Next Article in Journal
Advanced Genetic Algorithms for Optimal Battery Siting: A Practical Methodology for Distribution System Operators
Next Article in Special Issue
Online Measurement Method for Condensable Particulate Matter Based on an Innovative Dilution Cooling Chamber
Previous Article in Journal
Numerical Investigation on the Applicability of Variable Compression Ratio in a Marine Two-Stroke Dual-Fuel Engine for Fuel Economy Improvement
Previous Article in Special Issue
Shape Optimization of a Diffusive High-Pressure Turbine Vane Using Machine Learning Tools
 
 
Font Type:
Arial Georgia Verdana
Font Size:
Aa Aa Aa
Line Spacing:
Column Width:
Background:
Article

Impact of Outlet Pressure on Internal Flow Characteristics and Energy Loss in Pump-Turbine System Under Pump Operation Conditions

1
College of New Energy Engineering, Jiuquan Vocational Technical College, Jiuquan 735000, China
2
School of Energy and Power Engineering, Lanzhou University of Technology, Lanzhou 730050, China
*
Authors to whom correspondence should be addressed.
Energies 2025, 18(1), 110; https://doi.org/10.3390/en18010110
Submission received: 22 November 2024 / Revised: 23 December 2024 / Accepted: 24 December 2024 / Published: 30 December 2024

Abstract

During pump operation, the pump-turbine system experiences unstable fluctuations in outlet pressure, which induces turbulence and additional energy losses. Understanding the impact of outlet pressure variations on the internal flow field is crucial for the further development of turbine units. This study employs numerical methods to systematically analyze the effects of outlet pressure changes on flow characteristics and energy loss. The results show that a decrease in outlet pressure to P0.9BEP significantly increases entropy production in the double-row stay guide vane region, primarily due to flow separation and vortex formation. In the flow passage, sealing gap, and tailpipe regions, entropy production is mainly driven by wall effects, while secondary flows influence the spiral case. The vortex distribution in the double-row stay guide vane is complex, with different variation trends observed in the active and fixed guide vane regions. Outlet pressure changes affect the interaction between the flow passage blades and the fluid, leading to localized flow separation and directly impacting energy loss in downstream components. Additionally, the rate of change in outlet pressure significantly influences vortex generation and dissipation. This research provides new theoretical insights and research directions for performance optimization and energy loss control in pump-turbine systems.

1. Introduction

The pump-turbine system, which integrates the functionality of both a pump and a turbine, is widely used in applications such as hydropower generation and water treatment, where it plays a critical role in energy conversion and regulation [1]. The system’s performance is greatly influenced by the complex interactions between flow characteristics and hysteresis effects during transient operation. Specifically, local recirculation near the inlet and unstable cavitation phenomena in the channels and tailpipes directly impact the efficiency, safety, and operational stability of the unit [2]. In side-flow pumps, cavitation is more pronounced, and the internal exchange flow between the impeller and side flow often induces multiple vortex structures, which adversely affect the flow field and contribute to energy loss [3,4]. While the hysteresis effect has the potential to improve internal flow conditions within the pump-turbine, excessive enhancement may cause flow instability, exacerbating system fluctuations and compromising long-term stability [5]. Therefore, understanding the interaction between hysteresis effects and flow characteristics is crucial for optimizing pump-turbine system designs, ensuring safe and efficient operation, and providing valuable theoretical insights for performance improvement.
In recent years, the dynamic characteristics of the flow field have attracted widespread attention, with researchers combining flow patterns and flow field energy characteristics to further uncover the underlying principles of flow behavior; the number of guide vanes is 20 w [6]. Entropy generation theory, as an important tool in thermodynamics, has gradually been applied to the analysis of hydraulic machinery, advancing the refinement of entropy generation models in numerical simulations. Studies on entropy generation based on three-dimensional simulations have shown that entropy generation methods can quantitatively analyze the amount of energy dissipation and its distribution within the region [7]. Furthermore, the introduction of the entropy generation wall equation has improved the accuracy of entropy generation theory in analyzing energy characteristics of flow fields [8]. At the same time, the newly developed phase change entropy generation diagnostic model (EPDM) has significantly enhanced the accuracy of numerical simulations in phase change processes [9]. These developments provide theoretical support for optimizing the energy efficiency and flow stability of pump-turbine systems.
Based on existing entropy generation theory models, researchers have combined the flow field characteristics of hydraulic machinery with energy loss and conducted in-depth studies. Huang et al. [10] used numerical simulations of pumps and applied entropy generation theory to analyze energy loss characteristics caused by direct dissipation, turbulence dissipation, and wall friction dissipation rates. The study showed that the contributions of turbulence and wall friction entropy dissipation to energy loss were significantly higher than those of direct dissipation. By integrating entropy generation theory with energy characteristic analysis, it is possible to effectively balance hydraulic performance conflicts in multistage pumping systems, thereby minimizing energy loss in the system. Wang et al. [11] used entropy generation analysis to evaluate the total energy loss at various positions of the turbine under different operating conditions, finding that the turbine rotor achieved lower total entropy generation under high outlet pressure or low inlet pressure conditions. Further investigation of the changes in entropy generation within the internal components of the unit revealed specific energy loss patterns in certain regions [12,13,14]. By combining energy characteristics and flow patterns in pump-turbine operation with entropy generation theory, theoretical support for optimizing hydraulic machinery structures has been provided [15,16]. For example, improving the match between guide vane profiles and flow direction can effectively reduce entropy generation under low-flow conditions [17,18]. Additionally, adjusting the diffuser installation position can optimize the working characteristics of the spiral casing and tongue by eliminating internal gaps and small vortices, thereby reducing shear strain rate, velocity gradient, and energy loss [19].
In pumped storage systems, outlet pressure in the pump-turbine is adjusted according to different operating conditions [20,21], which, in turn, alters the internal flow characteristics and structure of the system. This dynamic variation in outlet pressure induces corresponding changes in flow patterns and energy loss within the system. Understanding these effects is crucial for optimizing pump-turbine performance and minimizing energy losses under varying operational conditions. Therefore, this study focuses on the impact of dynamic outlet pressure fluctuations on internal flow characteristics and energy dissipation, offering new theoretical insights into the optimization of pump-turbine systems. The findings aim to provide practical guidance for controlling energy loss and enhancing the overall stability and efficiency of pump-turbine operation under pump mode conditions.

2. Research Models

2.1. Model Composition

This paper takes the real machine of a pump-turbine as a prototype. The overall model assembled from the components is shown in Figure 1. The main design parameters of the model are as follows: The inlet diameter of the D1 runner is 3820 mm. The outlet diameter of the D2 runner is 2920 mm; the number of guide vanes is 20. The number of runner blades is 9. The degree of opening of the guide vanes is 20.5. All overflow areas within the entire pump-turbine unit are taken as the 4.05 m2 computational domains. The numerical simulations were carried out using ANSYS-Fluent 2023 to analyze the flow characteristics and energy losses under various operating conditions.

2.2. Selection of Calculation Conditions

A constant speed of 500 r/min is maintained while varying the outlet pressure to study the flow characteristics of the pump-turbine in a pumped storage air energy system. By adjusting the outlet pressure (virtual head), we analyze the changes in the flow characteristics of the pump-turbine under different pressure conditions. The outlet pressure corresponding to the optimal operating conditions is defined as PBET, representing the Best Efficiency Point (BEP) pressure. Considering potential fluctuations in the system’s outlet pressure and the external characteristics of the unit, four outlet pressure levels were selected for analysis: P1.1BET, PBET, and P0.9BET. Combined with different runner speeds, we analyzed eight different outlet pressure change scenarios.
The process of outlet pressure variation is shown in Figure 2. In the figure, t0 represents the start time of the pressure change, while t20 and t30 correspond to the conditions when the runner speed reaches 20 and 30 cycles, respectively, after the pressure change. From Figure 2, it can be observed that when the runner begins rotating, the outlet pressure experiences a sharp drop, leading to a significant decrease in the calculated pressure for all conditions. After 20 cycles of runner rotation, the calculated pressure stabilizes for all conditions except P2 and P4. After 30 cycles of rotation, the calculated pressure for all conditions, including P2 and P4, also reaches a stable state.

