Next Article in Journal
Research Progress on Nano-Confinement Effects in Unconventional Oil and Gas Energy—With a Major Focus on Shale Reservoirs
Previous Article in Journal
Standardizing the Ignition Delay Time Measurements of Rapid Compression Machine: An Inverse Application of the Livengood–Wu Integral Method
Previous Article in Special Issue
Simulation and Comparison of the Photovoltaic Performance of Conventional and Inverted Organic Solar Cells with SnO2 as Electron Transport Layers
 
 
Font Type:
Arial Georgia Verdana
Font Size:
Aa Aa Aa
Line Spacing:
Column Width:
Background:
Article

Highly Stable Inverted Organic Solar Cell Structure Using Three Efficient Electron Transport Layers

by
Mohamed El Amine Boudia
and
Cunlu Zhao
*
MOE Key Laboratory of Thermo-Fluid Science and Engineering, School of Energy and Power Engineering, Xi’an Jiaotong University, Xi’an 710049, China
*
Author to whom correspondence should be addressed.
Energies 2025, 18(1), 167; https://doi.org/10.3390/en18010167
Submission received: 12 December 2024 / Revised: 30 December 2024 / Accepted: 2 January 2025 / Published: 3 January 2025
(This article belongs to the Special Issue Organic and Hybrid Solar Cells for Efficient Solar Power Conversion)

Abstract

The efficiency of organic solar cells (OSCs) is influenced by various factors, among which environmental temperature plays a significant role. Previous studies have shown that the thermal stability of these cells can be enhanced by incorporating a third component into their structure. Ternary organic solar cells, particularly, have shown promising results in improving thermal stability. A well-designed electron transport layer (ETL) can significantly bolster thermal stability by facilitating efficient charge transport and reducing charge recombination. In this study, we investigated the effect of temperature, ranging from 300 K to 400 K, on the efficiency of inverted ternary structures by using a one-dimension optoelectronic model on “Oghma-Nano 8.0.034” software. The structures examined include (S1) “FTO/SnO2/PM6:D18:L8-BO/PEDOT: PSS/Ag”, (S2): “FTO/C60/PM6:D18:L8-BO/PEDOT: PSS/Ag”, and (S3): “FTO/PC60BM/PM6:D18:L8-BO/PEDOT: PSS/Ag”. Simulations using three different ETLs—SnO2, C60, and PC60BM—at 340 K (66.85 °C) resulted in a main effect on open circuit voltage (Voc) and fill factor (FF) values, in addition to an important Jsc value in terms of thermally stable devices. However, these structures retained 92% of their initial ~20% efficiency observed at 300 K, demonstrating significant thermal stability under high power conversion efficiency (PCE) conditions.

1. Introduction

Currently, the international community faces a multifaceted global energy challenge, closely intertwined with the issue of global warming, primarily induced by greenhouse gasses, especially CO2, in the atmosphere [1,2,3,4,5,6]. Fossil fuels, as the principal sources of approximately 90% of CO2 emissions and over 70% of all greenhouse gas emissions worldwide, are significant drivers of climate change [7,8,9,10,11,12]. These gasses trap solar heat, contributing to a rise in global temperatures [13,14,15,16].
Addressing global warming necessitates sustainable interventions, including reducing air pollution, which can be achieved through adopting renewable energy sources, minimizing waste, and conserving natural resources [13,17,18,19]. In this context, photovoltaic energy emerges as a sustainable and long-lasting solution that could mitigate the impacts of global warming [20,21,22]. OSCs, in particular, represent a promising alternative to traditional silicon-based panels due to their environmental benefits and cost efficiency in production [23]. Their widespread adoption could significantly enhance global solar energy utilization and reduce the ecological impacts of human activities [20]. Particularly, the role of OSCs in reducing global warming effects is increasingly recognized [23,24,25]. Although their potential benefits are substantial, further research and development are critical to improve their efficiency and thermal stability [26,27,28,29,30].
The ETL is essential for determining the thermal stability of inverted ternary OSCs due to multiple factors [31]. An ETL that is well designed and has a consistent surface morphology can efficiently inhibit the penetration of moisture and prevent deterioration in high-humidity circumstances [31]. Effective engineering of the ETL can mitigate surface flaws, which have a negative impact on the performance and stability of the device.
Optimizing the ETL can improve the interfacial contact between the ETL and the organic active layer, leading to enhanced charge extraction and less recombination, hence enhancing thermal stability [32]. Modifying the ETL can drastically reduce the energy barrier at the ETL/organic contact, further increasing charge transmission and thermal stability [32].
Therefore, solution-processed ETLs, such as SnO2 (Tin(IV)), have been studied for constructing high-performance inverted ternary OSCs with better thermal stability [33]. In addition, SnO2 has an advantage in terms of high electron mobility of 2 × 10−9 m2 v−1 s−1 and a high glass transition temperature (Tg) of 473–573 K, which suggests that this material can be an efficient ETL in OSC structures. Among efficient ETLs, we identify PC60BM ([6,6]-Phenyl-C61-butyric acid methyl ester) for aiding the extraction of electrons from the photoactive layer to the ETL and electrode. The high electron mobility of PC60BM, approximately 2 × 10−7 m2 v−1 s−1, facilitates rapid electron movement, lowering the likelihood of recombination [34]. Furthermore, PC60BM has a high Tg of 430 K, which leads to it being considered among stable fullerene derivative structures and commonly used in OSCs. Additionally, it plays a critical function in determining the architecture of the photoactive layer, producing a bicontinuous network with the donor polymer for effective charge transport [34].
Employing C60 (Buckminsterfullerene) as an ETL in inverted ternary OSCs has notable advantages, including its exceptional electron mobility, which enhances efficient charge mobility [35]. Utilizing C60 in OSCs can decrease charge recombination rates, leading to more efficient charge extraction and higher PCE. Additionally, using C60 as an ETL in OSCs improves device stability by reducing voltage hysteresis compared to traditional ETLs [35]. According to some previous studies, C60 has a notably good performance in terms of PCE because it has a high electron mobility of 1.2 × 10−7 m2 v−1 s−1 and a Tg of over 400 K, which explain why it is advantageous in OSC structures. This stability is advantageous for maintaining long-term performance under operational circumstances, particularly in high-temperature environments [35,36]. ETLs based on C60 can enhance the resilience of ternary OSCs against light-induced degradation. This enables OSCs to maintain their performance for longer durations, even when subjected to continuous illumination [35].
Improving the thermal stability of OSCs is vital for advancing their commercial viability and operational reliability. Ongoing research focuses on developing new materials and structures that optimize both PCE and thermal stability. Recent research by Zhang et al. [29] highlights the efficacy of the ternary blend approach in enhancing the thermal stability of OSCs, and it was found that the PCE of the device at 76.85 °C remained, on average, 80% of its PCE at room temperature. Key contributors to the charge-transfer state energy in these cells were identified as PBDB-T and IDT-PDOT-C6, with ITC6-2F playing a crucial role in facilitating charge carrier transfers to IDT-PDOT-C6. This mechanism promotes the generation of additional excitons reaching the donor/acceptor interface, thereby achieving high-efficiency photoelectric conversion [29]. Anass et al. [37] studied the influence of temperature on the performance of solar cells with [(Cbz-Mth)-B-T]2–PCBM as an active blend, and they found that their structure kept 89% of its room-temperature PCE at 76.85 °C. Another study conducted by Muhammad et al. [38] performed a simulation by stepping up the temperature from 300 K to 400 K to study the impact of raised temperatures on the efficiency of solar cells with PBDB-T: ITIC-OE as the photoactive layer, and they obtained a loss ratio of efficiency in a temperature range of 300–350 K of approximately 9%, which indicates a highly stable device. Moreover, the use of charge transport layers is paramount in improving the PCE of OSCs. These layers are essential for the efficient extraction and mobility of charges, while also preventing electron leakage, and are utilized extensively across various materials in inverted OSC architectures [39,40,41,42,43]. Previous studies conducted by Anass et al. [37] and Muhammad et al. [38] found that the best thermal stability achieved by OSCs at 350 K is 9%, but the PCEs achieved in these studies were 7.4% and 6.2%, respectively, which is relatively low. It is challenging to achieve high thermal stability and high PCE at the same time.
This study aims to explore how temperature variations affect the efficiency of inverted bulk heterojunction (BHJ) OSCs. Temperature variation significantly affects the efficiency of inverted bulk heterojunction OSCs through several mechanisms: as increased temperatures can enhance charge carrier mobility in inverted BHJ OSCs, they also lead to increased recombination rates, reduced Voc, and potential material degradation. Understanding and optimizing these factors is essential for improving the thermal stability and efficiency of OSCs, especially for applications in diverse environmental conditions. Through simulations using three different electron transport layers—SnO2, C60, and PC60BM—we seek to derive insights into the performance and thermal stability of these OSCs, specifically focusing on analyses of their high thermal stability (quantified by the PCE loss ratio) at 350 K under a high PCE of ~20%. This could potentially lead to the development of more efficient and stable OSCs in laboratory settings.
For the reader’s knowledge, these are purely original structure models with a device area of 4.84 mm2 that were designed and performed inspired by a previous study conducted by Zhu et al. [44]. Furthermore, we selected the ETLs SnO2, C60, and PC60BM because of the benefits shown in other studies, as we mentioned previously in the Introduction section as well as Table 1, and due to their high electron mobilities of 2 × 10−9 m2 v−1 s−1, 1.2 × 10−7 m2 v−1 s−1, and 2 × 10−7 m2 v−1 s−1, respectively; additionally, as shown in Table 1, these selected ETLs have a high Tg of 473–573 K, 393–403 K, and 430 K, respectively. The simulated device structures are mentioned in Figure 1.

