Abstract
This paper presents the design and development project of an engine test stand specifically constructed for ground testing of miniature turbine jet engines (MTJEs) along with conclusive results of the conducted investigations. The tested engines serve as the propulsion system for an unmanned aerial vehicle (UAV) platform. The engine test stand was used to determine various operating parameters of the engine, with a particular focus on recording variations and changes in temperature and pressure at the engine control cross-sections: behind the compressor, the combustion chamber, and at the final cross-section of the nozzle. The analysis of the direct test results allowed the evaluation of the engine’s behavior under hydration conditions and documents the quantitative and qualitative response of the control system of the engine. Of particular interest are the results showing an increase in exhaust system temperature with a decrease in the temperature in combustion chamber under hydrated conditions. The test program assumed and considered the acting loads and forces in both standard and specific flight conditions, including scenarios for a heavy rain. The preliminary evaluation of the investigation results provided data and insights required for further analysis. Quantitatively, the measured temperature value in the exhaust system does not exceed 700 °C and the temperature increase resulting from the introduction of water and the engine’s response to the out-of-operation event is approximately 50 °C for the JetCat 140. Qualitatively different effects were observed in the combustion moment, consisting in a drop in temperature values during the introduction of water into the engine flow channel. The introduction of water into the GTM 140 inlet revealed no significant changes in the variations of pressure and temperature measured in selected engine design sections. Based on the knowledge and experience gained, a fully operational test stand to monitor the parameters and performance of the MTJEs, which are used for aerial target propulsion, was developed.
1. Introduction
One of the key threats to the proper operation of a turbine engine is the ingestion and suction of water in various forms; for example, water in clouds exists in the form of a small-droplet aerosol; at lower altitudes, rain and snowfall are prevalent; and on the runway and ramp surfaces, puddles may form. Ingesting a large amount of water (hereinafter referred to as flow hydration) can cause severe engine operational disturbances, malfunctions, and even complete engine shutdown.
Flow hydration can also occur because of the engine ingesting detached pieces of ice. Under favorable conditions, ice that is formed on the surfaces of components in the engine inlet can break off and be drawn into the engine duct. This poses a severe risk of damage to the blades of the compressor. In critical conditions, this results in engine shutdown or even permanent damage [1]. Therefore, it is crucial to conduct research on the impact of flow hydration on the operation of aircraft turbine engines. Such a study had been conducted within the frame of the project under the name “OCP-JET2 Air Target of a Programmable Flight Path”, where similar engines are used as the propulsion system for a UAV. The aerial target UAV was designed to fly in all weather conditions, including adverse weather such as rain or snowfall; therefore, it was a requirement to test the engine under the mentioned conditions. What is more, the results of the work allowed, among other things, the selection of the engine (two engines were considered), and the experience gained made it possible to develop a preliminary design of a stand for pre-flight checks of the engine before the flight of the aircraft UAV.
Research on the introduction of condensed water into the flow passage of a turbine jet engine began as early as the 1950s. The aim of the research described in [2] was to analyze the impact of changes in the degree of relative humidity of the inlet air to the engine on the improvement of its performance, in particular the increase in engine thrust. The next step involved analyzing the improvement of engine performance resulting from the intentional injection of water into the inlet, described in [3]. The conclusions from these analyses gave rise to further research and analysis. Fundamental work on available flow hydration techniques for turbine engines and power turbines was presented by Roumeliotis and Mathioudakis [4]. On the basis of a synthetic review of available techniques and research results, they analyzed the effect of flow hydration on changes in compressor pressure and turbine efficiency or overall efficiency of the tested engine, taking into account not only the effect of the amount, but also the influence of the specific diameters of water droplets introduced into the flow. In addition, they highlighted the dangers and associated risks, e.g., decreasing the stable turbine operation reserve with an increase in the mass intensity of the hydration stream and potential reduction in the durability of selected structural elements forming the engine flow channel. An example of analytical work is the work on the assessment of the influence of mass and diameter of the droplet on selected parameters of gas turbine operation presented by Kim K. H. and others [5]. The results obtained confirmed the previously obtained results of numerical modeling [6]. Numerical analyses of the influence of the droplet size and amount of water introduced into the functioning of selected engine design units and their operational efficiency, conducted with the use of commercial computational packages, were carried out by D. G. Kofar-Bai et al. [7] and A. Lin et al. [8,9,10]. Valuable results of numerical studies of flow hydration are presented in [11]. On their basis, the authors determined, among other factors, the dependence of the inlet air temperature as a function of the mass share of water in the inlet stream, as well as the length of the inlet and the Mach number. The results provided reliable data, supplementing the information needed for the development of new inlet structures operating under conditions where water is likely to be introduced into the inlet. The results of numerical studies were also presented by A. Lin and others in [12]. The paper presents the influence of inlet air hydration on the aerodynamic conditions of the operation of the rotor ring–axial compressor ring system. It also analyzes the consequences resulting from the formation of a liquid film on the surface of the blades for the characteristics of the compressor unit, providing original data that advance and contribute to the state of knowledge regarding the operation of axial jet compressors and heat transfer between droplets and flow of the working medium, i.e., air.
