On the Influence of PV Cell and Diode Configurations on the Performance of a CPVT Collector: A Comparative Analysis
Abstract
1. Introduction
- The number of PV cells in the array: Identifying an appropriate number of photovoltaic cells within the receiver is crucial to maximising overall efficiency. While it may seem intuitive that increasing the number of cells would lead to a higher electrical output, practical limitations must be considered. In a string configuration, the cell with the lowest efficiency acts as a performance bottleneck, reducing the output of the entire array. Moreover, as the number of cells increases, those positioned near the edges of the receiver may experience reduced concentrated irradiance at certain solar angles. This can lead to a decline in their efficiency and, consequently, limit the overall efficiency of the system. To address this, a series of simulations have been conducted in this study using the ray-tracing software Tonatiuh v2.2.4 to compare alternative configurations and assess which number of cells yields the highest performance while mitigating losses due to non-uniform irradiance distribution.
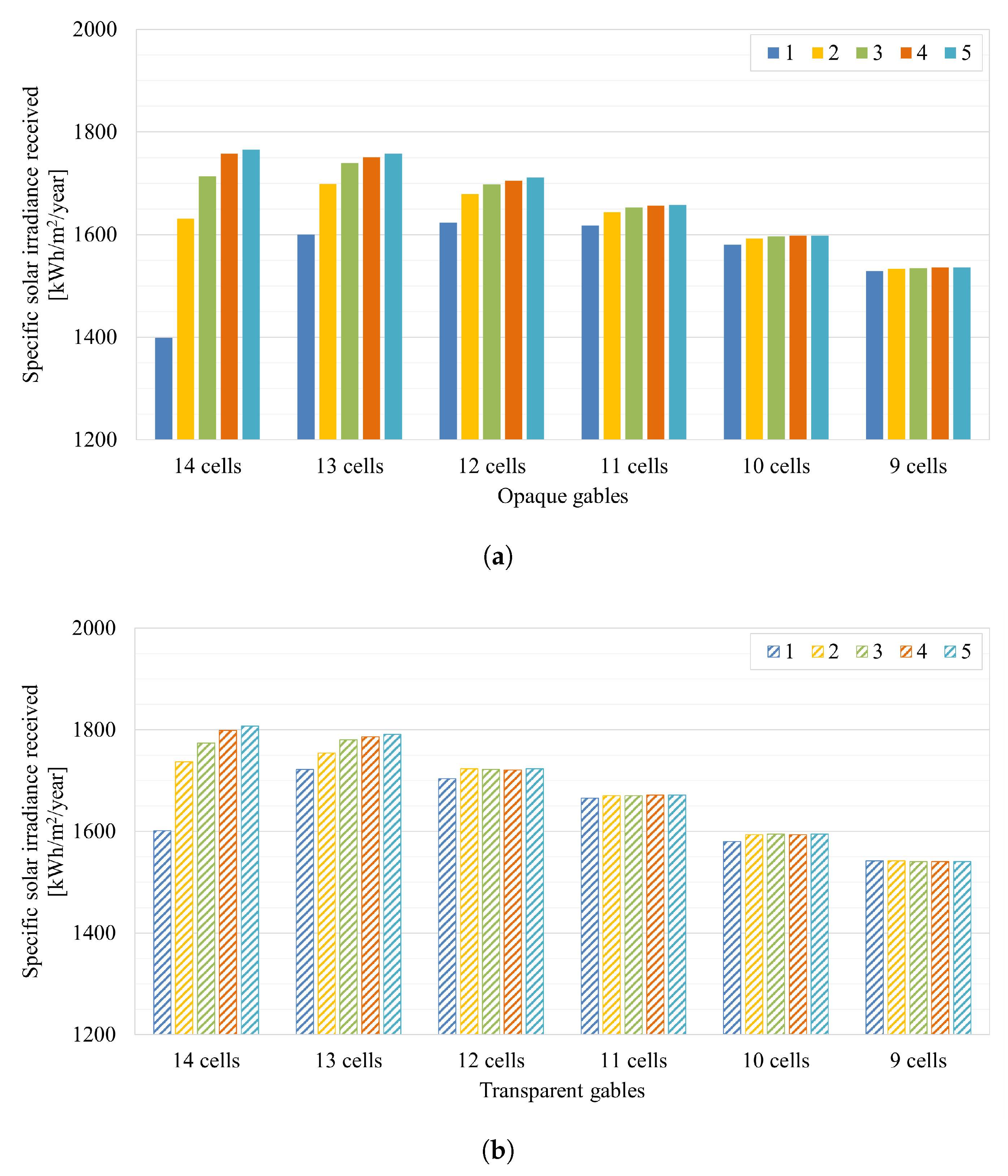
- The opacity of the gables: The second design aspect examined in this study is the impact of opaque gables in contrast to transparent gables at the ends of the collector, as illustrated in Figure 2. The choice of gable material affects the distribution of concentrated sunlight and, consequently, the electrical performance of the system. Ray-tracing simulations have been performed to compare the performance outputs of models equipped with both transparent and opaque gables. The results of these simulations provide insight into how light transmission and reflection at the gables influence the uniformity and intensity of irradiance received by the photovoltaic cells.