2. The Simulation Model and Performance Indicators

The simulation employs Oghma-Nano software, which utilizes a one-dimensional drift diffusion model under standard conditions (with a temperature variation within the range of 300–400 K) for its electrical modeling. The model includes the solution of bi-polar drift diffusion, charge carrier continuity, Poisson equation, and Maxwell–Boltzmann equation free charge carrier statistics. The mathematical model can be found in the software’s documentation for more detailed information [45].
The position variable in the simulation of OSCs utilizing one-dimensional models, such as Oghma-Nano, is integral to understanding the performance attributes of these solar cells. This variable facilitates the modification of layer thicknesses within the OSC architecture. Alterations in the thickness of the active layer can markedly affect charge generation and transport, thereby influencing key parameters such as Jsc and Voc. Furthermore, the position variable is instrumental in modeling the electric field across the various layers of the solar cell. A uniformly distributed electric field is vital for efficient charge separation and collection, which in turn directly affects the overall efficiency of the device, as determined by the Poisson equation within the simulation framework. By simulating various positions for charge carriers, including electrons and holes, researchers can evaluate the efficacy of carrier movement throughout the device. This analysis examines recombination rates and the thermal effects on electrons and holes, essential for enhancing device performance. Additionally, simulations can account for temperature variations across different positions within the solar cell, enabling an evaluation of how thermal influences affect performance metrics such as FF and PCE under realistic operating conditions. The simulated structure of the device is FTO/ETL/PM6:D18:L8-BO (Poly[(2,5-bis(2-ethylhexyl)-1,3,4-oxadiazole-2,5-diyl)-alt-(3-hexylthiophene-2,5-diyl)]:4,4′-(2,5-bis(2-ethylhexyl)-1,3,4-oxadiazole-2,5-diyl)bis(3-hexylthiophene):2,2′-((2,5-bis(2-ethylhexyl)-1,3,4-oxadiazole-2,5-diyl)bis(3-hexylthiophene))bis(benzo[1,2-b:4,5-b′]dithiophene))/PEDOT: PSS (Poly(3,4-ethylenedioxythiophene) polystyrene sulfonate)/Ag (Silver), and the input parameters and thicknesses are included in Table 1 and Table 2. The input electrical parameters include the average mobilities, the effective densities of free electrons and holes per position x, recombination rates, and other important parameters in the drift diffusion model and the charge carrier continuity equations to determine the J-V characteristics and other measurement outputs. In addition, the energy bandgap is considered 1.29 eV for the active blend PM6:D18:L8-BO (0.8:0.2:1.2). All these values’ details are included in Table 2 and Table 3.
Figure 2a–c represent the energy levels of OSC structures S1, S2, and S3, respectively. All the ETLs in the different structures show cascaded energy levels in terms of the lowest unoccupied molecular orbital (LUMO) between the active layer of −4.2 eV and SnO2, C60, and PC60BM, which are −4.7 eV, −4.1 eV, and −3.95 eV, respectively. The cascaded energy levels create more straightforward pathways in terms of electron and hole transport. PEDOT:PSS forms a close energy level in terms of the highest occupied molecular orbital (HOMO), with an active layer of −5.5 eV. An efficient electron transport further affects the Voc and FF values as analyzed later in Section 3.
The transfer of charges is determined by solving the drift diffusion equations that account for the movement of both electrons and holes. Bi-polar drift diffusion equations at position x for both electrons and holes are represented by Equations (1) and (2),
J n = q μ e n f φ x + q D n n x
J p = q μ h p f φ x + q D p p x
where Jn,p is the electron and hole current density, q is the elementary charge, μe, and μh are the mobilities of electrons and holes, respectively; Dn and Dp are the electron and hole diffusion coefficients, respectively; n is the density of electrons, and p is the density of holes. The conservation of the charge carriers is ensured by resolving the continuity of charge carrier equations as specified in Equations (3) and (4). The charge carrier continuity equations are shown in Equations (3) and (4),
J n x = q ( R n G + n t )
J p x = q ( R p G + p t )
where Rn and Rp are the recombination rates of electrons and holes, respectively; G is the generation rate.
The solution to Poisson’s equation is used to determine the distribution of potential within the device, and it is represented as follows in Equation (5):
0   r x   φ x = q ( n p )
where ɛ0, ɛr, the constants of permittivity in free space and relative permittivity, respectively, are constant; φ is the voltage profile. The model applies Maxwell–Boltzmann statistics to solve free carrier statistics as shown in Equations (6) and (7):
n = N c exp F n E c K B T
p = N v exp E v F p K B T
where Nc, Nv are the constants of the effective density of states in the conduction and valence band of the semiconductor; Fn,p are constants of the energy level of the Fermi level in the valence and conduction band of the semiconductor; Ec is the conduction band, Ev is the valence band, KB is the Boltzmann constant, and T is the temperature.
The boundary conditions between the layer interfaces are represented as the tunneling of electrons and holes through layer interfaces provided by Equations (8) and (9):
J n = q T e n 1 n 1 e q n 0 n 0 e q
J p = q T h p 1 p 1 e q p 0 p 0 e q
where Te and Th are the rate constants of tunneling of electrons and holes, respectively; n0,1 is the number of electrons in the layers before and after the interface; p0,1 is the number of holes before and after the interface; n 0,1 e q is the equilibrium number of electrons in before and after the interface; p 0,1 e q is the equilibrium number of holes in the layers before and after the interface.
More details of the above electrical model of our simulation can be found in Refs. [46,47,48].
OSC performance is commonly measured by several key metrics that directly influence their efficiency and thermal stability. These indicators are detailed below.
PCE is the ratio of the electrical output of the solar cell to the incident light energy.
P C E = P m a x I i n = J s c V o c F F I i n
where Pmax is the maximum power output by the OSC and Iin is the illumination intensity. The Voc value represents the highest voltage when the current through the device is null, and it is represented as follows in Equation (11):
V o c = E g Δ E q
where Δ E is the energy offset.
The generation of charge and the overall performance of OSCs are significantly influenced by the energy offset. This indicates the discrepancy in energy levels between the acceptor material’s lowest unoccupied molecular orbital (LUMO) and the donor material’s highest occupied molecular orbital (HOMO), as represented in Equations (12) and (13):
q V o c = E g Δ E
Δ E = 2 E F , h E H O M O D K B T l n µ e   µ h
where Δ E is the energy offset; EF,h is the energy corresponding fermi-level; E H O M O D is the electron donor energy. FF represents the maximum power output of the OSC, which is defined below in Equation (14):
F F = P m a x V o c J s c = V m V o c [ 1 e q A k T ( V m V o c ) ]
where Pmax is the maximum power delivered by the OSC, Vm is the maximum voltage, and A is the ideality factor of the semiconductor. Equation 15 describes the current–voltage (J-V) characteristics of OSCs.
J V = J 0 e x p e V A K T 1 + J p h
where J0 is the reverse saturation current density, e is the charge of an electron, and Jph is the photo-current density.

