Effects of Driving Current Ripple Fluctuations on the Liquefied Layer of the Armature–Rail Interface in Railguns
Abstract
1. Introduction
2. Simulation Theory and Modeling
2.1. Fluid Dynamics Field
2.2. Electromagnetic Field
2.3. Thermal Field
2.4. Solid Mechanics Field
2.5. Model Assumptions
- (1)
- The liquefied layer is an incompressible liquid and is laminar.
- (2)
- Given that the liquefied layer is on the micron scale, the variation in the magnetic field within the liquefied layer in the magnetic diffusion model is neglected.
- (3)
- Due to the hardness and melting point of rails being higher than those of the armature, the deformation and melting of the rail are disregarded.
- (4)
- This paper focuses on calculations under a two-dimensional steady state, ignoring parameter changes in the z-direction.
- (5)
- The pressure and the thickness of the liquefied layer calculated in this paper are the values obtained under steady-state conditions.
2.6. Multiphysics Coupling
3. Results and Discussion of Simulation
3.1. Setup of Simulation
3.2. Velocity of the Armature
3.3. Melting of the Armature
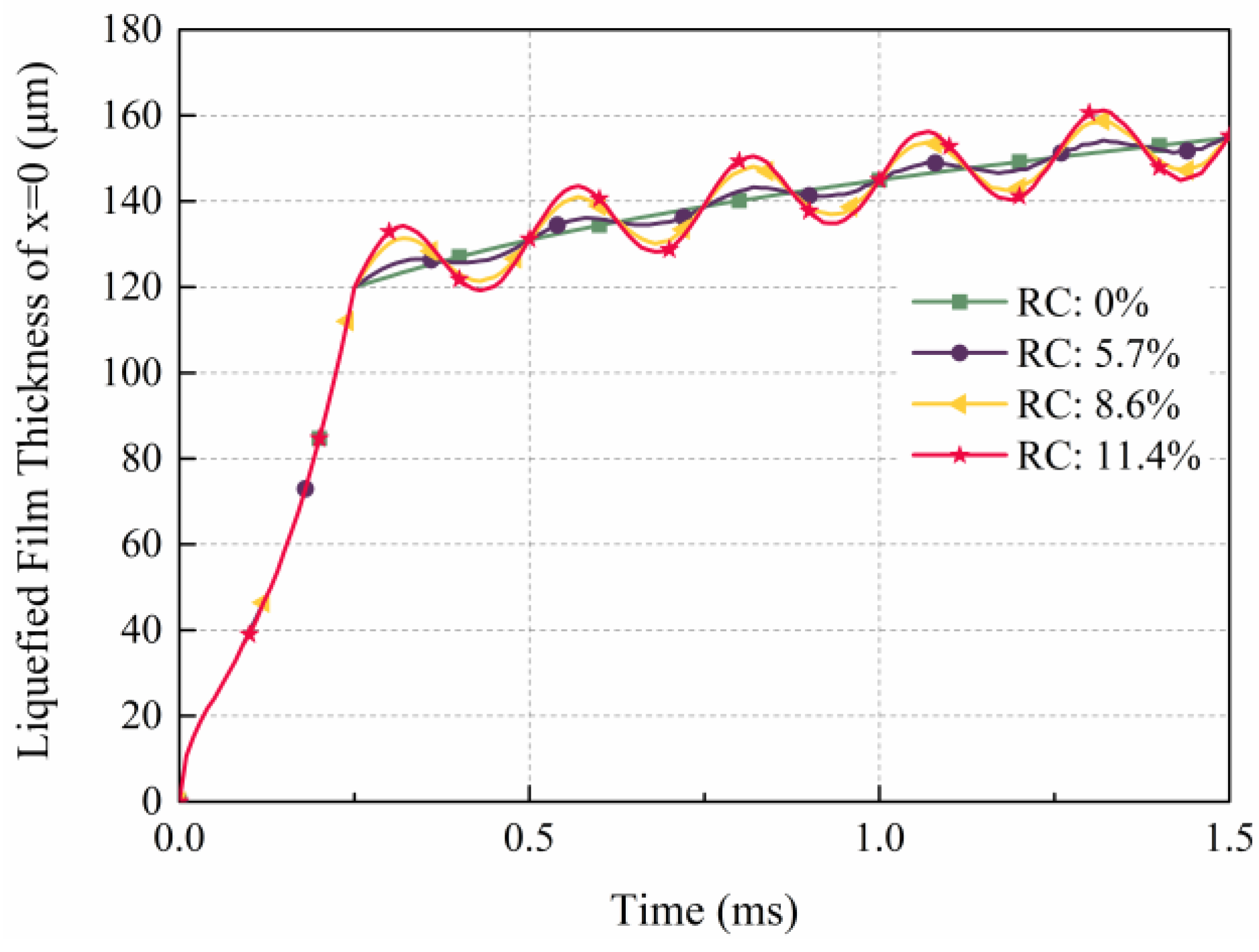
3.4. Thickness of Liqufied Layer
3.5. Pressure of Liqufied Layer
4. Experimental, Results and Discussion
4.1. Setup of Experiment
4.2. Discussion and Results of Experiments
5. Conclusions
- (1)
- The thickness and pressure of the liquefied layer at the armature–rail interface and the melting rate of the armature fluctuate with the fluctuation of the current. As the fluctuation coefficient increases, the amplitudes of fluctuations in both the thickness and pressure of the liquefied layer become more pronounced.
