Next Article in Journal
Numerical Investigation of the Impact of Variation of Negative Electrode Porosity upon the Cycle Life of Lithium-Ion Batteries
Previous Article in Journal
A Residual Physics-Informed Neural Network Approach for Identifying Dynamic Parameters in Swing Equation-Based Power Systems
 
 
Font Type:
Arial Georgia Verdana
Font Size:
Aa Aa Aa
Line Spacing:
Column Width:
Background:
Article

Partially Segmented Permanent-Magnet Losses in Interior Permanent-Magnet Motors

by
Jeremiah Vannest
* and
Julia Zhang
*
Center for High Performance Power Electronics, The Ohio State University, Columbus, OH 43210, USA
*
Authors to whom correspondence should be addressed.
Energies 2025, 18(11), 2879; https://doi.org/10.3390/en18112879
Submission received: 10 April 2025 / Revised: 15 May 2025 / Accepted: 21 May 2025 / Published: 30 May 2025

Abstract

Permanent-magnet losses in interior permanent-magnet (IPM) motors can result in high magnet temperatures and potential demagnetization. This study investigates using partially segmented magnets as an alternative to traditional segmented magnets to reduce these losses. Partial segmentation involves cutting slots into the magnet to redirect the eddy current path and reduce losses. The research explores analytical and finite element modeling of eddy current losses in partially segmented magnets in IPM machines. Various configurations and orientations of partial segmentation were examined to assess their impact on eddy current losses. Axial slots for the partially segmented magnets were found to be the most effective slotting direction for the baseline IPM motor’s aspect ratio. This study also explores several methods for measuring permanent-magnet loss in IPM machines. A locked rotor test fixture was designed to measure losses induced by switching harmonics. AC loss measurements for the test fixture were conducted to compare magnets with and without partial segmentation. The results showed a significant reduction in permanent-magnet loss for the partially segmented magnets, particularly at higher currents and across all the tested switching frequencies and phase angles. Additionally, the transient temperature of the partially segmented magnets was found to be 12 °C lower than without partial segmentation after a 30 min test.

1. Introduction

The Energy Act of 2020 defines a critical material as one that serves an essential function in energy technologies and faces a high risk of supply chain disruption. In Figure 1, the US Department of Energy’s 2023 Critical Materials Assessment identifies neodymium (Nd), cobalt, gallium, praseodymium, terbium (Tb), and dysprosium (Dy) as critical materials [1]. These elements are key components of permanent magnets used in motors and generators for the automotive and wind energy industries. In the automotive industry, most leading electric vehicle brands rely on heavy rare-earth (HRE) permanent magnets as they provide unparalleled performance in terms of power and weight. In the wind energy industry, approximately 30% of all the new wind turbines in 2020 used NdFeB magnets due to their lower maintenance requirements and low weight [2]. Ensuring a sustainable future for the energy sector requires careful management of the supply and demand of these materials.
Research has been conducted into alternatives for HRE magnets in electric motors; however, performance trade-offs have limited their adoption in key industries. This work focuses on minimizing the permanent-magnet losses in the motor, which can reduce reliance on critical materials in the magnets. During operation, an electric machine generates eddy currents within the magnet. These currents are a source of loss for the machine and heat the magnets. As the magnets reach a higher temperature, they are at risk of becoming demagnetized. To protect against demagnetization, additional HRE material (Dy and Tb) must be added or the thickness of the magnet must be increased. By reducing the losses from eddy currents, the operating temperature decreases, and the magnets can be thinner and less reliant on HRE materials.
The main technique for reducing eddy current losses is through the segmentation of the magnets, as depicted in Figure 2 on the left of the rotor. This approach involves cutting entirely through the magnet, which increases the manufacturing complexity due to the need for reassembly with adhesives. Segmenting the magnets has a minimal impact on changing the other performance metrics of the electric machine as the geometry can remain unaltered. Segmentation reduces permanent-magnet losses by increasing the effective resistance of the eddy current loop within the magnet [3,4,5,6].
Additional methods of reducing permanent-magnet loss involve changing the geometry of the rotor and stator core to reduce the harmonics experienced within the rotor [7,8,9,10,11,12]. As the geometry or machine parameters change, this can lead to trade-offs with other electric machine performance metrics and requires careful optimization.
In high-speed permanent-magnet machines, rotor sleeves are often used to support the rotor mechanical stresses. The rotor sleeve is often conducting, which can shield the magnets and reduce the eddy current losses in the magnets [13,14,15]. This sleeve can have a negative impact in terms of machine performance due to the increased air gap and additional rotor losses generated from the eddy currents in the sleeve. Research has also been conducted on using magnetic wedges in the stator slots to reduce the slotting harmonics [16]. This reduces the permanent-magnet loss but can increase slot leakage, negatively impacting the machine’s performance.
This research investigates partial segmentation (PS), as depicted in Figure 2 on the right side of the rotor. Partially segmented magnets have slots cut into the magnet, leaving it as a single segment. These slots reduce the manufacturing penalty as the magnet does not need to be reassembled and less magnet is wasted. The PS of the magnets does not impact the geometry of the stator and rotor, allowing for minimal impact on machine performance. Electric machine designs with a combination of segmentation and PS are addressed in this research as segmentation can be unavoidable if rotor skew is implemented in the electric machine design. Segmentation and PS can be applied in different orientations. In Figure 2, the left-side permanent magnet includes three radial segments with no PS. In Figure 2, the right-side permanent magnet includes a single segment with partial axial segmentation.
Significant research has been conducted on the segmentation of permanent magnets in surface permanent-magnet (SPM) and IPM machines; however, studies on partially segmented permanent magnets remain limited. Partially segmented magnets were introduced in [17] as a method to reduce eddy current skin effects without needing to completely segment the magnet. This approach lowers manufacturing costs by reducing the need for cutting and assembling multiple magnets for a single rotor. Various slot configurations for SPM machines were investigated, incorporating slots on both the rotor yoke side and the air gap side of the magnet. Using analytical finite element (FE) simulations, and experimental methods to estimate the losses, these slots were shown to provide significant reductions in magnet loss for SPM motors [17]. More complicated slot configurations with annular cuts were investigated in [18], and FE simulations were used to show the reduction in magnet losses for SPM motors. These slots impact the mechanical integrity of the magnet and can lead to larger deformation into the air gap for SPM machines [18]. A comparison between segmented and partially segmented magnets was conducted using FE simulations [19]. Both methods reduced the magnet losses; however, the segmented magnets were more effective for both low-frequency and high-frequency harmonics. The existing literature on the PS of permanent magnets primarily focuses on SPM machines, which are not the preferred choice for modern traction motor applications.
This work focuses on analytical modeling, FE simulations, and experimental measurements of permanent-magnet loss reduction through PS in IPM motors. The impact of the machine’s operating point on permanent-magnet losses will also be examined. Section 2 provides an analytical framework for comparing magnets with and without PS. Section 3 provides FE simulation results comparing PS to traditional segmentation. Section 4 covers experimental measurements for permanent-magnet loss reduction in partially segmented magnets.

