Self-Supervised Asynchronous Federated Learning for Diagnosing Partial Discharge in Gas-Insulated Switchgear
Abstract
1. Introduction
- SSAFL leverages data augmentation techniques to address the scarcity of labeled data in GIS fault diagnosis while ensuring data privacy and efficiently utilizing heterogeneous IED resources.
- Experimental results demonstrate that SSAFL significantly outperforms supervised learning methods and reduces training time by approximately 30% compared to Self-Supervised Federated Learning (SSFL). This improvement is achieved by minimizing the waiting time between IEDs, thereby accelerating the communication process.
2. Experimental Analysis
2.1. Experiment Setup
2.2. PRPD Analysis
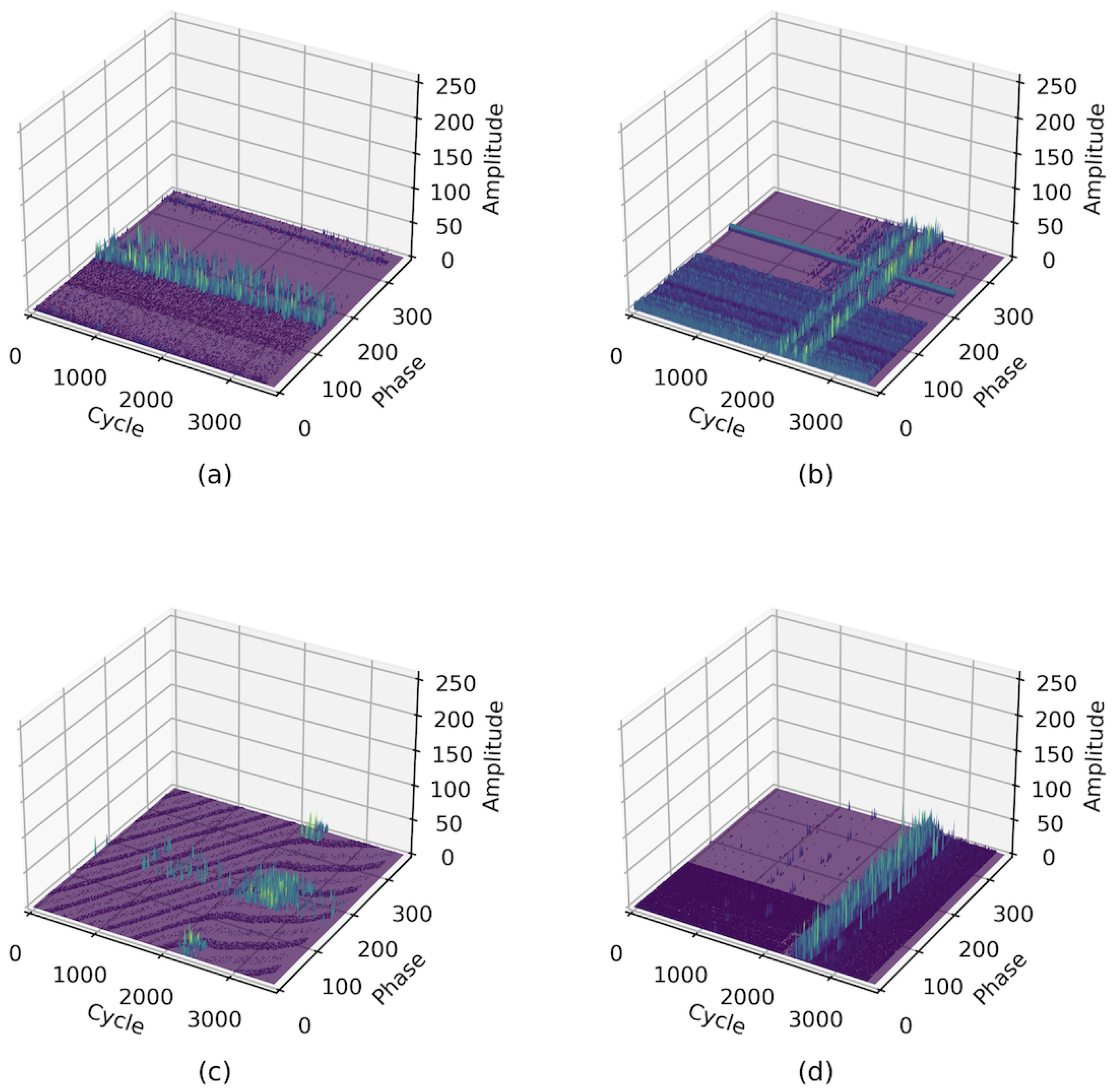
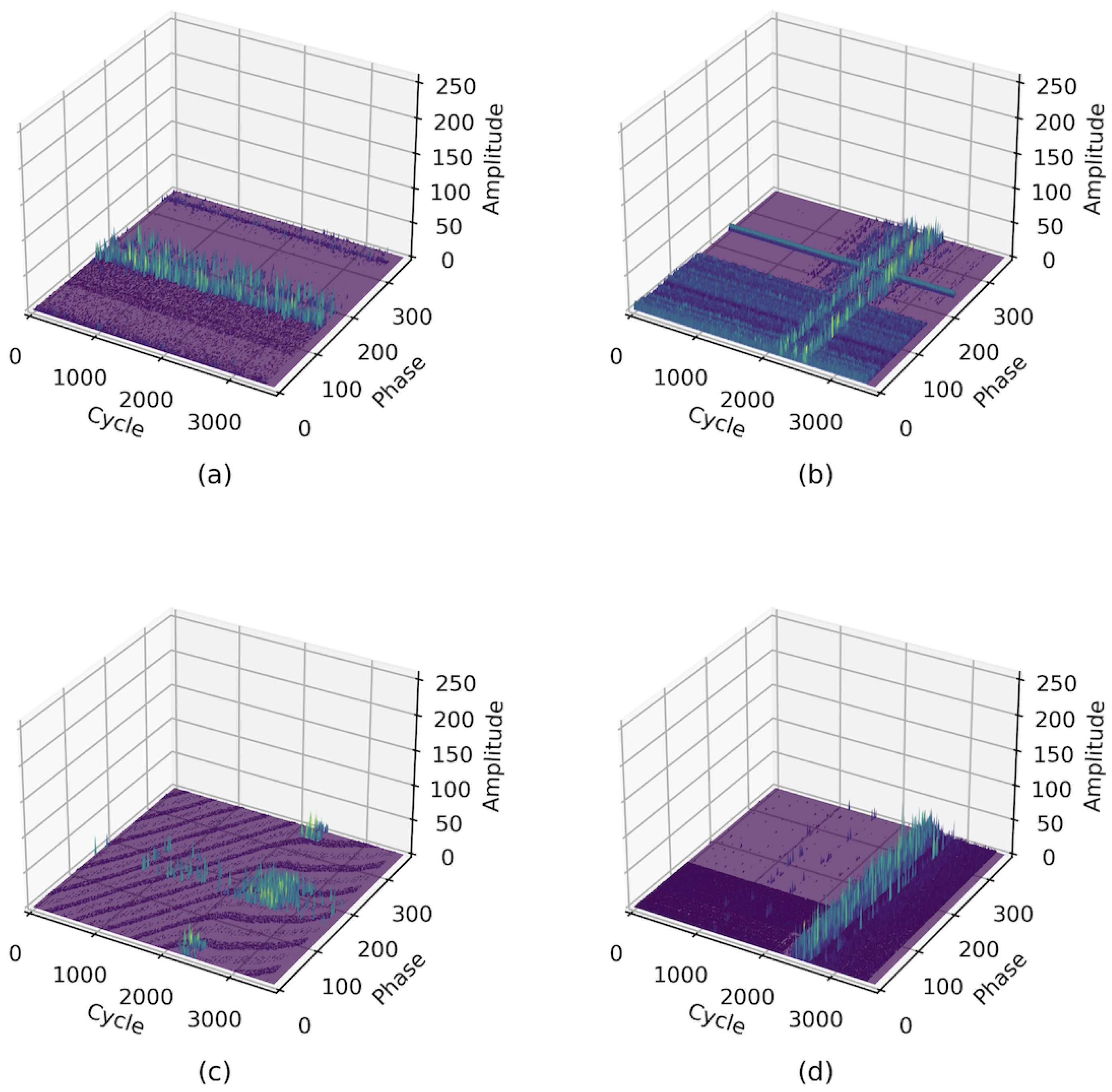
2.3. Online Noise Analysis
3. Proposed Scheme
3.1. Problem Description
3.2. Proposed of Self-Supervised Asynchronous Federated Learning
- Step 1—Initialization: The server initializes the global online model with parameters at time t. The model architecture is based on MobileNet-V3 [43], where the pretrained weights are frozen, and the remaining parts are randomly initialized. The server then sends these global model weights to all IEDs.