Significant results of experimental studies on the injection of a mixture of water, methanol, and diesel oil in different proportions of the prepared fuel mixture feeding a four-cylinder diesel engine are presented in [13]. For this type of propulsion, experimental studies confirmed a significant increase in the power of the propulsion system, while reducing the level of pollutant emissions.
Most of the work also concerns economic analyses of flow hydration. This area includes the work of D. Mathto and S. Pal [14], which concerns a detailed thermodynamic analysis of a gas-steam power plant using cooling of the inlet medium by fogging. It was found that fogging reduces the operating costs per kWh of energy generated. The economic benefit—illustrated using an example of a Boeing 747-400 aircraft powered by RB211-524GH engines—resulting from the fogging of intake air and direct injection of water into the combustion chamber of the engines, confirms the conclusions contained in [15]. Additionally, the conducted research demonstrated a significant reduction in NOx emissions (ranging from 25% to 85% depending on the technique used and the amount of water introduced) with a simultaneous increase in draught (ranging from 10% to 25% depending on weather conditions).
The scale of flow hydration phenomena—from the gaseous, liquid, or solid phase—is reflected by the rapid changes in its physical parameters, affecting the durability of engine operation. This serves as the premise for necessary temperature tests conducted during flow hydration. This is clearly shown by the results of the research presented in [16,17]. In addition to the above-mentioned publications, which fit into the concept of conducting experiments on models of real objects [18], the analysis showed significant deficiencies in the presented experimental research on flow hydration carried out in the duct of aircraft turbine engines compared to the available results of mathematical and numerical modeling. Because the types of engines selected for analysis in this paper are used for the propulsion of unmanned aircraft, the main motivation of the work was the need to obtain reliable results for the verification of design data and calculation of operational parameters, as well as to obtain reference diagnostic data. The original result of the current project is the experimental documentation of the response of the microturbine jet to water injection, while the fluid is supplied not as an aerosol but as a continuous phase. The experiments were performed on a dedicated test rig. The results complement the results of previous studies, which were performed for a full-scale engine (cf. [1]). However, the most important thing is that the results complement the literature data on the microturbine performance in severe weather conditions. This is crucial considering the airborne target operation. Finally, the collected data provide reliable information for the potential development of numerical models and verification of numerical modeling data. Moreover, it was decided to link these results to the basic data of the engine recorder. On this basis, an attempt was made to analyze the response of the engine control system under specific flight conditions. As a result, a qualitative assessment of the operation of the control system in non-standard conditions related to the introduction of water into the inlet was carried out. This has significant consequences not only from the point of view of efficiency, but also for the safety of the operation of the propulsion units used.
This paper is organized as follows: the tested engines, test stands, and research methods are described in Section 2; the results of the experiment and investigation are presented in Section 3; the designed ground mobile station for pre-flight inspection of the engine is shown in Section 4; and this paper is concluded in Section 5.
2. Materials and Methods
2.1. Engine
The objects of the research and analysis were two miniature turbine jet engines (MTJEs) with a maximum thrust of 140 N: a laboratory version of the GTM 140 made in Poland and a JetCat 140 engine made in the USA. The engines are shown in Figure 1.
Figure 1.
Miniature turbine jet engines: (a) GTM 140; (b) JetCat 140.
Both designs, like most MTJEs (manufactured by JETPOL [19], JetCat [20], AMT Netherlands [21], Turbine Solutions [22], PBS Aerospace [23], King Tech Turbines [24], Frank Turbine Engine Systems [25], ALM-Meca Engineering [26], JetBeetle [27], etc.) with thrust below 500 N, are built on the basis of the KJ66 engine [28], so their construction is similar. Figure 2 shows a diagram of a typical motor of this type with an indication of its main components. Each engine is equipped with a subsonic intake, beneath which elements of electronic equipment and auxiliary installations are placed. They use a single-stage centrifugal compressor and an annular combustion chamber equipped with vaporizers. The compressor rotor is driven by a single-stage axial turbine [29,30]. The engines are started by an electronic ignition system and an electric starter, which is mounted in front of the intake.