3. Results and Discussion

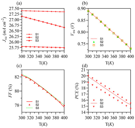
The density of J-V was simulated under AM 1.5 G illumination with an intensity of 100 mW cm−2 and a temperature range between 300 K and 400 K. S1 showed the best PCE of 20.08% at 300 K with a Jsc of 27.4 mA cm−2, a Voc of 0.89 V, and an FF of 82.2%, while the performance relatively decreased between the range of 310 and 400 K to reach a PCE of 15.53%, a Jsc of 27.35 mAcm−2, a Voc of 0.73 V, and an FF of 77.7% at 400 K. As mentioned, the major parameters that cause a reduction in the efficiency of OSCs during the enhancement of temperature are Voc and FF (see Figure 3a and Figure 4b,c).
The increase in temperature causes an augmentation of energy loss (ΔE) as demonstrated by Equation (13), and then Voc decreases as a result of that augmentation. FF showed a negative correlation with temperature, which decreased when the temperature increased from 300 K to 400 K (from 26.85 °C to 126.85 °C). The performance decrease of FF was due to the increase in the exponential of the temperature, as demonstrated in Equation (14). Jsc showed a relative stability under the increase in temperature. The reduction in Jsc can be attributed to the bandgap energy (Eg) effect. As temperature rises, Jsc experiences a marginal increase due to the reduction in Eg. Consequently, a greater number of photons possess adequate energy to generate electron–hole pairs. Nevertheless, the impact of this phenomenon is quite minor. The exponential relationship between temperature and the reverse saturation current of photovoltaic cells is observed in Equation (15). Additionally, this factor can have an impact on Jsc.
The second structure’s results are presented in Figure 3b and Figure 4. S2 showed the best PCE of 19.88% at 300 K with a Jsc of 27.15 mA cm−2, a Voc of 0.89 V, and an FF of 82.3%, while the efficiency relatively decreased in the range between 310 and 400 K to reach a PCE of 15.25%, a Jsc of 26.78 mA cm−2, a Voc of 0.73, and an FF of 78% at 400 K. These results for behave similarly to those for S1 and are slightly decreased in comparison. As depicted by the results for S2, the major parameters that cause a decrease in the performance of this device during the enhancement of temperature are fundamentally the same as before Voc and FF (see Figure 4b,c).
The increase in temperature caused an enhancement of ΔE as demonstrated by Equation (13), and then Voc decreased because of that enhancement. The diminution in Jsc can be attributed to the concept of Eg. As temperature rises, the short-circuit current, Jsc, experiences a slight increase due to the reduction in Eg. This decrease in bandgap energy enables a greater number of photons to possess sufficient energy for the generation of excitons. The reverse saturation current of photovoltaic cells exhibits an exponential growth pattern about temperature. Additionally, this factor can have an impact on the magnitude of Jsc, as demonstrated in Equation (15).
The third structure is presented in Figure 1, and its outcomes are depicted in Figure 3c and Figure 4. At a temperature of 300 K, S3 exhibited the highest PCE of 18.9%. This was accompanied by a Jsc of 25.8 mA cm−2, a Voc of 0.89 V, and an FF of 82.36%. However, when the temperature increased to a range from 310 to 400 K, the performance of S3 declined.
At 400 K, PCE reduced to 14.6%, with a Jsc of 25.76 mA cm−2, a Voc of 0.73 V, and an FF of 78%. According to the findings from the results for S3, it can be observed that the primary factors contributing to the decline in the device’s performance as temperature increases remain consistent with Voc and FF (refer to Figure 3c and Figure 4b,c).
The rise in temperature leads to an increase in ΔE, as indicated by Equations (12) and (13). Consequently, Voc decreases as a result of this increase. The decrease in Jsc can be ascribed to Eg. Jsc undergoes a marginal augmentation as the temperature increases, primarily as a result of the decrease in Eg. The reduction in bandgap energy facilitates an increased likelihood of photons possessing the necessary energy to produce electron–hole pairs. The temperature-dependent behavior of photovoltaic cells’ reverse saturation current is characterized by an exponential increase, as noted before in S1 and S2. Moreover, this particular element can influence the amount of Jsc, as exemplified in Equation (13).
The relationships between recombination, hole, and electron heating are essential to comprehensing the effectiveness and performance of OSCs. When semiconductor materials absorb photons, the energy of the electrons increases, a phenomenon known as electron heating. This process is essential to OSCs because it produces electron–hole pairs when light is absorbed. Elevating electrons from the valence band to the conduction band with the energy of absorbed photons results in an increase in kinetic energy. Similarly, the energy dynamics of holes are involved in whole heating. The hole left by an electron moving to the conduction band may also acquire energy from thermal processes or interactions with other charge carriers. Charge carrier dynamics can be greatly impacted by the solar cell’s overall temperature, which is influenced by both electron and hole heating. Recombination heating occurs when electrons and holes recombine, releasing energy in the form of heat instead of contributing to electrical current.
We investigated the electron, hole, and recombination heating for S1, S2, and S3 OSCs to discover the influence of temperature on carrier dynamics and the impact of carrier dynamics on the performance indicators Jsc, Voc, and FF, which affect the PCE and the thermal stability of the devices. The investigation results of the carrier dynamics are depicted in Figure 5 and Figure 6. Figure 5a,c,e represent the electron heating of S1, S2, and S3, respectively. Furthermore, Figure 5b,d,f represent the hole heating in S1, S2, and S3, respectively. We noticed peak values of charge carrier (electron and hole) heating in the position of 150 nm and saw increased electron heating values within the temperature range of 300–400 K. At 300 K, the devices showed peak values of 2.78 × 1011 J S−1 m−1, 2.75 × 1011 J S−1 m−1, and 2.3 × 1011 J S−1 m−1 for S1, S1, and S3, respectively. Furthermore, at 400 K, the devices showed 1.04 × 1012 J S−1 m−1, 1.05 × 1012 J S−1 m−1, and 9.28 × 1011 J S−1 m−1 for S1, S2, and S3, respectively. At the same position, the devices showed increased hole heating values within the temperature range of 300–400 K; at 300 K, the devices showed peak values of 2.57 × 1011 J S−1 m−1, 2.63 × 1011 J S−1 m−1, and 2.22 × 1011 J S−1 m−1 for S1, S2, and S3, respectively, while at 400 K, the results were 9.84 × 1011 J S−1 m−1, 9.86 × 1011 J S−1 m−1, and 8.74 × 1011 J S−1 m−1 for S1, S2, and S3, respectively.