- Step 2—Local Pretraining: Upon receiving , each IED initializes its local online network and its local target network with parameters and , respectively, based on . The IED then optimizes its local online model and its local target model using its unlabeled data . To facilitate this, each unlabeled sample is transformed via a set of augmentation functions (described in Section III.C.) into a pair of augmented inputs . The online network and the target network process this augmented pair to generate outputs (from the online network) and (from the target network). The online network is then updated by minimizing the loss based on these outputs. Meanwhile, the target network parameters are updated using an exponential moving average (EMA) with a decay rate , producing . At the end of local pretraining, the IED sends to the server, completing the communication round.
- Step 3—Global Communication: After the server receives an updated model from an IED, it integrates this update with the current global model using an aggregation function , producing a new global model . The server immediately sends back to the IED. This asynchronous update process continues for each IED until the global communication phase concludes. Once global aggregation is complete, the server instructs all IEDs to transition to the downstream task phase by broadcasting the final global model .
- Step 4—Local Downstream Tasks: Upon receiving , each IED begins the downstream training phase. The IED combines its received online model with a newly initialized MLP (denoted as ) to create the downstream model . This model is then trained on the IED’s labeled dataset to produce optimized downstream parameters .
| Algorithm 1 Self-Supervised Asynchronous Federated Learning (SSAFL) Algorithm |
| Input: List of IEDs, , Number of communication rounds T, Local Training epochs and pre-train task , Local training epochs at downstream task , Batch-size B, Downstream task learning rate , target decay rate , mixing hyper-parameter . |
| Server Aggregate |
| 1: Initialized |
| 2: for to T do |
| 3: for in K do |
| 4: Pre-training |
| 5: A() |
| 6: end for |
| 7: end for |
| Output: Global model |
| Local Pre-training |
| 1: Initialize: |
| 2: for epoch in do |
| 3: for batch in B do |
| 4: |
| 5: |
| 6: |
| 7: |
| 8: |
| 9: end for |
| 10: end for |
| 11: return: |
| Local Downstream Tasks |
| 1: Initialize: |
| 2: for epoch in do |
| 3: for batch in B do |
| 4: |
| 5: |
| 6: end for |
| 7: end for |
| 8: return |
3.3. Global Communication
- Gaussian noise adding: Introduce Gaussian noise with and to the original signal.
- Gaussian noise scaling: Similar to above but with (with the same ) to scale the original signal.
- Random cropping: Zero out a random segment of the signal (segment length is 20% of the original data length).
- Phase shifting: Phase shifting augmentation is implemented by adding a random phase offset to the PD signals, which introduces a phase synchronization error into the augmented data [45]. This process simulates a phase synchronization error between the electrical equipment and the fault diagnosis system.
- Amplitude scaling: Multiply the signal by a random factor in the range of [0.8, 1.2], capping the maximum amplitude at 255 after scaling.
3.4. Downstream Tasks
4. Performance Evaluation
4.1. Hyperparameter Optimization
- Centralized Supervised Learning [42] (no data privacy, fully labeled data): All IED data are aggregated on a central server without any privacy restrictions. It assumes all data are labeled and does not address scenarios with limited labeled data.
- Centralized Self-supervised Learning [33] (no data privacy): This approach aggregates data on a central server and leverages self-supervised learning to handle limited labels. While it addresses the scarcity of labeled data by utilizing unlabeled data, it disregards data privacy concerns.
- Supervised Federated Learning [46] (fully labeled data, homogeneous IED resources): This federated approach preserves data privacy by keeping data local, but it assumes all local data are labeled and that all IEDs have similar resources. It therefore still suffers from labeled data scarcity and cannot handle heterogeneity in IED resources.