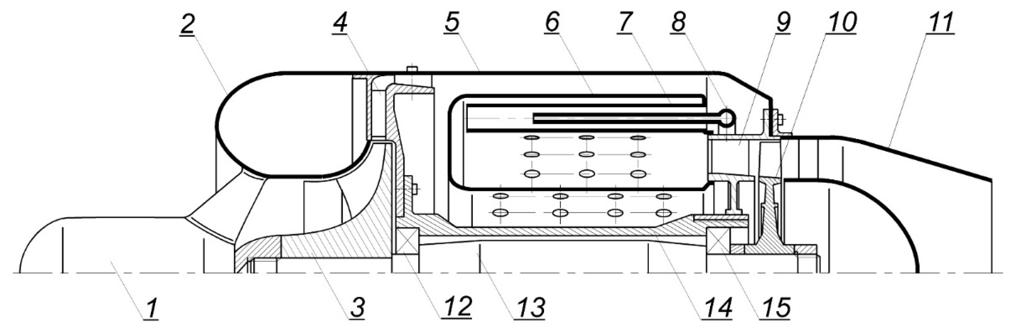
Figure 2.
MTJE main components: 1—electric starter, 2— inlet, 3—compressor rotor, 4—diffuser, 5—combustion chamber cover, 6—combustion chamber, 7—vaporizer, 8—fuel manifold with injectors, 9—turbine nozzle, 10—turbine rotor, 11—exhaust nozzle, 12, 13—shaft, 14—shaft tunnel, 15—bearings.
An important difference in the construction of both engines is the use of different design solutions for the exhaust systems and different designs of the combustion chamber covers. The JetCat 140 uses a typical converging nozzle exhaust system, while the GTM 140 laboratory engine uses a constant cross-section area pipe exhaust system. The JetCat 140 engine cover is stamped from thin sheet steel and does not have any holes to measure parameters of the working medium. The GTM 140 engine uses a thick-walled cover (hull) of the combustion chamber made of aluminum alloy, which allowed for the installation of 12 struts enabling pressure and temperature measurement in two sections: the compressor outlet and the turbine inlet. Both engines [19,31] are controlled based on signals sent from the transmitter by electronic control units (ECUs), which transmit a signal in the form of the appropriate supply voltage of the fuel pump’s electric motor. Engine operating parameters can be observed on the display of the GSU (Ground Support Unit) parameter display [19,31]. In the case of the JetCat 140, the engine can optionally be controlled using the PC software Jettronic v. 1.0.57. This software also allows for recording the basic parameters of the engine’s operation, which was used during the research [32]. The electrical and electronic engine systems were powered by a gel battery with a voltage of 12 V and a capacity of 17 Ah. The engines were powered by Jet A-1 aviation fuel with a 5% addition of Aeroshell 500 synthetic oil to achieve the required lubrication of the rotor bearings, to which a small quantity of the fuel–oil mixture was applied. Table 1 contains approximate values of the basic mass-geometric and performance data of both engines.
Table 1.
Engines’ parameters and performance.
2.2. Engine Test Stand
Due to the rated thrust and the need to record specific operating parameters, the miniature turbine aircraft engines were launched on specially designed test stands. Such a station must ensure the safety of the engine and the operator and enable the recording of selected measurement data. It is required that the stand is characterized by the lowest possible weight and geometric dimensions, the ergonomics of the installation of motor units and electrical equipment, as well as the possibility of installing additional sensors and measuring systems. For research and analysis, two autonomous test stands were used. The first (Figure 3) was built and equipped to work with the GTM 140 engine. The engine is mounted with a steel band and two sections to a swinging platform moving on two guides. Inside the platform, there are components of the engine’s auxiliary equipment.
Figure 3.
Photographs of the engine test stand: (a) GTM 140 engine; (b) dynamometer components; 1—electrical signal emulator, 2—fuel pump, 3—fuel flow meter, 4—control valves, 5—electronic control module (ECU).