The charge carrier dynamic was impacted by the increasing temperature in the three devices by increasing the interactions with other charge carriers. On the other hand, the recombination rates usually rise as temperatures rise as a result of electron and hole heating. The Arrhenius equation governs this, as shown in Equation (16), and it demonstrates how higher temperatures can speed up reaction rates, including recombination processes, as depicted in Figure 6.
k = A e E α R T
where k is the rate constant of the reaction, A is the pre-exponential factor (indicating the frequency of collisions), Eα is the activation energy required for the reaction, and R is the universal gas constant (approximately 8.314 J mol K).
The recombination rate of S1, S2, and S3, as shown in Figure 6a, Figure 6b, and Figure 6c, respectively, is influenced by the increasing heating process of electrons and holes. While increasing the temperature, we noticed, as shown in Figure 6, that the recombination rate increased proportionally within the range of temperature of 300–400 K for all devices; at the same time, we noticed an inverse proportion of FF and Voc specifically, as depicted in Figure 4b,c for S1, S2, and S3.
The materials used for the buffer and active layers have an impact on the production and movement of electrons. The heating profile is influenced by the energy levels and mobilities of various materials. The characteristics of the ETL can influence heating by either promoting or impeding electron mobility. By comparing the carrier dynamic results of electron, holes, and recombination heating rates between the devices using SnO2, C60, and PC60BM, we found that PC60BM had slightly less recombination and charge carrier heating values in the increasing temperature range between 300 and 400 K, which explains the high FF and Voc achieved by the device that used PC60BM as an ETL. However, the devices using SnO2 and C60 as ETLs achieved approximately close values in terms of carrier heating dynamics and performance indicator parameters such as Jsc, Voc, and FF. At the same time, they had a higher value of Jsc than the PC60BM device and higher PCE values in the entire range of 300–400 K as a result. Despite the stability of the PC60BM device in terms of FF and Voc, the lower Jsc values achieved by this device can be attributed to its material properties, such as light absorption and less interaction with other charge carriers, which slightly decreases charge mobility, which affects the Jsc value as a result.
We observed that all the structures—S1, S2, and S3—showed good performance in the temperature range between 300 and 340 K (from 26.85 °C to 66.85 °C) (see Table 4), which losses of only 8.7%, 9.6%, 8.8%, respectively, from their initial efficiency. The performance parameters Jsc, Voc, and FF had somewhat the same progression, while S3 achieved a lower PCE of 18.9% in comparison to S1 and S2, which achieved 20.08% and 19.88%, respectively. The inverted structure employing SnO2 and C60 achieved the best PCE of 20.08% and 19.88%, respectively; on the other hand, the inverted structure using PC60BM as an ETL showed a lower PCE. Nevertheless, all devices worked efficiently in terms of performance.
All the studies showed a stable loss ratio of around 11% between 300 K and 350 K according to the results shown in Table 4.
We investigated our results of the loss ratio of PCE as a function of increasing temperature with some other numerical studies, as shown in Table 5. The current study demonstrated the thermal stability of the devices, with a loss ratio of 11% at temperatures from 300 K to 350 K, in contrast to the results of Khan et al. and Kim et al., whose studies reported loss ratios of 15% and 17%, respectively.
Khan et al. performed a one-dimensional numerical simulation of a p-i-n OSC with a structure consisting of ITO/PEDOT: PSS/poly{4,4′-bis(2-ethylhexyl) dithieno [3,2-b:2′,3′-d] silole-alt-5,6-difluoro-4,7-bis (4-hexylthiophen-2-yl)-2,1,3-benzothiadiazle): [6,6]-phenyl-C61 butyric acid methyl ester (PDTSDTFFBT: PCBM/PCBM)/Ca/Al with an emphasis on enhancing the PCE. They measured the effect of the temperature of the device within a range of 300–400 K. Kim et al. investigated OSC performance at a high operating temperature near 300–420 K by using a P-i-n OSC within the structure of ITO/PEDOT: PSS/P3HT: PCBM (1:0.8)/LiF/Al, with an emphasis on studying operating temperature stability, and they measured the effect of the temperature of a device using PEDOT: PSS as the HTL within a range of 300–450 K.
Muhammad et al. performed a one-dimensional numerical simulation of a n-i-p OSC with a structure consisting of FTO/PDINO(Perylene diimide N-oxide)/PBDB-T: ITIC-OE/Spiro OMeTAD/Ni to examine the performance of the OSC. They studied the effect of the temperature of the device within a range of 300–400 K. Anass et al. performed a one-dimensional numerical simulation of a n-i-p OSC with a structure consisting of ITO/PEDOT: PSS/[(Cbz-Mth)-BT]2–PCBM/C61/Al to examine the performance of the OSC, and they studied the influence of variation in the thickness of the active layer, temperature, and the density of the effective states of the electrons and holes in the conduction and valence bands, respectively on the performance of solar cells based on [(Cbz-Mth)-BT]2–PCBM as the photoactive material. The studies conducted by Anass et al. and Muhammad et al. demonstrated an enhancement in thermal stability when compared to previous research. Furthermore, in addition to its thermal stability, our structure achieved a much higher PCE than those constructed by Anass et al. and Muhammad et al. Our structures can maintain high thermal stability at high PCE conditions, representing a notable advancement in OSCs. Our structures can maintain high thermal stability at high PCE conditions of ~20%.