- Supervised Asynchronous Federated Learning [40] (fully labeled data): This approach allows asynchronous updates to manage heterogeneous IED resources. However, it still requires fully labeled data and thus suffers from labeled data scarcity.
- Self-Supervised Federated Learning [47] (homogeneous IED resources): This method addresses data privacy and mitigates labeled data scarcity by using self-supervised learning in a federated setting. However, it assumes homogeneous IED resources and does not resolve issues related to IED heterogeneity.
- Self-Supervised Asynchronous Federated Learning: This approach simultaneously addresses the scarcity of labeled data, preserves data privacy, and accommodates heterogeneous IED resources.
4.2. Experimental Results
5. Conclusions
Author Contributions
Funding
Data Availability Statement
Conflicts of Interest
Nomenclatures
| ADC | Analog-to-digital converter |
| AFL | Asynchronous federated learning |
| CNNs | Convolution neural networks |
| DAS | Data acquisition system |
| DNNs | Deep neural networks |
| FIFO | First-in, first-out |
| FL | Federated learning |
| GIS | Gas-insulated switchgear |
| IEDs | Intelligent electronic devices |
| LSTM | Long short-term memory |
| MLP | Multi-Layer Perceptron |
| PD | Partial discharge |
| PRPDs | Phase-resolved PDs |
| RNNs | Recurrent neural networks |
| SemiSL | Semi-supervised learning |
| SSAFL | Self-Supervised Asynchronous Federated Learning |
| SSL | Self-supervised learning |
| SSFL | Self-Supervised Federated Learning |
| UHF | Ultra-high-frequency |
References
- Han, X.; Li, J.; Zhang, L.; Pang, P.; Shen, S. A Novel PD Detection Technique for Use in GIS Based on a Combination of UHF and Optical Sensors. IEEE Trans. Instrum. Meas. 2019, 68, 2890–2897. [Google Scholar] [CrossRef]
- Zhang, Z.; Wang, H.; Chen, H.; Shi, T.; Song, Y.; Han, X.; Li, J. A Novel IEPE AE-Vibration-Temperature-Combined Intelligent Sensor for Defect Detection of Power Equipment. IEEE Trans. Instrum. Meas. 2023, 72, 9506809. [Google Scholar] [CrossRef]
- Song, H.; Zhang, Z.; Tian, J.; Sheng, G.; Jiang, X. Multiscale Fusion Simulation of the Influence of Temperature on the Partial Discharge Signal of GIS Insulation Void Defects. IEEE Trans. Power Deliv. 2022, 37, 1304–1314. [Google Scholar] [CrossRef]
- Xia, C.; Ren, M.; Chen, R.; Yu, J.; Li, C.; Wang, Y.C.K.; Wang, S.; Dong, M. Multispectral optical partial discharge detection, recognition, and assessment. IEEE Trans. Instrum. Meas. 2022, 71, 7002911. [Google Scholar] [CrossRef]
- Lu, B.; Huang, W.; Xiong, J.; Song, L.; Zhang, Z.; Dong, Q. The study on a new method for detecting corona discharge in gas insulated switchgear. IEEE Trans. Instrum. Meas. 2022, 71, 9000208. [Google Scholar] [CrossRef]
- Ren, M.; Dong, M.; Liu, Y.; Miao, J.; Qiu, A. Partial discharges in SF6 gas filled void under standard oscillating lightning and switching impulses in uniform and non-uniform background fields. IEEE Trans. Dielectr. Electr. Insul. 2014, 21, 138–148. [Google Scholar] [CrossRef]
- Zeng, F.; Tang, J.; Zhang, X.; Zhou, S.; Pan, C. Typical Internal Defects of Gas-Insulated Switchgear and Partial Discharge Characteristics. In Simulation and Modelling of Electrical Insulation Weaknesses in Electrical Equipment; InTech: Rijeka, Croatia, 2018. [Google Scholar] [CrossRef]