2.3. Grid Independence Verification

To ensure the accuracy and stability of CFD simulations, a comprehensive grid independence study was conducted to evaluate the impact of grid size and node count on computational results. Given the significant computational demand of high-density grids, it is essential to strike a balance between computational accuracy and resource efficiency. To this end, a series of grid configurations with varying mesh densities were generated and systematically compared under optimal operating conditions of the pump-turbine system.
In this study, we employed an unstructured mesh composed of polyhedral elements for the computational domain. The boundary layer mesh was refined with additional layers near solid surfaces to accurately capture the near-wall flow characteristics. The mesh quality was ensured by controlling the skewness, which was kept below 0.95, and the boundary layer mesh consisted of 10 layers to resolve the velocity gradient near the walls effectively. The mesh parameters, including element size and skewness, were defined prior to the analysis to ensure consistency and reliability in the results.
In Figure 3, we analyzed the variations in hydraulic head and efficiency as a function of the number of mesh elements. From the figure, it can be observed that when the number of mesh elements exceeds 6.1 million, the variations in hydraulic head and efficiency become negligible, indicating that the solution has sufficiently converged. The figure compares the numerically computed head (denoted as H Sim ) and efficiency (denoted as η Sim ) with the corresponding experimentally measured values ( H EXP and η EXP ).
Based on the grid independence study and considering both accuracy and computational efficiency, a model with 6.9 million mesh elements was selected as the final computational grid for this study. This model provided stable results with negligible errors in both hydraulic head and efficiency while maintaining reasonable computational cost.
This study employs the SST k-ε turbulence model, which combines the advantages of the standard k-ε and k-ω models. The k-ω model is utilized in the near-wall region to better simulate shear flow characteristics close to walls, while the standard k-ε model is applied in free-flow regions away from walls to enhance the accuracy of overall flow characteristic predictions. This hybrid approach ensures accurate modeling of flow separation, vortex structures, and wall interactions.
To further improve simulation precision, the mesh was refined in regions with complex geometries, such as the guide vanes, impeller, and runner chamber walls. A structured grid was applied to regular regions, while an unstructured grid was employed for areas with intricate curvature. This approach effectively captures detailed flow characteristics while balancing computational cost and numerical precision.

2.4. Vortex Analysis and Entropy Production Theory

Vortices can serve as a unique operational form during fluid motion. In liquid flow, randomness and disorder are both characteristics of turbulence. Vortices are important components of turbulence, and in the research process, we can analyze the basic flow field distribution composed of random small vortices or compare them by judging the large-scale orderliness of the vortex structure [22]. Therefore, vortex motion can, to some extent, represent fluid domain flow, analyze complex and rich flow patterns, and understand flow characteristics. In viscous fluid mechanics, vortices include vorticity fields and eddies. In terms of morphology, vorticity fields represent the overall spatial distribution of vorticity, and the concentrated vorticity area is the vortex. Vorticity is known as the vorticity of the velocity field, expressed as Equation (1).
ω = × V
V—the velocity vector; ω —vorticity; —the Hamiltonian operator. A new Omega vortex recognition method has been proposed, which decomposes the vorticity ω into rotating and non-rotating parts and introduces a new parameter Ω to represent the ratio of the rotating part vorticity to the overall vorticity, as follows:
ω = R + S
Ω = B F 2 A F 2 + B F 2
When R = 0, it represents pure deformation, and when R = 1, it represents pure rotation. Add a sufficiently small positive number to the denominator of the above equation to avoid the denominator being zero, resulting in the following equation.
Ω = B F 2 A F 2 + B F 2 + ε
ω —vorticity, s−1; R—rotational vorticity, s−1; S—non-rotating vorticity, s−1.
The value range of t is [0, 1]. If it is greater than 0.52, it indicates that the rotating part is greater than the non-rotating part, and it can be determined that there is a vortex present.
Using vorticity analysis can clearly represent the vortex flow generated inside the turbine. Meanwhile, the Omega vortex recognition method can effectively identify vortices within the watershed. This article combines the vorticity analysis method and the Omega vortex identification method to study the flow state of each part of the pump-turbine under the working condition of the outlet variable pressure pump.
Entropy production occurs constantly in fluid systems. When water flows through the flow channel in a pump-turbine system, the kinetic energy and pressure energy of the fluid are converted into internal energy through interaction based on flow continuity and boundary layer effects, resulting in a significant increase in entropy production in the system. Entropy production theory has become an important method for studying the fluid energy characteristics of pump-turbines. It is common to study the changes in energy loss within the system by analyzing the changes in entropy production rates in various parts of the watershed. The entropy production rate can be defined as Equation (5).
S ˙ D = Q ˙ T
Q ˙ —the energy dissipation rate; T —the system temperature.
The local entropy production rate in turbulence is mainly calculated through time-averaged motion and fluctuating velocity, expressed as Equations (6) and (7).
S ˙ D = μ e f f T { 2 [ μ 1 x 1 2 + μ 2 x 2 2 + μ 3 x 3 2 ] + μ 2 x 1 + μ 1 x 2 2 + μ 3 x 1 + μ 1 x 3 2 + μ 2 x 3 + μ 3 x 2 2 }
S ˙ D ¯ = 2 μ T u 1 ¯ x 1 2 + u 2 ¯ x 2 2 + u 3 ¯ x 3 2 + μ T u 2 ¯ x 1 + u 1 ¯ x 2 2 + u 3 ¯ x 1 + u 1 ¯ x 3 2 + u 2 ¯ x 3 + u 3 ¯ x 2 2
The effective dynamic viscosity of the fluid (Pa·s) can be calculated by Equation (8).
μ e f f = u + u t
u t —the turbulent dynamic viscosity (Pa·s).
Combining Kock’s research, it was found that it can be approximated. Therefore, the correlation between ω in the turbulence model and the entropy production rate of pulsating velocity can be expressed as Equation (9).
S ˙ D = β ρ ω ˙ k T
β = 0.09; ω ˙ is the turbulent vortex viscosity frequency, (s−1); and k is the turbulent kinetic energy (m2/s2).
The local total entropy production rate can be expressed as Equation (10).
S ˙ D = S ˙ D ¯ + S ˙ D
S ˙ D ¯ —entropy production rate generated by the average velocity (kW/(m3K)); S ˙ D —entropy production rate generated by pulsating velocity (kW/(m3K)).
In the watershed, due to the presence of the boundary layer, the entropy production near the wall is significantly higher than that at the center of the area. Considering the wall effect, the formula for calculating wall entropy production can be expressed as Equation (11).
S p r o , W = A τ υ d A T
τ —wall shear stress (Pa); A—calculated domain surface area (m2); and v —the velocity vector (m/s) at the center of the first layer grid in the wall area.
The entropy production in the mainstream area is mainly determined by the time-averaged velocity and pulsating velocity, expressed as Equations (12) and (13).
S p r o , D ¯ = V S ˙ D ¯ d V
S p r o , D = V S ˙ D d V
The total entropy production in the mainstream area can be expressed as Equation (14).
S p r o = S p r o , W + S p r o , D ¯ + S p r o , D

