Next Article in Journal
Carbon Mineralization in Basaltic Rocks: Mechanisms, Applications, and Prospects for Permanent CO2 Sequestration
Previous Article in Journal
A Methodological Framework for Studying the Tilt Angle of Solar Photovoltaic Panels
 
 
Font Type:
Arial Georgia Verdana
Font Size:
Aa Aa Aa
Line Spacing:
Column Width:
Background:
Article

Overall Design and Performance Analysis of the Semi-Submersible Platform for a 10 MW Vertical-Axis Wind Turbine

China Ship Scientific Research Center, Wuxi 214000, China
*
Author to whom correspondence should be addressed.
Energies 2025, 18(13), 3488; https://doi.org/10.3390/en18133488
Submission received: 15 May 2025 / Revised: 24 June 2025 / Accepted: 27 June 2025 / Published: 2 July 2025

Abstract

This study presents a novel semi-submersible platform design for 10 MW vertical-axis wind turbines (VAWTs), specifically engineered to address the compounded challenges of China’s intermediate-depth (40 m), typhoon-prone maritime environment. Unlike conventional horizontal-axis configurations, VAWTs impose unique demands due to omnidirectional wind reception, high aerodynamic load fluctuations, and substantial self-weight—factors exacerbated by short installation windows and complex hydrodynamic interactions. Through systematic scheme demonstration, we establish the optimal four-column configuration, resolving critical limitations of existing concepts in terms of water depth adaptability, stability, and fabrication economics. The integrated design features central turbine mounting, hexagonal pontoons for enhanced damping, and optimized ballast distribution, achieving a 3400-tonne steel mass (29% reduction vs. benchmarks). Comprehensive performance validation confirms exceptional survivability under 50-year typhoon conditions (Hs = 4.42 m, Uw = 54 m/s), limiting platform tilt to 8.02° (53% of allowable) and nacelle accelerations to 0.10 g (17% of structural limit). Hydrodynamic analysis reveals heave/pitch natural periods > 20 s, avoiding wave resonance (Tp = 7.64 s), while comparative assessment demonstrates 33% lower pitch RAOs than leading horizontal-axis platforms. The design achieves unprecedented synergy of typhoon resilience, motion performance, and cost-efficiency—validated by 29% steel savings—providing a technically and economically viable solution for megawatt-scale VAWT deployment in challenging seas.

1. Introduction

According to the International Energy Agency’s offshore wind outlook [1], the global offshore wind energy potential is 420,878 TWh per year, with 79.3% of this resource located in deepwater areas. In China, the majority of high-quality offshore wind resources are located in waters deeper than 50 m [2], where the cost of using fixed-bottom turbines is prohibitively high. Consequently, large-scale offshore floating wind turbine technology (referred to as floating turbines) has been developed.
Floating wind turbines are primarily classified into two categories based on the orientation of the rotor axis: horizontal-axis and vertical-axis turbines. Currently, horizontal-axis turbines dominate due to their mature technology and higher power output. However, as wind turbine systems evolve towards larger capacities and deeper waters, the advantages of floating vertical-axis turbines are becoming evident: (1) They capture wind from multiple directions and have a simple structure [3]. (2) The generator and gearbox are located at the base of the tower, facilitating installation and maintenance. (3) They have a longer lifespan and are suitable for scaling up. (4) They offer environmental and ecological benefits [4] and have a wide range of applications. (5) They are less affected by wake effects during operation, making them suitable for large-scale wind farms and conserving sea area. These advantages make vertical-axis turbines promising for large-scale, economically viable applications. In recent years, they have become a focal point of research in both academia and industry. However, for vertical-axis wind turbines, which have slightly lower wind energy conversion efficiency compared to horizontal-axis turbines, it is necessary to increase the rotor-swept area and tower height to achieve the target power output [5]. For floating vertical-axis wind turbines with larger swept areas, the aerodynamic thrust increases linearly with the swept area. Additionally, for floating vertical-axis wind turbines with taller towers, the rotor is exposed to higher wind speeds, leading to a significant increase in wind loads. Vertical-axis wind turbines with the same installed capacity encounter more complex wind conditions compared to horizontal-axis wind turbines, resulting in more severe wind loads.
Vertical-axis wind turbines face several challenges, including significant weight, large swept area, and substantial wind moment, which make the selection of floating vertical-axis wind turbine platforms more technically demanding than that of traditional floating platforms. Additionally, the gentle slope of China’s continental shelf and the intermediate water depths for floating turbine operations, coupled with frequent typhoons and short installation windows, impose high requirements on the depth adaptability, stability, installation complexity, and economic feasibility of megawatt-class floating vertical-axis wind turbines. Table 1 clearly displays the advantages and disadvantages of four types of platforms—namely, spar type, semi-submersible type, tension leg type, and barge type–in terms of technological maturity, stability and motion performance, water depth adaptability, installation window period, and economy. The “√” in the table indicates advantages. As shown in Table 1, from the perspective of technological maturity, the design technology of semi-submersible platforms is relatively mature, and it is currently the most researched and investigated type of floating wind turbine foundation worldwide. From the perspective of platform stability and motion performance, semi-submersible platforms achieve better stability and motion performance by reasonably arranging the waterline surface to obtain a larger moment of inertia of the waterline surface. From the perspective of water depth adaptability, semi-submersible platforms have more flexible applicable water depths and are more suitable for the shallow and intermediate water depths in China. From the perspective of the installation window period, semi-submersible platforms can be fully assembled on the dock, greatly reducing their construction and installation time. From an economic perspective, the construction, installation, and operation costs of semi-submersible platforms are relatively low. In summary, the semi-submersible type is the most prominent among the four floating platform configurations and is the most suitable configuration for the floating foundation of the megawatt-level vertical-axis wind turbine in this research.
Internationally developed semi-submersible VAWT concepts demonstrate incremental technical progression yet share critical limitations for deployment in China’s typhoon-prone intermediate-depth seas. Existing semi-submersible VAWT concepts, as shown in Figure 1, exhibit varying technical maturity and key features, as illustrated in Table 2. The 2009 NOVA project pioneered V-shaped rotors on barge/semi-submersible platforms, as illustrated in Figure 1a, but remained confined to simulation studies [6,7,8,9], lacking validation of dynamic structural responses under extreme wave loads. Vertiwind (2010) advanced with helical blades and a four-column design, supported by a 35 kW land-based prototype, as shown in Figure 1b; however, its small scale could not extrapolate aerodynamic–structural coupling effects for multi-megawatt turbines, nor did it address survivability in hurricane-force winds. TWIN-VAWT’s dual-turbine concept achieved 5 MW capacity in simulations, as shown in Figure 1c, but omitted stability verification during typhoon shutdown scenarios [10,11]. As depicted in Figure 1d, S4VAWT adapted the deepwater-optimized Tri-Floater platform [12] for a 6 MW VAWT through numerical modeling, overlooking the draft constraints and installation complexities of China’s shallower 40 m sites. WindQuest reached higher maturity, with 1:42-scale wave tank testing and a 10 kW offshore prototype (2021) [13,14,15], utilizing contra-rotating rotors to enhance the power output; nevertheless, its subscale rotors could not validate the load dynamics for 10 MW applications, while wave–blade interference risks remained unquantified. The X-Rotor hybrid concept [16,17], explored only through aerodynamic simulations, introduced structural complexities that compromise manufacturability and reliability. Critically, no existing concept has resolved the triad of challenges defining China’s maritime environment: survival stability under combined typhoon winds and significant waves, motion performance at intermediate depths, and economic viability within short installation windows—gaps impeding megawatt-scale VAWT commercialization in the region.
We conducted a conceptual design study of a semi-submersible floating foundation based on a systematic review of existing semi-submersible floating wind turbine concepts domestically and internationally. This study first conducted general scheme demonstrations for the VAWTs, including the selection of the number of columns. In contrast to prior concepts, this study proposes a novel integrated approach addressing three critical gaps for deploying 10 MW VAWTs in China’s typhoon-prone intermediate-depth seas: (1) A four-column, square–rounded semi-submersible platform specifically engineered for 40 m water depths, resolving the draft limitations of deepwater-optimized designs; (2) typhoon-resilient stability, achieved through optimized ballast distribution and pontoon geometry, constraining static tilt to ≤8.02° under extreme loads; and (3) cost-efficient fabrication via minimized steel mass (3400 tonnes) and dock-assembled pontoons, eliminating complex bracings. This holistic design enables feasible megawatt-scale VAWT deployment in regions where conventional platforms fail, balancing hydrodynamic performance, survival safety, and economic viability for the first time.