- Tenbohlen, S.; Coenen, S.; Djamali, M.; Müller, A.; Samimi, M.H.; Siegel, M. Diagnostic Measurements for Power Transformers. Energies 2016, 9, 347. [Google Scholar] [CrossRef]
- Shu, Z.; Wang, W.; Yang, C.; Guo, Y.; Ji, J.; Yang, Y.; Shi, T.; Zhao, Z.; Zheng, Y. External partial discharge detection of gas-insulated switchgears using a low-noise and enhanced-sensitivity UHF sensor module. IEEE Trans. Instrum. Meas. 2023, 72, 3518210. [Google Scholar] [CrossRef]
- Gao, W.; Zhao, D.; Ding, D.; Yao, S.; Zhao, Y.; Liu, W. Investigation of frequency characteristics of typical PD and the propagation properties in GIS. IEEE Trans. Dielectr. Electr. Insul. 2015, 22, 1654–1662. [Google Scholar] [CrossRef]
- Zhou, L.; Yang, F.; Zhang, Y.; Hou, S. Feature Extraction and Classification of Partial Discharge Signal in GIS Based on Hilbert Transform. In Proceedings of the International Conference on Information Control, Electrical Engineering and Rail Transit (ICEERT), Lanzhou, China, 23–25 October 2021; pp. 208–213. [Google Scholar] [CrossRef]
- Li, L.; Tang, J.; Liu, Y. Partial Discharge Recognition in Gas Insulated Switchgear Based on Multi-Information Fusion. IEEE Trans. Dielectr. Electr. Insul. 2015, 22, 1080–1087. [Google Scholar] [CrossRef]
- Firuzi, K.; Vakilian, M.; Phung, B.T.; Blackburn, T.R. Partial Discharges Pattern Recognition of Transformer Defect Model by LBP & HOG Features. IEEE Trans. Power Deliv. 2019, 34, 542–550. [Google Scholar] [CrossRef]
- Zhang, X.; Xiao, S.; Shu, N.; Tang, J.; Li, W. GIS Partial Discharge Pattern Recognition Based on the Chaos Theory. IEEE Trans. Dielectr. Electr. Insul. 2014, 21, 783–790. [Google Scholar] [CrossRef]
- Abubakar, A.; Zachariades, C. Phase-resolved partial discharge (PRPD) pattern recognition using image processing template matching. Sensors 2024, 24, 3565. [Google Scholar] [CrossRef]
- Chauhan, N.K.; Singh, K. A Review on Conventional Machine Learning vs. Deep Learning. In Proceedings of the International Conference on Computing, Power and Communication Technologies (GUCON), Greater Noida, India, 28–29 September 2018; pp. 347–352. [Google Scholar] [CrossRef]
- Wang, Y.; Yan, J.; Yang, Z.; Jing, Q.; Qi, Z.; Wang, J.; Geng, Y. A domain adaptive deep transfer learning method for gas-insulated switchgear partial discharge diagnosis. IEEE Trans. Power Deliv. 2021, 37, 2514–2523. [Google Scholar] [CrossRef]
- Tuyet-Doan, V.-N.; Anh, P.-H.; Lee, B.; Kim, Y.-H. Deep ensemble model for unknown partial discharge diagnosis in gas-insulated switchgears using convolutional neural networks. IEEE Access 2021, 9, 80524–80534. [Google Scholar] [CrossRef]
- Nguyen, M.T.; Nguyen, V.H.; Yun, S.J.; Kim, Y.H. Recurrent neural network for partial discharge diagnosis in gas-insulated switchgear. Energies 2018, 11, 1202. [Google Scholar] [CrossRef]
- Do, T.-D.; Tuyet-Doan, V.-N.; Cho, Y.-S.; Sun, J.-H.; Kim, Y.-H. Convolutional-Neural-Network-Based Partial Discharge Diagnosis for Power Transformer Using UHF Sensor. IEEE Access 2020, 8, 207377–207388. [Google Scholar] [CrossRef]
- Chen, C.H.; Chou, C.J. Deep learning and long-duration PRPD analysis to uncover weak partial discharge signals for defect identification. Appl. Sci. 2023, 13, 10570. [Google Scholar] [CrossRef]