3. Vorticity Analysis

3.1. Vorticity in the Spiral Case

At the initial state (t0), the fluid flows out of the impeller area and enters the stay-guide vane region, passing through the guide vanes and then into the fluid domain of the spiral casing. A prominent vortex concentration zone is observed at the junction between the double-row blades and the spiral casing. Between each pair of relatively high-vorticity zones, a lower-vorticity zone appears, corresponding to the position of the guide vane tails. This results in a discontinuous high-vorticity annular region, influenced by the inflow from the guide vane channel and the end of the guide vanes caused by the double-row blades. At this moment, the outlet pressure is high, and a significant high-vorticity area is present near the boundary of the spiral casing close to the tongue. The fluid gradually experiences a decrease in vorticity along the spiral casing channel, with a relatively high-vorticity vortex band forming at a quarter of the spiral casing length. This vortex band weakens progressively along the casing and disappears at half the casing length. Due to the high outlet pressure, the fluid in the center of the flow path, from the spiral casing to the outlet, becomes unstable, forming a high-vorticity zone.
Figure 4 illustrates the vorticity distribution in the spiral casing section, with WP1 (t10) representing vorticity at t10 under the P1 working condition. t represents 10 cycles of rotation of the wheel, WP denotes the subfigure of Figure 4, and WL stands for vorticity in s−1. WP1 (t10) and WP2 (t15), along with WP3 (t10) and WP4 (t15), correspond to two distinct outlet pressures. Under conditions with faster outlet pressure changes, such as WP1 (t10) and WP3 (t10), larger vorticity zones form near the vortex tongue, while the annular high-vorticity generation zone around the double-row blades expands. In contrast, when comparing outlet pressures (i.e., WP8 (t10) < WP1 (t10) < WP7 (t10)), WP8 (t10) exhibits the smallest high-vorticity area, with vorticity in WP7 (t10) concentrating around the tongue. This comparison reveals that udert slow pressure variation, the distribution and extent of the vorticity remain consistent, indicating limited influence from the pressure rate of change.
When contrasting the cases WP3 (t10), WP5 (t20), and WP6 (t10)—where outlet pressure is consistent, but pressure change rates differ (with WP6 (t20) showing the slowest rate and WP5 (t20) the fastest)—inlet pressure inversely correlates with the rate of outlet pressure change. The vorticity contours reflect how outlet pressure fluctuations impact the flow velocity and separation downstream of the guide vane. As a result, vorticity in the center of the flow channel under WP1, WP2, WP4, WP6, and WP7 conditions increases initially before decreasing, stemming from the spiral casing tongue. Conversely, for WP3, WP4, and WP6, the high-vorticity zone initially decreases before expanding, highlighting pressure change effects on flow separation within the casing.
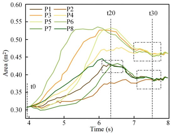
Figure 5 further delineates the vortex area variation across sections, as detected by the Omega method, indicating that outlet pressure fluctuations significantly affect internal flow states within the volute. A distinct lag in the volute’s response to outlet pressure variation is observed; initially, the vortex area within the volute section exhibits a similar trend of increase. Approximately 0.92 s after pressure variation begins, the vortex area in condition P6 declines first, followed by sequential decreases in P3, P8, P4, P5, P1, P2, and P7. This sequential pattern implies that volute response times vary across conditions, influenced by pressure change speeds. The overall vortex area subsequently experiences a gradual increase across conditions. Specifically, the pressure changes from P1.1BEP to P0.9BEP result in a vortex area expansion-contraction-expansion pattern within the volute. Due to pressure lag and inertia, the minimum vortex area remains below the stable operating threshold (PBEP), stabilizing at 5.05 m2 for PBEP conditions (P1, P2, P7, P8) and 4.05 m2 for P0.9BEP conditions (P3, P4, P5, P6). The volute’s flow state undergoes self-adjustment after pressure variation ceases, restoring flow stability.
In the P3, P4, and P7 conditions, the vortex area is the lowest at 6 s and gradually increases after 7.5 s. This phenomenon can be attributed to the dynamic lag effect and flow reorganization process triggered by pressure variation. Initially, the change in outlet pressure leads to a redistribution of the flow field, weakening the local vortex, which results in a decrease in the vortex area. However, as the lag effect of pressure change and flow inertia take effect, flow separation and shear effects gradually increase, leading to the accumulation of local vortices and the expansion of the vortex area. Eventually, the development of asymmetric flows and secondary vortices causes the vortex area to reach its peak after 7.5 s.
Figure 6 illustrates the total entropy production change within the volute, further capturing the effects of outlet pressure reduction from P1.1BEP to PBEP. During this process, total entropy production across P1, P2, P7, and P8 initially increases before stabilizing near 1060 W/K. For conditions where outlet pressure drops from P1.1BEP to P0.9BEP, entropy production follows an increase–decrease–increase pattern, stabilizing around 1750 W/K. This sequence reflects the volute’s lagged adjustment to outlet pressure changes. For example, cases P3, P4, P5, and P6 stabilize 0.68 s after reaching P0.9BEP, while PBEP cases stabilize within 0.53 s. As the pressure change rate accelerates, flow stability improves, reducing fluctuations in entropy production. Consequently, cases such as P6 and P7 at P1.1BEP demonstrate relatively low flow speeds within the volute, with diminished secondary flows. As outlet pressure and flow rates increase, secondary flows and vortices generated by the double-row guide vanes heighten entropy production within the volute until reaching PBEP, at which point entropy production declines.
The progression of entropy production from P1.1BEP to P0.9BEP reflects how outlet pressure magnitude and variation rate affect entropy production distribution within the volute, driven primarily by secondary flows from the double-row guide vanes and wall shear flows. The pressure change magnitude dictates the entropy production range, while variation speed influences the spatial-temporal distribution, highlighting how dynamic pressure shifts affect internal volute conditions.
The phenomenon of entropy production being lowest at 6 s and highest after 7.5 s in conditions P3, P4, and P7 can be attributed to the dynamics of pressure change and flow stabilization. Initially, the rapid decrease in outlet pressure causes significant flow disturbances and vortex generation, leading to a sharp increase in entropy production. As the pressure change rate slows, the flow begins to stabilize, resulting in a decrease in entropy production around 6 s. However, as the pressure continues to decrease and secondary flows and vortices intensify, entropy production rises again after 7.5 s. This trend reflects the complex interplay between pressure variation, vortex formation, and flow adjustments within the volute, with entropy production peaking as the flow reaches a more stabilized yet energetically dissipative state.