- Implementation of diodes: The final aspect under evaluation is the implementation of a bypass diode system. In traditional photovoltaic configurations, shading of a single cell can significantly reduce the performance of the entire string due to the series connection of cells. By integrating bypass diodes, the cells are effectively divided into separate strings, preventing under-performing or shaded cells from limiting the performance of the rest of the array. However, while a diode system offers the advantage of mitigating shading losses, it also introduces additional system complexity, while increasing the production cost and consuming the limited receiver space. This study examines whether the benefits of enhanced performance outweigh these drawbacks by analysing different diode configurations and their impact on overall system efficiency.
2. Methodology
2.1. Simulation Setup
2.2. Number of Cells on the Receiver
2.3. Effect of Gable Opacity on Efficiency
2.4. Optimal Number of Diodes
2.5. Performance Comparison Between Power Collector and Double MaReCo
3. Results and Discussion
3.1. Effect of Cell Number and Gable Opacity
3.2. Effect of Number of Diodes
3.3. Opaque vs. Transparent Gables
3.4. Comparison of Double MaReCo with Power Collector
4. Conclusions
Author Contributions
Funding
Data Availability Statement
Conflicts of Interest
Abbreviations
| CPVT | Concentrating Photovoltaic-Thermal |
| DM | Double MaReCo |
| IAM | Incidence Angle Modifier |
| MaReCo | Maximum Reflector Concentration |
| MCRT | Monte Carlo Ray-Tracing |
| PC | Power Collector |
| PV | Photovoltaic |
| PVT | Photovoltaic-Thermal |
| ST | Solar Thermal |
References
- Bohm, D.; Kuhn, T.S. The structure of scientific revolutions. Philos. Q. 1964, 14, 377. [Google Scholar] [CrossRef][Green Version]
- Ramos, A.; Chatzopoulou, M.A.; Guarracino, I.; Freeman, J.; Markides, C.N. Hybrid photovoltaic-thermal solar systems for combined heating, cooling and power provision in the urban environment. Energy Convers. Manag. 2017, 150, 838–850. [Google Scholar] [CrossRef]
- Shadmehri, M.; Narei, H.; Ghasempour, R.; Shafii, M.B. Numerical simulation of a concentrating photovoltaic-thermal solar system combined with thermoelectric modules by coupling Finite Volume and Monte Carlo Ray-Tracing methods. Energy Convers. Manag. 2018, 172, 343–356. [Google Scholar] [CrossRef]
- Herrando, M.; Ramos, A. Photovoltaic-Thermal (PV-T) Systems for Combined Cooling, Heating and Power in Buildings: A Review. Energies 2022, 15, 3021. [Google Scholar] [CrossRef]
- Herrando, M.; Wang, K.; Huang, G.; Otanicar, T.; Mousa, O.B.; Agathokleous, R.A.; Ding, Y.; Kalogirou, S.; Ekins-Daukes, N.; Taylor, R.A.; et al. A review of solar hybrid photovoltaic-thermal (PV-T) collectors and systems. Prog. Energy Combust. Sci. 2023, 97, 101072. [Google Scholar] [CrossRef]
- Murali, D.; Acosta-Pazmiño, I.P.; Loris, A.; García, A.C.; Benni, S.; Tinti, F.; Gomes, J. Experimental assessment of a solar photovoltaic-thermal system in a livestock farm in Italy. Sol. Energy Adv. 2024, 4, 100051. [Google Scholar] [CrossRef]
- Miljkovic, N.; Wang, E.N. Modeling and optimization of hybrid solar thermoelectric systems with thermosyphons. Sol. Energy 2011, 85, 2843–2855. [Google Scholar] [CrossRef]