Fuel is supplied from the tank to the fuel pump via polyurethane hoses, which then pumps the fuel to the fuel manifold via a flow meter, electromagnetic control valves (see Figure 3), and a filter integrated to the engine, and from there into the combustion chamber. The change in mass fuel flow rate, and consequently the change in the engine operating ranges, is managed by an electronic control system, which also allows the measurement of rotational speed (using an optoelectronic sensor) and the temperature behind the turbine and thrust. Furthermore, the fuel pump supply voltage and the volumetric fuel flow rate are also measured. The motor is controlled by a potentiometer integrated with the GSU located on the front panel of the test bench. This panel is also used to mount the GSU itself and the thrust display, which is measured using a strain gauge beam. The front panel of the workstation is presented in Figure 4.
Figure 4.
GTM 140 test stand front panel: 1—Ground Support Unit (GSU); 2—thrust indicator; 3—potentiometer with power switch.
The second station (Figure 5) was adapted to operate with the JetCat 140 engine. The test stand is a modified version of the GTM 120, which is present at the Military University of Technology. Detailed descriptions of this site are included in previous research [16].
Figure 5.
JetCat 140 engine test stand: 1—engine; 2—fuel tank; 3—CL-363 strain gauge; 4—battery; 5—electronic thrust gauge; 6—Ground Support Unit (GSU); 7—platform.
Additionally, both stations had to be equipped with a temperature and pressure measurement system. The system controller was a Fujitsu Siemens portable computer, which manages the operation of all system components. To record measurement signals from test sensors, a set of measurement cards were used, which included two NI cDAQ-9172 port modules and NI 9211 low-voltage data acquisition cards manufactured by National Instruments [16]. Two types of K-type thermocouples (TCs) were used as temperature sensors: sheathed with an outside diameter of 0.5 mm (CZAKI company; measuring range: −40 ÷ 1000 °C; accuracy: ±1.5 °C) and Teflon tubing TCs with a wire having a 0.05 mm diameter and a two-core cable with 0.15 × 0.25 mm outside dimensions (OMEGA company). The pressure transducers were piezoelectric PAA-23SY sensors with a measuring range of up to 0.6 MPa (accuracy: ± 0.25%; measurement error: ±0.7% in temperature range −10 ÷ 80 °C) manufactured by KELLER. They were connected to the engine measuring pipes using pressure pipes approximately 0.5 m in length with an internal diameter of 5 mm. The thrust measurement was carried out using an instrument composed of a CL17p force strain gauge and a CL-363 electronic meter manufactured by ZEPWN. The instrument has a measuring range of ±200 N, a resolution of 0.1 N, and a minimum sampling time of 0.1 s [17].
3. Research Results
The limited framework and scope of this study does not permit for a detailed presentation of all the results obtained. The research program included both test measurements [16], determination of engine characteristics under standard conditions, and supplementary and control experiments. The basic characteristics of hydrated flow were also defined (see also [16]); these parameters were related to the properties of humid atmospheric air [17].
Figure 6 shows the engine with temperature sensors mounted in the control cross-sections, along with a description of their location. Complementary to the information contained in the figure below, it should be emphasized that the sheathed thermocouples, T9—measuring the temperature inside the combustion chamber and T8—located directly next to the system thermocouple of the engine control system, were sealed with Teflon tape after installation. The aim of the sealing procedure was to reduce losses resulting from leakage of the working medium through the gaps formed between the thermocouple jacket and the engine surfaces located in their immediate vicinity. T1 and T3–T6 thermocouples were mounted using a heat-resistant ring drilled circumferentially in eight places.
Figure 6.
JetCat 140 engine with markings: control cross-sections X1, X2 and the location of temperature sensors in cross-sections (X2—looking in the direction of flight); T1 ÷ T9—thermocouple designations.
For the presentation of research results for the test setup, two selected temperature records representing characteristic engine reactions were selected. The first, presented in Figure 7, was supplemented with data on the recorded, actual engine speed nr, and the waveforms of rotational speed settings ns, in the context of the change in the position of the engine control lever and as a diagram showing temperature changes during engine operation, recorded by the system thermocouple of the engine control system Ts.
Figure 7.
Plots of rotor speed and temperature variation over time. (a) rotor speed characteristics; (b) temperature measurement results in cross-section X2.
The analysis showed a relatively low inertia of the control system, which causes a quick change in engine speed along with a smooth change in the control lever setting. Along with the change in nr, the values of the measured temperature also change. The highest temperature value was recorded during engine start-up. The temperature jumped sharply, reaching values of up to 1500 °C in the X2 control cross-section. This is most likely due to the non-stochiometric composition of the mixture [33]. The characteristic time of establishing the new thermal state of the engine (because of a change in rotational speed) due to the finite values of the thermal capacity of individual structural elements of the engine is significant.
