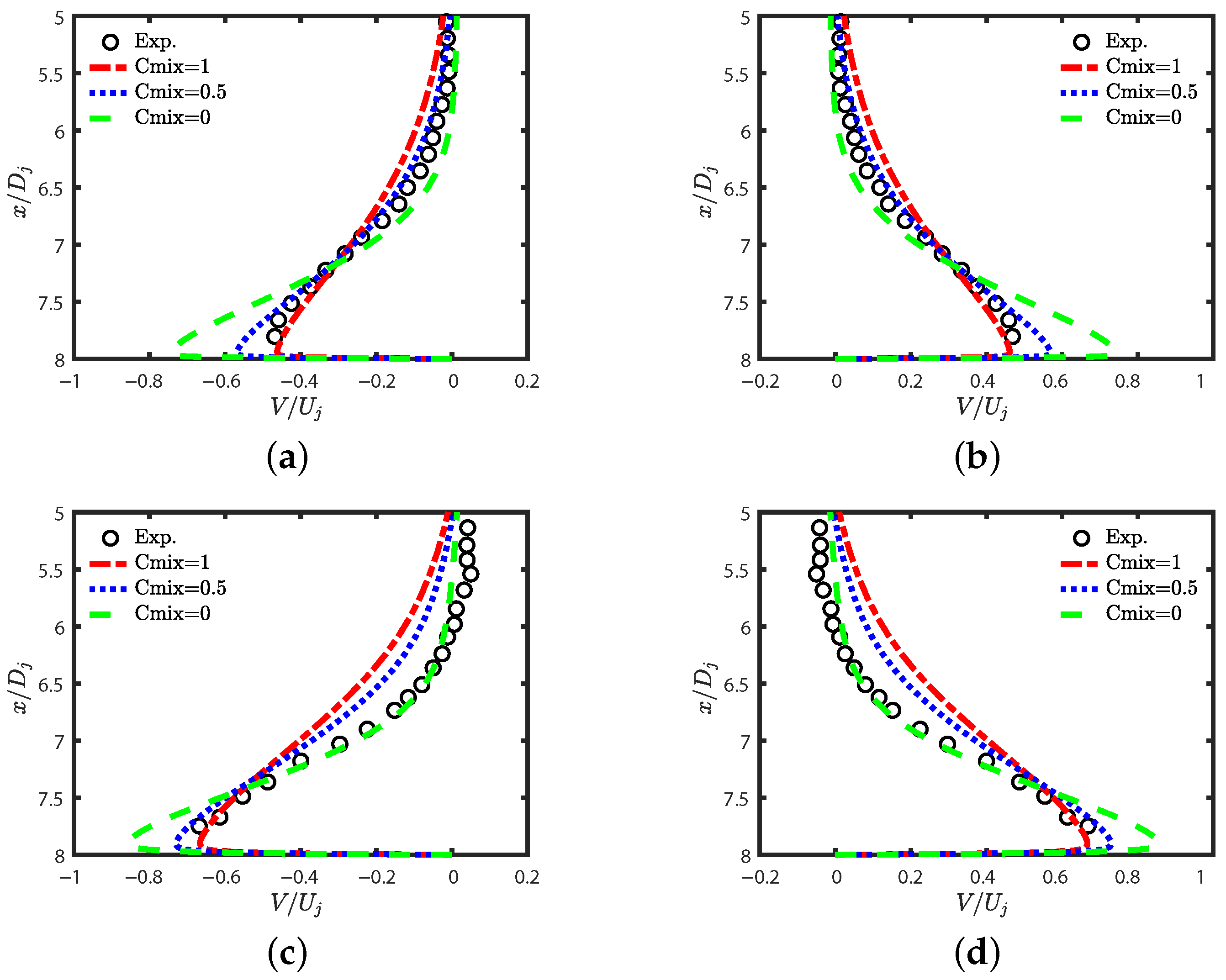
4.1.2. Influence of C mix

The effect on the local Nusselt distribution of varying the coefficient C mix is demonstrated on the right side of Figure 4. Compared with the experimental data [22], the influence of this model parameter is observed primarily in the magnitude of the Nusselt peak. Apparently, increasing C mix leads to a higher Nusselt peak in the stagnation region, while slightly shifting the peak location. The current results are fully consistent with recent findings obtained for a round jet in [32], where C mix was identified as the coefficient responsible for controlling the level of turbulence mixing, particularly affecting the second peak in the heat transfer distribution. In fact, higher C mix values result in augmented turbulence viscosity and kinetic energy throughout the domain, thus intensifying local mixing near the impingement point. Consequently, this parameter plays a critical role in calibrating the turbulence production rate to better match the experimental data, with excessive values leading to overprediction of the heat transfer peak and reduced accuracy further downstream. The best agreement with the experiment near the impingement zone, say ( | y | / D j < 10 ), is obtained using C mix = 0 . Based on the primary interest for this flow region, this value is selected for the present analysis.

4.1.3. Influence of C nw

The effect of varying the near-wall damping coefficient C nw is shown on the left side of Figure 5. Apparently, the variation of this parameter within the recommended range (see Table 1) does not significantly alter the heat transfer characteristics in the near-stagnation region. Marked differences begin to emerge only downstream in correspondence with the second peak, particularly for | y | / D j > 10 , while the boundary layer remains largely unaffected, with only mild variations near the outer edge of the wall jet. Although a previous analysis [32] focused on a circular jet, the present slot jet results reveal a similar trend, supporting the conclusion that the influence of C nw is weak in the near-stagnation region and becomes more pronounced farther downstream. Lower values of C nw provide a slightly decreased heat transfer coefficient, suggesting a modest improvement compared to the experiment. However, as this occurs outside the impingement region, the value C nw = 0.5 is selected based on the following velocity field analysis.