4. Conclusions

Our research demonstrated that the efficiency of inverted ternary OSCs incorporating SnO2, C60, and PC60BM is robust to temperature increases, sustaining less than 10% efficiency loss at 66.76 °C compared to their baseline efficiency at 26.76 °C. This finding underscores the commendable thermal stability of these structures. In addition, we achieved such thermal stability at a high PCE condition, indicating the superb environmental adaptability of investigated structures. However, the configuration using PC60BM as the electron transport layer exhibited a relatively lower PCE, highlighting potential areas for improvement. Future studies should expand on these preliminary findings with comprehensive evaluations focusing on the effects of operational temperature on newly synthesized organic semiconductor materials to discover more stable structures and further increase the thermal stability of the organic solar cells. This includes investigating charge mobilities, optimizing cooling systems, assessing material quality, and testing endurance under varying ambient temperatures. From the beginning of the work, we stated that this work involves a simulation of a one-dimensional optoelectronic model. The simulation is limited to a one-dimensional scale and provides findings based on specific parameters related to material properties, standard ambient conditions, defined structure, and a complete standard selection. In addition, practical models or models based on three dimensions have extra challenges and variables due to differences in dimensions compared to the real model, difficulties in controlling ambient conditions, and defects in morphology, deposition method, and material quality, which probably further affect the results.

Author Contributions

M.E.A.B.: conceptualization, methodology, writing—original draft preparation, formal analysis, investigation, and data curation; C.Z.: formal analysis, investigation, project administration, resources, funding acquisition, and supervision. All authors have read and agreed to the published version of the manuscript.

Funding

This work was supported by the National Natural Science Foundation of China (No. 51976157) and the Fundamental Research Funds for the Central Universities (No. xzy012020075).

Data Availability Statement

Data are available from the corresponding author upon reasonable request.

Conflicts of Interest

The authors declare no conflicts of interest.

Nomenclature

SymbolDescriptionUnit
qElectrical chargeC
nConcentration of free electrons m−3
n0Equilibrium density of electronm−3
Nc,vEffective density of states in the conduction bandm−3
p0Equilibrium density of holesm−3
PConcentration of free holesm−3
Jn,pCurrent density of electrons and holesAm−2
vthThermal emission velocity of the carriersms−1
Ec,vConduction and valence bandeV
EF,h,eEnergy-corresponding Fermi leveleV
Fn,pFermi level in the conduction and valence bandeV
Dn,pDiffusion coefficient of electrons and holesm2 s−1
RnRecombination rate of electronss⁻1
RpRecombination rate of holess⁻1
GCarrier generation rates⁻1
KBBoltzmann constantJK⁻1
kRate constant of the reaction
TTemperatureK
Greek Symbols
0 Permittivity of free spaceFm−1
r Relative permittivityFm−1
φVoltage profileV
µe,hElectron and hole mobilitym2 V−1 s−1
ΔEEnergy offset%
ωAngular frequency of the waverad s−1
λWavelengthnm
Superscripts
DElectron donor
AElectron acceptor