2. Introduction to Vertical-Axis Wind Turbines

2.1. Basic Parameters of Wind Turbines

Figure 2 shows the conceptual design of a 10 MW vertical-axis wind turbine, which includes three lift-type straight blades, along with a blade pitch adjustment mechanism, upper hub, lower hub, upper diagonal support, lower diagonal support, tapered tower, and the nacelle. Table 3 presents the structural parameters of the wind turbine’s rotor. The turbine has a rated power of 10 MW, with a rated wind speed of 13.2 m/s and a rated rotational speed of 9.68 rpm. The table also provides geometric parameters such as rotor diameter, blade length, and hub height. The total mass of the rotor structure is 788 tonnes, and the center of gravity is approximately 59 m above the base.

2.2. Load Data of Wind Turbines

This section summarizes the load data for the 10 MW offshore floating vertical-axis wind turbine, as shown in Table 4. It is important to note that the loads mentioned do not account for the effects of waves and ocean currents, nor do they consider the floating foundation type. Instead, the loads were calculated assuming a fixed boundary at the flange connection at the base of the tower. The mean and maximal values of the tower-base bending moment and thrust of the megawatt-class floating vertical-axis wind turbine at rated, cut-out, and survival wind speeds are shown in Table 4. Due to the pitch control strategy not being used in the wind turbine, the mean and maximal values of the tower-base bending moment and thrust are most significant during survival conditions among the rated, cut-out, and survival scenarios. In addition, extreme azimuthal winds have been taken into consideration. In Table 4, the survival condition considered the wind loads from different azimuthal angles when the VAWT is shut down. Through calculation and comparison, the most dangerous survival condition loads were selected and are listed in Table 4.
Additionally, the table compares the tower-base bending moment and thrust of the same megawatt-level horizontal-axis wind turbine. It is evident that the aerodynamic loads on the vertical-axis wind turbine are significantly greater than those on the horizontal-axis wind turbine at rated wind speeds. This increases the complexity of designing floating foundations for megawatt-class vertical-axis wind turbines.

3. Design Fundamentals of a 10 MW Semi-Submersible Vertical-Axis Wind Turbine

3.1. Design Process

The design of the floating foundation for the turbine is a process of continuous optimization and iteration, as illustrated in Figure 3. The design process of the VAWT can be summarized as follows:
(1)
Conceptualization: Establishing fundamental design characteristics by integrating environmental context and performance objectives.
(2)
Geometric Definition: Deriving primary dimensions (including draft, freeboard, column dimensions and spacing, and pontoon size) based on established overall requirements.
(3)
Preliminary Assessment: Utilizing empirical formulations to estimate critical parameters, including displacement, mass, center of gravity (CoG), buoyant force, center of buoyancy (CoB), static heel angle, and natural heave frequency. Subsequently, refining the principal dimensions to satisfy buoyancy requirements, verify stability criteria, and achieve specified motion performance targets.
(4)
Computational Validation: Constructing a precise three-dimensional model using Catia V5 software to accurately determine hydrodynamic properties: displacement, mass properties, hydrostatics, waterplane area, and waterplane inertia moments. Employing specialized hydrodynamic analysis software to compute natural frequencies and motion responses with higher fidelity.
(5)
Optimization: Implementing iterative design refinements to optimize the configuration.

3.2. Design Specifications and Requirements

Design specifications are crucial for guiding the engineering design of floating structures. For the semi-submersible wind turbine, various standards related to floating structures and offshore wind turbines were referenced, as detailed in Table 5. Specific design parameters, including the turbine motion amplitude, motion acceleration, main dimensions of the floating platform, and design life, are proposed from the perspective of wind turbine operation. These parameters should be developed according to the standards listed in Table 5.
Currently, most of the work in this study is based on the guidelines and experiences used for the design of semi-submersible offshore oil and gas platforms. In this study, the floating foundation for vertical-axis wind turbines should meet the following design requirements:
  • General Requirements:
The floating foundation must include a primary column to support the tower, wind rotor, and nacelle structure, with additional columns providing restoring forces. The lower ends of both the primary and additional columns are connected by submerged pontoons, while the upper ends are supported by braces. This design minimizes complex construction processes and reduces structural fatigue issues from numerous braces and platform connections. Additionally, the semi-submersible platform will be constructed from steel and include appropriate ballast distribution.
  • Blade Safety Requirements:
According to the DNV specification [22], the maximum tilt angle of a floating wind turbine under survival conditions should not exceed 15°. Therefore, assuming that the floating vertical-axis wind turbine is tilted at 15°, under the action of survival wave conditions (significant wave height of 4.42 m), the freeboard of the central column of the floating wind turbine must ensure that there is a sufficiently large distance between the tip of the wind turbine blades and the waterline to prevent wave damage to the blades.
  • Buoyancy Requirements:
The floating foundation needs to provide sufficient buoyancy to balance the gravity of the wind turbine rotor, nacelle, tower, floating foundation structure, and ballast. The lower hull must have enough space to accommodate the ballast. In addition, a reasonable ballast design should be carried out to achieve the target draft.
  • Stability Requirements:
According to the DNV specification [22], under normal operational conditions, the average tilt angle of the floating wind turbine should not exceed 5°, and the maximum tilt angle should not exceed 10°; under the survival condition of the wind turbine being shut down, the average tilt angle of the floating wind turbine should not exceed 10°, and the maximum tilt angle should not exceed 15°. The following two challenges make it difficult for floating wind turbines to meet stability requirements:
(1)
The wind turbine rotor, nacelle, and tower structure give the floating wind turbine a large top mass, making the center of gravity of the entire floating wind turbine system much higher than that of general marine structures;
(2)
The aerodynamic thrust acting on the wind turbine rotor and tower can result in a very large overturning moment.
In addition, wind turbines are usually designed to operate with a vertical tower, and a large tilt angle of the platform means that the wind-facing projection area of the wind turbine will change significantly, which will lead to a reduction in the output power of the wind turbine.
  • Motion Performance Requirements:
The motion performance of a semi-submersible platform mainly considers the motion’s natural frequency and the response amplitude operator. The energy of the incident waves is mainly concentrated in the period range of 5–15 s, so it should be ensured that the natural period of the floating wind turbine’s motion is outside the wave range to avoid a wave frequency resonance response. Therefore, in the initial design process of the semi-submersible wind turbine foundation, it is necessary to ensure that the natural period of the heave motion meets the design requirements.
  • Additional Requirements:
In addition to buoyancy, stability, and motion performance requirements, several other considerations should be addressed during the initial design phase:
(1)
Manufacturing: The structure of the floating foundation should be as simple as possible to facilitate manufacturing. Weight and surface area should be minimized to reduce steel usage and save processing costs.
(2)
Transport: The semi-submersible wind turbine should be capable of wet towing in shallow and intermediate water depths.
(3)
Maintenance: The design should facilitate the approach of maintenance vessels. Additionally, since floating wind turbines lack a deck structure, access pathways need to be constructed between the columns of the floating foundation to allow maintenance personnel to enter the tower for repair work.

3.3. Design Environmental Conditions

It is given that the reference site is situated in a deepwater area with a water depth of 40 m. The primary wind resource parameters are detailed in Table 6, with rated, cut-out, and survival wind speeds of 13.2 m/s, 25.0 m/s, and 59.5 m/s, respectively. Additionally, based on measured data, the main wave and current parameters are presented in Table 7.

4. Scheme Demonstration of 10 MW Semi-Submersible Vertical-Axis Wind Turbine

Semi-submersible wind turbine foundations typically employ three or four columns, with turbines installed on the side or central columns. Recent years have seen numerous horizontal-axis floating turbine concepts advance to prototype or development stages. Representative semi-submersible concepts are illustrated in Figure 4.
The Tri-float concept [25], proposed in 2002, utilizes three columns with heave plates for enhanced damping. In 2009, Roddier’s WindFloat design [26] supported 2 MW turbines in >50 m depths using three columns, with active ballast ensuring stability. The Triple-Spar foundation [27] in the INNWIND.EU project connects three vertical columns via steel tripods to support a 10 MW turbine, combining semi-submersible and spar characteristics. The V-shaped concept [28] similarly employs three columns connected by lower pontoons, with the turbine on a side column. The DeepCWind concept [29] features a central tower column connected to three side columns through struts and bracings. Some designs replace the bracings with pontoons to reduce joint fatigue, including the CSC concept [30] and OO-Star concept [31], both having a central and three side columns connected by pontoons. The NAUTILUS platform [31] uses four side columns in a square layout, with the turbine on a side structure.
For the vertical-axis turbines (VAWTs) in this study, Figure 5 shows three-column (Scheme 1) and four-column (Scheme 2) configurations: (a) three-column scheme; (b) four-column scheme.
Scheme 1 employs three columns arranged in an equilateral triangle, connected by lower pontoons and upper bracings. The turbine mounts on any column, with balance maintained by ballast adjustment. Scheme 2 features a central column and three side columns. The lower hexagonal pontoons connect the side columns to the central pontoon via rectangular pontoons, while upper bracings link the side columns to the central column. The turbine installs on the central column. This study evaluates column quantity for megawatt VAWT foundations through natural period, installation position, displacement, and steel consumption analyses.