- (2)
- Due to the instability of the thickness and pressure of the liquefied layer, as well as the high velocity of the armature, the sliding electrical contact between the armature and rails deteriorates, and arcs or even transition occurs between the armature and the rails, which reduces the life of the rails.
- (3)
- During the startup and low-velocity stages of the armature, fluctuations in the driving current lead to fluctuations in the melting rate of the armature and the volume of liquefied layer, ultimately resulting in the deposition of the liquified layer at the edges of the rail in the form of ejection.
Author Contributions
Funding
Data Availability Statement
Conflicts of Interest
References
- Li, J.; Yan, P.; Yuan, W. Electromagnetic gun technology and its development. High Volt. Eng. 2014, 40, 1052–1064. [Google Scholar]
- Ma, W.; Lu, J. Electromagnetic Rail Launch Theory and Technology; Science Press: Washington, DA, USA, 2020; pp. 211–217. [Google Scholar]
- Stefani, F.; Levinson, S.; Satapathy, S.; Parker, J. Electrodynamic transition in solid armature railguns. IEEE Trans. Magn. 2001, 37, 101–105. [Google Scholar] [CrossRef]
- Braunovic, M.; Myshkin, N.K.; Konchits, V.V. Electrical Contacts: Fundamentals, Applications and Technology; Marcel Dekker Inc.: New York, NY, USA, 2006; pp. 163–169. [Google Scholar]
- Persad, C.; Yeoh, A.; Prabhu, G.; White, G.; Eliezer, Z. On the nature of the armature-rail interface: Liquid metal effects. IEEE Trans. Magn. 1997, 33, 140–145. [Google Scholar] [CrossRef]
- Meger, R.A.; Cooper, K.; Jones, H.; Neri, J.; Qadri, S.; Singer, I.L.; Sprague, J.; Wahl, K.J. Analysis of rail surfaces from a multishot railgun. IEEE Trans. Magn. 2005, 41, 211–213. [Google Scholar] [CrossRef]
- Persad, C.; Castro, Z. Railgun tribology: Characterization and control of multishot wear debris. IEEE Trans. Magn. 2007, 43, 173–177. [Google Scholar] [CrossRef]
- Stiffler, A.K. Friction and wear with a fully melting surface. J. Tribol. 1984, 106, 416–419. [Google Scholar] [CrossRef]
- Drobyshevski, É.M.; Kolesnikova, É.N.; Yuferev, V.S. Influence of lubricant on the motion of a body in an electromagnetic railgun accelerator. I. Electric current distribution in the accelerated body and the rails. Tech. Phys. 1999, 44, 831–838. [Google Scholar] [CrossRef]
- Kothmann, R.E.; Stefani, F. A thermal hydraulic model of melt-lubrication in railgun armatures. IEEE Trans. Magn. 2001, 37, 86–91. [Google Scholar] [CrossRef]
- Merrill, R.; Stefani, F. A turbulent melt-lubrication model of surface wear in railgun armatures. IEEE Trans. Magn. 2005, 41, 414–419. [Google Scholar] [CrossRef]
- Ghassemi, M.; Molayi Barsi, Y. Effect of liquid film (indium) on thermal and electromagnetic distribution of an electromagnetic launcher with new armature. IEEE Trans. Magn. 2005, 41, 408–413. [Google Scholar] [CrossRef]
- Thiagarajan, V.; Hsieh, K.-T. A magnetofluid mechanical model to describe rail–armature interface phenomena. IEEE Trans. Magn. 2007, 43, 198–203. [Google Scholar] [CrossRef]
- Yao, J.; Xia, S.; Chen, L.; He, J.; Xiong, Y.; Zhang, C. Analysis of hydrodynamic lubrication considering the self-acceleration of a liquid conducting film at rail–armature interface. IEEE Trans. Plasma Sci. 2019, 47, 2256–2263. [Google Scholar] [CrossRef]