2. Permanent-Magnet Loss Reduction Through Segmentation

Permanent magnets within electric machines experience fluctuations in the applied magnetic field from inverter switching harmonics and slotting harmonics from rotation. According to Faraday’s law of induction in Equation (1), changing magnetic fields induce voltage in conductive materials, which creates eddy current loops within the magnet. For a material with isotropic resistivity and uniform magnetic field, the eddy current loss ( P e ) is proportional to the square of the eddy current density and proportional to the resistivity as expressed in Equation (2).
J · d l = 1 ρ d Φ d t = 1 ρ d d t S B · d S
P e = ρ J 2 d V
where J is the current density, l is the vector along the current loop contour, Φ is the flux through the magnet, t is time, B is the flux density vector, S is the surface vector normal to the area enclosed by the current loop, ρ is the resistivity of the material, and V is the volume of the permanent magnet.
If the reaction field of the eddy currents is taken into consideration for a semi-infinite conducting plate with thickness b and uniform magnetic field, the eddy current loss can be expressed as Equation (3) below; a detailed derivation of this can be found in [20].
P e = H s 2 sinh γ sin γ σ δ cosh γ + cos γ
where γ = 2 b δ , δ is the eddy current skin depth, σ is the conductivity of the material, and H s is the peak amplitude of the magnetic field strength. Below are approximations for Equation (3) based on the relation between the plate thickness and skin depth.
When 2 b > > δ
P e H s 2 σ δ
When 2 b < < δ
P e 1 3 ω 2 σ μ 0 2 μ r 2 H s 2 b 3
where ω represents the frequency of magnetic field oscillation, and μ 0 and μ r are the permeability of free space and the relative permeability of the plate, respectively. The semi-infinite plate equations provide a better understanding of the losses for practical applications such as laminated cores and segmented magnets when the reaction field is not ignored.
Equation (4) is the approximation for the loss when the segmentation or lamination is much thicker than the eddy current skin depth. In this case, the eddy currents are inductance-limited, meaning the magnitude of the current is constrained by its reaction field. In this case, changing the thickness of the segments does not significantly impact the loss. In the inductance-limited case, the eddy currents are influenced by skin effects, causing the current to concentrate at the edges of the segments.
Equation (5) is the approximation for the loss when the segmentation or lamination is very thin and the eddy currents are resistance-limited. This means that the eddy current magnitude is constrained by the resistance of the permanent magnets and not the reaction field. This is the ideal case for segmentation as reducing the segment thickness leads to a rapid decrease in eddy current losses.
For stator and rotor core laminations, Equation (4) is ignored as the laminations are made so thin that they are resistance-limited. For permanent magnets, the segmentation is not as thin as core laminations, and it is possible to be inductance-limited. This makes the proper design and simulation of partially segmented and segmented magnets challenging [3,21]. The main component of the varying flux through permanent magnets in IPM architectures is the switching frequency, leading to a smaller skin depth as well. The difficulty in using analytical solutions to solve for eddy current losses becomes more challenging as the effect of the reaction field cannot be ignored in some cases.

2.1. Permanent Magnet Eddy Current Loss for an Individual Magnet Segment

The eddy current losses are complex and difficult to calculate when the reaction field is taken into consideration. The following analytical work assumes resistance-limited eddy currents to help provide insight into the slotting effect on eddy currents. The following assumptions are used for the analytical calculations:
  • Resistance-limited; no skin or proximity effect.
  • Uniform magnet field B.
  • Isotropic resistivity within the magnet.
  • Eddy currents flow in one plane so that the density is the same throughout the thickness h of the magnet.
The framework for this analytical model is based on methods for estimating 2D to 3D correction factors [22]. In a typical magnet segment with no PS, the eddy current path can be mathematically approximated using the model in Figure 3 with parallel current paths to the sides of the magnet. The actual current path of the magnet as estimated through FE simulation is shown in Figure 4. L is the length of the magnet, w is the width of the magnet, and h is the height of the magnet. Based on this, the permanent magnet eddy current densities can be approximately derived from Faraday’s law in Equation (1).
J x x + J y y = 1 ρ B ˙ x y
Based on the geometric constraints from Figure 3, the relationship between x and y is as follows:
tan ( θ ) = y x = w L
The current densities J x and J y have the same relationship due to the geometric constraints and the constant current magnitude along the loop.
tan ( θ ) = J y J x = w L
Using Equation (2) for the eddy current loss in the magnet, we can calculate the magnet loss of a single magnet segment ( P 1 ).
P 1 = 4 ρ h y = 0 L / 2 J x 2 · x ( y ) d y + x = 0 w / 2 J y 2 y ( x ) d x
Solving Equation (6) for J x and J y and substituting the x and y relationships from Equation (7), the final solution of the integral in Equation (9) is given by Equation (10).
P 1 = 1 16 1 ρ w 3 L 3 h w 2 + L 2 2 B t 2
where h is the magnet height and 2 B t 2 is the second derivative of the flux density waveform with respect to time. The losses of the magnet segment without PS will be compared to the analytical estimation for a magnet segment with partial axial segmentation.

2.2. Partially Segmented Permanent Magnet Eddy Current Loss

Partial segmentation of the magnets increases the effective resistance of the eddy current path. In segmentation, the cross-sectional area of the eddy current path decreases, leading to an increase in resistance. In partially segmented magnets, the eddy current path lengthens and the cross-sectional area changes as the current travels around the slots. This increases the resistance, thereby reducing the eddy current losses in the magnet. Figure 5 illustrates the eddy current path through a magnet with partial axial segmentation.
The permanent-magnet loss for a single magnet segment with partial axial segmentation can be estimated using a similar method as the single magnet segment with no PS. The eddy current path simulated in Figure 5 can be modeled using Figure 6. The model depicts the current path through a single inner section of the magnet, as indicated in Figure 7.
The geometric model parameters include the length of the magnet L, the width of the magnet w, the height of the magnet h, and the slot depth as a ratio of the magnet’s total width d. The variable n is the total number of inner and end sections for the magnet. A section is defined as the portion of the magnet between two slots or between a slot and the end of the magnet, as shown in Figure 7. Due to symmetry, the inner sections of the partially segmented magnet loss can be calculated based on a single section. In the analytical estimation, the change in the current path at the end sections is ignored as it has minimal impact on the overall estimates for higher slot counts. Additionally, accounting for the end sections requires numerical integration as a closed-form solution is difficult to derive. For the inner sections of the magnet, the geometric relationship between the current paths and the current densities is defined as follows:
tan ( θ ) = y x = n w ( 1 d ) L
J 2 J 1 = n w ( 1 d ) L , J 3 = J 1
The regions S 1 , S 2 , and S 3 enclosed by the current loop are defined as follows:
S 1 + S 3 = y w ( 1 d ) 2 L n
S 2 = w d x L 2 n
Then, Faraday’s law (1) for the inner sections of the partially segmented magnet can be expressed as Equation (15).
J 1 L n + J 2 w d = B ˙ ρ ( S 1 + S 2 + S 3 )
Applying Equation (2) for this model, the eddy current loss for a magnet with partial axial segmentation ( P par ) can be expressed in Equation (16).
P par = 2 ρ h w ( 1 d ) 2 w ( 1 d ) J 1 2 L n d y + L 2 n L n J 2 2 d w d x
The solution of the integral when substituting Equations (12) and (15) into Equation (16) is as follows:
P par = L 3 h w 3 ( 1 d ) 12 ρ ( L 2 d 2 n 2 w 2 + d n 2 w 2 ) 2 B t 2
The ratio of the loss of the magnet with and without partial axial segmentation is given in Equation (18). This can be used to estimate the expected reduction in permanent-magnet loss and provide insight into how the slot geometry impacts the permanent-magnet loss.
P par P 1 = 4 1 d L 2 + w 2 3 L 2 3 d 2 n 2 w 2 + 3 d n 2 w 2
Using Equation (18), the number of sections and slot depth were varied, and the permanent-magnet loss ratio was plotted in Figure 8. The magnet length L and width w were held constant at 35 mm and 14 mm, respectively. The results indicate that the permanent-magnet losses decrease as the slot depth and number of sections increase.
At low slot numbers and shallow slot depths, the estimated ratio tends to overestimate the partially segmented loss. This discrepancy arises from the assumption made, ignoring the closing of the current loops in the two end sections of the magnet. At greater slot depths, the ignored current loop path in the end sections is shorter, resulting in a more accurate estimate. Additionally, for a higher number of sections, the influence of the two end sections becomes less significant.