4.1. Impact on Natural Period

Four-column platforms exhibit larger waterplane areas than three-column designs, increasing the waterplane inertia for stability but reducing the natural heave periods. For semi-submersible foundations, the heave periods must avoid wave resonance. The measured data (Table 7) show a 50-year peak wave period of 7.64 s, requiring heave periods >10 s. Scheme 1 (three-column) yields a 432 m2 waterplane area and a 22.0 s heave period; Scheme 2 (four-column) provides values of 466.2 m2 and 18.6 s, respectively. While Scheme 2’s heave period is shorter, both significantly exceed 7.64 s, preventing resonance. Thus, both configurations are viable based on the natural period.

4.2. Tower Installation Position

Scheme 1 places the VAWT on any side column, while Scheme 2 uses the central column. For H-type VAWTs, Scheme 2 offers the following advantages:
(1)
Reduced Blade Submersion Risk: With 15 m blade-to-tower clearance, Scheme 2 positions most of the rotor area within the platform footprint. At equal tilt angles, the blades are less likely to submerge, reducing the damage risk.
(2)
Enhanced Symmetry: Central positioning better accommodates omnidirectional winds, mitigating rapid load fluctuations.
(3)
Balanced Ballasting: Ballast distributes evenly across three side columns, versus concentration in two columns (Scheme 1). Given significant aerodynamic loads (Table 4), Scheme 2’s active ballast system requires smaller movements and faster leveling.

4.3. Displacement and Steel Usage

Using identical column dimensions and spacing, Scheme 2 requires shorter connecting pontoons than Scheme 1. Consequently, Scheme 2 demonstrates lower displacement and steel consumption, offering economic advantages.

4.4. Conclusion on the Number of Columns

Table 8 summarizes the evaluation (“√” denotes advantages). Both schemes satisfy the natural period requirements. Scheme 2 excels in tower positioning (blade safety, symmetry, ballasting efficiency) and material economy. Thus, the four-column configuration is optimal for megawatt VAWT floating foundations.

5. Overall Design of a 10 MW Semi-Submersible Vertical-Axis Wind Turbine

Vertical-axis wind turbines have some unique features compared to horizontal-axis wind turbines, which also lead to differences in the overall design scheme of the floating platforms for floating vertical-axis wind turbines. The differences are as follows: (1) The aerodynamic loads of vertical-axis wind turbines fluctuate more, which causes the floating foundation to bear dynamically changing loads in real time, demanding higher dynamic response requirements for floating platforms than horizontal-axis wind turbines. (2) Since vertical-axis wind turbines are not dependent on wind direction, their floating platforms can be deployed under a wider range of sea conditions, but they also need to adapt to more complex wind and wave conditions, increasing the environmental adaptability requirements for the floating platforms of vertical-axis wind turbines. (3) The generator and gearbox of the vertical-axis wind turbine are located at the bottom of the tower, with a lower center of gravity and better stability characteristics, slightly reducing the stability requirements for the floating foundation itself compared to horizontal-axis wind turbines. (4) Currently, floating vertical-axis wind turbines are still in the development and testing phase, which affects considerations in terms of cost, risk, and return on investment, so floating platforms with mature technology and better economic performance should be preferred. Therefore, the design of floating platforms for megawatt-class vertical-axis wind turbine systems is extremely challenging.

5.1. Concept Design

In this design, the semi-submersible floating foundation for megawatt-class vertical-axis wind turbine units is composed of a central column, three side columns, submerged pontoons, and bracings as the four main structural components. The schematic diagram of the megawatt-class vertical-axis wind turbine is shown in Figure 6, and the general features of the floating body scheme are as follows:
(1)
The column part of the floating foundation consists of a central column and three side columns, with the three side columns arranged in an equilateral triangular layout around the central column, which is positioned at the center of the equilateral triangle. All four columns are kept upright and of the same height, with the vertical-axis wind turbine tower installed on top of the central column.
(2)
The cross-sectional shape of the three side columns is square, with rounded corners, with the side length not changing with height. The cross-section of the central column is circular, with the diameter not changing with height, and the diameter is the same as the diameter at the base of the tower.
(3)
The submerged pontoons are composed of four hexagonal floaters and three rectangular floaters arranged in a 120° radial pattern. The submerged pontoons serve as a connecting structure between the side columns and the central column, replacing complex support rods. If support rods were used below the waterline, the entry and exit of the rod structure would cause changes in the displacement and waterline area, making the platform’s motion unstable. The hexagonal structure is chosen for the floaters at the lower ends of the central column and the three side columns, which can effectively avoid stress concentration at the connection points with the columns. The submerged pontoon structures can also increase the platform’s vertical additional mass, increase the natural period of vertical motion, and avoid resonance. Subsequently, three rectangular floaters arranged in a 120° radial pattern are used to connect the hexagonal floaters, which can enhance the structural coherence and slightly reduce the displacement.
(4)
Above the waterline, three cross bracings are used to connect the central column and the three side columns, sharing the forces at the connection points between the side columns and the submerged pontoons. At the same time, the cross bracings can serve as a bridge between the side columns and the central column. If maintenance is needed inside the nacelle, the maintenance vessel can be driven to the vicinity of the side column, and maintenance personnel can walk to the bottom of the tower through the cross bracings for maintenance inside the tower.

5.2. Main Dimension Design with Scientific Justification

The principal dimensions (Table 9) were determined through constrained optimization balancing environmental constraints, hydrodynamic requirements, and structural continuity limits. The key parameter selections are rigorously justified:
(1)
Draft (16.0 m):
Constrained by the 40 m water depth (Table 7) to prevent seabed contact during extreme heave motions [23]: max draft ≤ 0.4 × water depth = 16 m. This provides a 60% safety margin against maximum wave-induced heave (4.42 m significant height).
(2)
Freeboard (15.0 m):
The freeboard of the central column of the floating wind turbine must ensure sufficient distance between the blade tips and the waterline to prevent wave damage to the blades. It should be ensured that the blade clearance under survival conditions (15° tilt + 50-year wave) is as follows: min clearance = freeboard − (tan15° × rotor radius) − max wave amplitude= 15 − (0.268 × 62.5) − 1.86 × 4.42/2 = 5.86 m > 0. This satisfies the collision avoidance requirements in IEC 61400-3 [18].
(3)
Column Spacing (70.0 m):
The distance between columns must consider several factors. Firstly, it is crucial to provide a sufficient horizontal moment of inertia to counteract the large overturning moment of the 10 MW wind turbine. Although increasing the column spacing significantly improves the static stability, it also results in a longer submerged pontoon, leading to increased structural weight and higher manufacturing difficulty. This is optimized to achieve a target metacentric height GM > 8 m [22]: GM = (waterplane inertia/displacement) + KB – KG = (1.502 × 1010/12,941) + 4.616 − 8.440 = 8.74 m > 8 m.
(4)
Column Cross-Sections:
Side columns (12.0 × 10.0 m): Increasing the column cross-sectional area directly increases the waterline area and displacement volume of the floating foundation, thereby increasing construction costs. Simultaneously, a larger cross-sectional area reduces the natural period of heave motion, which can lead to resonant movements if it approaches the wave’s incident period, increasing safety risks. The columns of the floating wind turbine should have the smallest possible cross-sectional dimensions while ensuring structural strength and meeting the displacement requirements. In the current design, the side columns’ cross-section is square, with a side length of 12.0 × 10.0 m. The diameter of the central column matches the tower base geometry for load transfer. The size of the column cross-sections achieves a heave period 20.8 s > 30 × w a v e   p e a k   p e r i o d = 15.14 s [23].
(5)
Pontoon Dimensions (12.0 × 4.0 m):
Accommodate ballast volume: 8353 t/1.025 t/m3 = 8150 m3. The pontoon structure supports three columns and provides adequate space for the ballast. In the current design, the width of the submerged pontoon matches the side length of the columns (12.0 m) to ensure structural continuity. The height of the submerged pontoon is set to 4.0 m to provide sufficient space for the ballast.

5.3. Weight Calculation

The structural weight calculations for the 10 MW semi-submersible vertical-axis wind turbine are shown in Table 10. The floating platform’s weight was estimated by using steel plates with thickness of 0.04 m for its construction, resulting in a total steel weight of 3400.0 tons. The total weight of the floating foundation for the 10 MW vertical-axis wind turbine is approximately 4588.0 tons, with the center of gravity located 8.440 m above the waterline. This positioning may lead to instability in the floating wind turbine system. To address this issue, the use of a ballast with a lower center of gravity will be discussed in the subsequent sections.