It is important to note and emphasize that there is an almost uniform distribution of circumferential temperature in the nozzle outlet cross-section after the engine speed is established. Furthermore, it was observed that the thermocouple of the engine control system Ts indicated lower values than the T8 sensor located in the immediate vicinity within the range of 35,000–55,000 rpm. The difference was approximately 50 °C. The 600 degrees difference in the measured temperature value for the temperature charge range is due to a significantly larger value of the time constant of the system thermocouple Ts in comparison to the T8 sensor.
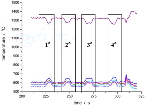
The second of the presented waveforms for the JetCat 140 engine is shown in Figure 8. Compared to the waveform in Figure 7, no rotational speed measurements were carried out. Additionally, the T9 thermocouple (see Figure 6) located in the X1 control section was included in the operation. After reaching the set range of engine operation (approximately 100 s of registration), water was administered four times, split into 10 doses. One dose administered over a period of approximately 5 s corresponds to a mass flow rate of 1.4 [mL∙s−1] of hydration water.
Figure 8.
Temperature measurement results in control cross-sections X1 and X2.
The temperature change for four instances of water supply to the inlet is presented in Figure 9. It is worth noting that the maximum temperature recorded by the T9 thermocouple was exceeded, and therefore these data are not quantitatively reliable. However, they provide qualitative information about the thermal processes taking place in the combustion chamber because of hydration. The recorded waveforms revealed that during the water supply to the engine, the temperature of the working medium inside the flow duct of the combustion chamber was reduced by an average of approximately 50 °C. This is caused due to convective heat exchange, resulting from the difference between the temperature of the supplied water and the temperature of the working medium. Stopping the flow hydration causes the temperature of the working medium to return to the initial value, as it was before hydration. At the same time, the hydration of the flow causes the temperature in the exhaust cross-section of the motor to rise (see Figure 8). It is most likely that this phenomenon is caused by a temporary increase in the administered fuel dose and because of the transmission of a temperature signal from the system thermocouple, identifying a temporary drop in temperature. This decrease is interpreted as a reduction in the operating range caused by external factors, which confirms the role of the engine control system in shaping the response to the hydration event.
Figure 9.
Effect of flow hydration on temperature change in control cross-section; 1°÷4°—consecutive numbers of water introduction to flow in quadruple cycle.
Due to the inability to measure the pressure change inside the flow channel of the JetCat 140 engine, further tests were carried out on the GTM 140 engine. The layout view along with a description of sensor locations in the control sections is shown in Figure 10. In this case, measurements were carried out in four control cross-sections. In each of them, the temperature was measured circumferentially in the X2 and X3 sections, and pointwise in the X1 and X4 sections. Peripheral temperature measurement was possible thanks to the use of high-temperature stub pipes mounted in the engine combustion chamber casing. After installing the thermocouples in the stub pipes, the gaps between them were sealed using Teflon tape. The same struts were used to mount pressure lines of pressure transducers in X2 and X3 cross-sections. The constant position of the pressure lines slid over them is maintained by securing them with steel clamps. The thermocouple measuring temperature changes in the X1 cross-section was mounted with an adhesive to the housing of the electric starter. The temperature sensor in the X4 cross-section was routed inside the Teflon tube mounted to the fuselage and bent in its final section at an angle of 90 degrees, so that the measuring weld was in the exhaust gas stream.
Figure 10.
GTM 140 engine with markings: research cross-sections and location of temperature sensors (X2, X3—looking in the direction of flight). Pressure hose (A) and thermocouple (B); T1 ÷ T10—thermocouple designations, P1 ÷ P4—pressure sensor designations.