4.1.4. Influence of C jet

The influence of the model coefficient C jet is illustrated on the right side of Figure 5. The increase in C jet from 0 to 1 is observed to lead to better agreement with the experimental data, particularly in the region near stagnation ( | y | / D i < 10 ). The case with C jet = 1 best captures the peak heat transfer near the centerline, whereas lower values tend to underpredict it. This highlights the sensitivity of the model to the C jet parameter and its role in accurately resolving the impingement heat transfer behavior. Based on the overall performance, the optimal value for C j e t = 0.9 is selected.

4.2. Mean Flow Prediction

After evaluating the performance of the GEKO model in predicting heat transfer characteristics and identifying a set of optimal parameters capable of accurately reproducing the Nusselt number distribution, this section investigates the performance of the model in accurately capturing the velocity vector field. In order to compare the velocity profiles obtained by the present CFD approach with the experimental data in [21], a slightly different jet flow configuration is considered, namely at the Reynolds number R e j = 10 , 600 and the nozzle-to-plate distance H / D j = 8 . In this case, the turbulent intensity of 9% is prescribed. Profiles for both velocity vector components are generated by systematically varying four key parameters of the GEKO model, specifically C sep , C mix , C nw , and C jet , to assess the effect of each parameter and identify the best-fit combination to accurately capture the velocity field. Specifically, measurements are presented in the following main characteristic regions of the confined jet: the potential core ( x / D j 1 ), the intermediate region ( x / D j 4 ), and the impingement zone ( x / D j 7 ). As is common in the relevant literature, in the following discussion, the velocity components are normalized by the jet centerline mean velocity U j .

4.2.1. Influence of C sep

The effect on the mean velocity distribution of varying the coefficient C sep is demonstrated in Figure 6 and Figure 7, for vertical and horizontal components, respectively. The influence of the separation control parameter is particularly evident in the near-wall region. Apparently, for high values of C sep , the vertical velocity profiles tend to overpredict the maximum velocity at x / D j = 7 , compared to the experiment. A similar trend is observed for the horizontal velocity profiles, where the near-wall velocity is overestimated. In the final configuration, the best agreement with the experimental data was achieved with C sep = 0.9 , representing a good intermediate value.

4.2.2. Influence of C mix

The influence of the mixing coefficient C mix on the mean velocity distribution is illustrated in Figure 8 and Figure 9, corresponding to vertical and horizontal velocity components, respectively. The results clearly indicate that C mix plays a crucial role in shaping both the velocity distribution within the jet core and the associated spreading rate. Actually, comparisons with the experimental data reveal that the sensitivity to C mix varies across the domain. Specifically, at upstream axial positions ( x / D j = 1 and x / D j = 4 ), simulations with C mix = 0 exhibit the closest agreement with the experimental vertical velocity profiles. However, in the near-wall region, this setting tends to overpredict the peak velocities, suggesting limitations in representing the momentum transport in the flow adjacent to the wall. For the horizontal velocity profiles at transverse locations y / D j = ± 1 , the best agreement is achieved with C mix = 1 , whereas at y / D j = ± 3 , none of the tested values fully capture the experimental trend in the outer region. These observations imply that the optimal value of C mix should be within the range 0 < C mix < 0.5 , potentially offering acceptable accuracy regardless of the region. However, based on the overall performance, a value of C mix = 0 is ultimately chosen for the present analysis, as it yielded the most consistent agreement with the experimental data in both the potential core and the developing shear layer.

4.2.3. Influence of C nw

The effect of varying the coefficient C nw is demonstrated in Figure 10 and Figure 11. For the vertical velocity profiles shown in the former figure, solutions using all tested values of C nw closely follow the experimental data at upstream positions ( x / D j = 1 and x / D j = 4 ), indicating limited sensitivity to the coefficient near the jet exit. However, as the flow progresses downstream ( x / D j = 7 and 7.5 ), the differences between the various cases become more pronounced. Similarly, the horizontal velocity profiles shown in the latter figure reveal that all configurations reproduce the general trends and remain in reasonable agreement with the experimental data at the transverse locations investigated. Closer to the jet centerline ( y / D j = ± 1 ), all values tend to overestimate the velocity magnitude in the near-wall region. Based on its overall performance, the intermediate value C nw = 0.5 is selected.

4.2.4. Influence of C jet

The effect of varying the coefficient C j e t is demonstrated in Figure 12 and Figure 13. Apparently, despite the range of C jet values explored, the predicted profiles remain in close agreement with each other and with the experimental data. This fact supports the finding that the parameter C jet has a negligible impact on the velocity field in slot jet impingement configurations. Across all streamwise positions, both upstream and downstream of the jet exit plane, the predicted horizontal velocity profiles overlap almost perfectly for all values tested of C jet , and remain in strong agreement with the experimental data. This outcome suggests that the influence of the C jet parameter is minor in this context and does not contribute significantly to improving agreement with the experiments. Consequently, tuning C jet for this specific setup appears to offer limited benefit, and the default value can be considered sufficient for practical purposes. Based on the overall performance, a value of C jet = 0.9 appears to be optimal.