3.2. Vorticity in the Stay-Guide Vane Area

Figure 7 illustrates the vorticity distribution in the midsection of the stay-guide vane as the outlet pressure changes. For WP1 (t10) and WP2 (t15), as well as WP3 (t10) and WP4 (t15)—which have identical outlet pressures—the outlet pressure change rate is higher than that in WP1 (t10) and WP3 (t10). Consequently, a larger high-vorticity region appears at the inner end of the guide vane, while a distinct “dovetail” feature forms at the outer end, with a comparatively smaller high-vorticity area. A similar pattern emerges in WP1 (t20) and WP3 (t10), and in WP2 (t30) and WP4 (t15), under matched outlet pressures. When comparing WP1 (t10), WP7 (t10), and WP8 (t10)—where WP8 has the highest outlet pressure and WP7 the lowest—the high-vorticity area at the end of WP7’s guide vane is the smallest, whereas WP8 shows a larger high-vorticity region near the vane. At WP8 (t20), the high-vorticity area at the guide vane’s outer end is larger than in WP1 (t20) and WP7 (t20), with the high-vorticity zone at the inner end being more pronounced in WP7 (t20), opposing the outlet pressure change rate.
When comparing WP3 (t20), WP5 (t20), and WP6 (t10), which share the same outlet pressure, the slower outlet pressure change rate in WP6 (t20) results in a smaller high-vorticity region near the guide vane, whereas WP5 (t20), with a faster rate, displays the largest high-vorticity area. These findings highlight that pressure change rates influence the vorticity and size of high-vorticity regions. Additionally, the “swallow tail” vorticity structure at the guide vane’s outer end remains stable despite significant variations in the vorticity distribution. As outlet pressure decreases, the vorticity and size of high-vorticity areas on the inner side and end of the guide vane reduce while those on the outer side expand, creating an ultra-high vorticity zone at the vane’s inner front end. Rapid pressure changes delay this effect, producing a hysteresis in the vorticity area response.
The high-vorticity area around the stay-guide vane exhibits significant changes during the outlet pressure variation. Specifically, although the relatively high-pressure “swallow tail” region at the end of the guide vane remains largely unchanged, the vorticity distribution undergoes significant shifts as the outlet pressure decreases. As a result, the high-vorticity region at the inner side and end of the guide vane shrinks, while the vorticity region at the outer side and end expands, eventually forming an ultra-high-vorticity zone at the front end of the inner side. This shift in vorticity distribution is driven by rapid changes in outlet pressure. The quick pressure drop induces a delay in the response of the flow field, particularly in the vorticity distribution. This delay in flow adjustment contributes to the noticeable hysteresis effect observed in the high-vorticity regions.
Numerical simulations reveal that the transient nature of these pressure fluctuations exacerbates the lag in the flow response, confirming the influence of rapid pressure changes on the formation of the hysteresis effect in the vorticity distribution. This phenomenon is further supported by the observation of delayed stabilization of vorticity in the affected regions, which becomes more apparent under faster pressure change conditions.
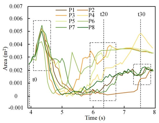
Figure 8 reveals how the cross-sectional vortex area changes in response to outlet pressure fluctuations using the Omega vortex identification method. The analysis suggests that outlet pressure changes distinctly affect the flow within the double-row guide vanes, leading to differential responses across movable and fixed vanes. This results in complex vortex area changes within the double-row guide vane section. A lag effect is observed in this region as well; initially, vortex areas increase similarly across conditions, but 0.33 s after pressure change initiation, the vortex area for condition P6 first declines sharply, followed by sequential decreases in P3, P8, P4, P1, P2, P5, and P7, and finally, a gradual increase. Except for P8, the vortex area cycle under outlet pressure variations from P1.1BEP to P0.9BEP follows an “increase-decrease-increase-decrease-increase” trend. Due to inertia, the minimum vortex area falls below its stable value when outlet pressure stabilizes at PBEP. Once pressure variation stabilizes, vortex areas in PBEP sections (P1, P2, P7, and P8) and P0.9BEP sections (P3, P4, P5, and P6) converge near 0.26 m2, with slight variations in intensity distribution.
Figure 9 depicts the variation in total entropy production within the double-row guide vane area during the outlet pressure transition, indicating this as the primary site of entropy generation. The results from cases P1 through P8 show that when the outlet pressure decreases from P1.1BEP to PBEP, entropy production stabilizes around 5850 W/K, while a decrease to P0.9BEP yields stabilization around 12,840 W/K, following a “decrease-increase” sequence. This transition from PBEP to P0.9BEP markedly elevates entropy production within the double-row guide vanes. A lag effect is also evident in entropy production; stability is reached 0.27 s after PBEP pressure stabilization for P1, P2, P7, and P8. Faster outlet pressure changes result in smaller entropy fluctuations from unstable flow, leading to smoother and quicker entropy stabilization curves.
In summary, entropy production in the double-row guide vane region is primarily influenced by flow separation around the fixed and movable guide vanes. At the start of the pressure change, outlet pressure decreases from P1.1BEP, reducing flow separation and separation wake vortices within the fixed guide vane channels, thereby decreasing entropy production in this area. As outlet pressure further declines, the flow rate increases, and since the opening of the movable guide vanes remains unchanged, separation flows at the vane ends increase, forming separation vortices and raising entropy production. Variations in entropy production within the double-row guide vane region are driven by wall shear flow, flow separation, and separation vortices near the guide vane channels. The amplitude of pressure change mainly affects the range of entropy production variation, while the speed of pressure change alters the distribution and intensity of entropy production by affecting the degree of blockage in the guide vane passages. Additionally, due to rapid pressure changes, fluid response lags, resulting in delayed vortex variation within this area. The increase in fixed guide vane losses likely stems from flow separation and associated separation vortices near the guide vane channels, while increased energy loss within the movable guide vane channels may result from higher flow rates and momentum exchange in low-velocity zones.