3. Finite Element Simulation of Partially Segmented Magnets

Finite element modeling can help to overcome some of the limitations of analytical calculations. A crucial factor for accurate finite element simulations of permanent-magnet losses is incorporating the effects of switching harmonics. In SPM machines, the majority of permanent-magnet losses result from slotting harmonics during rotation as the magnets are directly exposed to the air gap [3]. In contrast, for IPM architectures, the primary source of permanent magnet eddy current loss is switching harmonics [23]. This makes it challenging to simulate IPM permanent-magnet losses with FE analysis as purely sinusoidal current excitation can underestimate the loss by an order of magnitude. Incorporating inverter harmonics into the simulation can be achieved through various methods; however, this decreases the required step size of the simulation and increases the simulation end time if transient states are involved.
Initial investigation of the permanent-magnet losses was conducted on a baseline IPM model depicted in Figure 9. The general machine dimensions and peak torque are listed in Table 1. This machine is for traction motor applications.

3.1. Partially Segmented Magnet Comparisons

Various slot patterns were simulated to identify promising configurations for PS in IPM machines. The input excitations for these simulations were current waveforms with a 10 kHz sinusoidal harmonic component added to the fundamental component to represent switching harmonics, as shown in Figure 10. The simulations were conducted at a low-speed, high-torque operating point at the machine’s rated current. While actual switching harmonics span a broader frequency spectrum, this simplified excitation provides insight into how partially segmented magnets reduce switching losses in the permanent magnet. These simulations were conducted using transient 3D-FEA in Ansys Electronics Desktop (https://www.ansys.com/products/electronics, accessed on 20 May 2025).
Figure 11 compares the permanent-magnet loss of an axially segmented design to configurations that combine axial segmentation with PS of various orientations. The number of axial segments is labeled on the x-axis of the plot, while the legend indicates the number and orientation of the slots for each design.
The axial segmentation (Figure 12a) serves as the baseline loss, which is typical for IPM machines with skewed rotors. The remaining models incorporate PS along with axial segmentation (Figure 12c–f). Among the partially segmented magnets, the axial slot orientations (Figure 12c,d) outperform the radial slot orientations (Figure 12e,f). Slots positioned closer to the air gap of the rotor (Figure 12c,e) yield slightly lower permanent-magnet loss compared to slots oriented towards the shaft.

3.2. Partial Axial Segmentation Refinement

Based on these simulation results, the axial slot configuration was selected as it is more effective for magnets with longer stack length than width. To maximize the number of slots without compromising the magnet’s mechanical integrity for assembly, slots were applied to both sides of the magnet rather than only the side closer to the air gap, as shown in Figure 13.
The impact of increasing the number and depth of the slots on permanent-magnet loss was investigated through FE simulation for two different operating points. The first operating point, at high current and 3400 rpm with a 10 kHz harmonic injected into the current waveform (Figure 10), provides a direct comparison to the previous simulations in Figure 11. The second excitation, shown in Figure 14, corresponds to a low-current operating point at 6750 rpm. The speed of 3400 rpm was chosen as it corresponds to the knee point of the torque–speed curve, while 6750 rpm was selected to represent highway driving speeds in traction motor applications.
All partially segmented simulations were performed with two axial segments, assuming a half-axial skew of the rotor. The number of slots n represents the slot count per magnet segment. The slot depth ratio d is the ratio of the slot depth to the total magnet width. Figure 15a compares the loss ratio between the magnet with and without PS for both operating points. Figure 15b compares the actual value of the permanent-magnet loss for the partially segmented configuration at both operating points. Although the trends are similar, losses at the lower-current operating point are significantly lower. The permanent-magnet loss decreases as the slot depth and the slot count increase for both operating points. A higher slot count is more effective at reducing losses; however, it also raises manufacturing costs and the risk of mechanical failure during assembly. Similarly, deeper slots increase the risk of mechanical failure while decreasing the permanent-magnet loss. Both variables slightly decrease the magnet’s performance by removing active material that generates torque.
Additionally, the loss reduction ratio was analytically estimated using Equation (18) and plotted in Figure 16. The analytical model tends to overestimate loss reduction, particularly for configurations with a high slot count and shallow slot depth compared to the simulation results in Figure 15a.
Figure 17 compares the simulated permanent-magnet losses for a magnet design with two axial segments combined with partial axial segmentation of varying depths and slot numbers against axially and radially segmented designs with an increasing number of segments. The x-axis indicates the total number of cuts for each configuration, where each slot or segmentation is considered a cut that contributes to the manufacturing complexity and cost. For example, the model in Figure 13 has a total of 19 cuts, two magnet segments (1 cut) with 9 slots each (18 cuts).
All partially segmented magnet configurations in the comparison consist of two axial segments with equal slot spacing. The results indicate that, for an equivalent number of cuts, axial and radial segmentation significantly outperform the designs with two axial segments and PS with respect to magnet loss. The radially segmented model (Figure 12b) is significantly more effective at reducing permanent-magnet loss than axial segmentation. The advantage of the partially segmented designs is that there are only two segments total, which would reduce the assembly and gluing steps in the manufacturing process.
This section highlights the trade-offs in permanent-magnet losses between segmented and partially segmented magnet designs. Future work could include a detailed cost analysis to determine the break-even point for using partially segmented magnets compared to traditional segmentation. Accurately identifying the manufacturing and assembly costs of magnets remains challenging, particularly since the current work was conducted at the prototype level.
Based on the simulation results, a magnet design featuring nine equally spaced slots with a 0.4 slot depth ratio, as shown in Figure 13, was selected for experimental testing as a balanced compromise between loss reduction and mechanical integrity. The prior literature has examined the mechanical integrity of partially segmented magnets in SPM machines due to concerns about magnet deformation into the air gap [18]. In the case of IPM machines, the deformation into the air gap is not a concern as the magnets are embedded in the rotor. Instead, the primary risk of mechanical failure arises from forces applied during assembly. The selected design withstood the assembly process used in the test fixture described in Section 4. If additional mechanical robustness is required, the partially segmented magnets can be reinforced with epoxy, with the trade-off of increased manufacturing complexity.

3.3. Average Torque Reduction Through Partial Segmentation

Partial segmentation of the permanent magnets results in a slight reduction in active magnetic material. Figure 18 shows the average torque across a sweep of current-phase angles, where 0° and 90° correspond to a purely i q and purely negative i d current, respectively. The simulation used the partially segmented design from the final geometry selected in Section 3.2, with slot depth, count, and orientation shown in Figure 13. The slot width was varied from 0.1 mm to 0.3 mm, which had a minimal effect on the average torque. The peak torque of the partially segmented design with 0.3 mm slot width showed a minimal decrease of approximately 1.6% compared to the design without PS. While the reduction in active magnetic material may also influence other machine performance metrics, such as efficiency, the minimal impact on torque suggests these effects are likely to be minor.