Examples of research results are presented in Figure 11. The analysis of the course of pressure changes in both control cross-sections shows that the value of pressure in the X3 cross-section reaches a higher absolute value than in the X2 cross-section. This phenomenon is explained by the accumulation of the flux on the transverse wall of the combustion chamber located just behind the X3 cross-section. Nevertheless, the results indicate a high uniformity of the pressure field in this cross-section. This is evidenced by the high quantitative and qualitative consistency of the results as determined by the data recorded by the P2, P3, and P4 sensors. In addition, the nature of the changes in the pressure values, both in the X3 and X2 cross-sections, allows for the precise determination of the time at which the changes in the engine operating range occurred, which were caused as a result of the change in the position of the engine control lever. On the graph, they are shown as almost abrupt changes in pressure values. Similar conclusions can be drawn based on the recorded temperature values in the X2 cross-section, especially for the fragment of the recording starting from about 400 s. On the other hand, the temperatures recorded in the X3 cross-section do not show such clear tendencies. This is an extremely valuable insight from the perspective of engine operation regulation and the analysis of the time that elapses before a new state of stabilized engine operation can be achieved after changing the range of its operation. On the other hand, the temperature course in the X4 cross-section is characterized by significant fluctuations of the recorded values. Most likely this is due to insufficient stiffness of the sensor placed in the exhaust gas stream, because changing the position of the measuring weld during measurement translates into significant measurement errors.
Figure 11.
Temperature and pressure in selected control sections.
4. Lessons Learned
The MTJE JetCat140 was selected as the propulsion system for an aerial target. The UAV was designed to operate in all weather conditions, including adverse weather such as rain or snowfall. Furthermore, this aircraft is launched from a catapult and is landed using a parachute in remote areas. The tough operational conditions of the engine require pre-flight inspection of the MTJEs. Based on the experience gained and lessons learned from this work, a special ground stand for monitoring the parameters and performance of the MTJE was designed and, after certification (the whole system must receive a Type Certificate issued by the Military Aviation Authorities), it was introduced into service [34]. The stand presented in Figure 12 is mobile and used for the engine check and inspection directly at the starting zone of the UAV system (Figure 13) [34,35,36].
Figure 12.
Mobile ground stand for pre-flight engine inspection; (a) fully operational system with the checked engine; (b) mobile kit ready for transportation.
Figure 13.
Aerial target Jet2 driven by two MTJE JetCat 140s; (a) during take-off from the launcher; (b) airborne in flight.
5. Conclusions and Recommendations
Monitoring the flow parameters in the engine control sections, however cumbersome and labor-intensive, nevertheless provides valuable experimental data for further research, including studies of, for example, thermo-mechanical loads on individual engine structural units. In this way, it is possible to extend the range of experimental research for turbine engines. This is especially important when transients are involved, and this applies to water intake into the intake system. Based on the analysis of the results obtained, conclusions can be drawn regarding the transition processes of establishing the thermodynamic equilibrium of the engine due to the changes in the range of its operation. In addition, it provides information on changes in the control systems and allows for the assessment of the impact of non-standard flight conditions—such as heavy rain—on these systems. Furthermore, the obtained pilot experimental data for both engines are a reliable source of validation data for the results of numerical tests (increasingly represented in constantly growing numbers).
The results obtained indicate that the introduction of water into the inlet causes a decrease in the temperature in the combustion chamber and an increase in the temperature in the exhaust system of approximately 50 °C. In particular, the increase in temperature in the outlet system indicates that the control system has developed response signals to the occurrence of flow hydration, which must be considered in any numerical modeling of the process under study. On the other hand, the analysis of changes in the secondary flow temperature and pressure values in selected sections of the flow channel (performed for the GTM 140 engine) did not reveal any significant changes to the fact of flow hydration. The data presented in this paper will be used to correct engine characteristics that take into account the operation of this device under given atmospheric conditions. They can form the basis for the construction of computational models, both analytical and numerical, for analyzing engine operation. The use of these models will provide a better understanding of the operation of miniature turbine aircraft propulsion systems.
The results paved the way to design and develop a fully operational system for pre-flight inspection of MTJEs.
Author Contributions
Conceptualization, R.C., P.Z., Ł.O. and A.J.P.; methodology, R.C., A.J.P. and Ł.O.; formal analysis, P.Z.; investigation, R.C. and Ł.O.; data curation, R.C. and Ł.O.; writing—original draft preparation, P.Z., R.C. and Ł.O.; writing—review and editing, P.Z., R.C., Ł.O. and A.J.P.; visualization, R.C. and Ł.O.; supervision, P.Z.; funding acquisition, P.Z. All authors have read and agreed to the published version of the manuscript.
Funding
The research was funded by the Polish Ministry of Defense as project entitled “OCP-JET2 Air Target of a Programmable Flight Path”, contract no. DOBR/0065/R/ID1/2012/03, Military University of Technology, Warsaw, 2012–2021.
Institutional Review Board Statement
Not applicable.
Informed Consent Statement
Not applicable.
Data Availability Statement
The original contributions presented in the study are included in the article; further inquiries can be directed to the corresponding author.