3.3. Analysis of Vortex in the Runner Area

The fluid in the runner area enters from the tailpipe, flows through the runner passage, and enters the stay-guide vane area under the push of the runner blades. At the initial state (t0), the regions with high vorticity in the runner section are primarily located at the front end of the blade, the channel between the blades, and the end of the runner blade. The maximum vorticity at the front of the blade gradually decreases from the suction side of the blade to the pressure side of the adjacent blade but remains high overall, with vorticity decreasing rapidly along the passage. At this point, the area of high vorticity in the runner blade passage is located near the pressure side of the blade. Each blade passage contains more than two regions with relatively high vorticity, and the extent of the high vorticity region located farther from the tongue is larger. There is a single vorticity generation zone at the end of the runner blade, and the high vorticity zone at the end of the runner, distant from the tongue, is more widely distributed.
Figure 10 shows how the vortex area evolves across various outlet pressure conditions within the section. For WP1 (t10) versus WP2 (t15) and WP3 (t10) versus WP4 (t15)—despite having identical outlet pressures—the high-vorticity areas differ based on the pressure change rate. WP1 (t10) and WP3 (t10), with faster pressure changes, show smaller high-vorticity regions, while WP2 (t15) and WP4 (t15) have larger high-vorticity zones concentrated about 1/4 along the runner passage from the tongue near the spiral case. Similarly, WP1 (t20), WP7 (t20), and WP8 (t20) exhibit matching outlet pressures and vorticity distributions over equivalent timeframes. Comparing WP3 (t10) to WP5 (t10) and WP6 (t10) highlights variations in outlet pressure, with WP5 experiencing higher and WP6 lower pressures. Cases WP3 (t20), WP5 (t20), and WP6 (t10) share the same outlet pressure, yet WP6 (t20) has the slowest pressure change rate, corresponding to its high-vorticity area. Notably, as outlet pressure decreases, high-vorticity regions expand, with the largest areas located approximately 1/4 along the runner channel from the tongue, near the spiral case.
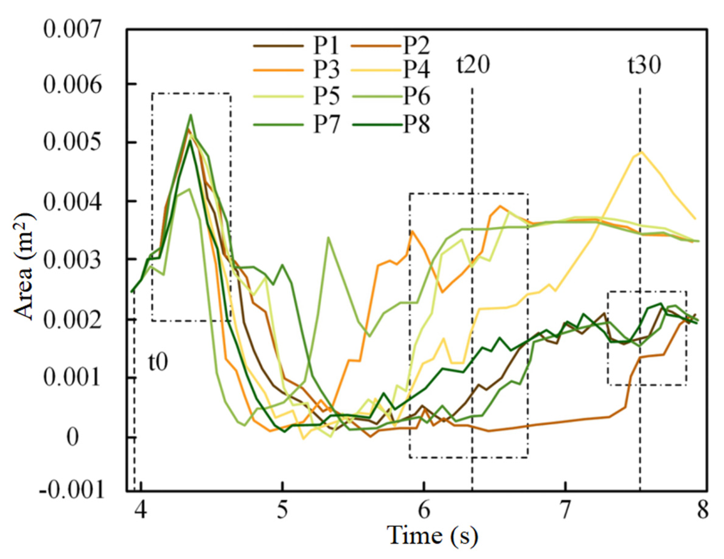
Figure 11 illustrates the variation in vortex area within the runner cross-section under different pressure variation conditions, identified using the Omega vortex recognition method. The results indicate that faster outlet pressure changes significantly enhance flow lag effects. During the initial phase of rapid outlet pressure changes, as observed in cases P3, P4, P6, and P8, the vortex area within the runner cross-section gradually increases over time. In contrast, the outlet pressure variation from P1.1BEP to P0.9BEP exhibits a pattern where the vortex area first increases and then decreases. After the pressure variation concludes, the flow adjusts and stabilizes. Under steady-state conditions, the vortex area stabilizes at 0.45 m2 for an outlet pressure of PBEP and 0.38 m2 for P0.9BEP. Notably, even at the optimal outlet pressure (PBEP), the vortex area does not reach its minimum value. This finding suggests that pressure inertia effects during pressure variation intensify flow instability within the runner region.
Rapid outlet pressure changes propagate through pressure transmission, altering the internal pressure distribution in the runner. This, in turn, exacerbates the interaction between the runner blades and the fluid, inducing flow regime changes. These instabilities increase the load on flow passage components and intensify both unsteady flow and vortex flow within the runner region. The early-stage growth trends of the vortex area in cases P6 and P8 further confirm this phenomenon.
Figure 12 illustrates the variation of total entropy production in the runner region during the pressure variation process. The results indicate that when the outlet pressure decreases from P1.1BEP to PBEP, the total entropy production in the double-row cascade flow region slightly decreases initially and then stabilizes around 1100 W/K. In contrast, as the outlet pressure decreases further from P1.1BEP to P0.9BEP, the total entropy production exhibits an initial slight reduction followed by a significant increase, eventually stabilizing at approximately 1350 W/K after the outlet pressure stops varying. A delay effect in entropy production changes is also observed in the runner region. When the outlet pressure drops to PBEP and stabilizes, the total entropy production in regions P3, P5, and P6 converges to the same value within approximately 0.20 s, with P3 achieving consistency in just 0.07 s. Similarly, within 0.27 s after the outlet pressure stabilizes at PBEP, the total entropy production in regions P1, P7, and P8 converges, while P2 requires about 0.12 s. These observations indicate that faster outlet pressure changes reduce the lag effect of entropy production variations.
The changes in entropy production within the runner region are primarily influenced by flow separation and blade wake effects. During the initial phase of pressure variation, the weakening of vortex flows within the fixed guide vane channels leads to a reduction in total entropy production in this area. As the outlet pressure decreases further, the increased flow rate amplifies the relative angle between the incoming flow direction and the runner blades, intensifying flow separation within the runner channels and thereby increasing the total entropy production. Overall, the primary factors affecting entropy production changes in the runner region are the variation in flow separation intensity and the occurrence of adverse flow phenomena, such as vortices, caused by outlet pressure changes. The magnitude and speed of outlet pressure variation alter the degree of flow separation and adverse flow, subsequently impacting the distribution and intensity of entropy production in this region.

3.4. Vortex of Tailpipe

The tailpipe of the pump-turbine is mainly used as the inlet under the pump working condition. The water enters from the tailpipe inlet and flows through the tailpipe channel into the runner area. At t0 in the initial state, the relatively high vorticity area in the tailpipe area is concentrated on the inner side of the inlet passage to the runner area behind the tailpipe elbow passage, and the vorticity in the area gradually decreases from the outer side. From the inlet of the runner area to the tailpipe bend, the relatively high vorticity area decreases. There are two high-vorticity areas at the junction of the tailpipe and the runner area, which correspond to the front position of the runner blade. At this time, no reflux was found at the tailpipe outlet, and there were vortices along the wall, and secondary flow appeared near the tailpipe wall. The tailpipe vorticity gradually decreases with the decrease in outlet pressure in various outlet-pressure-changing work conditions.
Figure 13 presents the vorticity distribution at section x = 0 within the tailpipe under different outlet pressure conditions. For WP1 (t10) and WP2 (t15), which share the same outlet pressure, WP1 (t10)—with a faster outlet pressure change—exhibits a larger, more dispersed vorticity concentration zone. In WP2 (t15), high vorticity is concentrated near the inner side of the runner area entrance within the tailpipe channel. Consistent patterns appear across WP1 (t20) and WP3 (t10), WP2 (t30) and WP4 (t15), as well as WP3 (t10) and WP4 (t15), all sharing the same outlet pressure. Comparing WP1 (t10), WP7 (t10), and WP8 (t10), the high vorticity area in the tailpipe follows an order of WP8 (t10) < WP1 (t10) < WP7 (t10), with vorticity regions extending outward from the inner wall. Over equivalent time intervals, WP1 (t20), WP7 (t20), and WP8 (t20) display similar outlet pressures, but WP8 (t20) has the lowest pressure change rate while WP7 (t20) has the highest, affecting the size of the high vorticity region in the tailpipe. In contrast to WP3 (t10), WP5 (t10) shows a higher outlet pressure, and WP6 (t10) shows a lower one. Despite sharing the same outlet pressure, WP6 (t20) exhibits the slowest rate of pressure change, while WP5 (t20) exhibits the highest. This correlates with a larger high vorticity area in WP3 (t20) and higher near-channel vorticity in WP5 (t20). The vorticity distribution within the tailpipe depends on both outlet pressure and fluctuating flow dynamics in the runner region.
Figure 14 illustrates the variation in vortex area at the Y = 0 section of the draft tube under different pressure variation conditions, as identified using the Omega vortex identification method. As an inflow component in pump operating conditions, the draft tube generally maintains stable flow with minimal vortices. During the pressure decrease from P1.1BEP to PBEP, the vortex area in the draft tube section initially increases, reaching a peak at approximately 0.39 s, then decreases and stabilizes at approximately 0.0017 m2. When the outlet pressure decreases further from P1.1BEP to P0.9BEP, the vortex area also reaches its peak around 0.39 s, then decreases before increasing again, eventually stabilizing at approximately 0.0045 m2.
The flow pattern in the draft tube is influenced not only by the direct propagation of pressure signals but also by the changes in the operating conditions of the runner region. Specifically, the outlet pressure variation impacts the draft tube directly, while the changes in flow state within the runner region and the resulting alterations to the draft tube’s inflow conditions are the primary factors affecting the draft tube’s flow behavior. During the pressure variation process, under low flow velocity conditions, the rapid rotation of the runner’s leading edge generates vortex flows that exert a reverse influence on the draft tube. As the flow velocity increases, momentum transfer reduces this reverse influence, while flow separation effects at the draft tube’s bend become more pronounced.
Figure 15 illustrates the variation in total entropy production in the draft tube region during the pressure variation process. Compared to other regions, the entropy production in the draft tube is significantly lower. From the results of P1, P2, P3, P4, P5, P6, P7, and P8, it can be observed that when the outlet pressure decreases from P1.1BEP to PBEP, the total entropy production in the draft tube region initially decreases slightly, and eventually stabilizes at approximately 382 W/K. Similarly, during the pressure decrease from P1.1BEP to P0.9BEP, the total entropy production first decreases slightly and then increases, eventually stabilizing at approximately 502 W/K after the outlet pressure stops decreasing. The entropy production in the draft tube region also exhibits a delayed response to pressure variations. When the outlet pressure decreases to PBEP and stabilizes, the entropy production of P3, P5, and P6 becomes consistent within approximately 0.53 s, with P3 taking around 0.40 s. Similarly, for P1, P7, and P8, the entropy production aligns within approximately 0.33 s after the outlet pressure stabilizes at PBEP, with P2 taking around 0.39 s. Overall, the delay in entropy production changes in the draft tube region is shorter than that in the runner region. Furthermore, the draft tube region follows the trend where faster pressure variations result in reduced delay in entropy production changes.
The variation in entropy production in the draft tube region is primarily influenced by the backflow from the runner region and flow separation on the inner side of the draft tube bend. In the early stages of pressure variation, backflow in the runner region and draft tube reduces the total entropy production. As the outlet pressure decreases further, the flow velocity in the duct increases, altering the flow direction as the fluid passes through the bend. This intensifies flow separation on the inner side of the bend, thereby increasing the total entropy production in the region. It is evident that the changes in entropy production in the draft tube are mainly driven by increased flow rate due to decreased outlet pressure, wall entropy production, and flow separation caused by the bend structure. These factors alter the distribution and intensity of entropy production in this region. While different pressure variation speeds significantly affect the trends of entropy production changes, their impact on the overall distribution of entropy production is relatively minor.