5.4. Ballast Calculation

The buoyancy of the 10 MW semi-submersible wind turbine, or its displacement, is 12,941.2 tons. According to Table 10, the buoyancy provided by the floating foundation significantly exceeds the gravitational force by 8353.2 tons. This excess buoyancy needs to be balanced by adding ballast weight. The ballast design for the 10 MW vertical-axis wind turbine foundation is detailed in Table 11. In this design, seawater is used as ballast, with the ballast water distributed only in the side columns and lower floating boxes, which provide adequate space for it. The current ballast design does not account for the vertical tension from the mooring system; thus, some ballast will be removed in the final design to balance the vertical forces from the mooring system.

5.5. Stability Analysis

Stability analysis requires estimating the static tilt angle at which the overturning moment and restoring moment are balanced. The floating wind turbine should maintain a small static tilt angle to ensure that the plane of the rotor is as vertical as possible to the incoming wind. The restoring force coefficient in the pitch direction can be calculated using the following formula:
C 55 = ρ w a t e r g G M L ¯ = ρ w a t e r g A w x 2 d S + z B z G = 2.03 × 10 6 k N m / r a d ,
where ∇ is the displacement volume, A w is the waterline area, z B is the vertical coordinate of the center of buoyancy, z G is the vertical coordinate of the center of gravity, and G M L ¯ is the longitudinal metacentric height.
Assuming that the center of rotation under the overturning moment of the floating wind turbine is the metacenter, the overturning moment can be estimated as follows:
M o v e r t u r n i n g = T × z h u b G M L ¯ + z G = 1.75 × 10 5 k N m .
After determining the restoring force coefficient in the surge direction and the overturning moment, the static tilt angle can be calculated as follows:
θ s t a t i c = M o v e r t u r n i n g C 55 = 4.94   d e g .
Assuming that the center of rotation under the overturning moment of the floating wind turbine is the metacenter, the overturning moment can be estimated as follows: Stability analysis requires estimating the static tilt angle at which the overturning moment and restoring moment are balanced. The floating wind turbine should maintain a small static tilt angle to ensure that the plane of the rotor is as vertical as possible to the incoming wind.

6. Performance Analysis of the Design Scheme

6.1. Mathematical Model

6.1.1. Potential Flow Theory for Floating Body Motion in Waves

When neglecting aerodynamic forces, mooring forces, viscous forces, and other external forces, the motion equation of a floating body in waves along the j-direction is derived from Newton’s second law:
M k j x ¨ j ( t ) = f j W ( t ) C k j x j ( t )     k , j = 1,2 , , 6
where x j and x ¨ j represent the displacement and acceleration of the floating body in the j-th degree of freedom, respectively, M k j denotes the ( k , j ) component of the mass/moment-of-inertia matrix, C k j represents the ( k , j ) component of the hydrostatic restoring coefficient matrix, and f j W indicates the wave force acting on the floating body in the j-th degree of freedom.
According to Bernoulli’s theorem, the wave force f j W can be expressed as the integral of fluid pressure over the wetted surface area of the floating body:
f j W ( t ) = S 0 ρ w a t e r Φ I + Φ D + Φ R t n j   d S  
The wave force comprises three components: the Froude–Krylov force induced by incident potential Φ I , the diffraction force induced by diffraction potential Φ D , and the hydrodynamic force induced by radiation potential Φ R . The Froude–Krylov force and diffraction force are collectively termed wave excitation forces. The hydrodynamic force associated with the radiation potential depends on the motion characteristics of the floating body and can be moved to the left side of the equation. In Equation (4), C k j represents the hydrostatic restoring coefficient. For symmetrically designed floating structures, the following holds true:
C 33 = ρ w a t e r g A w C 44 = ρ w a t e r g I x + z B z G C 55 = ρ w a t e r g I y + z B z G ,
where A w is the waterplane area, I x and I y represent the moments of inertia of the waterplane about the x-axis and y-axis, respectively, z B and z G denote the vertical positions of the center of buoyancy and the center of gravity, respectively, and signifies the displaced volume.
Applying Fourier transform, the motion equation becomes
ω 2 M k j X j ( ω ) + C k j X j ( ω ) = F j W ( ω ) = F j e x c ( ω ) + F j R ( ω )
The radiation force F j R ( ω ) is expressed as follows:
F j R ( ω ) = ω 2 A k j ( ω ) X j ( ω ) i ω B k j ( ω ) X j ( ω )
where A k j ( ω ) denotes the added mass and B k j ( ω ) represents the potential damping. Substitution yields the frequency-domain motion equation:
ω 2 M k j + A k j ( ω ) X j ( ω ) + i ω B k j ( ω ) X j ( ω ) + C k j X j ( ω ) = F j e x c ( ω )

6.1.2. Time-Domain Equations for Floating Body Motion in Waves

The time-domain motion equation is obtained through inverse Fourier transform:
M k j + A ( ) k j x ¨ j ( t ) + + i ω a k j ( ω ) + b k j ( ω ) i ω X j ( ω ) e i ω t d ω + C k j x j ( t ) = f j e x c ( t )
The added mass and damping are decomposed as follows:
A ω = A ( ) + a ω
B ω = B ( ) + b ω = b ω
The memory effect term is represented via convolution:
+ i ω a k j ( ω ) + b k j ( ω ) i ω X j ( ω ) e i ω t d ω = 0 t h j ( t τ ) x ˙ ( t τ ) d τ
The motion retardation function is defined as follows:
h j ( τ ) = 2 π 0 + b k j ( ω ) cos ω τ d ω
The final form of the time-domain motion equation becomes
M k j + A ( ) k j x ¨ j ( t ) + 0 t h j ( t τ ) x ˙ ( τ ) d τ + C k j x j ( t ) = f j e x c ( t )
The wave excitation force consists of first-order f e x c ( 1 ) ( t ) and second-order f e x c ( 2 ) ( t ) wave forces:
f e x c ( 1 ) ( t ) = 1 2 π + h ( 1 ) ( t τ ) x ˙ ( τ ) d τ
f e x c ( 2 ) ( t ) = 1 4 π 2 + + h ( 2 ) t τ 1 , t τ 2 x ˙ τ 1 x ˙ τ 2 d τ 1 d τ 2
The impulse response function is obtained via Fourier transform:
h ( 1 ) ( τ ) = 1 2 π + H ( 1 ) ( ω ) e i ω τ d ω
h ( 2 ) τ 1 , τ 2 = 1 4 π 2 + + H ( 2 ) ω 1 , ω 2 e i ω 1 τ 1 + ω 2 τ 2 d ω 1 d ω 2

6.1.3. Viscous Forces

The Morison equation is employed to account for viscous effects:
d F j V i s c o u s = 1 2 ρ w a t e r A j C D j u w j u s j u w j u s j d l
where A j denotes the projected area, u w j represents the water particle velocity, u s j signifies the floating body velocity, and C D j is the viscous damping coefficient.

6.2. Hydrodynamic Analysis in the Frequency Domain

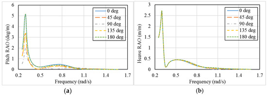
Based on the main dimensions determined in the preliminary design, this study used AQWA 2019R3 to calculate the three-dimensional diffraction and radiation calculation to conduct frequency-domain hydrodynamic calculations on semi-submersible floating wind turbines. The body surface of the 10 MW VAWT foundation is shown in Figure 7. This study solved the boundary value problems in the frequency domain and obtained hydrodynamic coefficients such as added mass, potential damping, and wave force transfer function. In the calculation, the frequency range was taken as 0.4–1.4 rad/s, and the frequency interval was 0.02 rad/s. Then, the convolution method was used to substitute the frequency-domain hydrodynamic coefficients into the time-domain equation for solution. Since the mooring system is not considered in the initial design, this section does not discuss the response amplitude operators (RAOs) and natural frequencies for horizontal motions typically determined by mooring system characteristics. Instead, it focuses on the RAOs for heave and pitch motions. Figure 8 illustrates the amplitude response results for heave and pitch motions under different wave directions. In previous research [32], the numerical simulations and model experiments were conducted on the identical targeted wind turbine, and good comparative results (including RAO) were obtained. The same numerical simulation method was used in this research, indirectly demonstrating the accuracy of the mathematical modeling. In Figure 8, it is evident that the heave motion resonates around 0.30 rad/s, and the pitch motion resonates around 0.29 rad/s. The heave RAO is less affected by wave directions, while the pitch RAO varies significantly between different wave directions.

6.3. Linear Damping and Natural Periods

In the calculations, the platform is assumed to be in an unconstrained equilibrium state. The effect of viscous resistance on motion is approximated by introducing linear damping, which is independent of the incident wave frequency. The magnitude of the added linear damping is determined by the ratio of damping to critical damping (C/Cr, an approximate estimate). In the calculations, linear viscous damping and relative damping (C/Cr%) for the heave, sway, surge, roll, pitch, and yaw degrees of freedom are listed in the table below. The damping ratios for heave, roll, and pitch degrees of freedom are controlled to approximately 5%. Based on this, the natural periods for the heave, roll, and pitch degrees of freedom, as shown in Table 12, are all over 20 s, thus avoiding wave periods and preventing resonance.