- Xia, S.; Wu, P.; Xiong, Y.; Xu, J.; Ruan, J.; Wang, Z.; Chen, L.; Li, C. Simulation on side-ejecting characteristics of metal liquid film in electromagnetic launcher. IEEE Trans. Plasma Sci. 2020, 48, 4006–4013. [Google Scholar] [CrossRef]
- Liao, G.; Wang, W.; Wei, C.; Zhao, H.; Liu, X. Characterization of magneto-thermo-hydrodynamic lubrication of metal liquid film at armature/rail interface. Tribol. Int. 2023, 189, 108912. [Google Scholar] [CrossRef]
- Liao, G.; Wang, W.; Wang, B.; Chen, Q.; Liu, X. Transient mixed-lubrication and contact behavior analysis of metal liquid film under magneto-thermal effect. Int. J. Mech. Sci. 2024, 271, 109142. [Google Scholar] [CrossRef]
- Li, C.; Xia, S. Study on lubrication characteristics of metal liquid film based on Electromagnetic-Elastic Mechanics-Hydrodynamics Multiphysics coupling model. Materials 2020, 13, 1056. [Google Scholar] [CrossRef] [PubMed]
- Ruan, J.; Chen, L.; Wang, Z.; Li, C.; Wu, P.; Xia, S. Transition mechanism based on load imbalance of liquid metal film. IEEE Trans. Plasma Sci. 2020, 48, 3720–3726. [Google Scholar] [CrossRef]













| Friction Coefficient | The Length of the Armature (m) | Electrical Conductivity of the Rail (S/m) | Electrical Conductivity of the Armature (S/m) | Viscosity Coefficient (Pa·s) | Density of the Liquefied Layer (kg/m3) | Specific Heat Capacity of Aluminum at Constant Pressure (J/(kg·K)) |
|---|---|---|---|---|---|---|
| 0.14 | 0.036 | 2.96 × 107 | 2.506 × 107 | 0.0045 | 2485 | 896 |
Disclaimer/Publisher’s Note: The statements, opinions and data contained in all publications are solely those of the individual author(s) and contributor(s) and not of MDPI and/or the editor(s). MDPI and/or the editor(s) disclaim responsibility for any injury to people or property resulting from any ideas, methods, instructions or products referred to in the content. |
© 2025 by the authors. Licensee MDPI, Basel, Switzerland. This article is an open access article distributed under the terms and conditions of the Creative Commons Attribution (CC BY) license (https://creativecommons.org/licenses/by/4.0/).
Share and Cite
Tian, W.; Wang, G.; Zhao, Y.; Zhao, W.; Yuan, W.; Yan, P. Effects of Driving Current Ripple Fluctuations on the Liquefied Layer of the Armature–Rail Interface in Railguns. Energies 2025, 18, 2596. https://doi.org/10.3390/en18102596
Tian W, Wang G, Zhao Y, Zhao W, Yuan W, Yan P. Effects of Driving Current Ripple Fluctuations on the Liquefied Layer of the Armature–Rail Interface in Railguns. Energies. 2025; 18(10):2596. https://doi.org/10.3390/en18102596
Chicago/Turabian StyleTian, Wen, Gongwei Wang, Ying Zhao, Weikang Zhao, Weiqun Yuan, and Ping Yan. 2025. "Effects of Driving Current Ripple Fluctuations on the Liquefied Layer of the Armature–Rail Interface in Railguns" Energies 18, no. 10: 2596. https://doi.org/10.3390/en18102596
APA StyleTian, W., Wang, G., Zhao, Y., Zhao, W., Yuan, W., & Yan, P. (2025). Effects of Driving Current Ripple Fluctuations on the Liquefied Layer of the Armature–Rail Interface in Railguns. Energies, 18(10), 2596. https://doi.org/10.3390/en18102596