4. Entropy Production Rate Analysis

4.1. Entropy Production Rate in the Spiral Shell Area

At t0 of the initial state, obvious concentrated entropy generation areas are located near the junction of the stay-guide vane and the spiral case at section z = 0 of the spiral case fluid domain. These high-entropy generation areas originate from the interface and gradually decrease along the flow direction in the spiral case, forming an ’airfoil’. These high entropy production areas correspond to the positions of the guide vane channels in the double-row blade, and between each pair of relatively high entropy production areas, there is a relatively low entropy production area, which corresponds to the end of the guide vane. These relatively high and low entropy production areas form a discontinuous high vorticity 3/4 ring near the interface between the spiral case and the double-row Yeshan. The region from the tongue to the position 1/4 of the spiral case in the counterclockwise direction is the vacant part of the high entropy production ring belt. The high entropy generation area and the entropy output value inside the annulus increase and reach their maximum value within the counterclockwise 1/2 spiral case range along the entropy production zone. In the next 1/4 of the annulus, the range of the high entropy generation area and the entropy production value first decrease and then increase, ending near the spiral case.
Figure 16 shows the distribution of entropy generation in the spiral case area. EPR represents the entropy production rate, with EP1 (t10) representing the entropy generation distribution at t10 under the P1 working condition. Comparing EP1 (t10) with EP2 (t15) and EP3 (t10) with EP4 (t15), the outlet pressures corresponding to the two working conditions are the same. EP1 (t10), with a faster outlet pressure change, shows a prominent annular high entropy production zone in the adjacent area of the diallel Yeshan, with a wider range and higher entropy output value. The main entropy generation occurs from 1/2 spiral case to 4/4 spiral case in the counterclockwise direction from the tongue area, with the maximum entropy generation area located at 7/12 of the spiral case. The high entropy production zone of EP2 (t15) is significantly weakened, although the high entropy production zone near the spiral case is not significantly weakened.
Compared with EP1 (t10), the relatively high entropy production area in EP8 (t10) is the smallest, while in EP7 (t10), it is the largest. EP8 (t10) shows the high entropy production area in the spiral case’s 1/4 to 3/4 entropy production ring, while EP7 (t10) exhibits a distinct peak at 7/8 of the entropy generation ring belt in the spiral case, with the spiral case passage extending counterclockwise from the tongue to the 1/4 spiral case. Compared with the corresponding working point of EP3 (t10), the outlet pressure of EP5 (t10) is larger, and that of EP6 (t10) is smaller. EP3 (t20), EP5 (t20), and EP6 (t10) all have the same outlet pressure, with EP6 (t20) having the lowest corresponding outlet pressure change rate. EP5 (t20) has the largest change rate, and the range of the high entropy production area is consistent with the pressure transformation rate.

4.2. Entropy Production in the Stay-Guide Vane Area

Figure 17 shows the distribution of entropy generation at section Z = 0 of the stay-guide vane. Comparing EP1 (t10) with EP2 (t15) and EP3 (t10) with EP4 (t15), which correspond to the same outlet pressure for both working conditions, the high entropy tail zone of EP1 (t10) and the guide vane area with faster outlet pressure change have a wider range and larger entropy output value than EP2 (t15). The distribution of the high entropy production area at the tail of the guide vane is consistent with that at t0, but there is a local high entropy production area with abnormal changes between the guide vanes at the 3/4 counterclockwise circumference of the tongue. Although the high entropy production in the EP2 (t15) guide vane is weaker than in EP1 (t10) overall, there is a wider high entropy production tail zone near the diaphragm tongue, which corresponds to the high entropy production area at the spiral case connection part.
The relatively high entropy tail zone in EP3 (t10) and EP4 (t15) has a wide range and large entropy output value. The maximum entropy production area of EP3 (t10) is located at the guide vanes at 1/2, 3/4, and 4/4 counterclockwise from the tongue. In EP1 (t20) and EP2 (t30), with slower outlet pressure changes, the range of high entropy production in the fluid domain near the guide vanes is smaller, while the range near the guide vanes is larger. In EP8 (t10), the area of relatively high entropy generation near the guide vane is the smallest, and in EP7 (t10), the area is the largest. There is an obvious peak at the stay-guide vane channel corresponding to the spiral case entropy generation in the 7/8 annular zone. EP1 (t20), EP7 (t20), and EP8 (t20) are in the same working state with the same outlet pressure after the same time change. At this point, the high entropy generation range of the guide vanes in EP8 (t20) is larger than in EP1 (t20) and EP7 (t20). The change rate of outlet pressure significantly affects the size and distribution of entropy generation. Due to the flow changes, the distribution and size of the entropy generation range show different trends between the guide vanes.

4.3. Entropy Production in the Runner Area

The fluid in the impeller area enters through the tailpipe and flows through the impeller channel into the double-row blade area, propelled by the impeller blades. At time t0 in the initial state, the areas of high entropy production in the impeller cross-section are mainly at the front end of the blades and the blade tips. The maximum entropy production area at the front end of the blade gradually decreases from the suction side to the pressure side of the adjacent blade but remains high overall. The entropy production rate decreases along the flow channel. The tip of the impeller blade exhibits a single entropy production tail zone, which is located farther from the tongue and has a longer high entropy production band at the blade tip.
Figure 18 shows the entropy production distribution in the Z = 0 section of the impeller area. It was found that as the outlet pressure decreases, the range of higher vorticity areas inside the section increases. The high entropy production area in the impeller channel, along the 1/4 spiral shell direction from the baffle, is the largest, and the vorticity distribution in this area is relatively uniform. Comparing EP1 (t10) and EP2 (t15) and EP3 (t10) and EP4 (t15), which correspond to the same outlet pressure, EP1 (t10) and EP3 (t10) with faster outlet pressure changes show smaller high vorticity areas. EP2 (t15) and EP4 (t15) exhibit a larger high entropy production area concentrated at the upper part of the turbine runner near 1/4 distance from the baffle. EP1 (t20), EP7 (t20), and EP8 (t20), after the same time variation, show the same outlet pressure and entropy production distribution.
Compared to the corresponding operating point of EP3 (t10), EP5 (t10) has a higher outlet pressure, and EP6 (t10) has a lower outlet pressure. At this time, the size of the high entropy production area in the runner channel shows the same pattern. EP3 (t20), EP5 (t20), and EP6 (t10) have the same outlet pressure, with EP6 (t20) exhibiting the smallest rate of outlet pressure change and EP5 (t20) having the largest, which aligns with the size of the high vorticity area in the watershed at this time. As the outlet pressure decreases, the range of high entropy production areas inside the section increases, with the largest high entropy production areas found along the runner channel in the spiral shell direction and at a distance of 1/4 from the tongue.