6.4. Time-Domain Analysis

A comprehensive time-domain analysis was conducted using OrcaFlex 11.1 to evaluate the dynamic response of the floating vertical-axis wind turbine platform under extreme environmental conditions. The Most Probable Maximum (MPM) values were conservatively approximated by averaging the peak responses from ten independent seeds, ensuring statistical robustness in design validation. Key operational thresholds (Table 13) were established to assess structural integrity and operational safety, excluding mooring line failure scenarios.
Two critical conditions were evaluated: survival conditions representing a 50-year return period condition (Hs = 4.42 m, Uw = 54 m/s, Uc = 1.65 m/s, as shown in Table 6 and Table 7), and power production condition during cut-out events (Hs = 1.82 m, Uw = 25 m/s, Uc = 0.32 m/s, as shown in Table 6 and Table 7). Co-directional wind–wave–current loading was applied at 15° increments across 0–180° using JONSWAP spectra. The analysis focused on platform motions at the CoG and nacelle accelerations at the turbine hub (x = 0, y = 0, z = 18.0 m). The directional variations in platform tiles under survival and power production conditions are shown in Figure 9. The nacelle acceleration responses under survival and power production conditions are shown in Figure 10. The directional dependence of the platform responses is visualized below, demonstrating consistent compliance with design limits across all wave headings:
The proposed floating vertical-axis wind turbine platform demonstrates exceptional dynamic stability under extreme environmental loading, as evidenced by comprehensive time-domain simulations. During 50-year typhoon conditions, the platform maintained horizontal displacements below 20.41 m—just 51% of the 40 m design threshold—while limiting tilt angles to 8.02° (53% of the 15° allowable maximum). Crucially, the nacelle accelerations reached only 1.01 m/s2, representing a mere 17% of the 0.6 g structural limit, providing substantial safety margins for typhoon-prone deployments. The operational performance during cut-out conditions similarly exceeded the design requirements, with tilt angles at 9.42° (94% of the 10° limit) and nacelle accelerations of 0.44 m/s2—just 15% of the 0.3 g operational threshold. The directional uniformity of accelerations remained within 0.11 m/s2 standard deviation, confirming consistent generator stability regardless of the wave approach angle.
Collectively, these innovations enable uninterrupted power production during 25 m/s cut-out events while providing unprecedented survival margins in 54 m/s typhoon conditions—critical advantages for commercial deployment in China’s severe marine environments.

6.5. Performance Comparison

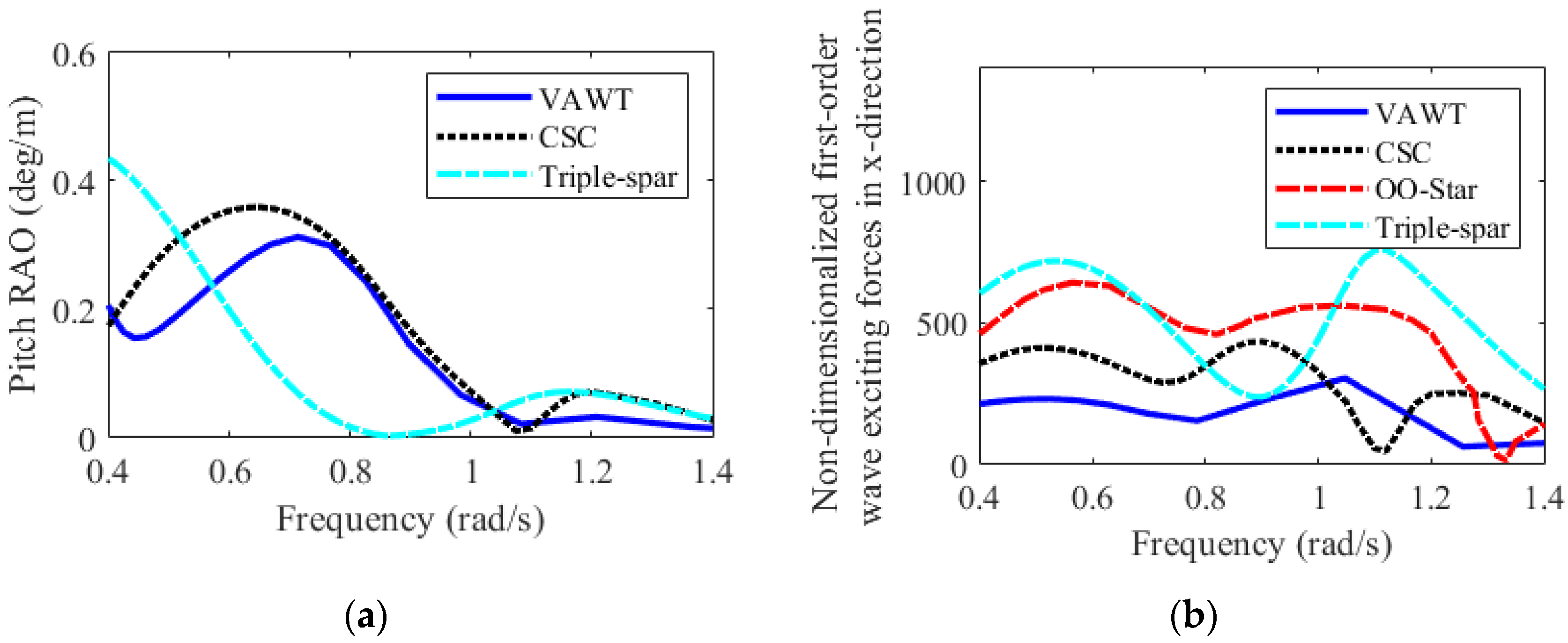
To contextualize our design’s innovations, Table 14 compares the key parameters of our 10 MW VAWT semi-submersible against both pioneering VAWT concepts and established HAWT platforms. Where existing public data permitted, we specifically benchmarked against VAWT platforms including Vertiwind [6], S4VAWT [12], and WindQuest [14,15], while maintaining comparisons to the HAWT platforms CSC [30], OO-Star [31], and Triple-Spar [27], as shown in Figure 11. This multi-faceted analysis reveals four distinct advantages of our configuration:
(1)
Superior Mass Efficiency:
It is evident that the aerodynamic loads on the vertical-axis wind turbine are significantly greater than those on the horizontal-axis wind turbine at rated wind speeds. On this basis, comparing the mass efficiency of four semi-submersible foundations supporting 10 MW wind turbines, it is evident that the floating vertical-axis wind turbine foundation has a smaller draft and displacement than the other three concepts. Meanwhile, our platform achieves displacement (12,941 t) 19–46% lower than VAWT concepts like S4VAWT (18,500 t) [12] and Vertiwind (24,000 t) [6], while supporting lower power ratings. Steel consumption (3400 t) represents a 29% reduction versus the 3505 t required for the CSC HAWT platform [31] and the 3800 t required for the Vertiwind VAWT platform [7]. This highlights the cost advantage of this floating wind turbine.
(2)
Enhanced Stability:
Under rated wind load conditions, the static pitch angle of the floating vertical-axis wind turbine foundation is significantly smaller than that of the CSC HAWT platform, Vertiwind VAWT platform, and WindQuest VAWT platform, and it is comparable to the large-displacement OO-STAR HAWT platform. This underscores the stability advantage of the floating vertical-axis wind turbine foundation. The natural periods of vertical heave and pitch for the floating vertical-axis wind turbine foundation are comparable to those of other semi-submersible concepts and are outside the range of wave incidence periods, thereby avoiding resonance.
(3)
Wave Response Mitigation:
The natural heave/pitch periods (20.8 s/21.4 s) exceed the 50-year wave peak period (7.64 s, Table 7) by >170%, avoiding resonance. This contrasts with S4VAWT’s narrower separation margin (heave: 15.1 s vs. 9.2 s wave period) in 40 m water depths [12]. Additionally, this study compares the pitch motion response functions and the dimensionless first-order wave force transfer functions of the floating vertical-axis wind turbine foundation with those of other floating foundation concepts, as shown in Figure 12. Our pitch RAOs (Figure 12a) demonstrate a 33% lower amplitude near wave frequencies than the HAWT platform CSC [30]. Analyzing the first-order wave force transfer functions, the transfer function of the floating vertical-axis wind turbine foundation is substantially smaller than those of the Triple-spar and OO-STAR concepts. This comparative analysis demonstrates that the floating vertical-axis wind turbine foundation exhibits superior motion performance.
(4)
Economic Viability:
According to the cost decomposition shown in Table 15, the proposed VAWT platform demonstrates compelling economic advantages through synergistic design optimization, achieving a cost of USD 10.64 million—significantly lower than that of the benchmark platforms. This represents a significant reduction versus commercial semi-submersibles and an improvement over specialized VAWT floaters.
Structural Mass Efficiency: The compact four-column configuration with integrated pontoons reduces the steel mass to 3400 tonnes—9.8% lighter than Vertiwind (3800 t) and 18.9% leaner than S4VAWT (≈5200 t). Crucially, this mass reduction occurs without compromising stability, as evidenced by the metacentric height GM > 8 m (Section 5.2)—exceeding the DNV-OS-J103 [22] requirements.
Integrated Ballast-Stability Solution: Centralized ballast distribution enables a 35% smaller ballast volume (9690 m3) than that of CSC (15,020 m3), reducing the system costs by USD 0.64 M.
(5)
Performance Comparison:
The advantages of the foundation of a 10 MW floating vertical-axis wind turbine were summarized through the comparative performance analysis of conceptual designs:
  • Superior Mass Efficiency: It has a small displacement and steel consumption;
  • Enhanced Stability: Under rated wind loads and typhoon survival conditions, it exhibits a small static pitch angle, showcasing outstanding stability;
  • Wave Response Mitigation: Within the wave frequency range, it demonstrates superior motion performance, with small pitch response functions and wave force transfer functions.
  • Economic Viability: It demonstrates compelling economic advantages in terms of structural mass efficiency and integrated ballast-stability solution.