Conflicts of Interest
The authors declare no conflicts of interest.
References
- Panas, A.J.; Preiskorn, M.; Sypek, J.; Waślicki, P.; Kot, P. Temperature measurements in selected cross-sections of the TW 2-117 A engine inlet under dyno test conditions. Bull. Mil. Univ. Technol. 2004, 53, 163–181. [Google Scholar]
- Trout, A.M. Theoretical Turbojet Thrust Augmentation by Evaporation of Water During Compression as Determined by Use of Mollier Diagrams; NACA-TN-2104; NASA: Washington, DC, USA, 1950. [Google Scholar]
- Wilcox, E.; Trout, M.A. Analysis of Thrust Augmentation of Turbojet Engines by Water Injection at Compressor Inlet Including Charts for Calculating Compression Processes with Water Injection; NACA-TR-1006; NASA: Washington, DC, USA, 1951. [Google Scholar]
- Roumeliotis, I.; Mathioudakis, K. Evaluation of water injection effect on compressor and engine performance and operability. Appl. Energy 2010, 87, 1207–1216. [Google Scholar] [CrossRef]
- Kim, K.; Ko, H.-J.; Perez-Blanco, H. Analytical modeling of wet compression of gas turbine systems. Appl. Therm. Eng. 2011, 31, 834–840. [Google Scholar] [CrossRef]
- Kim, K.; Perez-Blanco, P. An Assessment of High-Fogging Potential for Enhanced Compressor Performance; GT2006-90482; The American Society of Mechanical Engineers: New York, NY, USA, 2006; pp. 693–701. [Google Scholar]
- Kofarbai, D.G.; Sun, L.; Ibrahim, M.; Zheng, Q. The wet compression technology for complete gas turbine engine. In Proceedings of the International Conference on Computation of Power, Energy, Information and Communication, Melmaruvathur, India, 22–23 March 2017; pp. 1–9. [Google Scholar]
- Lin, A.; Zheng, Q.; Fawzy, H.; Luo, M.; Zhou, Z.; Zhang, H. Effect of water injection cooling on flow field characteristics in the cooling section of precooled turbine-based combined cycle engine. Int. J. Heat Mass Transf. 2019, 141, 615–626. [Google Scholar] [CrossRef]
- Lin, A.; Zheng, Q.; Fawzy, H.; Luo, M.; Zhou, Z. Evaluation of mass injection cooling on flow and heat transfer characteristics for high-temperature inlet air in a MIPCC engine. Int. J. Heat Mass Transf. 2019, 135, 620–630. [Google Scholar] [CrossRef]
- Lin, A.; Zheng, Q.; Fawzy, H.; Luo, M.; Zhou, Z. Sensitivity of air/mist non-equilibrium phase transition cooling to transient characteristics in a compressor of gas turbine. Int. J. Heat Mass Transf. 2019, 137, 882–894. [Google Scholar] [CrossRef]
- Luo, J.; Huang, S.; Yang, S.; Zhang, W.; Mu, Z. Effect of Water Injection on Turbine Inlet under Different Flight Conditions. Energies 2022, 15, 7447. [Google Scholar] [CrossRef]
- Lin, A.; Sun, Y.; Zhang, H.; Lin, H.; Yang, L.; Zheng, Q. Fluctuating characteristics of air-mist mixture flow with con-jugate wall-film motion in a compressor of gas turbine. Appl. Therm. Eng. 2018, 142, 779–792. [Google Scholar] [CrossRef]
- Xu, C.; Cho, H. Effect of Methanol/Water Mixed Fuel Compound Injection on Engine Combustion and Emissions. Energies 2021, 14, 4491. [Google Scholar] [CrossRef]
- Mahto, D. Thermodynamics and thermo-economic analysis of simple combined cycle with inlet fogging. Appl. Therm. Eng. 2013, 51, 413–424. [Google Scholar] [CrossRef]
- Mourouzidis, C.; Ugie, U.; Pilidis, P.; Singh, R. Water Injection on Aircraft Engines: A Performance, Emissions and Economic Study; ISABE-2015-20033; American Institute of Aeronautics and Astronautics: Reston, VA, USA, 2015; pp. 1–12. [Google Scholar]
- Panas, A.J.; Chachurski, R.; Preiskorn, R. Preliminary Laboratory Tests of the GTM-120 Miniature Turbine Engine for Icing Analyses, Mechanics in Aviation; Polish Society of Theoretical and Applied Mechanics: Warsaw, Poland, 2008; Volume 2, pp. 507–520. [Google Scholar]
- Panas, A.J.; Chachurski, R.; Zalewski, P.; Wójcik, P. Studies on Selected Operating Parameters of a Miniature Tur-Bine Aircraft Engine when Sucking Water into the Inlet, Mechanics in Aviation; Polish Society of Theoretical and Applied Mechanics: Warsaw, Poland, 2010. [Google Scholar]
- Hendrick, P.; Buysschaert, F. Research on Small Turbojet Engines at the Royal Military Academy of Belgium, Royal Military Academy of Belgium. Available online: https://www.turbinetechnologies.com/portals/0/pdfs/gas_turbine_tech_sheets/royalmilitaryacademyofbelgium.pdf (accessed on 1 November 2024).