4.3. Calibrated Solution

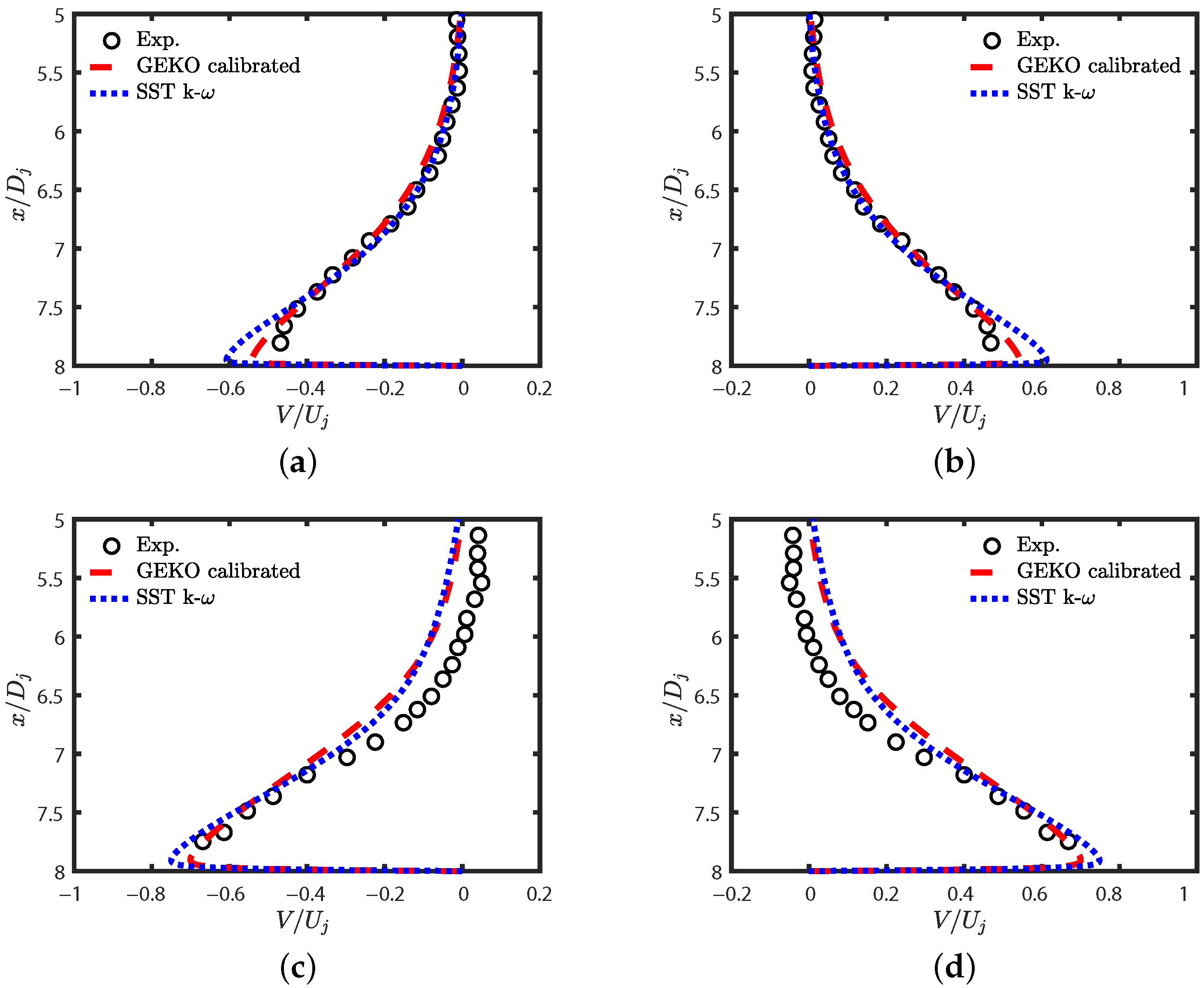
Looking at predictions for both heat transfer and velocity field characteristics, the best fit could be attained using the following optimal set of parameters: C sep = 0.9 , C mix = 0 , and C nw = 0.5 , along with the default value C jet = 0.9 , while keeping the remaining parameters unchanged. The corresponding horizontal and vertical velocity profiles are depicted in Figure 14 and Figure 15, which are in the best agreement with the reference experimental data [21]. Notably, the apparent mismatch in the horizontal velocity profiles near the impingement region cannot be attributed only to the present RANS approximation. In fact, as stated by the experimentalists, specific measurement limitations exist near the impingement surface due to laser sheet blooming, an optical artifact caused by excessive light reflection from the wall, particularly near the stagnation flow region [21]. This effect distorts the image quality close to the surface, leading to biased or unreliable velocity vector data in that area. In addition, the uncertainty analysis indicates the maximum standard error of 2.8% for the mean velocity.
The accuracy of the present solution is confirmed by examining the vertical velocity profile along the jet centerline ( y = 0 ), as reported in Figure 16. Different turbulence closure models are considered, including the baseline model supplied with the gamma algebraic transition model [33]. All models tested, except the calibrated GEKO, overstimate the jet spreading along the centerline, leading to an overestimation of the velocity peak along the impingement wall, when compared against experimental data [21]. This behavior is well documented in previous numerical studies, where the standard k- ω SST model was demonstrated to match experimental centerline velocities only within the range x / D j < 4 , e.g., [25]. Beyond this region, the different models consistently overpredict the jet core velocity and fail to capture the natural spreading of the impinging jet [34]. Therefore, the present case represents a more demanding configuration, where the jet undergoes a longer development in the free shear region. However, tuning the GEKO model allows an improvement in numerical results.
The Nusselt number distribution corresponding to the optimal set of GEKO parameters is depicted in Figure 17, which demonstrates better agreement with the reference experiment [22], compared to the SST k- ω model. Moreover, as far as quantitative evaluation is concerned, Table 8 shows the corresponding average Nusselt number, which is calculated using b = 34 D j in the definition (13). Again, looking at the relative error with respect to the experimental value, the improvement due to the calibrated solution is apparent.
The mean flow topology provided by the optimal GEKO solution is illustrated in Figure 18, showing the dimensionless mean velocity magnitude U 2 + V 2 1 / 2 / U j field. The contour maps are superimposed with streamlines to enhance the visualization of the flow structure and recirculation regions. The left panel illustrates the flow field obtained from the current numerical simulation, characterized by a well-defined potential core, a symmetric intermediate zone, and two distinct recirculation zones (labeled A and B) near the impingement surface. The right panel shows the corresponding experimental PIV measurements provided in [21]. Moreover, Figure 19 shows the contour maps of the normalized vertical (left) and horizontal (right) velocity components, superimposed with streamlines to highlight directional flow features. High vertical velocity is concentrated along the jet core, while lower velocities and symmetric recirculation zones near the wall indicate strong lateral wall jets. Apparently, the numerical simulation captures the key features of the impinging jet flow, including a narrow potential core along the centerline, strong vertical momentum at the stagnation point, and the development of lateral wall jets, accompanied by marked recirculation zones.
Some inconsistencies can be noted in the upper flow region, where the experimental streamlines appear to curve upwards near the jet, a phenomenon not observed in the numerical solution. Indeed, in the present confined jet configuration, there is a challenge with the outlet boundary conditions, where fluid is actually entrained. The increased backflow observed in the experiment can be linked to the specific details of the experimental setup, which the CFD model fails to replicate precisely. Also, one must take into account the intrinsic limitations associated with the PIV measurements, as reported in the reference experimental work by Senter and Solliec [21]. However, the calibrated GEKO solution captures the overall flow pattern accurately, including steady key features like the stagnation point, recirculation zones, and wall jet behavior, thereby improving the RANS prediction of thermal and momentum distributions. Notably, while slightly differing from the experimental ones, the current streamlines are very similar to those achieved by other studies using two-equation eddy viscosity models. For instance, one can see Figure 3 in the numerical work by Solliec and Senter [35], illustrating the same comparison. Finally, the mean flow characteristics observed here align with findings from higher fidelity numerical investigations, e.g., [36].