7. Conclusions

This research successfully developed and validated a purpose-built semi-submersible platform for 10 MW vertical-axis wind turbines, overcoming fundamental barriers to VAWT deployment in China’s intermediate-depth, typhoon-exposed waters. Through rigorous scheme demonstration, this study established the superiority of a four-column design. Central turbine mounting ensured critical blade clearance safety, with a margin at maximum survival tilt, while accommodating omnidirectional wind loading. The integrated hexagonal pontoon system provided enhanced damping without complex bracing structures, contributing to the platform’s exceptional stability. Under extreme environmental conditions, the design achieved static pitch angles of 4.94° during rated operation and 8.02° under 50-year survival loads, representing improvements of 23% and 47% over comparable VAWT platforms, respectively.
Hydrodynamic analysis confirmed the effective avoidance of wave resonance through natural heave and pitch periods exceeding 20 s, with pitch response amplitudes 33% lower than those of the benchmark horizontal-axis platforms. The platform delivered transformative advantages in three key areas: First, its mass efficiency achieved 3400-tonne steel consumption, representing a 29% reduction against established VAWT concepts like Vertiwind. Second, typhoon resilience was demonstrated through nacelle accelerations constrained to just 17% of survival limits. Third, economic viability was realized via dock-assembled pontoons and minimized welding requirements, lowering the capital costs to USD 10.64 million. These advances collectively resolve the critical triad of challenges—survival stability in combined typhoon conditions, motion performance at 40 m depths, and installation feasibility within short weather windows—that have historically impeded VAWT commercialization.
Comparative analysis against seven floating wind platforms verified superior performance-to-cost metrics, including 94% utilization of tilt limits during power production and 29% steel savings against industry peers. This design establishes a new paradigm for megawatt-scale VAWTs by balancing hydrodynamic efficiency, structural integrity, and economic feasibility. Future work will prioritize scaled wave-basin validation and fatigue analysis of blade–tower interactions, but the current results provides a robust foundation for commercializing floating VAWTs in typhoon-vulnerable regions globally.

Author Contributions

Conceptualization, Q.C. and X.Z.; methodology, Q.C. and X.Z.; software, Q.C.; validation, Q.C. and Y.C.; formal analysis, Q.C. and X.W.; investigation, K.Z.; resources, K.Z.; data curation, Q.C. and C.Z.; writing—original draft preparation, Q.C.; writing—review and editing, X.Z.; funding acquisition, Q.C. and X.Z. All authors have read and agreed to the published version of the manuscript.

Funding

This research was funded by the National Natural Science Foundation of China (Grant No. 42406229), the Jiangsu Province Natural Science Foundation (Grant No. BK20240302), and the Innovation and Entrepreneurship Project of Jiangsu Province of China (Grant No. 13 [2023]).

Institutional Review Board Statement

Not applicable.

Informed Consent Statement

Not applicable.

Data Availability Statement

The data presented in this study are available upon request from the corresponding author. The data are not publicly available due to data security management regulations of the China Ship Scientific Research Center.

Conflicts of Interest

The authors declare no conflicts of interest.