4. Materials and Methods

An experimental setup was designed to measure the permanent magnet eddy current losses induced through switching. Measuring permanent magnet eddy current losses is difficult as they are typically a small portion of the overall machine losses. Separating each loss component within the machine is challenging, making it hard to isolate magnet losses.
In the literature, experimental estimation of permanent-magnet losses is typically completed by first calculating the total loss from the difference between input and output power. The total loss is then separated into its respective loss components, including permanent-magnet loss [4,17,24,25,26,27,28,29,30]. Another method is to measure the temperature change in the permanent magnet during operation through a thermocouple connected via a slip ring [4,7]. For easy access to the permanent magnets and to simplify the loss calculations, stationary test fixtures are often used to measure the permanent-magnet loss [3,4,5,6,31]. Many of these test fixtures use C-cores and coils to induce the eddy currents in the permanent magnets. The challenge with these test fixtures is that the field seen by the permanent magnets does not match the field seen from the magnets of an IPM machine across various operating points and saturations of the core. To address this, a stationary test fixture using an IPM machine was used with a locked rotor so that the geometry and magnetic field could be tested in an environment that more accurately matches the true operation of an IPM machine [32].
The locked rotor test setup developed for this project is depicted in Figure 19a. The stator for the test fixture has 48 slots, 8 poles, and a stack length of 79 mm. The stator is randomly wound with 2 parallel branches and 5 turns. The neutral point of the Y-connected stator winding is exposed and was used to measure phase voltages. The rotor core laminations are M19-26G. The stator core laminations are JFE1350T. The rotor is segmented into several pieces to allow for the easy removal and assembly of magnets into the rotor. The rotor stack length is 30 mm and is shorter than the stator to save on costs. The base of the test fixture is composed of aluminum with an insulation layer of Delrin between the rotor and the aluminum base.
The magnets used in the test fixture are NdFeB magnets VACODYM 688 (Vacuumschmelze, Hanau, Germany). Two magnet configurations were tested to verify the effectiveness of partially segmented magnets. The first configuration was a single magnet segment without PS. The second configuration was with a single magnet segment with partial axial segmentation. The partial axial segmentation consisted of nine slots, with the slot orientation alternating from the side closer to the air gap to the side facing the shaft. The slots were cut on both sides of the magnet to maintain structural integrity during assembly. Figure 19b depicts the magnet segment without PS, and Figure 19c depicts the partially segmented magnet.
Figure 20 shows the measurement system for the permanent-magnet losses. A DC power supply, connected to a 3-phase inverter, provides DC excitation to the stator of the test fixture. This DC excitation emulates the static field experienced by the rotor during synchronous operation in an IPM machine.
The inverter applies DC excitation through a pulse-width-modulated (PWM) waveform, creating switching harmonics in the current supplied to the test fixture. A resistive load between the inverter and the test fixture allows for a higher DC bus voltage at the desired current levels. The increased bus voltage enables larger switching harmonics for the test setup. The load bank is primarily resistive to ensure the switching harmonics are transmitted to the test fixture.
The electrical losses of the test fixture are measured using a power analyzer or oscilloscope. Additionally, thermocouples attached to the winding and rotor face were used to monitor the temperature of the test fixture. Figure 21 depicts the full measurement setup to measure permanent-magnet loss.
The oscilloscope used to take measurements was a 6-channel Tektronix MSO5 (Tektronix, Inc., Beaverton, OR, USA). The 3-phase voltage measurements were taken by Tektronix THDP0100 High-Voltage Differential Probes capable of measuring up to 1500 V (Tektronix, Inc.). Phase current measurements were taken with Tektronix TCP0150 current probes with a maximum current rating of 150 A rms . The phase error between the high-voltage differential probes and current probes was eliminated using a Tektronix Power Measurement Deskew and Calibration Fixture. The sampling rate of the oscilloscope for each switching frequency was selected to have a minimum of 50 kS per switching cycle. Each test point was conducted three times with a measurement length of 20 switching cycles.

5. Results

Tests were conducted on a single magnet segment with PS, a single magnet segment without PS, and no magnets in the rotor core with the following parameters:
  • DC bus voltage of 350 V.
  • Switching frequency sweep of 2 kHz, 5 kHz, and 8 kHz.
  • Phase angle sweep of 30°, 40°, 50°, 60°, and 80°. A 0° phase angle corresponds to purely i q current, while 90° corresponds to purely negative i d .
  • Modulation index sweep of 0.1 to 0.9 with 0.1 increments.
Tests were conducted without magnets to establish a baseline for losses without permanent magnet eddy currents and aid with loss separation. The DC bus voltage was selected based on typical automotive bus voltages while ensuring that 100 A rms was within the operating range. The switching frequency range was selected based on a suitable range of frequencies used in automotive traction drive applications.
Figure 22 presents the three phase voltage and current measurements for the test fixture at a 2 kHz switching frequency. The operating point selected corresponds to a 0.6 modulation index with a 60° phase angle. The sampling rates used were 125 MS/s, 250 MS/s, and 625 MS/s for switching frequencies of 2 kHz, 5 kHz, and 8 kHz, respectively.
At a 60° phase angle, the expected average current of phases A and C is equivalent, and phase B reaches its negative peak. As the switching frequency increases, the peak-to-peak ripple of the current decreases as expected due to the inductive load of the motor windings. Figure 23 displays the fast Fourier transform (FFT) of the current waveforms for 2 kHz, 5 kHz, and 8 kHz switching at the same modulation index and phase angle as in Figure 22. The main harmonic component is double the switching frequency due to the symmetric nature of the space vector PWM. The FFT plot demonstrates a decrease in harmonic content magnitude as the switching frequency increases.

5.1. Experimental Test Loss Calculations

The total loss from the test fixture can be calculated using the measured phase voltages and currents with Equation (19).
P total = 1 T v a ( t ) i a ( t ) + v b ( t ) i b ( t ) + v c ( t ) i c ( t ) d t
where T is the total measurement time of 20 switching cycles, v is the measured instantaneous phase voltages, and i is the measured instantaneous phase currents.
The total loss of the test fixture includes the AC and DC winding losses, the rotor and stator core losses, and the permanent-magnet loss (for tests with magnets in the rotor). The measurement is taken directly from the test fixture windings; therefore, the losses from the resistive load bank and inverter are not included in the measurement.
The locked rotor test fixture reduces the overall core loss and AC winding losses compared to conventional rotating electric machines by eliminating the AC fundamental flux component, which is the primary contributor to stator losses. This reduces the stator losses, while the rotor field and losses remain comparable to a machine in rotating operation. This makes the proportion of rotor losses higher and easier to measure.
The first step of loss separation involves removing the DC losses from the total measured loss. These DC losses were calculated using the three-phase RMS current values, as expressed in Equation (20). The DC winding losses ( P dc ) were then subtracted from the total loss ( P total ) to yield the total AC losses ( P ac ) in Equation (21).
P dc = I Arms 2 R ph + I Brms 2 R ph + I Crms 2 R ph
P ac = P total P dc
where I rms is the RMS value of the phase currents and R ph is the phase resistance of the test fixture windings, which has the value of 25 m Ω . The resistance measurement and all permanent-magnet loss measurements were conducted at room temperature.