5. Conclusions

For confined jet flows, the RANS approach is undoubtedly efficient, but often struggles with accurate heat transfer prediction near impingement zones, due to turbulence overprediction. On the other hand, large-eddy simulation methods offer higher accuracy but at a much higher computational cost [37,38]. The present work addresses this trade-off using a generalized k- ω (GEKO) formulation, where the approach of allowing user-defined coefficients is in line with current trends towards more flexible turbulence models [39].
Basically, this study presents a comprehensive numerical assessment of the GEKO model for a wall-bounded turbulent air jet impinging on a cold solid surface. The model performance is thoroughly evaluated against the widely used k- ω SST model and reference experimental data, including Nusselt number distributions and PIV-derived velocity profiles. The model calibration is carried out based on four main model coefficients, namely C mix , C nw , C sep , and C jet , which are responsible for controlling turbulent mixing, near-wall damping, separation sensitivity, and jet flow conditions, respectively. The current results reveal that the coefficient C mix mainly influences the stagnation region. Increasing this parameter reduces heat transfer along the plate and causes the second peak to disappear. An intermediate value of C mix appears to offer a good compromise, balancing heat transfer and effectively capturing the second peak. The coefficient C nw has a marginal effect in the impingement region, although lower values lead to a slight decrease in heat transfer along the plate. In contrast, varying C sep significantly affects both the stagnation peak and the Nusselt number distribution along the plate, indicating its key role in modulating the turbulence generation throughout the wall jet. This parameter has a limited effect on mean flow predictions, where the coefficient C jet shows no impact. Overall, in terms of both heat transfer coefficient and velocity profiles, the calibrated GEKO model demonstrates good agreement with experimental data, by reproducing the average Nusselt number with a relative error of 1%, which represents an improvement over traditional models. However, one should be aware of possible cancellation of errors, where different modeling inaccuracies or simplifications may offset each other, like with any RANS model optimization [40]. Here, the issue is mitigated by the fact that local distributions (and underlying flow structures) are examined, rather than global quantities like the average Nusselt number.
The present findings support the effectiveness of GEKO as a customizable RANS approach for engineering problems involving turbulent jet impingement, which has key industrial implications by enabling optimized thermal management in cooling, heating, drying, and coating processes. For instance, accurate CFD models can improve design efficiency in electronics cooling, turbine blade cooling, paper and textile drying, and chemical processing [41]. Numerical simulations also aid in nozzle arrangement optimization, energy savings, and development of advanced heating/cooling systems. Along this line of research, future work will explore more complex impinging jet configurations, specifically, the cases of moving plate [42,43] and rough surface [44] will be included in the computations.

Author Contributions

Conceptualization, G.D.S.; methodology, A.M. and G.D.S.; validation, A.M. and R.D.; investigation, A.M. and R.D.; resources, G.D.S.; data curation, A.M. and R.D.; writing—original draft preparation, A.M., R.D. and G.D.S.; writing—review and editing, G.D.S.; visualization, A.M. and R.D.; supervision, G.D.S. All authors have read and agreed to the published version of the manuscript.

Funding

The authors acknowledge financial support under the National Recovery and Resilience Plan (NRRP), Mission 4, Component 2, Investment 1.1, Call for tender No. 104 published on 2.2.2022 by the Italian Ministry of University and Research (MUR), funded by the European Union—NextGenerationEU—Project 2022B2X937 Title “Next Generation Space Propulsion Design Techniques”—CUP E53D23003080006—Grant Assignment Decree No. 961 adopted on 30 June 2023 by MUR.

Institutional Review Board Statement

Not applicable.

Informed Consent Statement

Not applicable.

Data Availability Statement

The original contributions presented in the study are included in the article material, as further inquiries can be directed to the corresponding author.