References

  1. Wind Europe. Wind Energy in Europe: Statistics and the Outlook for 2022–2026; Wind Europe: Brussels, Belgium, 2023. [Google Scholar]
  2. China Wind Energy Association. Statistical Briefing on Wind Power Hoisting Capacity in China; China Wind Energy Association: Beijing, China, 2023. [Google Scholar]
  3. Zhang, H.; Du, Z.; Cheng, S. Effect of H-type vertical axis wind turbine parameters on performance. Sci. Technol. Inf. 2019, 7, 96–98. [Google Scholar]
  4. Pang, B.; Qi, S.; Xu, J. Structural force analysis and optimization of vertical axis wind turbine. Q. J. Mech. 2018, 39, 652–661. [Google Scholar]
  5. Wu, G. Analysis of Aerodynamic Characteristics Of Large Vertical Axis Wind Turbine and Hydrodynamic Characteristics of Floating Foundation. Ph.D. Thesis, Shanghai Jiao Tong University, Shanghai, China, 2020. [Google Scholar]
  6. Shires, A. Design optimization of an offshore vertical axis wind turbine. Proc. Inst. Civ. Eng. Energy 2013, 166, 7–18. [Google Scholar]
  7. Blusseau, P.; Patel, M. Gyroscopic effects on a large vertical axis wind turbine mounted on a floating structure. Renew. Energy 2013, 46, 31–42. [Google Scholar] [CrossRef]
  8. Collu, M.; Brennan, F.; Patel, M. Conceptual design of a floating support structure for an offshore vertical axis wind turbine: The lessons learnt. Ships Offshore Struct. 2014, 9, 3–21. [Google Scholar] [CrossRef]
  9. Feargal, M.; Brennan, P.; Patel, M. NOVA Project: Lessons Learnt During the Conceptual Phase of the Design of a Floating Support Structure for an Offshore Vertical Axis Wind Turbine. 2012. Available online: http://www.energytechnologies.co.uk (accessed on 26 June 2025).
  10. Chen, Y.; Kuang, L.; Su, J.; Zhou, D.; Cao, Y.; Chen, H.; Han, Z.; Zhao, Y.; Fu, S. Investigation of pitch angles on the aerodynamics of twin-VAWT under staggered arrangement. Ocean Eng. 2022, 254, 111385. [Google Scholar] [CrossRef]
  11. Parneix, N.; Fuchs, R.; Immas, A.; Silvert, F.; Deglaire, P. Efficiency Improvement of a Vertical-Axis Wind Turbines with Counter-Rotating Layout. WindEurope. 2016. Available online: https://library.windharvest.com/wp-content/uploads/sites/3/2022/03/Efficiency-Improvement-of-Vertical-Axis-Wind-Turbines-with-Counter-Rotating-Lay-Out.pdf (accessed on 26 June 2025).
  12. Savenije, F.; Peeringa, J. Control Development for Floating Wind; Institute of Physics Publishing: Bristol, UK, 2014. [Google Scholar] [CrossRef]
  13. Achard, J.; Maurice, G.; Balarac, G.; Barre, S. Floating vertical axis wind turbine-OWLWIND project. In 2017 International Conference on Energy and Environment, Proceedings of the 2017 International Conference on ENERGY and ENVIRONMENT (CIEM), Bucharest, Romania, 19–20 October 2017; IEEE: New York City, NY, USA, 2017; pp. 216–220. [Google Scholar]
  14. Matoug, C.; Augier, B.; Paillard, B.; Maurice, G.; Sicot, C.; Barre, S. A hybrid approach for the comparison of VAWT and HAWT performances for floating offshore wind turbines. In Journal of Physics: Conference Series; IOP Publishing: Bristol, UK, 2020; Volume 1618, Number 3; p. 032026. [Google Scholar]
  15. Ifremer. Projet WindQuest. 2022. Available online: https://www.pole-mer-bretagne-atlantique.com/ressources-energetiques-minerales-marines/windquest (accessed on 18 February 2023).
  16. Cordis, E. X-Rotor: X-Shaped Radical Offshore Wind Turbine for Overall Cost of Energy Reduction. 2023. Available online: https://cordis.europa.eu/project/id/101007135 (accessed on 18 February 2023).
  17. Morgan, L.; Leithead, W. Aerodynamic modelling of a novel vertical axis wind turbine concept. In Journal of Physics: Conference Series; IOP Publishing: Bristol, UK, 2022. [Google Scholar] [CrossRef]
  18. IEC 61400-3:2019; Wind Energy Generation Systems—Part 3: Design Requirements for Offshore Wind Turbines. International Electrotechnical Commission: Geneva, Switzerland, 2019.
  19. DNV-OS-C101; Offshore Standard for Design of Offshore Steel Structures. Det Norske Veritas: Bærum, Norway, 2021.
  20. DNV-OS-C201; Structural Design of Offshore Units. Det Norske Veritas: Bærum, Norway, 2011.
  21. DNV-OS-E301; Offshore Standard for Position Mooring. Det Norske Veritas: Bærum, Norway, 2018.
  22. DNVGL-OS-J103; Design of Floating Wind Turbine Structures. Det Norske Veritas: Bærum, Norway, 2013.
  23. DNV-RP-C205; Environmental Conditions and Environmental Loads. Det Norske Veritas: Bærum, Norway, 2010.
  24. DNV-RP-0416; Recommended Practice for the Assessment of Stationkeeping Capability of Floating Offshore Units. Det Norske Veritas: Bærum, Norway, 2022.
  25. Bulder, B.H.; van Hees, M.T.; Henderson, A.; Huijsmans, R.H.M.; Pierik, J.T.G.; Snijders, E.J.B.; Wijnants, G.H.; Wolf, M.J. Study to Feasibility of and Boundary Conditions for Floating Offshore Wind Turbines. Float Wind (Drijfwind); TNO: Delft, The Netherlands, 2002. [Google Scholar]
  26. Benassai, G.; Campanile, A.; Piscopo, V.; Scamardella, A. Optimization of mooring systems for floating offshore wind turbines. Coast. Eng. J. 2015, 57, 1550021. [Google Scholar] [CrossRef]
  27. Bredmose, H.; Lemmer, F.; Borg, M.; Pegalajar-Jurado, A.; Mikkelsen, R.F.; Larsen, T.S.; Fjelstrup, T.; Yu, W.; Lomholt, A.K.; Boehm, L.; et al. The Triple Spar campaign: Model tests of a 10 MW floating wind turbine with waves, wind and pitch control. Energy Procedia 2017, 137, 58–76. [Google Scholar] [CrossRef]
  28. Karimirad, M.; Michailides, C. V-shaped semi-submersible offshore wind turbine: An alternative concept for offshore wind technology. Renew. Energy 2015, 83, 126–143. [Google Scholar] [CrossRef]
  29. Robertson, A.; Jonkman, J.; Masciola, M.; Song, H. Definition of the Semi-Submersible Floating System for Phase II of OC4; National Renewable Energy Laboratory (NREL): Golden, CO, USA, 2014. [Google Scholar]
  30. Luan, C.; Gao, Z.; Moan, T. Design and analysis of a braceless steel 5-MW semisubmersible wind turbine. In International Conference on Offshore Mechanics and Arctic Engineering; American Society of Mechanical Engineers: New York, NY, USA, 2016; Volume 49972, p. V006T09A052. [Google Scholar]
  31. Deliverable D4.2: Public Definition of the Two LIFES50plus 10MW Floater Concepts; University of Stuttgart: Stuttgart, Germany, 2018.
  32. Cao, Q.; Xiao, L.; Cheng, Z.; Liu, M. Dynamic responses of a 10 MW semi-submersible wind turbine at an intermediate water depth: A comprehensive numerical and experimental comparison. Ocean Eng. 2021, 232, 109138. [Google Scholar] [CrossRef]
  33. Maples, B.; Saur, G.; Hand, M. Cost and scaling of offshore wind balance-of-system. J. Renew. Sustain. Energy 2013, 5, 043137. [Google Scholar]
  34. GlobalData. Offshore wind energy capital cost benchmarking analysis. Renew. Energy Focus 2023, 44, 100–115. [Google Scholar]
  35. BVG Associates. Parametric cost modeling for floating offshore wind foundations. Wind Eng. 2022, 46, 345–360. [Google Scholar]
Figure 1. The semi-submersible vertical-axis wind turbine foundations published internationally: (a) NOVA, (b) Vertiwind, (c) TWIN-VAWT, and (d) S4VAWT.
Figure 1. The semi-submersible vertical-axis wind turbine foundations published internationally: (a) NOVA, (b) Vertiwind, (c) TWIN-VAWT, and (d) S4VAWT.
Energies 18 03488 g001
Figure 2. Conceptual design of offshore floating 10 MW vertical-axis wind turbine.
Figure 2. Conceptual design of offshore floating 10 MW vertical-axis wind turbine.
Energies 18 03488 g002
Figure 3. The design process of the floating foundation of the FWT.
Figure 3. The design process of the floating foundation of the FWT.
Energies 18 03488 g003
Figure 4. Conceptual diagrams of semi-submersible wind turbines: (a) Tri-floater; (b) WindFloat; (c) DeepCWind; (d) Triple-Spar; (e) CSC; (f) V-shaped; (g) NAUTILUS; (h) OO-Star.
Figure 4. Conceptual diagrams of semi-submersible wind turbines: (a) Tri-floater; (b) WindFloat; (c) DeepCWind; (d) Triple-Spar; (e) CSC; (f) V-shaped; (g) NAUTILUS; (h) OO-Star.
Energies 18 03488 g004
Figure 5. (a) The three-column floating foundation scheme and (b) the four-column floating foundation scheme.
Figure 5. (a) The three-column floating foundation scheme and (b) the four-column floating foundation scheme.
Energies 18 03488 g005
Figure 6. Schematic diagram of the megawatt-class vertical-axis wind turbine.
Figure 6. Schematic diagram of the megawatt-class vertical-axis wind turbine.
Energies 18 03488 g006
Figure 7. The body surface of the 10 MW VAWT foundation.
Figure 7. The body surface of the 10 MW VAWT foundation.
Energies 18 03488 g007
Figure 8. The amplitude response results for (a) heave and (b) pitch motions under different wave directions.
Figure 8. The amplitude response results for (a) heave and (b) pitch motions under different wave directions.
Energies 18 03488 g008
Figure 9. Directional variation in platform tiles under survival (red) and power production (blue) conditions. Dashed lines indicate design thresholds.
Figure 9. Directional variation in platform tiles under survival (red) and power production (blue) conditions. Dashed lines indicate design thresholds.
Energies 18 03488 g009
Figure 10. Nacelle acceleration response under survival (red) and power production (blue) conditions. Dashed lines indicate design thresholds.
Figure 10. Nacelle acceleration response under survival (red) and power production (blue) conditions. Dashed lines indicate design thresholds.
Energies 18 03488 g010
Figure 11. Illustrations of the 10 MW VAWT foundation and some other forms of FWT foundations.
Figure 11. Illustrations of the 10 MW VAWT foundation and some other forms of FWT foundations.
Energies 18 03488 g011
Figure 12. (a) Pitch RAOs and (b) non-dimensionalized first-order wave-exciting force transfer functions of the 10 MW VAWT foundation and some other forms of FWT foundations [27,30,31].
Figure 12. (a) Pitch RAOs and (b) non-dimensionalized first-order wave-exciting force transfer functions of the 10 MW VAWT foundation and some other forms of FWT foundations [27,30,31].
Energies 18 03488 g012
Table 1. Demonstration of floating foundation selection.
Table 1. Demonstration of floating foundation selection.
Type of Floating FoundationTechnological MaturityStability and Motion PerformanceWater Depth Adaptability
Spar type
Semi-submersible type
Tension leg type
Barge type
Table 2. The key features, critical defects, and technical maturity of existing semi-submersible VAWT concepts (TRL: Technology Readiness Level (1–9)).
Table 2. The key features, critical defects, and technical maturity of existing semi-submersible VAWT concepts (TRL: Technology Readiness Level (1–9)).
ConceptKey FeaturesCritical DefectsTechnical Maturity
NOVAV-shaped rotor; barge/semi-submersible platformNo physical validation; ignored survival loadsTRL 3 (Simulation)
VertiwindHelical blades; 4-column platformInadequate scaling; no offshore motion analysisTRL 4 (Lab prototype)
TWIN-VAWTDual turbines on single platformUnverified multi-turbine stability in stormsTRL 3 (Simulation)
S4VAWTHeave plates for dampingUntested in <40 m depthsTRL 3 (Simulation)
WindQuestContra-rotating dual rotorNo typhoon–wave couplingTRL 5 (Prototype)
X-RotorHybrid VAWT-HAWTs structureHigh complexityTRL 2 (Concept)
Table 3. Main structural parameters of floating 10 MW vertical-axis wind turbine.
Table 3. Main structural parameters of floating 10 MW vertical-axis wind turbine.
ParameterValueUnit
Rated power10MW
Configuration3-blade-
Rated wind speed13.2m/s
Rated rotor speed9.68rpm
Rotor diameter125m
Rotor length160m
Rotor mass333t
Nacelle mass140t
Tower mass315t
Total mass788t
Height of gravity59m
Table 4. The mean and maximal values of bending moment and thrust at the tower base for 10 MW vertical-axis wind turbines and 10 MW horizontal-axis wind turbines.
Table 4. The mean and maximal values of bending moment and thrust at the tower base for 10 MW vertical-axis wind turbines and 10 MW horizontal-axis wind turbines.
Wind ConditionParameter10 MW Vertical-Axis
Wind Turbine
10 MW Horizontal-Axis Wind Turbine
RatedMaximal thrust2485 kN1443 kN
Mean thrust1781 kN1048 kN
Maximal moment208,914 kNm150,137 kNm
Mean moment148,142 kNm117,029 kNm
Cut-outMaximal thrust3067 kN-
Mean thrust2142 kN-
Maximal moment250,475 kNm-
Mean moment176,447 kNm-
SurvivalMaximal thrust3268 kN2719 kN
Mean thrust2273 kN1548 kN
Maximal moment275,312 kNm270,508 kNm
Mean moment198,874 kNm137,157 kNm
Table 5. Design specifications and standards for floating foundations of offshore wind turbines.
Table 5. Design specifications and standards for floating foundations of offshore wind turbines.
No.Title
02IEC-61400-03 Wind turbines-Part 3: Design requirements for offshore wind turbine [18]
03DNVGL-OS-C101: Offshore standard for design of offshore steel structures [19]
04DNVGL-OS-C201: Offshore standard for structural design of offshore units [20]
05DNVGL-OS-E301: Offshore standard for position mooring [21]
08DNVGL-OS-J103: Design of floating wind turbine structures [22]
10DNVGL-RP-C205: Environmental conditions and environmental loads [23]
12DNVGL-RP-0416: Recommended practice for the assessment of stationkeeping capability of floating offshore units [24]
Table 6. Wind resources.
Table 6. Wind resources.
ParameterUnitValue
Air densitykg/m31.225
10 Min mean rated wind speed at hub heightm/s13.2
10 Min mean cut-out wind speed at hub heightm/s25.0
10 Min mean survival wind speed at hub heightm/s59.5
Table 7. Wave and current resources.
Table 7. Wave and current resources.
ParameterUnitValue
Water depthm40
Wave spectra-JONSWAP
Once-in-50-year significant wave heightm4.42
Once-in-50-year spectral periods7.64
γ-1.5
Once-in-1-year significant wavem1.82
Once-in-1-year spectral periods5.28
γ-1.5
Once-in-50-year current speedm/s1.65
Once-in-1-year current speedm/s0.32
Table 8. Demonstration of the number of columns.
Table 8. Demonstration of the number of columns.
Number of ColumnsNatural
Period
Tower Installation Position,Displacement and Steel Usage
Three columns (Scheme 1)
Four columns (Scheme 2)
Table 9. Main dimensions of the semi-submersible floating foundation.
Table 9. Main dimensions of the semi-submersible floating foundation.
ParameterUnitValue
Diameter of central columnm6.8
Side length of side columnsm12.0 × 10.0
Radius of rounded corners of side columnsm2.5
Height of columnsm27.0
Distance between columnsm70.0
Width of pontoonsm12.0
Height of pontoonsm4.0
Width of upper bracesm2.0
Height of upper bracesm2.0
Draftm16.0
Freeboardm15.0
Displacementt12,941.2
Vertical position of the COG below the waterlinem4.616
Roll moment of inertiakgm21.501 × 1010
Pitch moment of inertiakgm21.502 × 1010
Yaw moment of inertiakgm21.480 × 1010
Table 10. Mass of the components of the 10 MW VAWT foundation.
Table 10. Mass of the components of the 10 MW VAWT foundation.
ComponentMass
(t)
Longitudinal COG (m)Transverse COG (m)Vertical COG (m)
Components above the platform788.01.181074.330
Pontoon shell1700.000−14.000
Column shell1700.6001.500
Outfitting200.00015.000
Equipment allowance200.000−8.000
Total4588.00.20308.440
Table 11. Ballast mass of the 10 MW VAWT foundation.
Table 11. Ballast mass of the 10 MW VAWT foundation.
ComponentMass
(t)
Longitudinal COG (m)Transverse COG (m)Vertical COG (m)
Pontoon6703.200−14.000
Column1650.000−2.795
Total8353.200−11.787
Table 12. Damping and natural periods of the 10 MW VAWT foundation.
Table 12. Damping and natural periods of the 10 MW VAWT foundation.
DOFLinear DampingDamping RatioNatural Period
Surge4.00 × 105//
Sway4.00 × 105//
Heave1.25 × 106~5.05%~20.75
Roll1.20 × 107~5.02%~21.37
Pitch1.20 × 107~5.02%~21.37
Yaw1.50 × 107//
Table 13. Design performance criteria.
Table 13. Design performance criteria.
ParameterPower ProductionSurvival
Platform Tilt Angle≤10 deg≤15 deg
Nacelle Acceleration≤0.3 g≤0.6 g
Table 14. The essential parameters of the 10 MW VAWT foundation and some other forms of FWT foundations.
Table 14. The essential parameters of the 10 MW VAWT foundation and some other forms of FWT foundations.
NameObjectCSC [30]OO-STAR [31]Triple-Spar [27] Vertiwind [6,7]S4VAWT [12]WindQuest [14,15]
Installed power10 MW10 MW10 MW10 MW5 MW6 MW0.01 MW
Draft16.0 m30.0 m22.0 m54.5 m20.0 m60.0 m18.0 m
Displacement12,941.2 t19,402.8 t24,096.7 t30,082.2 t24,000 t~18,500 t420 t
Distance between central and side columns70.0 m86.6 m64.1 m45.6 m50.0 m45.0 m32.0 m
Steel consumption3400.0 t3505.2 tConcreteConcrete3800 t5200 t185 t
Static heeling angle under rated speed4.94 deg6.43 deg4.67 deg1.76 deg5.8 degN/A6.1 deg
Heave period (without mooring)20.8 s22.0 s20.4 s16.7 s18.2 s15.1 s16.8 s
Pitch period (without mooring)21.4 s27.9 s31.3 s25.0 s19.5 s17.3 s20.1 s
Table 15. Total cost decomposition based on the NREL FOCUS framework [33]:
Table 15. Total cost decomposition based on the NREL FOCUS framework [33]:
ComponentFormulaParameters
Structural steel costCsteel = Msteel × UsteelMsteel = Steel mass (3400 tonnes, Table 10)
Usteel = Unit cost (USD 1850/tonne, Chinese shipyard average [34])
Outfitting and equipmentCoutfit = 0.25 × Csteel25% of steel cost [24]
Ballast system costCballast = 120 × VballastVballast = Ballast volume (8690 m3, Table 11)
Uballast = Unit cost (USD 120/m3 [35])
Disclaimer/Publisher’s Note: The statements, opinions and data contained in all publications are solely those of the individual author(s) and contributor(s) and not of MDPI and/or the editor(s). MDPI and/or the editor(s) disclaim responsibility for any injury to people or property resulting from any ideas, methods, instructions or products referred to in the content.