- Su, D.; Jia, Y.; Alva, G.; Liu, L.; Fang, G. Comparative analyses on dynamic performances of photovoltaic–thermal solar collectors integrated with phase change materials. Energy Convers. Manag. 2017, 131, 79–89. [Google Scholar] [CrossRef]
- Cabral, D.; Gomes, J.; Karlsson, B. Performance evaluation of non-uniform illumination on a transverse bifacial PVT receiver in combination with a CPC geometry. Sol. Energy 2019, 194, 696–708. [Google Scholar] [CrossRef]
- Duffie, J.A.; Beckman, W.A.; Blair, N. Solar Engineering of Thermal Processes, Photovoltaics and Wind; John Wiley & Sons: Hoboken, NJ, USA, 2020. [Google Scholar]
- Sharaf, O.Z.; Orhan, M.F. Concentrated photovoltaic thermal (CPVT) solar collector systems: Part II – Implemented systems, performance assessment, and future directions. Renew. Sustain. Energy Rev. 2015, 50, 1566–1633. [Google Scholar] [CrossRef]
- Lämmle, M.; Kroyer, T.; Fortuin, S.; Wiese, M.; Hermann, M. Development and modelling of highly-efficient PVT collectors with low-emissivity coatings. Sol. Energy 2016, 130, 161–173. [Google Scholar] [CrossRef]
- Yang, F.; Wang, H.; Zhang, X.; Tian, W.; Hua, Y.; Dong, T. Design and experimental study of a cost-effective low concentrating photovoltaic/thermal system. Sol. Energy 2017, 160, 289–296. [Google Scholar] [CrossRef]
- Saini, V.; Tripathi, R.; Tiwari, G.; Al-Helal, I. Electrical and thermal energy assessment of series connected N partially covered photovoltaic thermal (PVT)-compound parabolic concentrator (CPC) collector for different solar cell materials. Appl. Therm. Eng. 2017, 128, 1611–1623. [Google Scholar] [CrossRef]
- Sharaf, O.Z.; Orhan, M.F. Comparative thermodynamic analysis of densely-packed concentrated photovoltaic thermal (CPVT) solar collectors in thermally in-series and in-parallel receiver configurations. Renew. Energy 2018, 126, 296–321. [Google Scholar] [CrossRef]
- Youssef, W.B.; Maatallah, T.; Menezo, C.; Nasrallah, S.B. Modeling and optimization of a solar system based on concentrating photovoltaic/thermal collector. Sol. Energy 2018, 170, 301–313. [Google Scholar] [CrossRef]
- Alves, P.; Fernandes, J.F.; Torres, J.P.N.; Branco, P.C.; Fernandes, C.; Gomes, J. From Sweden to Portugal: The effect of very distinct climate zones on energy efficiency of a concentrating photovoltaic/thermal system (CPV/T). Sol. Energy 2019, 188, 96–110. [Google Scholar] [CrossRef]
- Cabral, D.; Karlsson, B.O. Electrical and thermal performance evaluation of symmetric truncated C-PVT trough solar collectors with vertical bifacial receivers. Sol. Energy 2018, 174, 683–690. [Google Scholar] [CrossRef]
- Cabral, D.; Gomes, J.; Hayati, A.; Karlsson, B. Experimental investigation of a CPVT collector coupled with a wedge PVT receiver. Sol. Energy 2021, 215, 335–345. [Google Scholar] [CrossRef]
- Decker, B.; Jahn, U. Performance of 170 grid connected PV plants in Northern Germany—Analysis of yields and optimization potentials. Sol. Energy 1997, 59, 127–133. [Google Scholar] [CrossRef]
- Bunthof, L.; Kreuwel, F.; Kaldenhoven, A.; Kin, S.; Corbeek, W.; Bauhuis, G.; Vlieg, E.; Schermer, J. Impact of shading on a flat CPV system for façade integration. Sol. Energy 2016, 140, 162–170. [Google Scholar] [CrossRef]