Conflicts of Interest

The authors declare no conflicts of interest.

References

  1. Uddin, N.; Kee, P.T.W.; Weigand, B. Heat transfer by jet impingement: A review of heat transfer correlations and high-fidelity simulations. Appl. Therm. Eng. 2024, 257, 124258. [Google Scholar] [CrossRef]
  2. Jiang, C.; Han, T.; Gao, Z.; Lee, C.H. A review of impinging jets during rocket launching. Prog. Aerosp. Sci. 2019, 109, 100547. [Google Scholar] [CrossRef]
  3. Jambunathan, K.; Lai, E.; Moss, M.A.; Button, B.L. A review of heat transfer data for single circular jet impingement. Int. J. Heat Fluid Flow 1992, 13, 106–115. [Google Scholar] [CrossRef]
  4. Cademartori, S.; Cravero, C.; Marini, M.; Marsano, D. CFD simulation of the slot jet impingement heat transfer process and application to a temperature control system for galvanizing line of metal band. Appl. Sci. 2021, 11, 1149. [Google Scholar] [CrossRef]
  5. Chen, P.; Dai, F.; Pan, L.; Guo, Y.; Ke, J.; Wu, J.; Lei, Y.; Li, Y. Numerical simulation and experimental study of strip steel jet cooling. Appl. Therm. Eng. 2020, 181, 116011. [Google Scholar] [CrossRef]
  6. Tan, Y.; Ni, Y.; Xu, W.; Xie, Y.; Li, L.; Tan, D. Key technologies and development trends of the soft abrasive flow finishing method. J. Zhejiang Univ. Sci. A 2023, 24, 1043–1064. [Google Scholar] [CrossRef]
  7. Ortega-Casanova, J.; Jimenez-Canet, M.; Galindo-Rosales, F.J. Numerical study of the heat and momentum transfer between a flat plate and an impinging jet of power law fluids. Int. J. Heat Mass Transf. 2019, 141, 102–111. [Google Scholar] [CrossRef]
  8. Xu, P.; Li, Q.; Wang, C.; Li, L.; Tan, D.; Wu, H. Interlayer healing mechanism of multipath deposition 3D printing models and interlayer strength regulation method. J. Manuf. Process. 2025, 141, 1031–1047. [Google Scholar] [CrossRef]
  9. Zuckerman, N.; Lior, N. Jet impingement heat transfer: Physics, correlations, and numerical modeling. Adv. Heat Transf. 2006, 39, 565–631. [Google Scholar]
  10. Gardon, R.; Akfirat, J.C. Heat transfer characteristics of impinging two-dimensional air jets. J. Heat Transf. 1966, 88, 101–107. [Google Scholar] [CrossRef]
  11. Ali, D.F.; Ghashim, S.L. Flow and heat transfer characteristics of single slot jet impingement on a metal foam flat plate. Int. J. Heat Technol. 2024, 42, 1297–1308. [Google Scholar] [CrossRef]
  12. Achari, A.M.; Das, M.K. Application of various RANS based models towards predicting turbulent slot jet impingement. Int. J. Therm. Sci. 2015, 98, 332–351. [Google Scholar] [CrossRef]
  13. Gurgul, S.; Fornalik-Wajs, E. On the measure of the heat transfer performance of RANS turbulence models in single round jet impingement. Energies 2023, 16, 7236. [Google Scholar] [CrossRef]
  14. Menter, F.R. Two-equation eddy-viscosity turbulence models for engineering applications. AIAA J. 1994, 32, 1598–1605. [Google Scholar] [CrossRef]
  15. Mezzacapo, A.; De Stefano, G. Computational evaluation of turbulent supersonic jet impinging on inclined plate. Appl. Sci. 2024, 14, 7910. [Google Scholar] [CrossRef]
  16. Buonomo, B.; Manca, O.; Bondareva, N.S.; Sheremet, M.A. Thermal and fluid dynamic behaviors of confined slot jets impinging on an isothermal moving surface with nanofluids. Energies 2019, 12, 2074. [Google Scholar] [CrossRef]
  17. Menter, F.R.; Matyushenko, A.; Lechner, R. Development of a generalized k-ω two-equation turbulence model. Notes Numer. Fluid Mech. Multidiscip. Des. 2020, 142, 101–109. [Google Scholar]
  18. Wilcox, D.C. Formulation of the k-ω turbulence model revisited. AIAA J. 2008, 46, 2823–2838. [Google Scholar] [CrossRef]
  19. De Stefano, G.; Vasilyev, O.V.; Brown-Dymkoski, E. Wavelet-based adaptive unsteady Reynolds-averaged turbulence modelling of external flows. J. Fluid Mech. 2018, 837, 765–787. [Google Scholar] [CrossRef]
  20. Rossano, V.; De Stefano, G. Testing a generalized two-equation turbulence model for computational aerodynamics of a mid-range aircraft. Appl. Sci. 2023, 13, 11243. [Google Scholar] [CrossRef]
  21. Senter, J.; Solliec, C. Flow field analysis of a turbulent slot air jet impinging on a moving flat surface. Int. J. Heat Fluid Flow 2007, 28, 708–719. [Google Scholar] [CrossRef]
  22. Cadek, F.F.A. Fundamental Investigation of Jet Impingement Heat Transfer. Ph.D. Thesis, University of Cincinnati, Cincinnati, OH, USA, 1968. [Google Scholar]
  23. Jaramillo, J.E.; Trias, F.X.; Gorobets, A.; Pérez-Segarra, C.D.; Oliva, A. DNS and RANS modelling of a turbulent plane impinging jet. Int. J. Heat Mass Transf. 2012, 55, 789–801. [Google Scholar] [CrossRef]
  24. Isman, M.K.; Pulat, E.; Etemoglu, A.B.; Can, M. Numerical investigation of turbulent impinging jet cooling of a constant heat flux surface. Numer. Heat Transf. Part A Appl. 2008, 53, 1109–1132. [Google Scholar] [CrossRef]
  25. Barata, B.A.C.; Navalho, J.E.P.; Pereira, J.C.F. Prediction of self-sustained oscillations of an isothermal impinging slot jet. Fluids 2023, 8, 15. [Google Scholar] [CrossRef]
  26. Iannelli, P.; Denaro, F.M.; De Stefano, G. A deconvolution-based fourth-order finite volume method for incompressible flows on non-uniform grids. Int. J. Numer. Meth. Fluids 2003, 43, 431–462. [Google Scholar] [CrossRef]
  27. Fluent Computational Fluid Dynamics Code Version 22 User Guide, Fluent, Inc. Available online: www.ansys.com (accessed on 2 May 2025).
  28. Zhou, T.; Xu, D.; Chen, J.; Cao, C.; Ye, T. Numerical analysis of turbulent round jet impingement heat transfer at high temperature difference. Appl. Therm. Eng. 2016, 100, 55–61. [Google Scholar] [CrossRef]
  29. Petera, K.; Dostál, M. Heat transfer measurements and CFD simulations of an impinging jet. EPJ Web Conf. 2016, 114, 02091. [Google Scholar] [CrossRef]
  30. Huang, H.; Sun, T.; Zhang, G.; Sun, L.; Zong, Z. Modeling and computation of turbulent slot jet impingement heat transfer using RANS method with special emphasis on the developed SST turbulence model. Int. J. Heat Mass Transf. 2018, 126, 589–602. [Google Scholar] [CrossRef]
  31. Kader, B.A. Temperature and concentration profiles in fully turbulent boundary layers. Int. J. Heat Mass Transf. 1981, 24, 1541–1544. [Google Scholar] [CrossRef]
  32. Yüksekdağ, R.; Koçak, D.; Şentürk, U. Prediction of heat transfer for a single round jet impingement using the GEKO turbulence model. Int. J. Heat Fluid Flow 2024, 109, 109538. [Google Scholar] [CrossRef]