4.4. Entropy Production in the Tailpipe Area

The fluid in the runner area enters from the tailpipe and flows through the runner passage into the stay-guide vane area, driven by the runner blades. At t0 in the initial state, the large area of entropy generation in the runner section is primarily located at the front and end of the runner blades. The maximum entropy production area at the front of the blade gradually decreases from the suction side to the pressure side of the next blade, maintaining a high value overall, while the entropy production rate decreases along the channel. The end of the runner blade features a single entropy generation tail zone, with the high entropy production band at the end of the runner being longer than that at the distance from the tongue.
Figure 19 shows the distribution of entropy production at the section z = 0 in the runner area. It is found that with the decrease of the outlet, the range of higher vorticity area inside the section increases. The runner passage along the direction of 1/4 spiral case distance between the spiral case and diaphragm tongue has the largest high entropy generation area, and the vorticity distribution in the entropy generation distribution area is relatively close. Compared with EP1 (t10) and EP2 (t15), EP3 (t10) and EP4 (t15) have the same outlet pressure corresponding to the two working conditions. However, the range of the high vorticity area of EP1 (t10) and EP3 (t10) is smaller than that of EP1 (t10) and EP3 (t10) with a faster outlet pressure change. The larger range of higher entropy production of EP2 (t15) and EP4 (t15) is concentrated in the runner passage near the spiral case 1/4 away from the tongue. EP1 (t20), EP7 (t20), and EP8 (t20) have the same outlet pressure after the same time change, and the distribution of entropy generation is also very close. Compared with the corresponding operating point of EP3 (t10), the outlet pressure of EP5 (t10) is larger, and the outlet pressure of EP6 (t10) is smaller. At this time, the size of the high entropy generation area in the runner channel has the same comparison result. EP3 (t20), EP5 (t20), and EP6 (t10) have the same outlet pressure, and EP6 (t20) has the smallest outlet pressure change rate, while EP5 (t20) has the largest, which is consistent with the area size of high vorticity area in the area at this time. With the decrease of the outlet, the range of the high entropy generation area inside the section increases, and the area of the high entropy generation area along the runner channel at the place where the spiral case is 1/4 away from the tongue is the largest.

5. Conclusions

This study investigates vortex formation and energy loss in key regions, including the spiral case, double-row stay guide vane, runner, tailpipe, and clearance flow, during outlet pressure variations in a pump-turbine under pump mode. The key conclusions are summarized as follows:
(1) Entropy Production and Flow Separation: During outlet pressure variation, entropy production is predominantly concentrated in the double-row stay guide vane region. At an outlet pressure of P0.9BEP, significant entropy production occurs in the flow passage of the active guide vane, primarily caused by flow separation and vortex formation. Entropy generation in the runner, sealing gap, and tailpipe regions is dominated by wall effects, while secondary flows from the double-row stay guide vane influence the spiral case.
(2) Vortex Distribution and Energy Loss Mechanisms: The double-row stay guide vane exhibits the most complex vortex distribution, with distinct trends observed between the active and fixed guide vanes. Outlet pressure variations alter the interaction between runner blades and fluid, impacting the attack angle of the active guide vane and causing localized flow separation. These changes significantly affect energy loss in downstream components, particularly the fixed guide vane and spiral case.
(3) Impact of Outlet Pressure Variation Speed: The interaction among runner blades, fluid, and active guide vanes is a key factor in the delayed onset of vortices and entropy production. The multistage complexity of internal flow states amplifies the influence of outlet pressure variation speed on vortex generation and dissipation dynamics.
Practical Implications: These findings provide valuable insights for optimizing pump-turbine design and operational strategies. By mitigating flow separation and minimizing vortex formation in critical regions, energy loss can be reduced, and system efficiency improved.

Author Contributions

T.H. funding acquisition; Q.L. and Z.L. proofreading, supervision. L.F. and F.Z. simulation and analysis; X.C. experiment, data collation, writing—original manuscript. All authors have read and agreed to the published version of the manuscript.

Funding

Gansu Province 2024 College Teachers Innovation Fund Project (2024B-343); Gansu Province Talent Project (Youth team) number: 2024QNTD38.

Data Availability Statement

The original contributions presented in the study are included in the article, and further inquiries can be directed to the corresponding author.

Acknowledgments

The authors would like to thank the anonymous reviewers and the editor for their valuable and insightful suggestions.

Conflicts of Interest

The authors declare no conflicts of interest.