- Zheng, Q.; Wang, R.; Tian, X.; Yu, Z.; Wang, H.; Elhanashi, A.; Saponara, S. A real-time transformer discharge pattern recognition method based on CNN-LSTM driven by few-shot learning. Electr. Power Syst. Res. 2023, 219, 109241. [Google Scholar] [CrossRef]
- Salman, S.; Liu, X. Overfitting mechanism and avoidance in deep neural networks. arXiv 2019, arXiv:1901.06566. [Google Scholar] [CrossRef]
- Albelwi, S. Survey on self-supervised learning: Auxiliary pretext tasks and contrastive learning methods in imaging. Entropy 2022, 24, 551. [Google Scholar] [CrossRef]
- Lee, D.H. Pseudo-label: The simple and efficient semi-supervised learning method for deep neural networks. In Proceedings of the Workshop on Challenges in Representation Learning, 30th International Conference on Machine Learning (ICML 2013), Atlanta, GA, USA, 16–21 June 2013; Volume 3, p. 896. [Google Scholar]
- Sohn, K.; Berthelot, D.; Carlini, N.; Zhang, Z.; Zhang, H.; Raffel, C.A.; Li, C.L. FixMatch: Simplifying semi-supervised learning with consistency and confidence. Adv. Neural Inf. Process. Syst. 2020, 33, 596–608. [Google Scholar] [CrossRef]
- Berthelot, D.; Carlini, N.; Goodfellow, I.; Papernot, N.; Oliver, A.; Raffel, C.A. MixMatch: A holistic approach to semi-supervised learning. Adv. Neural Inf. Process. Syst. 2019, 32. [Google Scholar] [CrossRef]
- Tai, H.T.; Youn, Y.W.; Choi, H.S.; Kim, Y.H. Semi-supervised learning-based partial discharge diagnosis in gas-insulated switchgear. IEEE Access 2024, 12, 115171–115181. [Google Scholar] [CrossRef]
- Yang, J.; Hu, K.; Zhang, J.; Bao, J. Semi-supervised learning for gas insulated switchgear partial discharge pattern recognition in the case of limited labeled data. Eng. Appl. Artif. Intell. 2024, 137, 109193. [Google Scholar] [CrossRef]
- Zhang, Y.; Yu, Y.; Zhang, Y.; Liu, Z.; Zhang, M. A semi-supervised approach for partial discharge recognition combining graph convolutional network and virtual adversarial training. Energies 2024, 17, 4574. [Google Scholar] [CrossRef]
- Morette, N.; Heredia, L.C.; Ditchi, T.; Mor, A.R.; Oussar, Y. Partial discharges and noise classification under HVDC using unsupervised and semi-supervised learning. Int. J. Electr. Power Energy Syst. 2020, 121, 106129. [Google Scholar] [CrossRef]
- Grill, J.B.; Strub, F.; Altché, F.; Tallec, C.; Richemond, P.; Buchatskaya, E.; Valko, M. Bootstrap your own latent—a new approach to self-supervised learning. Adv. Neural Inf. Process. Syst. 2020, 33, 21271–21284. [Google Scholar] [CrossRef]
- Davaslioglu, K.; Boztaş, S.; Ertem, M.C.; Sagduyu, Y.E.; Ayanoglu, E. Self-supervised RF signal representation learning for NextG signal classification with deep learning. IEEE Wirel. Commun. Lett. 2022, 12, 65–69. [Google Scholar] [CrossRef]
- Geiping, J.; Garrido, Q.; Fernandez, P.; Bar, A.; Pirsiavash, H.; LeCun, Y.; Goldblum, M. A cookbook of self-supervised learning. arXiv 2023, arXiv:2304.12210. [Google Scholar] [CrossRef]
- Tuyet-Doan, V.N.; Youn, Y.W.; Choi, H.S.; Kim, Y.H. Shared knowledge-based contrastive federated learning for partial discharge diagnosis in gas-insulated switchgear. IEEE Access 2024, 12, 34993–35007. [Google Scholar] [CrossRef]