  33. Menter, F.R.; Langtry, R.B.; Likki, S.R.; Suzen, Y.B.; Huang, P.G.; Völker, S. A correlation-based transition model using local variables—Part I: Model formulation. J. Turbomach. 2004, 128, 413–422. [Google Scholar] [CrossRef]
  34. Kubacki, S.; Dick, E. Simulation of plane impinging jets with kω based hybrid RANS/LES models. Int. J. Heat Fluid Flow 2010, 31, 862–878. [Google Scholar] [CrossRef]
  35. Solliec, C.; Senter, J. Intensification des transferts thermiques convectifs pariétaux dans le cas d’un jet d’air plan turbulent en impact sur une surface mobile. In Proceedings of the 18e Congrès Français de Mécanique, Grenoble, France, 27–31 August 2007; Available online: https://hal.science/hal-03361754v1 (accessed on 2 May 2025).
  36. Dutta, R.; Dewan, A.; Srinivasan, B. Large eddy simulation of turbulent slot jet impingement heat transfer at small nozzle-to-plate spacing. Heat Transf. Eng. 2016, 37, 1242–1251. [Google Scholar] [CrossRef]
  37. Hadziabdić, M.; Hanjalić, K. Vortical structures and heat transfer in a round impinging jet. J. Fluid Mech. 2008, 596, 221–260. [Google Scholar] [CrossRef]
  38. De Stefano, G. Wavelet-based adaptive large-eddy simulation of supersonic channel flow with different thermal boundary conditions. Phys. Fluids 2023, 35, 035138. [Google Scholar] [CrossRef]
  39. Menter, F.; Hüppe, A.; Matyushenko, A.; Kolmogorov, D. An overview of hybrid RANS–LES models developed for industrial CFD. Appl. Sci. 2021, 11, 2459. [Google Scholar] [CrossRef]
  40. Wilcox, D.C. Turbulence Modeling for CFD, 3rd ed.; DCW Industries, Inc.: La Cañada, CA, USA, 2006. [Google Scholar]
  41. Plant, R.D.; Friedman, J.; Saghir, M.Z. A review of jet impingement cooling. Int. J. Thermofluids 2023, 17, 100312. [Google Scholar] [CrossRef]
  42. Chattopadhyay, H.; Cemal Benim, A. Turbulent heat transfer over a moving surface due to impinging slot jets. J. Heat Transfer 2011, 133, 104502. [Google Scholar] [CrossRef]
  43. Rahimi, M.; Soran, R.A. Slot jet impingement heat transfer for the cases of moving plate and moving nozzle. J. Braz. Soc. Mech. Sci. Eng. 2016, 38, 2651–2659. [Google Scholar] [CrossRef]
  44. Salomone, T.; Piomelli, U.; De Stefano, G. Wall-modeled and hybrid large-eddy simulations of the flow over roughness strips. Fluids 2023, 8, 10. [Google Scholar] [CrossRef]
Figure 1. Schematic of the computational domain with boundary conditions (not to scale).
Figure 1. Schematic of the computational domain with boundary conditions (not to scale).
Energies 18 03862 g001
Figure 2. Sketch of the discretized computational domain with non-uniform grid spacing (not in scale), along with zoomed-in pictures of space region of primary interest.
Figure 2. Sketch of the discretized computational domain with non-uniform grid spacing (not in scale), along with zoomed-in pictures of space region of primary interest.
Energies 18 03862 g002
Figure 3. Grid sensitivity analysis: profiles of first grid spacing and local Nusselt number compared against experimental data in [22].
Figure 3. Grid sensitivity analysis: profiles of first grid spacing and local Nusselt number compared against experimental data in [22].
Energies 18 03862 g003
Figure 4. Nusselt number distribution for varying (left) C sep and (right) C mix parameters, compared against experimental data in [22].
Figure 4. Nusselt number distribution for varying (left) C sep and (right) C mix parameters, compared against experimental data in [22].
Energies 18 03862 g004
Figure 5. Nusselt number distribution for varying (left) C nw and (right) C jet parameters, compared against experimental data in [22].
Figure 5. Nusselt number distribution for varying (left) C nw and (right) C jet parameters, compared against experimental data in [22].
Energies 18 03862 g005
Figure 6. Profiles of normalized vertical velocity at different axial positions corresponding to (a) x / D j = 1 , (b) 4, (c) 7, and (d) 7.5 for varying coefficient C sep . The reference experimental data in [21] are shown for comparison.
Figure 6. Profiles of normalized vertical velocity at different axial positions corresponding to (a) x / D j = 1 , (b) 4, (c) 7, and (d) 7.5 for varying coefficient C sep . The reference experimental data in [21] are shown for comparison.
Energies 18 03862 g006
Figure 7. Profiles of normalized horizontal velocity at different streamwise positions: (a) y / D j = 1 , (b) 1, (c) 3 , and (d) 3 for varying coefficient C sep . The reference experimental data in [21] are shown for comparison.
Figure 7. Profiles of normalized horizontal velocity at different streamwise positions: (a) y / D j = 1 , (b) 1, (c) 3 , and (d) 3 for varying coefficient C sep . The reference experimental data in [21] are shown for comparison.
Energies 18 03862 g007
Figure 8. Profiles of normalized vertical velocity at different axial positions corresponding to (a) x / D j = 1 , (b) 4, (c) 7, and (d) 7.5 for varying coefficient C mix . The reference experimental data in [21] are shown for comparison.
Figure 8. Profiles of normalized vertical velocity at different axial positions corresponding to (a) x / D j = 1 , (b) 4, (c) 7, and (d) 7.5 for varying coefficient C mix . The reference experimental data in [21] are shown for comparison.
Energies 18 03862 g008
Figure 9. Profiles of normalized horizontal velocity at different streamwise positions: (a) y / D j = 1 , (b) 1, (c) 3 , and (d) 3 for varying coefficient C mix . The reference experimental data in [21] are shown for comparison.
Figure 9. Profiles of normalized horizontal velocity at different streamwise positions: (a) y / D j = 1 , (b) 1, (c) 3 , and (d) 3 for varying coefficient C mix . The reference experimental data in [21] are shown for comparison.
Energies 18 03862 g009
Figure 10. Profiles of normalized vertical velocity at different axial positions corresponding to (a) x / D j = 1 , (b) 4, (c) 7, and (d) 7.5 for varying coefficient C nw . The reference experimental data in [21] are shown for comparison.
Figure 10. Profiles of normalized vertical velocity at different axial positions corresponding to (a) x / D j = 1 , (b) 4, (c) 7, and (d) 7.5 for varying coefficient C nw . The reference experimental data in [21] are shown for comparison.
Energies 18 03862 g010