5.2. The Effect of Switching Frequency on AC Losses

Figure 24a–e present the AC losses measured in the test fixture for test cases without PS, with PS, and with no magnets under 2 kHz, 5 kHz, and 8 kHz excitation at various phase angles. Across all phase angles and frequencies, test cases without PS exhibited the highest AC losses at high currents, whereas the partially segmented magnets showed reduced AC losses, and the no-magnet configuration had the lowest AC losses as it eliminated permanent-magnet losses.
The highest AC losses were observed at a 2 kHz switching frequency, while the 8 kHz switching frequency significantly reduced switching losses. The higher frequency switching leads to reduced current ripple and decreased current harmonics due to the windings acting as an inductive load. The reduced magnitude of the current harmonics outweighs the increase in harmonic frequency, resulting in reduced overall AC losses at higher switching frequencies. In IPM machine applications, there is an optimal switching frequency to minimize the machine losses that balances the frequency and harmonic magnitude. The core loss in the stator and rotor laminations typically decreases as the switching frequency increases [33,34,35].

5.3. The Effect of Phase Angle on Permanent-Magnet Loss

For magnets without PS, Figure 25a shows the phase shift’s effect on AC losses for a 2 kHz switching frequency, while Figure 25b shows its impact on the RMS value of the AC harmonic components. As expected, phase angles with higher AC losses corresponded to greater harmonic content. The AC losses tend to decrease from 30° to 60° before increasing again at 80°. This trend remained consistent across the other switching frequencies of 5 kHz and 8 kHz.
Figure 24 shows that, across the full current range, magnets with PS exhibited lower AC losses than those without PS for phase angles between 40° and 80°. At 30°, the partially segmented magnets were less effective at reducing losses at low current levels but showed significant loss reduction at higher currents.

5.4. Reduction in Permanent-Magnet Losses Through Slotting

The total AC losses in the test fixture reveal that the partially segmented magnets exhibit lower overall AC losses than the magnets without PS for most operating points. Since the core loss and AC winding losses are expected to be nearly identical in both cases, the observed reduction is attributed primarily to decreased permanent-magnet losses. This assumption is based on the fact that the magnetic field through the stator and rotor cores remains nearly the same for both configurations. The magnetic field generated by the windings depends on both the DC and AC components of the current, which are nearly identical between the two cases. While the partially segmented magnets do produce a slightly lower DC bias field due to the reduced volume of active magnetic material, Section 3.3 showed that this reduction had a minimal effect on the machine’s average torque.
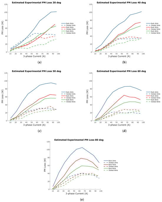
In the experimental tests without magnets, the DC bias field provided by the magnets is removed. Since the AC components of the magnetic field are the main factors for the loss in the fixture, the absence of a DC bias field has a low impact on the core loss and AC copper losses. As a result, the permanent-magnet losses can be approximated through the subtraction of the total AC loss of the test fixture without magnets from the total AC losses measured for the test fixture with magnets [32]. In Figure 26, the permanent-magnet loss is plotted using this method for each phase angle. In Figure 27, the permanent-magnet loss difference (a,c,e) and loss ratio (b,d,f) are plotted, excluding the first current magnitude due to the loss being close to zero.
At a 2 kHz switching frequency, the maximum loss reduction occurs at 60° at around 60 A rms . The loss reduction ratio tends to decrease from the 30° phase shift to the 60° phase shift before increasing again at 80°. For phase angles of 40° through 80°, the permanent-magnet loss ratio remains relatively constant as the current increases. For a 30° phase shift, the partially segmented permanent-magnet loss starts slightly higher than without PS, and then the loss reduction ratio decreases as the current increases.
At a 5 kHz switching frequency, the loss reduction ratio in permanent-magnet loss increases compared to a 2 kHz switching frequency. A similar pattern to 2 kHz occurs as the phase angle increases. For phase angles of 30° and 40°, the loss ratio starts high at low current, then decreases as the current increases. For 60° and 80°, the loss ratio starts low and then increases slightly as the current increases.
At an 8 kHz switching frequency, the permanent-magnet loss ratio increases further compared to a 5 kHz switching frequency. A similar loss reduction pattern to 2 kHz is observed as the phase angle increases. The loss ratio is relatively constant across the current and phase shift range compared to the other two frequencies. At 30° and 40°, the loss ratio decreases slightly as the current increases, while, at 80°, the loss ratio increases.
Based on these test results, the partially segmented magnets perform best at phase angles close to 60°, at higher current magnitudes within the 30°–60° phase angle range, and at lower switching frequencies. The baseline electric machine primarily operates between 35° and 55° phase shift at lower speeds, where the effectiveness of the partially segmented magnets is reduced due to the lower phase angles. However, this operating region typically uses lower switching frequencies (2–5 kHz), which enhances the loss-reduction benefits of the partially segmented design.
At higher motor speeds, the phase angle is larger and closer to the 60° phase angle, which leads to better loss reduction performance for the partially segmented magnets. However, at higher motor speeds, the switching frequency may be high, leading to reduced overall switching losses in the magnet.

5.5. Temperature Test

Typically, permanent-magnet losses represent a small fraction of the total losses in traction electric motors and have minimal impact on overall efficiency. The primary motivation for reducing the permanent-magnet loss is to control the maximum temperature of the magnet, thereby decreasing the risk of demagnetization. A reduction in magnet temperature could allow for thinner magnets or magnets with lower intrinsic coercivity, reducing the amount of HRE material in electric motors.
The voltage and current measurements of the test fixture show a reduction in losses from the partially segmented magnets; however, this does not address the effect of PS on the magnet temperature. To investigate this, a thermocouple was attached to the front face of the magnet to measure its temperature as switching losses were applied. The operating point selected for this experiment was the current excitation with the largest percent loss differential, which was at 2 kHz switching, 60° phase shift, and approximately 65 A rms . The experiment ran for approximately 30 min, starting from room temperature. No cooling system was used for the test fixture. The magnet temperatures with and without PS are plotted in Figure 28.
The magnets with partial segmentation were 12 °C lower than without PS at the end of the 30 min test. According to the datasheet for Vacodym 688 AP, the thermal coefficient for intrinsic coercivity is approximately 0.5%/°C. Therefore, a temperature decrease of 12 °C corresponds to a 6% reduction in intrinsic coercivity. This reduction in required coercivity helps to lower the risk of demagnetization and reduces reliance on RE and HRE materials.
The tests conducted with the test fixture were at low currents relative to the peak operating capabilities of an electric motor and did not reach the steady-state temperature due to thermal and measurement limitations. It would be valuable to investigate the effect of temperature changes at higher operating currents, once steady state is reached, to determine if a larger impact could be detected. Additionally, future work could explore the influence of different cooling methods on the rotor to assess whether partially segmented magnets can help to reduce rotor cooling requirements. The test fixture was cooled only by natural convection, which is not an accurate representation of most traction motor applications that typically feature liquid cooling for both the stator and, in some cases, the rotor.

6. Conclusions

The effectiveness of partially segmented magnets in reducing permanent-magnet losses for IPM machines was demonstrated through analytical modeling, 3D finite element simulations, and experimental testing. An analytical model was developed to estimate the percent reduction for partial axial segmentation of magnets, which was shown to slightly overestimate the reduction in permanent-magnet loss compared to finite element methods.
Finite element simulations were employed to compare the magnet losses in segmented and partially segmented magnets. For the aspect ratio of the magnets in the baseline design, radially segmented magnets were the most effective at loss reduction. While partially segmented magnets were less effective than segmented magnets, they offered the advantage of lower manufacturing complexity due to fewer components. Among the partially segmented configurations, the axial orientation of the slots proved to be the most effective in reducing permanent-magnet losses.
A locked rotor experimental test fixture was used to compare the permanent-magnet losses with and without PS. The electrical power measurements indicated a significant reduction in magnet loss, with a decrease of up to 80% for PS. Additionally, a transient thermal test revealed a decrease in temperature of approximately 12 °C after 30 min, which helps to reduce the risk of magnet demagnetization.