- Yan, J.; Wang, Y.; Liu, W.; Wang, J.; Geng, Y. Partial discharge diagnosis via a novel federated meta-learning in gas-insulated switchgear. Rev. Sci. Instrum. 2023, 94, 024704. [Google Scholar] [CrossRef] [PubMed]
- Hou, S.; Lu, J.; Zhu, E.; Zhang, H.; Ye, A. A federated learning-based fault detection algorithm for power terminals. Math. Probl. Eng. 2022, 2022, 9031701. [Google Scholar] [CrossRef]
- Wu, C.; Wu, F.; Lyu, L.; Huang, Y.; Xie, X. Communication-efficient federated learning via knowledge distillation. Nat. Commun. 2022, 13, 2032. [Google Scholar] [CrossRef]
- Xie, C.; Koyejo, S.; Gupta, I. Asynchronous federated optimization. arXiv 2019, arXiv:1903.03934. [Google Scholar] [CrossRef]
- Chen, Y.; Ning, Y.; Slawski, M.; Rangwala, H. Asynchronous online federated learning for edge devices with non-IID data. In Proceedings of the 2020 IEEE International Conference on Big Data (Big Data), Atlanta, GA, USA, 10–13 December 2020; pp. 15–24. [Google Scholar]
- Xu, C.; Qu, Y.; Xiang, Y.; Gao, L. Asynchronous federated learning on heterogeneous devices: A survey. Comput. Sci. Rev. 2023, 50, 100595. [Google Scholar] [CrossRef]
- Tuyet-Doan, V.N.; Nguyen, T.T.; Nguyen, M.T.; Lee, J.H.; Kim, Y.H. Self-attention network for partial-discharge diagnosis in gas-insulated switchgear. Energies 2020, 13, 2102. [Google Scholar] [CrossRef]
- Howard, A.G.; Zhu, M.; Chen, B.; Kalenichenko, D.; Wang, W.; Weyand, T.; Adam, H. MobileNets: Efficient convolutional neural networks for mobile vision applications. arXiv 2017, arXiv:1704.04861. [Google Scholar] [CrossRef]
- Hu, C.; Wu, J.; Sun, C.; Yan, R.; Chen, X. Robust supervised contrastive learning for fault diagnosis under different noises and conditions. In Proceedings of the 2021 International Conference on Sensing, Measurement & Data Analytics in the Era of Artificial Intelligence (ICSMD), Nanjing, China, 21–23 October 2021; pp. 1–6. [Google Scholar]
- Dang, N.Q.; Ho, T.T.; Vo-Nguyen, T.D.; Youn, Y.W.; Choi, H.S.; Kim, Y.H. Supervised contrastive learning for fault diagnosis based on phase-resolved partial discharge in gas-insulated switchgear. Energies 2023, 17, 4. [Google Scholar] [CrossRef]
- McMahan, H.; Moore, E.; Ramage, D.; Hampson, S.; Arcas, B. Communication-efficient learning of deep networks from decentralized data. In Proceedings of the 20th International Conference on Artificial Intelligence and Statistics (AISTATS), Fort Lauderdale, FL, USA, 20–22 April 2017; Volume 54, pp. 1273–1282. [Google Scholar] [CrossRef]
- Yan, R.; Qu, L.; Wei, Q.; Huang, S.C.; Shen, L.; Rubin, D.L.; Zhou, Y. Label-efficient self-supervised federated learning for tackling data heterogeneity in medical imaging. IEEE Trans. Med. Imaging 2023, 42, 1932–1943. [Google Scholar] [CrossRef]
- Dalianis, H. Evaluation metrics and evaluation. In Clinical Text Mining; Springer: Cham, Switzerland, 2018; pp. 45–53. [Google Scholar] [CrossRef]







| Noise 1 | Noise 2 | Noise 3 | Noise 4 | |
|---|---|---|---|---|
| Min of Max | 33 | 30 | 28 | 48 |
| Max of Max | 61 | 90 | 56 | 89 |
| Mean of Mean | 0.104 | 0.829 | 0.206 | 0.282 |
| Mean of Standard Deviations | 0.965 | 1.956 | 1.281 | 1.474 |
| IED | Corona | Floating | Particle | Void | Noise |