Figure 11. Profiles of normalized horizontal velocity at different streamwise positions corresponding to (a) y / D j = 1 , (b) 1, (c) 3 , and (d) 3 for varying coefficient C nw . The reference experimental data in [21] are shown for comparison.
Figure 11. Profiles of normalized horizontal velocity at different streamwise positions corresponding to (a) y / D j = 1 , (b) 1, (c) 3 , and (d) 3 for varying coefficient C nw . The reference experimental data in [21] are shown for comparison.
Energies 18 03862 g011
Figure 12. Profiles of normalized vertical velocity at different axial positions corresponding to (a) x / D j = 1 , (b) 4, (c) 7, and (d) 7.5 for varying coefficient C jet . The reference experimental data in [21] are shown for comparison.
Figure 12. Profiles of normalized vertical velocity at different axial positions corresponding to (a) x / D j = 1 , (b) 4, (c) 7, and (d) 7.5 for varying coefficient C jet . The reference experimental data in [21] are shown for comparison.
Energies 18 03862 g012
Figure 13. Profiles of normalized horizontal velocity at different streamwise positions corresponding to (a) y / D j = 1 , (b) 1, (c) 3 , and (d) 3 for varying coefficient C jet . The reference experimental data in [21] are shown for comparison.
Figure 13. Profiles of normalized horizontal velocity at different streamwise positions corresponding to (a) y / D j = 1 , (b) 1, (c) 3 , and (d) 3 for varying coefficient C jet . The reference experimental data in [21] are shown for comparison.
Energies 18 03862 g013
Figure 14. Profiles of normalized vertical velocity at different axial positions corresponding to (a) x / D j = 1 , (b) 4, (c) 7, and (d) 7.5 for generalized and classical formulations. The reference experimental data in [21] are shown for comparison.
Figure 14. Profiles of normalized vertical velocity at different axial positions corresponding to (a) x / D j = 1 , (b) 4, (c) 7, and (d) 7.5 for generalized and classical formulations. The reference experimental data in [21] are shown for comparison.
Energies 18 03862 g014
Figure 15. Profiles of normalized horizontal velocity at different streamwise positions corresponding to (a) y / D j = 1 , (b) 1, (c) 3 , and (d) 3 for generalized and classical formulations. The reference experimental data in [21] are shown for comparison.
Figure 15. Profiles of normalized horizontal velocity at different streamwise positions corresponding to (a) y / D j = 1 , (b) 1, (c) 3 , and (d) 3 for generalized and classical formulations. The reference experimental data in [21] are shown for comparison.
Energies 18 03862 g015
Figure 16. Profiles of normalized jet centerline velocity predicted by different RANS models compared to experimental data [21].
Figure 16. Profiles of normalized jet centerline velocity predicted by different RANS models compared to experimental data [21].
Energies 18 03862 g016
Figure 17. Nusselt number distribution for the calibrated GEKO solution compared to baseline RANS solution and experimental data in [22].
Figure 17. Nusselt number distribution for the calibrated GEKO solution compared to baseline RANS solution and experimental data in [22].
Energies 18 03862 g017
Figure 18. Calibrated GEKO solution: contours of normalized velocity magnitude, along with streamlines illustrating the recirculating flow pattern (left), compared to corresponding PIV data for a steady plate (right) [21]. Experimental image courtesy of Elsevier.
Figure 18. Calibrated GEKO solution: contours of normalized velocity magnitude, along with streamlines illustrating the recirculating flow pattern (left), compared to corresponding PIV data for a steady plate (right) [21]. Experimental image courtesy of Elsevier.
Energies 18 03862 g018
Figure 19. Calibrated GEKO solution: contours of normalized vertical (left) and horizontal (right) velocity components, along with mean flow streamlines.
Figure 19. Calibrated GEKO solution: contours of normalized vertical (left) and horizontal (right) velocity components, along with mean flow streamlines.
Energies 18 03862 g019
Table 1. Investigated GEKO parameters.
Table 1. Investigated GEKO parameters.
GEKO ParameterSuggested RangeDefaultSelected Values
C sep [0.7, 2.5]1.750.7; 1.6; 2.5
C mix [0.5, 1.0] C mix opt 0; 0.5; 1
C nw [ 2.0 , 2.0]0.5−2; 0; 2
C jet [0.0, 1.0]0.90; 0.9; 1
Table 2. Geometrical parameters.
Table 2. Geometrical parameters.
ParameterValue
Nozzle Diameter ( D j ) 6.2 × 10 3 m
Normalized Distance ( H / D j )6
Normalized Breadth ( 2 B / D j )100
Table 3. Constant thermo-physical properties of air.
Table 3. Constant thermo-physical properties of air.
Density ρ , kg/ m 3 Heat Capacity C p , J/(kg·K)Thermal Conductivity λ , W/(m·K)Dynamic Viscosity μ , Pa·s
1.2251006.40.0242 1.789 × 10 5
Table 4. Inlet conditions.
Table 4. Inlet conditions.
Inlet VariablesValue
Velocity ( U j )25.9 m/s
Turbulent Intensity2%
Turbulent Viscosity Ratio ( μ t / μ )5
Inlet Temperature ( T j )373 K
Table 5. Outlet conditions.
Table 5. Outlet conditions.
Backflow VariablesValues
Turbulent Intensity2%
Turbulent Viscosity Ratio10
Temperature373 K
Table 6. Solver general settings.
Table 6. Solver general settings.
SettingMotivation
Solver type: Pressure-basedIncompressible flow [22].
Time: Steady-stateNo difference between steady-state and transient results [13].
Energy: EnabledTo analyze the heat transfer mechanism.
Gravity: EnabledDue to temperature difference and jet flow high Reynolds number, buoyancy effects are not neglected [24,28].
Table 7. Grid sensitivity analysis.
Table 7. Grid sensitivity analysis.
Case h max + Grid Resolution ( n x × n y )FV Cells
I5.45190 × 14427 k
II2.61250 × 20050 k
III2.00350 × 360126 k
IV1.20400 × 600240 k
Table 8. Predicted average Nusselt number for different solutions compared against experimental data.
Table 8. Predicted average Nusselt number for different solutions compared against experimental data.
Case N u ¯ Relative Error
Experiment [21]20.5
k- ω SST21.44.4%
GEKO-calibrated20.7 1.0 %
Disclaimer/Publisher’s Note: The statements, opinions and data contained in all publications are solely those of the individual author(s) and contributor(s) and not of MDPI and/or the editor(s). MDPI and/or the editor(s) disclaim responsibility for any injury to people or property resulting from any ideas, methods, instructions or products referred to in the content.