Author Contributions

Conceptualization, J.V. and J.Z.; methodology, J.V.; software, J.V.; validation, J.V.; formal analysis, J.V.; investigation, J.V.; resources, J.V.; data curation, J.V.; writing—original draft preparation, J.V.; writing—review and editing, J.V.; visualization, J.V.; supervision, J.Z.; project administration, J.Z.; funding acquisition, J.Z. All authors have read and agreed to the published version of the manuscript.

Funding

Ohio State University Center for High Performance Power Electronics Consortium Fund and Ohio State Student Sustainability Grant.

Data Availability Statement

The original contributions presented in this study are included in the article. Further inquiries can be directed to the corresponding authors.

Acknowledgments

Kevin Wolf from The Ohio State University Mechanical Engineering Department assisted with the manufacturing of the test fixture components.

Conflicts of Interest

The authors declare no conflicts of interest.

References

  1. U.S. Department of Energy. Critical Materials Assessment; DOE/EE-2756; U.S. Department of Energy: Washington, DC, USA, 2023. [Google Scholar]
  2. Global Wind Energy Council. Global Wind Report; Global Wind Energy Council: Brussels, Belgium, 2022. [Google Scholar]
  3. Yamazaki, K.; Shina, M.; Kanou, Y.; Miwa, M.; Hagiwara, J. Effect of Eddy Current Loss Reduction by Segmentation of Magnets in Synchronous Motors: Difference Between Interior and Surface Types. IEEE Trans. Magn. 2009, 45, 4756–4759. [Google Scholar] [CrossRef]
  4. Sirimanna, S.; Zhang, X.; Haran, K. Investigation of the Impact of Magnet Segmentation on High Frequency Eddy Current Losses in an Interior Permanent Magnet Motor. In Proceedings of the 2022 IEEE Energy Conversion Congress and Exposition (ECCE), Detroit, MI, USA, 9–13 October 2022; pp. 1–7. [Google Scholar] [CrossRef]
  5. Tong, W.; Hou, M.; Sun, L.; Wu, S. Analysis and Experimental Verification of Segmented Rotor Structure on Rotor Eddy Current Loss of High-Speed Surface-Mounted Permanent Magnet Machine. In Proceedings of the 2021 IEEE International Magnetic Conference (INTERMAG), Lyon, France, 26–30 April 2021; pp. 1–5. [Google Scholar] [CrossRef]
  6. Sergeant, P.; Van den Bossche, A. Segmentation of Magnets to Reduce Losses in Permanent-Magnet Synchronous Machines. IEEE Trans. Magn. 2008, 44, 4409–4412. [Google Scholar] [CrossRef]
  7. Li, J.; Xu, Y.; Zou, J.; Wang, Q.; Liang, W. Analysis and Reduction of Magnet Loss by Deepening Magnets in Interior Permanent-Magnet Machines With a Pole/Slot Ratio of 2/3. IEEE Trans. Magn. 2015, 51, 1–4. [Google Scholar] [CrossRef]
  8. Oh, S.Y.; Cho, S.Y.; Han, J.H.; Lee, H.J.; Ryu, G.H.; Kang, D.; Lee, J. Design of IPMSM Rotor Shape for Magnet Eddy-Current Loss Reduction. IEEE Trans. Magn. 2014, 50, 841–844. [Google Scholar] [CrossRef]
  9. Wang, G.; Wang, P.; Wang, X. Equivalent Magnetic Circuit Reluctance Optimization for Rotor Loss Reduction in Permanent Magnet Synchronous Motor for UPS-FESS. IEEE Access 2020, 8, 107593–107600. [Google Scholar] [CrossRef]
  10. Yamazaki, K.; Togashi, Y.; Ikemi, T.; Ohki, S.; Mizokami, R. Reduction of Inverter Carrier Harmonic Losses in Interior Permanent Magnet Synchronous Motors by Optimizing Rotor and Stator Shapes. IEEE Trans. Ind. Appl. 2019, 55, 306–315. [Google Scholar] [CrossRef]
  11. Yamazaki, K.; Kanou, Y.; Fukushima, Y.; Ohki, S.; Nezu, A.; Ikemi, T.; Mizokami, R. Reduction of Magnet Eddy-Current Loss in Interior Permanent-Magnet Motors With Concentrated Windings. IEEE Trans. Ind. Appl. 2010, 46, 2434–2441. [Google Scholar] [CrossRef]
  12. Yamazaki, K.; Kato, Y.; Ikemi, T.; Ohki, S. Reduction of rotor losses in multi layer interior permanent magnet synchronous motors by introducing novel topology of rotor flux barriers. In Proceedings of the 2013 IEEE Energy Conversion Congress and Exposition, Denver, CO, USA, 15–19 September 2013; pp. 1220–1226. [Google Scholar] [CrossRef]
  13. Ding, M.; Fang, H.; Qu, R. Reduction of Rotor Loss in High-Speed Electrical Machines With a Novel Composite Sleeve. In Proceedings of the 2023 26th International Conference on Electrical Machines and Systems (ICEMS), Zhuhai, China, 5–8 November 2023; pp. 78–81. [Google Scholar] [CrossRef]
  14. Khan, H.A.; Khan, F.; Sami, I.; Ahmad, N. Suppression of Permanent Magnet Eddy Current Loss in High-Speed Machines. In Proceedings of the 2021 IEEE International Power and Renewable Energy Conference (IPRECON), Kollam, India, 24–26 September 2021; pp. 1–5. [Google Scholar] [CrossRef]
  15. Shen, J.X.; Hao, H.; Jin, M.J.; Yuan, C. Reduction of Rotor Eddy Current Loss in High Speed PM Brushless Machines by Grooving Retaining Sleeve. IEEE Trans. Magn. 2013, 49, 3973–3976. [Google Scholar] [CrossRef]
  16. Horiuchi, M.; Masuda, R.; Sato, M.; Bu, Y.; Nirei, M.; Mizuno, T. Reduction of Rotor Loss and Torque Ripple in an IPMSM using Magnetic Wedges. In Proceedings of the 2020 23rd International Conference on Electrical Machines and Systems (ICEMS), Hamamatsu, Japan, 24–27 November 2020; pp. 498–503. [Google Scholar] [CrossRef]
  17. Wills, D.A.; Kamper, M.J. Reducing PM eddy current rotor losses by partial magnet and rotor yoke segmentation. In Proceedings of the The XIX International Conference on Electrical Machines—ICEM 2010, Rome, Italy, 6–8 September 2010; pp. 1–6. [Google Scholar] [CrossRef]
  18. Wang, Y.; Ma, J.; Liu, C.; Lei, G.; Guo, Y.; Zhu, J. Reduction of Magnet Eddy Current Loss in PMSM by Using Partial Magnet Segment Method. IEEE Trans. Magn. 2019, 55, 1–5. [Google Scholar] [CrossRef]
  19. Zoubida, B.; Mekideche, M.R. Investigation of magnet segmentation techniques for eddy current losses reduction in permanent magnets electrical machines. Compel 2015, 34, 46–60. [Google Scholar] [CrossRef]
  20. Stoll, R.L. The Analysis of Eddy Currents; Oxford University Press: Oxford, UK, 1974. [Google Scholar]
  21. Paradkar, M.; Bocker, J. 2D analytical model for estimation of eddy current loss in the magnets of IPM machines considering the reaction field of the induced eddy currents. In Proceedings of the 2015 IEEE International Electric Machines and Drives Conference (IEMDC), Miami, FL, USA, 21–24 May 2017; pp. 1096–1102. [Google Scholar] [CrossRef]
  22. Ruoho, S.; Santa-Nokki, T.; Kolehmainen, J.; Arkkio, A. Modeling Magnet Length In 2-D Finite-Element Analysis of Electric Machines. IEEE Trans. Magn. 2009, 45, 3114–3120. [Google Scholar] [CrossRef]
  23. Yamazaki, K.; Abe, A. Loss Investigation of Interior Permanent-Magnet Motors Considering Carrier Harmonics and Magnet Eddy Currents. IEEE Trans. Ind. Appl. 2009, 45, 659–665. [Google Scholar] [CrossRef]