- Woyte, A.; Nijs, J.; Belmans, R. Partial shadowing of photovoltaic arrays with different system configurations: Literature review and field test results. Sol. Energy 2003, 74, 217–233. [Google Scholar] [CrossRef]
- Adsten, M.; Helgesson, A.; Karlsson, B. Evaluation of CPC-collector designs for stand-alone, roof- or wall installation. Sol. Energy 2005, 79, 638–647. [Google Scholar] [CrossRef]
- Gomes, J. Assessment of the Impact of Stagnation Temperatures in Receiver Prototypes of C-PVT Collectors. Energies 2019, 12, 2967. [Google Scholar] [CrossRef]
- Nasseriyan, P.; Afzali Gorouh, H.; Gomes, J.; Cabral, D.; Salmanzadeh, M.; Lehmann, T.; Hayati, A. Numerical and Experimental Study of an Asymmetric CPC-PVT Solar Collector. Energies 2020, 13, 1669. [Google Scholar] [CrossRef]
- Cabral, D. Development and performance comparison of a modified glazed CPC hybrid solar collector coupled with a bifacial PVT receiver. Appl. Energy 2022, 325, 119653. [Google Scholar] [CrossRef]
- Gomes, J. Development of Concentrating Photovoltaic-Thermal Solar Collectors. Ph.D. Thesis, Gävle University, Gävle, Sweden, 2021. [Google Scholar]
- Cheng, Z.; He, Y.; Cui, F.; Xu, R.; Tao, Y. Numerical simulation of a parabolic trough solar collector with nonuniform solar flux conditions by coupling FVM and MCRT method. Sol. Energy 2012, 86, 1770–1784. [Google Scholar] [CrossRef]
- Jafrancesco, D.; Cardoso, J.P.; Mutuberria, A.; Leonardi, E.; Les, I.; Sansoni, P.; Francini, F.; Fontani, D. Optical simulation of a central receiver system: Comparison of different software tools. Renew. Sustain. Energy Rev. 2018, 94, 792–803. [Google Scholar] [CrossRef]
- Wang, Y.; Potter, D.; Asselineau, C.A.; Corsi, C.; Wagner, M.; Caliot, C.; Piaud, B.; Blanco, M.; Kim, J.S.; Pye, J. Verification of optical modelling of sunshape and surface slope error for concentrating solar power systems. Sol. Energy 2020, 195, 461–474. [Google Scholar] [CrossRef]









| Component | Optical Property |
|---|---|
| Glass cover | Reflectance = 95% |
| Aluminum reflector | Transmittance = 95%, Refractive index = 1.52 |
| Plastic gable | Transmittance = 91%, Refractive index =1.492 |
| Number of Cells | Morning [kWh/Year] | Evening [kWh/Year] | Solar Irradiance of Bottle-Necking Cell [kWh/Year] | ||
|---|---|---|---|---|---|
| 14 | Cell 14 19.0 | Cell 1 27.7 | Cell 14 27.7 | Cell 1 19.0 | |
| Number of Diodes | 14 Cells | 13 Cells | 12 Cells | 11 Cells | 10 Cells | 9 Cells |
|---|---|---|---|---|---|---|
| 5 | 2-3-3-3-3 | 2-3-3-3-2 | 2-2-3-3-2 | 2-2-3-2-2 | 2-2-2-2-2 | 1-2-2-2-2 |
| 4 | 3-4-4-3 | 3-3-4-3 | 3-3-3-3 | 2-3-3-3 | 2-3-3-2 | 2-2-3-2 |
| 3 | 4-5-5 | 4-5-4 | 4-4-4 | 3-4-4 | 3-4-3 | 3-3-3 |
| 2 | 7-7 | 6-7 | 6-6 | 5-6 | 5-5 | 4-5 |
| 1 | 14 | 13 | 12 | 11 | 10 | 9 |
| No. Cells and Diodes | Annual Solar Irradiance | Total Specific Solar Irradiance | Ratio Opaque vs. Transp. [%] | ||||
|---|---|---|---|---|---|---|---|
|
Top [kWh/yr] |
Bottom Opaque [kWh/yr] |
Bottom Transp. [kWh/yr] |
Opaque [kWh/m2/yr] |
Transp. [kWh/m2/yr] | |||
| 1 | 766 | 367 | 531 | 1399 | 1601 | 87 | |
| 2 | 766 | 555 | 641 | 1631 | 1737 | 94 | |
| 14 | 3 | 766 | 622 | 671 | 1714 | 1774 | 97 |