References

  1. Coyle, E.D.; Simmons, R.A. (Eds.) Introduction. In Understanding the Global Energy Crisis; Purdue University Press: West Lafayette, IN, USA, 2014; pp. 1–8. Available online: http://www.jstor.org/stable/j.ctt6wq56p.5 (accessed on 15 November 2023).
  2. Melin, H. Towards a solution to the energy crisis. Nat. Astron. 2020, 4, 837–838. [Google Scholar] [CrossRef]
  3. Mhlanga, D.; Ndhlovu, E. The Implications of the Russia–Ukraine War on Sustainable Development Goals in Africa. Fudan J. Humanit. Soc. Sci. 2023, 16, 435–454. [Google Scholar] [CrossRef]
  4. Borowski, P.F. Mitigating Climate Change and the Development of Green Energy versus a Return to Fossil Fuels due to the Energy Crisis in 2022. Energies 2022, 15, 9289. [Google Scholar] [CrossRef]
  5. Burney, J.A. The downstream air pollution impacts of the transition from coal to natural gas in the United States. Nat. Sustain. 2020, 3, 152–160. [Google Scholar] [CrossRef]
  6. Guan, Y.; Yan, J.; Shan, Y.; Zhou, Y.; Hang, Y.; Li, R.; Liu, Y.; Liu, B.; Nie, Q.; Bruckner, B.; et al. Burden of the global energy price crisis on households. Nat. Energy 2023, 8, 304–316. [Google Scholar] [CrossRef]
  7. Creutzig, F. Fuel crisis: Slash demand in three sectors to protect economies and climate. Nature 2022, 606, 460–462. [Google Scholar] [CrossRef]
  8. Parag, Y.; Fawcett, T.; Hampton, S.; Eyre, N. Energy saving in a hurry: A research agenda and guidelines to study European responses to the 2022–2023 energy crisis. Energy Res. Soc. Sci. 2023, 97, 102999. [Google Scholar] [CrossRef]
  9. The politics of energy security. Nat. Energy 2023, 8, 1047. [CrossRef]
  10. Frilingou, N.; Xexakis, G.; Koasidis, K.; Nikas, A.; Campagnolo, L.; Delpiazzo, E.; Chiodi, A.; Gargiulo, M.; McWilliams, B.; Koutsellis, T.; et al. Navigating through an energy crisis: Challenges and progress towards electricity decarbonisation, reliability, and affordability in Italy. Energy Res. Soc. Sci. 2023, 96, 102934. [Google Scholar] [CrossRef]
  11. Ingram, T.; Wieczorek-Kosmala, M.; Hlaváček, K. Organizational Resilience as a Response to the Energy Crisis: Systematic Literature Review. Energies 2023, 16, 702. [Google Scholar] [CrossRef]
  12. Hunt, J.D.; Stilpen, D.; de Freitas, M.A.V. A review of the causes, impacts and solutions for electricity supply crises in Brazil. Renew. Sustain. Energy Rev. 2018, 88, 208–222. [Google Scholar] [CrossRef]
  13. Wuebbles, D.J.; Fahey, D.W.; Hibbard, K.A. Climate Science Special Report: Fourth National Climate Assessment, Volume I; U.S. Global Change Research Program: Washington, DC, USA, 2017. [CrossRef]
  14. Klingelhöfer, D.; Müller, R.; Braun, M.; Brüggmann, D.; Groneberg, D.A. Climate change: Does international research fulfill global demands and necessities? Environ. Sci. Eur. 2020, 32, 137. [Google Scholar] [CrossRef] [PubMed]
  15. Welsby, D.; Price, J.; Pye, S.; Ekins, P. Unextractable fossil fuels in a 1.5 °C world. Nature 2021, 597, 230–234. [Google Scholar] [CrossRef]
  16. Kroeger, C. Heat is associated with short-term increases in household food insecurity in 150 countries and this is mediated by income. Nat. Hum. Behav. 2023, 7, 1777–1786. [Google Scholar] [CrossRef] [PubMed]
  17. Guivarch, C.; Le Gallic, T.; Bauer, N.; Fragkos, P.; Huppmann, D.; Jaxa-Rozen, M.; Keppo, I.; Kriegler, E.; Krisztin, T.; Marangoni, G.; et al. Using large ensembles of climate change mitigation scenarios for robust insights. Nat. Clim. Chang. 2022, 12, 428–435. [Google Scholar] [CrossRef]
  18. Achakulwisut, P.; Erickson, P.; Guivarch, C.; Schaeffer, R.; Brutschin, E.; Pye, S. Global fossil fuel reduction pathways under different climate mitigation strategies and ambitions. Nat. Commun. 2023, 14, 5425. [Google Scholar] [CrossRef] [PubMed]
  19. Kemfert, C.; Präger, F.; Braunger, I.; Hoffart, F.M.; Brauers, H. The expansion of natural gas infrastructure puts energy transitions at risk. Nat. Energy 2022, 7, 582–587. [Google Scholar] [CrossRef]
  20. Masson, V.; Bonhomme, M.; Salagnac, J.-L.; Briottet, X.; Lemonsu, A. Solar panels reduce both global warming and urban heat island. Front. Environ. Sci. 2014, 2, 14. [Google Scholar] [CrossRef]
  21. Dunne, N.A.; Liu, P.; Elbarghthi, A.F.A.; Yang, Y.; Dvorak, V.; Wen, C. Performance evaluation of a solar photovoltaic-thermal (PV/T) air collector system. Energy Convers. Manag. X 2023, 20, 100466. [Google Scholar] [CrossRef]
  22. Nijsse, F.J.M.M.; Mercure, J.F.; Ameli, N.; Larosa, F.; Kothari, S.; Rickman, J.; Vercoulen, P.; Pollitt, H. The momentum of the solar energy transition. Nat. Commun. 2023, 14, 6542. [Google Scholar] [CrossRef] [PubMed]
  23. Kalyani, N.T.; Dhoble, S.J. Chapter 10—Empowering the Future With Organic Solar Cell Devices. In Nanomaterials for Green Energy; Bhanvase, B.A., Pawade, V.B., Dhoble, S.J., Sonawane, S.H., Ashokkumar, M., Eds.; Micro and Nano Technologies; Elsevier: Amsterdam, The Netherlands, 2018; pp. 325–350. [Google Scholar] [CrossRef]
  24. Chen, L.X. Organic Solar Cells: Recent Progress and Challenges. ACS Energy Lett. 2019, 4, 2537–2539. [Google Scholar] [CrossRef]
  25. Lee, D.; Kim, J.; Park, G.; Bae, H.W.; An, M.; Kim, J.Y. Enhanced Operating Temperature Stability of Organic Solar Cells with Metal Oxide Hole Extraction Layer. Polymers 2020, 12, 992. [Google Scholar] [CrossRef]
  26. Cheng, P.; Zhan, X. Stability of organic solar cells: Challenges and strategies. Chem. Soc. Rev. 2016, 45, 2544–2582. [Google Scholar] [CrossRef]
  27. Duan, L.; Uddin, A. Progress in Stability of Organic Solar Cells. Adv. Sci. 2020, 7, 1903259. [Google Scholar] [CrossRef] [PubMed]
  28. Yang, W.; Wang, W.; Wang, Y.; Sun, R.; Guo, J.; Li, H.; Shi, M.; Guo, J.; Wu, Y.; Wang, T.; et al. Balancing the efficiency, stability, and cost potential for organic solar cells via a new figure of merit. Joule 2021, 5, 1209–1230. [Google Scholar] [CrossRef]