  24. Tessarolo, A. A survey of state-of-the-art methods to compute rotor eddy-current losses in synchronous permanent magnet machines. In Proceedings of the 2017 IEEE Workshop on Electrical Machines Design, Control and Diagnosis (WEMDCD), Nottingham, UK, 20–21 April 2017; pp. 12–19. [Google Scholar] [CrossRef]
  25. Tong, W.; Sun, L.; Wu, S.; Hou, M.; Tang, R. Analytical Model and Experimental Verification of Permanent Magnet Eddy Current Loss in Permanent Magnet Machines With Nonconcentric Magnetic Poles. IEEE Trans. Ind. Electron. 2022, 69, 8815–8824. [Google Scholar] [CrossRef]
  26. Kim, D.M.; Kim, J.H.; Lee, S.G.; Park, M.R.; Lee, G.H.; Lim, M.S. Estimation Method for Rotor Eddy Current Loss in Ultrahigh-Speed Surface-Mounted Permanent Magnet Synchronous Motor. IEEE Trans. Magn. 2021, 57, 1–5. [Google Scholar] [CrossRef]
  27. Chong, L.; Dutta, R.; Rahman, M.F.; Lovatt, H. Experimental verification of core and magnet losses in a concentrated wound IPM machine with V-shaped magnets used in field weakening applications. In Proceedings of the 2011 IEEE International Electric Machines and Drives Conference (IEMDC), Niagara Falls, ON, Canada, 15–18 May 2011; pp. 977–982. [Google Scholar] [CrossRef]
  28. Alberti, L.; Fornasiero, E.; Bianchi, N. Impact of the Rotor Yoke Geometry on Rotor Losses in Permanent-Magnet Machines. IEEE Trans. Ind. Appl. 2012, 48, 98–105. [Google Scholar] [CrossRef]
  29. Hu, Y.; Zhu, S.; Liu, C. Magnet Eddy-Current Loss Analysis of Interior PM Machines for Electric Vehicle Application. IEEE Trans. Magn. 2017, 53, 1–4. [Google Scholar] [CrossRef]
  30. Balamurali, A.; Anik, A.K.; Clandfield, W.; Kar, N.C. Non-Invasive Parameter and Loss Determination in PMSM Considering the Effects of Saturation, Cross-Saturation, Time Harmonics, and Temperature Variations. IEEE Trans. Magn. 2021, 57, 1–6. [Google Scholar] [CrossRef]
  31. Gerlach, T.; Steckel, R.; Hubert, T.; Kremser, A. Eddy current loss analysis in permanent magnets of synchronous machines. In Proceedings of the 2016 6th International Electric Drives Production Conference (EDPC), Nuremberg, Germany, 30 November–1 December 2016; pp. 246–252. [Google Scholar] [CrossRef]
  32. Yamazaki, K.; Fukuoka, T.; Akatsu, K.; Nakao, N.; Ruderman, A. Investigation of Locked Rotor Test for Estimation of Magnet PWM Carrier Eddy Current Loss in Synchronous Machines. IEEE Trans. Magn. 2012, 48, 3327–3330. [Google Scholar] [CrossRef]
  33. van der Geest, M.; Polinder, H.; Ferreira, J.A. Influence of PWM switching frequency on the losses in PM machines. In Proceedings of the 2014 International Conference on Electrical Machines (ICEM), Berlin, Germany, 2–5 September 2014; pp. 1243–1247. [Google Scholar] [CrossRef]
  34. Velic, T.; Barkow, M.; Bauer, D.; Fuchs, P.; Wende, J.; Hubert, T.; Reinlein, M.; Nägelkrämer, J.; Parspour, N. Efficiency Optimization of Electric Drives with Full Variable Switching Frequency and Optimal Modulation Methods. In Proceedings of the 2021 17th Conference on Electrical Machines, Drives and Power Systems (ELMA), Sofia, Bulgaria, 1–4 July 2021; pp. 1–6. [Google Scholar] [CrossRef]
  35. Tornello, L.D.; Vaschetto, S.; Agamloh, E.B.; Scelba, G.; De Donato, G.; Cavagnino, A. Investigating PWM-Induced Iron Losses: Measurements and Estimation Models up to 350 kHz Switching Frequency. IEEE Open J. Ind. Appl. 2024, 5, 338–355. [Google Scholar] [CrossRef]
Figure 1. The DOE’s medium-term critical materials list [1].
Figure 1. The DOE’s medium-term critical materials list [1].
Energies 18 02879 g001
Figure 2. Segmented magnet design (left-side magnet) and single segment with partial axial segments (right-side magnet) for IPM motors.
Figure 2. Segmented magnet design (left-side magnet) and single segment with partial axial segments (right-side magnet) for IPM motors.
Energies 18 02879 g002
Figure 3. The eddy current path model for analytical calculations for a single magnet segment.
Figure 3. The eddy current path model for analytical calculations for a single magnet segment.
Energies 18 02879 g003
Figure 4. The eddy current path for a single magnet segment from FE simulation.
Figure 4. The eddy current path for a single magnet segment from FE simulation.
Energies 18 02879 g004
Figure 5. The eddy current path in a magnet with partial axial segmentation from FE simulations.
Figure 5. The eddy current path in a magnet with partial axial segmentation from FE simulations.
Energies 18 02879 g005
Figure 6. The current path model of an inner magnet section used to calculate the partially segmented eddy current losses.
Figure 6. The current path model of an inner magnet section used to calculate the partially segmented eddy current losses.
Energies 18 02879 g006
Figure 7. Partial axial segmentation configuration showing inner and end sections.
Figure 7. Partial axial segmentation configuration showing inner and end sections.
Energies 18 02879 g007
Figure 8. Analytical estimate for permanent-magnet loss reduction through partial segmentation of a magnet with length of 35 mm and width of 14 mm.
Figure 8. Analytical estimate for permanent-magnet loss reduction through partial segmentation of a magnet with length of 35 mm and width of 14 mm.
Energies 18 02879 g008
Figure 9. The 3D-FEA model of the baseline IPM in Ansys Electronics Desktop.
Figure 9. The 3D-FEA model of the baseline IPM in Ansys Electronics Desktop.
Energies 18 02879 g009
Figure 10. The simplified current excitation with an injected 10 kHz harmonic.
Figure 10. The simplified current excitation with an injected 10 kHz harmonic.
Energies 18 02879 g010
Figure 11. Permanent-magnet loss comparison for different partially segmented magnet designs.
Figure 11. Permanent-magnet loss comparison for different partially segmented magnet designs.
Energies 18 02879 g011
Figure 12. Segmented and partially segmented magnet configurations: (a) axially segmented magnet without PS; the symmetry of the model was used to create additional segments in the z-direction. (b) Radially segmented magnet without PS. (c) Partial axial segmentation with slots closer to the air gap. (d) Partial axial segmentation with slots further from the air gap. (e) Partial radial segmentation with slots closer to the air gap. (f) Partial radial segmentation with slots further from the air gap. (cf) All include axial segmentation in the z-direction.
Figure 12. Segmented and partially segmented magnet configurations: (a) axially segmented magnet without PS; the symmetry of the model was used to create additional segments in the z-direction. (b) Radially segmented magnet without PS. (c) Partial axial segmentation with slots closer to the air gap. (d) Partial axial segmentation with slots further from the air gap. (e) Partial radial segmentation with slots closer to the air gap. (f) Partial radial segmentation with slots further from the air gap. (cf) All include axial segmentation in the z-direction.