Share and Cite

MDPI and ACS Style

Mezzacapo, A.; D’Addio, R.; De Stefano, G. A Computational Thermo-Fluid Dynamics Simulation of Slot Jet Impingement Using a Generalized Two-Equation Turbulence Model. Energies 2025, 18, 3862. https://doi.org/10.3390/en18143862

AMA Style

Mezzacapo A, D’Addio R, De Stefano G. A Computational Thermo-Fluid Dynamics Simulation of Slot Jet Impingement Using a Generalized Two-Equation Turbulence Model. Energies. 2025; 18(14):3862. https://doi.org/10.3390/en18143862

Chicago/Turabian Style

Mezzacapo, Antonio, Rossella D’Addio, and Giuliano De Stefano. 2025. "A Computational Thermo-Fluid Dynamics Simulation of Slot Jet Impingement Using a Generalized Two-Equation Turbulence Model" Energies 18, no. 14: 3862. https://doi.org/10.3390/en18143862

APA Style

Mezzacapo, A., D’Addio, R., & De Stefano, G. (2025). A Computational Thermo-Fluid Dynamics Simulation of Slot Jet Impingement Using a Generalized Two-Equation Turbulence Model. Energies, 18(14), 3862. https://doi.org/10.3390/en18143862

Note that from the first issue of 2016, this journal uses article numbers instead of page numbers. See further details here.

Article Metrics

Back to TopTop