  29. Zhang, C.; Ming, S.; Wu, H.; Wang, X.; Huang, H.; Xue, W.; Xu, X.; Tang, Z.; Ma, W.; Bo, Z. High-efficiency ternary nonfullerene organic solar cells with record long-term thermal stability. J. Mater. Chem. A 2020, 8, 22907–22917. [Google Scholar] [CrossRef]
  30. Xu, X.; Fukuda, K.; Karki, A.; Park, S.; Kimura, H.; Jinno, H.; Watanabe, N.; Yamamoto, S.; Shimomura, S.; Kitazawa, D.; et al. Thermally stable, highly efficient, ultraflexible organic photovoltaics. Proc. Natl. Acad. Sci. USA 2018, 115, 4589–4594. [Google Scholar] [CrossRef] [PubMed]
  31. Wang, X.; Feng, J.; Zhang, Z.; Xing, J.; Li, W.; Cui, Y.; Wu, Z.; Yu, W.; Chen, L. Gelation of Electron Transport Layer to Improve the Thermal Stability of Efficient Perovskite Solar Cells. J. Mater. Chem. C Mater. 2024, 12, 14433–14444. [Google Scholar] [CrossRef]
  32. Mbilo, M.; Haris, M.; Ryu, D.H.; Mwabora, J.M.; Musembi, R.J.; Lee, S.; Song, C.E.; Shin, W.S. Improved Light Soaking and Thermal Stability of Organic Solar Cells by Robust Interfacial Modification. Adv. Energy Sustain. Res. 2024, 5, 2300210. [Google Scholar] [CrossRef]
  33. Di Mario, L.; Garcia Romero, D.; Wang, H.; Tekelenburg, E.K.; Meems, S.; Zaharia, T.; Portale, G.; Loi, M.A. Outstanding Fill Factor in Inverted Organic Solar Cells with SnO2 by Atomic Layer Deposition. Adv. Mater. 2024, 36, 2301404. [Google Scholar] [CrossRef]
  34. Proctor, C.M.; Kuik, M.; Nguyen, T.Q. Charge carrier recombination in organic solar cells. Prog. Polym. Sci. 2013, 38, 1941–1960. [Google Scholar] [CrossRef]
  35. Xu, W.; Yi, C.; Yao, X.; Jiang, L.; Gong, X.; Cao, Y. Efficient Organic Solar Cells with Polymer-Small Molecule: Fullerene Ternary Active Layers. ACS Omega 2017, 2, 1786–1794. [Google Scholar] [CrossRef] [PubMed]
  36. Golubev, T.; Liu, D.; Lunt, R.; Duxbury, P. Understanding the impact of C60 at the interface of perovskite solar cells via drift-diffusion modeling. AIP Adv. 2019, 9, 35026. [Google Scholar] [CrossRef]
  37. El Karkri, A.; El Malki, Z.; Bouachrine, M.; Serein-Spirau, F.; Sotiropoulos, J.-M. Characterization and simulation study of organic solar cells based on donor–acceptor (D–π–A) molecular materials. RSC Adv. 2020, 10, 18816–18823. [Google Scholar] [CrossRef]
  38. Khan, M.R.; Jarząbek, B. Optimization and Efficiency Enhancement of Modified Polymer Solar Cells. preprints 2023. [Google Scholar] [CrossRef]
  39. Anrango-Camacho, C.; Pavón-Ipiales, K.; Frontana-Uribe, B.A.; Palma-Cando, A. Recent Advances in Hole-Transporting Layers for Organic Solar Cells. Nanomaterials 2022, 12, 443. [Google Scholar] [CrossRef]
  40. Tang, H.; Bai, Y.; Zhao, H.; Qin, X.; Hu, Z.; Zhou, C.; Huang, F.; Cao, Y. Interface Engineering for Highly Efficient Organic Solar Cells. Adv. Mater. 2024, 36, 2212236. [Google Scholar] [CrossRef]
  41. Niederhausen, J.; Mazzio, K.A.; MacQueen, R.W. Inorganicorganic interfaces in hybrid solar cells. Electron. Struct. 2021, 3, 33002. [Google Scholar] [CrossRef]
  42. Kong, T.; Wang, R.; Zheng, D.; Yu, J. Modification of the SnO2 Electron Transporting Layer by Using Perylene Diimide Derivative for Efficient Organic Solar Cells. Front. Chem. 2021, 9, 703561. [Google Scholar] [CrossRef]
  43. Eliwi, A.A.; Byranvand, M.M.; Fassl, P.; Khan, M.R.; Hossain, I.M.; Frericks, M.; Ternes, S.; Abzieher, T.; Schwenzer, J.A.; Mayer, T.; et al. Optimization of SnO2 electron transport layer for efficient planar perovskite solar cells with very low hysteresis. Mater. Adv. 2022, 3, 456–466. [Google Scholar] [CrossRef]
  44. Zhu, L.; Zhang, M.; Xu, J.; Li, C.; Yan, J.; Zhou, G.; Zhong, W.; Hao, T.; Song, J.; Xue, X.; et al. Single-junction organic solar cells with over 19% efficiency enabled by a refined double-fibril network morphology. Nat. Mater. 2022, 21, 656–663. [Google Scholar] [CrossRef]
  45. Manual: OghmaNano—Organic and Hybrid Material Nano Simulation Tool. Available online: https://www.oghma-nano.com/docs.html?page=Manual (accessed on 6 December 2023).
  46. MacKenzie, R.C.I.; Shuttle, C.G.; Dibb, G.F.; Treat, N.; von Hauff, E.; Robb, M.J.; Hawker, C.J.; Chabinyc, M.L.; Nelson, J. Interpreting the Density of States Extracted from Organic Solar Cells Using Transient Photocurrent Measurements. J. Phys. Chem. C 2013, 117, 12407–12414. [Google Scholar] [CrossRef]
  47. Deschler, F.; Riedel, D.; Ecker, B.; von Hauff, E.; Da Como, E.; MacKenzie, R.C.I. Increasing organic solar cell efficiency with polymer interlayers. Phys. Chem. Chem. Phys. 2013, 15, 764–769. [Google Scholar] [CrossRef] [PubMed]
  48. MacKenzie, R.C.I.; Shuttle, C.G.; Chabinyc, M.L.; Nelson, J. Extracting Microscopic Device Parameters from Transient Photocurrent Measurements of P3HT:PCBM Solar Cells. Adv. Energy Mater. 2012, 2, 662–669. [Google Scholar] [CrossRef]
  49. Farooq, W.; Khan, A.D.; Khan, A.D.; Noman, M. Enhancing the power conversion efficiency of organic solar cells. Optik 2020, 208, 164093. [Google Scholar] [CrossRef]
Figure 1. Schematic illustration of the structures under light exposure: (a) S1 under light exposure with a device area of 4.84 mm2; (b) S2 under light exposure with a device area of 4.84 mm2; (c) S3 under light exposure with a device area of 4.84 mm2.
Figure 1. Schematic illustration of the structures under light exposure: (a) S1 under light exposure with a device area of 4.84 mm2; (b) S2 under light exposure with a device area of 4.84 mm2; (c) S3 under light exposure with a device area of 4.84 mm2.
Energies 18 00167 g001
Figure 2. The energy levels of the materials used in the structures: (a) energy levels of S1; (b) energy levels of S2; (c) energy levels of S3.
Figure 2. The energy levels of the materials used in the structures: (a) energy levels of S1; (b) energy levels of S2; (c) energy levels of S3.