Energies 18 02879 g012
Figure 13. Model of the partial axial segmentation design chosen for experimental verification.
Figure 13. Model of the partial axial segmentation design chosen for experimental verification.
Energies 18 02879 g013
Figure 14. Current waveform for the low-current 6750 rpm operating point. The excitation includes switching harmonics from an inverter simulation.
Figure 14. Current waveform for the low-current 6750 rpm operating point. The excitation includes switching harmonics from an inverter simulation.
Energies 18 02879 g014
Figure 15. (a) PM loss ratio for partial axial segmentation at high current (above) and low current (below) as slot depth ratio and number of slots were swept. (b) PM loss for partial axial segmentation at high current (above) and low current (below) as slot depth ratio and number of slots were swept.
Figure 15. (a) PM loss ratio for partial axial segmentation at high current (above) and low current (below) as slot depth ratio and number of slots were swept. (b) PM loss for partial axial segmentation at high current (above) and low current (below) as slot depth ratio and number of slots were swept.
Energies 18 02879 g015
Figure 16. Permanent-magnet loss ratio of partial axial segmentation based on analytical calculation.
Figure 16. Permanent-magnet loss ratio of partial axial segmentation based on analytical calculation.
Energies 18 02879 g016
Figure 17. Permanent-magnet loss comparison of segmentation and partial axial segmentation.
Figure 17. Permanent-magnet loss comparison of segmentation and partial axial segmentation.
Energies 18 02879 g017
Figure 18. Average torque of the partial axial segmentation design with various slot widths.
Figure 18. Average torque of the partial axial segmentation design with various slot widths.
Energies 18 02879 g018
Figure 19. Permanent-magnet loss test fixture components. (a) Permanent magnet loss test fixture with removable magnets. (b) A single magnet segment without partial segmentation used in the test fixture. (c) A partially segmented permanent magnet used in the test fixture.
Figure 19. Permanent-magnet loss test fixture components. (a) Permanent magnet loss test fixture with removable magnets. (b) A single magnet segment without partial segmentation used in the test fixture. (c) A partially segmented permanent magnet used in the test fixture.
Energies 18 02879 g019
Figure 20. Diagram of permanent-magnet loss measurement system.
Figure 20. Diagram of permanent-magnet loss measurement system.
Energies 18 02879 g020
Figure 21. Permanent-magnet loss measurement system.
Figure 21. Permanent-magnet loss measurement system.
Energies 18 02879 g021
Figure 22. The test fixture voltage and current waveforms for 0.6 modulation index, 60° phase angle, and 2 kHz switching frequency.
Figure 22. The test fixture voltage and current waveforms for 0.6 modulation index, 60° phase angle, and 2 kHz switching frequency.
Energies 18 02879 g022
Figure 23. The FFT of the AC harmonic components for 2 kHz, 5 kHz, and 8 kHz switching frequencies at 0.6 modulation index and 60° phase angle.
Figure 23. The FFT of the AC harmonic components for 2 kHz, 5 kHz, and 8 kHz switching frequencies at 0.6 modulation index and 60° phase angle.
Energies 18 02879 g023
Figure 24. Total AC losses from the experimental test fixture for all switching frequencies and magnet configurations. (ae) Each graph depicts the losses for a different phase angle.
Figure 24. Total AC losses from the experimental test fixture for all switching frequencies and magnet configurations. (ae) Each graph depicts the losses for a different phase angle.
Energies 18 02879 g024
Figure 25. (a) AC losses and (b) RMS of AC current components for a phase sweep comparison at 2 kHz switching for magnets without PS.
Figure 25. (a) AC losses and (b) RMS of AC current components for a phase sweep comparison at 2 kHz switching for magnets without PS.
Energies 18 02879 g025
Figure 26. Estimated permanent-magnet losses of experimental test fixture with and without PS at all switching frequencies. (ae) Each graph depicts the losses for a different phase angle.
Figure 26. Estimated permanent-magnet losses of experimental test fixture with and without PS at all switching frequencies. (ae) Each graph depicts the losses for a different phase angle.
Energies 18 02879 g026
Figure 27. (a,c,e) Estimated permanent-magnet loss difference with and without PS. (b,d,f) Loss ratio comparing magnets with and without PS.
Figure 27. (a,c,e) Estimated permanent-magnet loss difference with and without PS. (b,d,f) Loss ratio comparing magnets with and without PS.
Energies 18 02879 g027
Figure 28. Magnet temperature with and without PS at 80 A rms , 60° phase shift, and 2 kHz switching frequency.
Figure 28. Magnet temperature with and without PS at 80 A rms , 60° phase shift, and 2 kHz switching frequency.
Energies 18 02879 g028
Table 1. Properties of the baseline IPM used for the investigation.
Table 1. Properties of the baseline IPM used for the investigation.
Outer Diameter230 mm
Stack Length70 mm
Rotor Outer Diameter150.8 mm
Poles8
Peak Torque250 Nm
Magnet Width14.3 mm
Magnet Thickness6.5 mm
Disclaimer/Publisher’s Note: The statements, opinions and data contained in all publications are solely those of the individual author(s) and contributor(s) and not of MDPI and/or the editor(s). MDPI and/or the editor(s) disclaim responsibility for any injury to people or property resulting from any ideas, methods, instructions or products referred to in the content.

Share and Cite

MDPI and ACS Style

Vannest, J.; Zhang, J. Partially Segmented Permanent-Magnet Losses in Interior Permanent-Magnet Motors. Energies 2025, 18, 2879. https://doi.org/10.3390/en18112879

AMA Style

Vannest J, Zhang J. Partially Segmented Permanent-Magnet Losses in Interior Permanent-Magnet Motors. Energies. 2025; 18(11):2879. https://doi.org/10.3390/en18112879

Chicago/Turabian Style

Vannest, Jeremiah, and Julia Zhang. 2025. "Partially Segmented Permanent-Magnet Losses in Interior Permanent-Magnet Motors" Energies 18, no. 11: 2879. https://doi.org/10.3390/en18112879

APA Style

Vannest, J., & Zhang, J. (2025). Partially Segmented Permanent-Magnet Losses in Interior Permanent-Magnet Motors. Energies, 18(11), 2879. https://doi.org/10.3390/en18112879

Note that from the first issue of 2016, this journal uses article numbers instead of page numbers. See further details here.

Article Metrics

Back to TopTop