|---|---|---|---|---|---|
| 1 | 94 | 35 | 66 | 242 | 30 |
| 2 | 94 | 35 | 66 | 242 | 29 |
| 3 | 94 | 35 | 66 | 242 | 30 |
| 4 | 94 | 35 | 66 | 242 | 13 |
| Hyperparameter | Minimum | Maximum |
|---|---|---|
| Batch size B | 64 | 128 |
| Number of epochs at communication phase | 1 | 5 |
| Rate of labeled data | 0.5 | 1 |
| Dropout | 0.05 | 0.2 |
| Number of epochs at downstream task phase | — | 100 |
| Number of communication round T | — | 500 |
| Learning rate (downstream task) | — | |
| Target decay rate | — | 0.999 |
| Mixing hyperparameter | — | 0.5 |
| Weight decay | — |
| Methods | Train | Test | Time | |
|---|---|---|---|---|
| Centralized | Supervised | 0.9707 | 0.9556 | 03 min 28 s |
| Self-Supervised | 0.9518 | 0.9259 | 05 min 00 s | |
| FL | Supervised | 0.9792 | 0.9387 | 50 min 03 s |
| Self-Supervised | 0.9792 | 0.9522 | 34 min 49 s | |
| AFL | Supervised | 0.9825 | 0.9530 | 19 min 52 s |
| Self-Supervised | 0.9826 | 0.9528 | 24 min 34 s | |
| SSFL | SSAFL | |||
|---|---|---|---|---|
| IED | Train Acc | Test Acc | Train Acc | Test Acc |
| 1 | 0.9762 | 0.9361 | 0.9885 | 0.9531 |
| 2 | 0.9831 | 0.9361 | 0.9686 | 0.9498 |
| 3 | 0.9884 | 0.9483 | 0.9861 | 0.9522 |
| 4 | 0.9694 | 0.9341 | 0.9872 | 0.9571 |
| Metrics | Methods | Corona | Noise | Floating | Void | Particle |
|---|---|---|---|---|---|---|
| Precision | SSAFL | 1.0 | 1.0 | 1.0 | 0.97 | 0.97 |
| SSFL | 0.98 | 1.0 | 0.95 | 0.97 | 0.97 | |
| Recall | SSAFL | 0.98 | 1.0 | 1.0 | 0.99 | 0.95 |
| SSFL | 0.98 | 0.94 | 0.95 | 0.98 | 0.95 | |
| F1-Score | SSAFL | 0.99 | 1.0 | 1.0 | 0.98 | 0.96 |
| SSFL | 0.98 | 0.97 | 0.95 | 0.98 | 0.96 |
Disclaimer/Publisher’s Note: The statements, opinions and data contained in all publications are solely those of the individual author(s) and contributor(s) and not of MDPI and/or the editor(s). MDPI and/or the editor(s) disclaim responsibility for any injury to people or property resulting from any ideas, methods, instructions or products referred to in the content. |
© 2025 by the authors. Licensee MDPI, Basel, Switzerland. This article is an open access article distributed under the terms and conditions of the Creative Commons Attribution (CC BY) license (https://creativecommons.org/licenses/by/4.0/).
Share and Cite
Ha, V.N.; Youn, Y.-W.; Choi, H.-S.; Nhung-Nguyen, H.; Kim, Y.-H. Self-Supervised Asynchronous Federated Learning for Diagnosing Partial Discharge in Gas-Insulated Switchgear. Energies 2025, 18, 3078. https://doi.org/10.3390/en18123078
Ha VN, Youn Y-W, Choi H-S, Nhung-Nguyen H, Kim Y-H. Self-Supervised Asynchronous Federated Learning for Diagnosing Partial Discharge in Gas-Insulated Switchgear. Energies. 2025; 18(12):3078. https://doi.org/10.3390/en18123078
Chicago/Turabian StyleHa, Van Nghia, Young-Woo Youn, Hyeon-Soo Choi, Hong Nhung-Nguyen, and Yong-Hwa Kim. 2025. "Self-Supervised Asynchronous Federated Learning for Diagnosing Partial Discharge in Gas-Insulated Switchgear" Energies 18, no. 12: 3078. https://doi.org/10.3390/en18123078
APA StyleHa, V. N., Youn, Y.-W., Choi, H.-S., Nhung-Nguyen, H., & Kim, Y.-H. (2025). Self-Supervised Asynchronous Federated Learning for Diagnosing Partial Discharge in Gas-Insulated Switchgear. Energies, 18(12), 3078. https://doi.org/10.3390/en18123078