References

  1. Jin, F.; Wang, H.; Luo, Y.; Presas, A.; Bi, H.; Wang, Z.; Lin, K.; Lei, X.; Yang, X. Visualization research of energy dissipation in a pump turbine unit during turbine mode’s starting up. Renew. Energy 2023, 217, 119172. [Google Scholar] [CrossRef]
  2. Fu, X.-L.; Li, D.-Y.; Wang, H.-J.; Cheng, Y.-G.; Wei, X.-Z. Hydraulic fluctuations during the pump power-off runaway transient process of a pump turbine with consideration of cavitation effects. J. Hydrodyn. 2021, 33, 1162–1175. [Google Scholar] [CrossRef]
  3. Wang, Y.; Zhang, F.; Chen, K.; Hong, F.; Yuan, S. Influence of cavitation on energy loss in a side channel pump at different flow rates. Phys. Fluids 2023, 35, 065121. [Google Scholar]
  4. Shang, L.; Cao, J.; Jia, X.; Yang, S.; Li, S.; Wang, L.; Wang, Z.; Liu, X. Effect of Rotational Speed on Pressure Pulsation Characteristics of Variable-Speed Pump Turbine Unit in Turbine Mode. Water 2023, 15, 609. [Google Scholar] [CrossRef]
  5. Guo, P.C.; Zhang, H.; Sun, L.G. Transient dynamic analysis of a pump-turbine with hysteresis effect. Mod. Phys. Lett. B 2020, 34, 16. [Google Scholar] [CrossRef]
  6. Yan, X.; Kan, K.; Zheng, Y.; Chen, H.; Binama, M. Entropy Production Evaluation within a Prototype Pump-Turbine Operated in Pump Mode for a Wide Range of Flow Conditions. Processes 2022, 10, 2058. [Google Scholar] [CrossRef]
  7. Gong, R.; Wang, H.; Chen, L.; Li, D.; Zhang, H.; Wei, X. Application of entropy production theory to hydro-turbine hydraulic analysis. Sci. China-Technol. Sci. 2013, 56, 1636–1643. [Google Scholar] [CrossRef]
  8. Li, D.; Wang, H.; Qin, Y.; Han, L.; Wei, X.; Qin, D. Entropy production analysis of hysteresis characteristic of a pump-turbine model. Energy Convers. Manag. 2017, 149, 175–191. [Google Scholar] [CrossRef]
  9. Wang, C.; Zhang, Y.; Yuan, Z.; Ji, K. Development and application of the entropy production diagnostic model to the cavitation flow of a pump-turbine in pump mode. Renew. Energy 2020, 154, 774–785. [Google Scholar] [CrossRef]
  10. Huang, P.; Appiah, D.; Chen, K.; Zhang, F.; Cao, P.; Hong, Q. Energy dissipation mechanism of a centrifugal pump with entropy generation theory. AIP Adv. 2021, 11, 045208. [Google Scholar] [CrossRef]
  11. Wang, Z.; Xie, B.; Xia, X.; Luo, L.; Yang, H.; Li, X. Entropy production analysis of a radial inflow turbine with variable inlet guide vane for ORC application. Energy 2023, 265, 126313. [Google Scholar] [CrossRef]
  12. Zhou, L.; Hang, J.; Bai, L.; Krzemianowski, Z.; El-Emam, M.A.; Yasser, E.; Agarwal, R. Application of entropy production theory for energy losses and other investigation in pumps and turbines: A review. Appl. Energy 2022, 318, 119211. [Google Scholar] [CrossRef]
  13. Lai, F.; Huang, M.; Wu, X.; Nie, C.; Li, G. Local Entropy Generation Analysis for Cavitation Flow Within a Centrifugal Pump. J. Fluids Eng. 2022, 144, 101206. [Google Scholar] [CrossRef]
  14. Fu, X.; Li, D.; Wang, H.; Zhang, G.; Wei, X. Cavitation mechanism in turbine runaway process of a pump-turbine. J. Hydraul. Res. 2022, 60, 750–769. [Google Scholar] [CrossRef]
  15. Pei, J.; Meng, F.; Li, Y.; Yuan, S.; Chen, J. Effects of distance between impeller and guide vane on losses in a low head pump by entropy production analysis. Adv. Mech. Eng. 2016, 8, 1687814016679568. [Google Scholar] [CrossRef]
  16. Lu, Z.; Xiao, R.; Tao, R.; Li, P.; Liu, W. Influence of guide vane profile on the flow energy dissipation in a reversible pump-turbine at pump mode. J. Energy Storage 2022, 49, 104161. [Google Scholar] [CrossRef]
  17. Lu, Z.; Tao, R.; Yao, Z.; Liu, W.; Xiao, R. Effects of guide vane shape on the performances of pump-turbine: A comparative study in energy storage and power generation. Renew. Energy 2022, 197, 268–287. [Google Scholar] [CrossRef]
  18. Andrill, V.; Viktor, H.; Oleg, M.; Yurii, A.; Pavlo, O.; Yevhen, S. Effect of pump-turbine runner blade on flow characteristics in turbine mode. J. Mech. Eng. 2022, 25, 2709–2984. [Google Scholar]
  19. Zhu, X.; Xie, C.; Jiang, W.; Li, G. Numerical investigation of clocking effect on irreversible energy loss in volute for centrifugal pump with vaned diffuser based on entropy generation method. Proc. Inst. Mech. Eng. Part C-J. Mech. Eng. Sci. 2023, 237, 3430–3443. [Google Scholar] [CrossRef]
  20. Wang, H.R.; Wang, L.Q.; Wang, X.B.; Yao, E.R. A Novel Pumped Hydro Combined with Compressed Air Energy Storage System. Energies 2013, 6, 1554–1567. [Google Scholar] [CrossRef]
  21. Deng, Y.; Xu, J.; Li, Y.; Zhang, Y.; Kuang, C. Experimental and Computational Fluid Dynamics Study of the Flow Field of a Model Pump Turbine. Front. Energy Res. 2022, 10, 911874. [Google Scholar] [CrossRef]
  22. Benavides-Moran, A.; Rodriguez-Jaime, L.; Lain, S. Numerical Investigation of the Performance, Hydrodynamics, and Free-Surface Effects in Unsteady Flow of a Horizontal Axis Hydrokinetic Turbine. Processes 2021, 10, 69. [Google Scholar] [CrossRef]
Figure 1. Three-dimensional model of pump-turbine CFD domain.
Figure 1. Three-dimensional model of pump-turbine CFD domain.
Energies 18 00110 g001
Figure 2. Variation of outlet pressure with unit operating time.
Figure 2. Variation of outlet pressure with unit operating time.
Energies 18 00110 g002
Figure 3. Grid independence verification.
Figure 3. Grid independence verification.
Energies 18 00110 g003
Figure 4. Vorticity distribution of spiral case.
Figure 4. Vorticity distribution of spiral case.
Energies 18 00110 g004
Figure 5. Vortex area of volute section.
Figure 5. Vortex area of volute section.
Energies 18 00110 g005
Figure 6. Entropy production of volute.
Figure 6. Entropy production of volute.
Energies 18 00110 g006
Figure 7. Vorticity distribution of stay-guide vane.
Figure 7. Vorticity distribution of stay-guide vane.
Energies 18 00110 g007
Figure 8. Vortex area of double-row cascades.
Figure 8. Vortex area of double-row cascades.
Energies 18 00110 g008
Figure 9. Entropy production of double-row cascade.
Figure 9. Entropy production of double-row cascade.
Energies 18 00110 g009
Figure 10. Vorticity distribution of runner.
Figure 10. Vorticity distribution of runner.
Energies 18 00110 g010
Figure 11. Vortex area of runner.
Figure 11. Vortex area of runner.
Energies 18 00110 g011
Figure 12. Entropy production of runner.
Figure 12. Entropy production of runner.
Energies 18 00110 g012
Figure 13. Vorticity distribution of tailpipe.
Figure 13. Vorticity distribution of tailpipe.
Energies 18 00110 g013
Figure 14. Vortex area of tailpipe.
Figure 14. Vortex area of tailpipe.
Energies 18 00110 g014
Figure 15. Entropy production of tailpipe.
Figure 15. Entropy production of tailpipe.
Energies 18 00110 g015
Figure 16. Distribution of entropy production rate of spiral case.
Figure 16. Distribution of entropy production rate of spiral case.
Energies 18 00110 g016
Figure 17. Distribution of entropy production rate of double-row cascade.
Figure 17. Distribution of entropy production rate of double-row cascade.
Energies 18 00110 g017
Figure 18. Distribution of entropy production rate of runner.
Figure 18. Distribution of entropy production rate of runner.
Energies 18 00110 g018
Figure 19. Distribution of entropy production rate of tailpipe.
Figure 19. Distribution of entropy production rate of tailpipe.
Energies 18 00110 g019
Disclaimer/Publisher’s Note: The statements, opinions and data contained in all publications are solely those of the individual author(s) and contributor(s) and not of MDPI and/or the editor(s). MDPI and/or the editor(s) disclaim responsibility for any injury to people or property resulting from any ideas, methods, instructions or products referred to in the content.

Share and Cite

MDPI and ACS Style

Han, T.; Li, Q.; Feng, L.; Chen, X.; Zhou, F.; Li, Z. Impact of Outlet Pressure on Internal Flow Characteristics and Energy Loss in Pump-Turbine System Under Pump Operation Conditions. Energies 2025, 18, 110. https://doi.org/10.3390/en18010110

AMA Style

Han T, Li Q, Feng L, Chen X, Zhou F, Li Z. Impact of Outlet Pressure on Internal Flow Characteristics and Energy Loss in Pump-Turbine System Under Pump Operation Conditions. Energies. 2025; 18(1):110. https://doi.org/10.3390/en18010110

Chicago/Turabian Style

Han, Tianding, Qifei Li, Licheng Feng, Xiangyu Chen, Feng Zhou, and Zhenggui Li. 2025. "Impact of Outlet Pressure on Internal Flow Characteristics and Energy Loss in Pump-Turbine System Under Pump Operation Conditions" Energies 18, no. 1: 110. https://doi.org/10.3390/en18010110

APA Style

Han, T., Li, Q., Feng, L., Chen, X., Zhou, F., & Li, Z. (2025). Impact of Outlet Pressure on Internal Flow Characteristics and Energy Loss in Pump-Turbine System Under Pump Operation Conditions. Energies, 18(1), 110. https://doi.org/10.3390/en18010110

Note that from the first issue of 2016, this journal uses article numbers instead of page numbers. See further details here.

Article Metrics

Back to TopTop