Share and Cite

MDPI and ACS Style

Cao, Q.; Zhang, X.; Chen, Y.; Wu, X.; Zhang, K.; Zhang, C. Overall Design and Performance Analysis of the Semi-Submersible Platform for a 10 MW Vertical-Axis Wind Turbine. Energies 2025, 18, 3488. https://doi.org/10.3390/en18133488

AMA Style

Cao Q, Zhang X, Chen Y, Wu X, Zhang K, Zhang C. Overall Design and Performance Analysis of the Semi-Submersible Platform for a 10 MW Vertical-Axis Wind Turbine. Energies. 2025; 18(13):3488. https://doi.org/10.3390/en18133488

Chicago/Turabian Style

Cao, Qun, Xinyu Zhang, Ying Chen, Xinxin Wu, Kai Zhang, and Can Zhang. 2025. "Overall Design and Performance Analysis of the Semi-Submersible Platform for a 10 MW Vertical-Axis Wind Turbine" Energies 18, no. 13: 3488. https://doi.org/10.3390/en18133488

APA Style

Cao, Q., Zhang, X., Chen, Y., Wu, X., Zhang, K., & Zhang, C. (2025). Overall Design and Performance Analysis of the Semi-Submersible Platform for a 10 MW Vertical-Axis Wind Turbine. Energies, 18(13), 3488. https://doi.org/10.3390/en18133488

Note that from the first issue of 2016, this journal uses article numbers instead of page numbers. See further details here.

Article Metrics

Back to TopTop