| 4 | 766 | 658 | 691 | 1757 | 1799 | 98 | |
| 5 | 766 | 664 | 698 | 1766 | 1807 | 98 | |
| 1 | 766 | 530 | 629 | 1533 | 1722 | 93 | |
| 2 | 766 | 610 | 655 | 1632 | 1754 | 97 | |
| 13 | 3 | 766 | 643 | 676 | 1671 | 1780 | 98 |
| 4 | 766 | 652 | 681 | 1684 | 1786 | 98 | |
| 5 | 766 | 658 | 685 | 1690 | 1791 | 98 | |
| 1 | 766 | 549 | 614 | 1488 | 1704 | 95 | |
| 2 | 766 | 594 | 630 | 1544 | 1723 | 97 | |
| 12 | 3 | 766 | 609 | 629 | 1562 | 1722 | 99 |
| 4 | 766 | 615 | 628 | 1570 | 1721 | 99 | |
| 5 | 766 | 620 | 630 | 1575 | 1723 | 99 | |
| 1 | 766 | 544 | 583 | 1415 | 1665 | 97 | |
| 2 | 766 | 565 | 587 | 1441 | 1670 | 98 | |
| 11 | 3 | 766 | 573 | 587 | 1450 | 1670 | 99 |
| 4 | 766 | 576 | 588 | 1454 | 1672 | 99 | |
| 5 | 766 | 577 | 588 | 1455 | 1672 | 99 | |
| 1 | 766 | 514 | 514 | 1309 | 1580 | 100 | |
| 2 | 766 | 524 | 525 | 1322 | 1594 | 100 | |
| 10 | 3 | 766 | 527 | 526 | 1326 | 1595 | 100 |
| 4 | 766 | 528 | 525 | 1327 | 1594 | 100 | |
| 5 | 766 | 528 | 526 | 1327 | 1595 | 100 | |
| 1 | 766 | 472 | 483 | 1190 | 1542 | 99 | |
| 2 | 766 | 476 | 483 | 1196 | 1542 | 99 | |
| 9 | 3 | 766 | 477 | 482 | 1197 | 1541 | 100 |
| 4 | 766 | 478 | 482 | 1198 | 1541 | 100 | |
| 5 | 766 | 478 | 482 | 1198 | 1541 | 100 | |
| Number of Cells/Diodes on the Receiver | 14/5 | 14/4 | 13/5 | 13/4 | |
|---|---|---|---|---|---|
| Solar radiation perceived on PC | [kWh/m2/yr] | 1159 | 1156 | 1092 | 1087 |
| Solar radiation perceived on DM | [kWh/m2/yr] | 1807 | 1799 | 1791 | 1786 |
| Performance increase using DM | [%] | 56 | 56 | 64 | 64 |
Disclaimer/Publisher’s Note: The statements, opinions and data contained in all publications are solely those of the individual author(s) and contributor(s) and not of MDPI and/or the editor(s). MDPI and/or the editor(s) disclaim responsibility for any injury to people or property resulting from any ideas, methods, instructions or products referred to in the content. |
© 2025 by the authors. Licensee MDPI, Basel, Switzerland. This article is an open access article distributed under the terms and conditions of the Creative Commons Attribution (CC BY) license (https://creativecommons.org/licenses/by/4.0/).
Share and Cite
Gomes, J.; Santana, J.P.; Murali, D.; Pius, G.; Acosta-Pazmiño, I.P. On the Influence of PV Cell and Diode Configurations on the Performance of a CPVT Collector: A Comparative Analysis. Energies 2025, 18, 3479. https://doi.org/10.3390/en18133479
Gomes J, Santana JP, Murali D, Pius G, Acosta-Pazmiño IP. On the Influence of PV Cell and Diode Configurations on the Performance of a CPVT Collector: A Comparative Analysis. Energies. 2025; 18(13):3479. https://doi.org/10.3390/en18133479
Chicago/Turabian StyleGomes, João, Juan Pablo Santana, Damu Murali, George Pius, and Iván P. Acosta-Pazmiño. 2025. "On the Influence of PV Cell and Diode Configurations on the Performance of a CPVT Collector: A Comparative Analysis" Energies 18, no. 13: 3479. https://doi.org/10.3390/en18133479
APA StyleGomes, J., Santana, J. P., Murali, D., Pius, G., & Acosta-Pazmiño, I. P. (2025). On the Influence of PV Cell and Diode Configurations on the Performance of a CPVT Collector: A Comparative Analysis. Energies, 18(13), 3479. https://doi.org/10.3390/en18133479