Energies 18 00167 g002
Figure 3. (a) J-V curves of the S1 device in a temperature range of 300–400 K for a device area of 4.84 mm2; (b) J-V curves of the S2 device; (c) J-V curves of S3 device.
Figure 3. (a) J-V curves of the S1 device in a temperature range of 300–400 K for a device area of 4.84 mm2; (b) J-V curves of the S2 device; (c) J-V curves of S3 device.
Energies 18 00167 g003
Figure 4. Temperature effects on the performance of the S1, S2, and S3 devices: (a) Jsc as a function of temperature; (b) Voc as a function of temperature; (c) FF as a function of temperature; and (d) PCE as a function of temperature.
Figure 4. Temperature effects on the performance of the S1, S2, and S3 devices: (a) Jsc as a function of temperature; (b) Voc as a function of temperature; (c) FF as a function of temperature; and (d) PCE as a function of temperature.
Energies 18 00167 g004
Figure 5. (a) Electron heating of S1 for temperature range of 300–400 K; (b) hole heating of S1device; (c) electron heating of S2; (d) hole heating of S2; (e) electron heating of S3; (f) hole heating of S3.
Figure 5. (a) Electron heating of S1 for temperature range of 300–400 K; (b) hole heating of S1device; (c) electron heating of S2; (d) hole heating of S2; (e) electron heating of S3; (f) hole heating of S3.
Energies 18 00167 g005
Figure 6. (a) Recombination heating of S1 for temperature range of 300–400 K; (b) recombination heating of S2; (c) recombination heating of S3.
Figure 6. (a) Recombination heating of S1 for temperature range of 300–400 K; (b) recombination heating of S2; (c) recombination heating of S3.
Energies 18 00167 g006
Table 1. The Tg and electron motilities of the ETLs.
Table 1. The Tg and electron motilities of the ETLs.
MaterialsTg (K)Electron Mobility (m2 v−1 s−1)
SnO2473–5732 × 10−9
C60393–4031.2 × 10−7
PC60BM4302 × 10−7
Table 2. Simulation parameters of Oghma-nano software.
Table 2. Simulation parameters of Oghma-nano software.
ParametersValuesRef.
Electron mobility (μe)1.49 × 10−7 m−2V−1s−1[44]
Hole mobility (μh)1.42 × 10−7 m−2V−1s−1[44]
Effective density of free electron (Nc at 300 K)1 × 1026 m−3[44]
Effective density of free hole (Nv at 300 K)1 × 1026 m−3[44]
n to P recombination rate constant1.15 × 10−17 m−3s−1[44]
Free electron (n) to trapped electron (strap)1 × 10−15 m−2[44]
Trapped electron (ntrap) to free hole (P)1 × 10−20 m−2[44]
Trapped hole (Ptrap) to free electron (n) 1 × 10−20 m−2[44]
Free hole (P) to trapped hole (Ptrap)1 × 10−15 m−2[44]
Number of traps (Nt)5 Traps[44]
Energy bandgap (Eg) 1.29 eV[44]
Relative permittivity (Ɛr)3.0 a.u[44]
Table 3. The thicknesses of the materials used in the three structures.
Table 3. The thicknesses of the materials used in the three structures.
Layer Thickness (nm)MaterialsType
ITO130OxidesContact
SnO25OxidesETL
C605Small moleculesETL
PC60BM5PolymersETL
PM6:D18:L8-BO (0.8:0.2:1.2)80BlendsActive
PEDOT: PSS20PolymersHTL
Ag100MetalContact
Table 4. The photovoltaic parameters of three devices (S1, S2, and S3) under different temperatures.
Table 4. The photovoltaic parameters of three devices (S1, S2, and S3) under different temperatures.
T (K)T (°C)Jsc (mA cm−2)Voc (V)FF (%)PCE (%)
S130026.8527.40.8982.220.08
31036.8527.40.87581.9719.66
32046.8527.40.8681.6319.23
33056.8527.40.8481.2618.78
34066.8527.380.82880.8218.33
35076.8527.380.81280.417.88
36086.8527.370.79679.9117.4
37096.8527.370.7879.3816.95
380106.8527.360.7678.916.48
390116.8527.360.74778.3516.01
400126.8527.350.7377.715.53
S230026.8527.150.8982.319.88
31036.8527.050.8758219.40
32046.8527.050.8681.618.94
33056.8527.030.8481.218.44
34066.8526.800.8380.817.97
35076.8526.850.8180.417.49
36086.8526.650.879.917.03
37096.8526.670.7879.416.55
380106.8526.800.7678.916.07
390116.8526.570.7578.315.60
400126.8526.780.737815.25
S330026.8525.80.8982.3618.9
31036.8525.80.878218.5
32046.8525.80.8681.718.08
33056.8525.790.8481.3217.67
34066.8525.790.8380.8717.23
35076.8525.780.8180.4316.81
36086.8525.780.7979.9716.37
37096.8525.770.7879.4315.93
380106.8525.770.767915.5
390116.8525.770.7578.415.05
400126.8525.760.737814.6
Table 5. Results of the PCE loss ratio (%) due to temperature increment.
Table 5. Results of the PCE loss ratio (%) due to temperature increment.
PCE at 300 KPCE at 350 KLoss Ratio %
Khan et al. [49]5.75%4.88%15%
Anass et al. [37]8%7.4%9%
Muhammad et al. [38]6.82%6.2%9%
Kim et al. [25] 3.25%2.7%17%
Our study20.08%17.88%10.9%
Disclaimer/Publisher’s Note: The statements, opinions and data contained in all publications are solely those of the individual author(s) and contributor(s) and not of MDPI and/or the editor(s). MDPI and/or the editor(s) disclaim responsibility for any injury to people or property resulting from any ideas, methods, instructions or products referred to in the content.

Share and Cite

MDPI and ACS Style

Boudia, M.E.A.; Zhao, C. Highly Stable Inverted Organic Solar Cell Structure Using Three Efficient Electron Transport Layers. Energies 2025, 18, 167. https://doi.org/10.3390/en18010167

AMA Style

Boudia MEA, Zhao C. Highly Stable Inverted Organic Solar Cell Structure Using Three Efficient Electron Transport Layers. Energies. 2025; 18(1):167. https://doi.org/10.3390/en18010167

Chicago/Turabian Style

Boudia, Mohamed El Amine, and Cunlu Zhao. 2025. "Highly Stable Inverted Organic Solar Cell Structure Using Three Efficient Electron Transport Layers" Energies 18, no. 1: 167. https://doi.org/10.3390/en18010167

APA Style

Boudia, M. E. A., & Zhao, C. (2025). Highly Stable Inverted Organic Solar Cell Structure Using Three Efficient Electron Transport Layers. Energies, 18(1), 167. https://doi.org/10.3390/en18010167

Note that from the first issue of 2016, this journal uses article numbers instead of page numbers. See further details here.

Article Metrics

Back to TopTop