- JETPOL. Available online: www.jetpol.tech (accessed on 11 November 2024).
- JetCat. Available online: www.jetcat.de (accessed on 1 November 2024).
- AMT Netherlands. Available online: www.amtjets.com (accessed on 1 November 2024).
- Turbine Solutions. Available online: www.turbinesolutions.co.uk (accessed on 1 November 2024).
- PBS Aerospace. Available online: www.pbsaerospace.com (accessed on 1 November 2024).
- KingTech Turbines. Available online: https://www.kingtechturbines.com/ (accessed on 1 November 2024).
- Frank Turbine Engine Systems. Available online: www.frankturbine.com (accessed on 1 November 2024).
- ALM Meca Engineering. Available online: www.alm-meca.com (accessed on 1 November 2024).
- JetBeetle. Available online: www.jetbeetle.com (accessed on 1 November 2024).
- Kamps, T. Model Jet Engines; World Modeller’s Series; Traplet Publication: Malvern, UK, 2005. [Google Scholar]
- Balicki, W.; Chachurski, R.; Głowacki, P.; Godzimirski, J.; Kawalec, K.; Pągowski, Z.; Rowiński, A.; Szczeciński, J.; Szczeciński, S. Aircraft turbine engines. In Design—Operation—Diagnostics, Part 1; Scientific Library of the Institute of Aviation: Warsaw, Poland, 2010. [Google Scholar]
- Balicki, W.; Chachurski, R.; Głowacki, P.; Godzimirski, J.; Kawalec, K.; Pągowski, Z.; Rowiński, A.; Szczeciński, J.; Szczeciński, S. Aircraft turbine engines. In Design—Operation—Diagnostics, Part 2; Scientific Library of the Institute of Aviation: Warsaw, Poland, 2012. [Google Scholar]
- JetCat RX Turbine, with V10 ECU; Ingenieur-Büro CAT: Staufen, Germany, 2017.
- Hornet III V2.0; Instructions manual, ProJET electronic components; AeroDesignWorks GmbH: Köln, Germany, 2022.
- Dzierżanowski, P.; Kordziński, W.; Łyżwiński, M.; Otyś, J.; Szczeciński, S.; Wiatrek, R. Turbine Jet Engines; Communications Publishing House: Warsaw, Poland, 1983. [Google Scholar]
- Rykaczewski, D.; Jastrzębski, G.; Szczepaniak, P.; Sibilski, K. Methodology for conducting preliminary and state tests of an aerial jet target set. J. KONBiN 2020, 50, 305–318. [Google Scholar] [CrossRef]
- Chachurski, R.; Omen, Ł.; Panas, A.J.; Zalewski, P. Mobile engine test station for preparation and operation of miniature turbine jet engines for flying aerial targets. Bull. Mil. Univ. Technol. 2020, 69, 57–72. [Google Scholar] [CrossRef]
- Frant, M.; Kiszkowiak, Ł.; Majcher, M.; Zalewski, P. Experimental tests and numerical analysis of aerodynamic properties of the composite-made Jet-propelled Aerial Target. Materials 2024, 17, 3575. [Google Scholar] [CrossRef] [PubMed]
Disclaimer/Publisher’s Note: The statements, opinions and data contained in all publications are solely those of the individual author(s) and contributor(s) and not of MDPI and/or the editor(s). MDPI and/or the editor(s) disclaim responsibility for any injury to people or property resulting from any ideas, methods, instructions or products referred to in the content. |
© 2024 by the authors. Licensee MDPI, Basel, Switzerland. This article is an open access article distributed under the terms and conditions of the Creative Commons Attribution (CC BY) license (https://creativecommons.org/licenses/by/4.0/).












