Experimental Study on the Effect of Mixed Thermodynamic Inhibitors with Different Concentrations on Natural Gas Hydrate Synthesis
Abstract
1. Introduction
2. Experiment
2.1. Experimental Materials and Apparatus
2.2. Experimental Steps
- (1)
- Preparation of Porous Medium Reservoirs
- (2)
- Synthesis of Natural Gas Hydrate
2.3. Experimental Programs
3. Experimental Results and Discussion
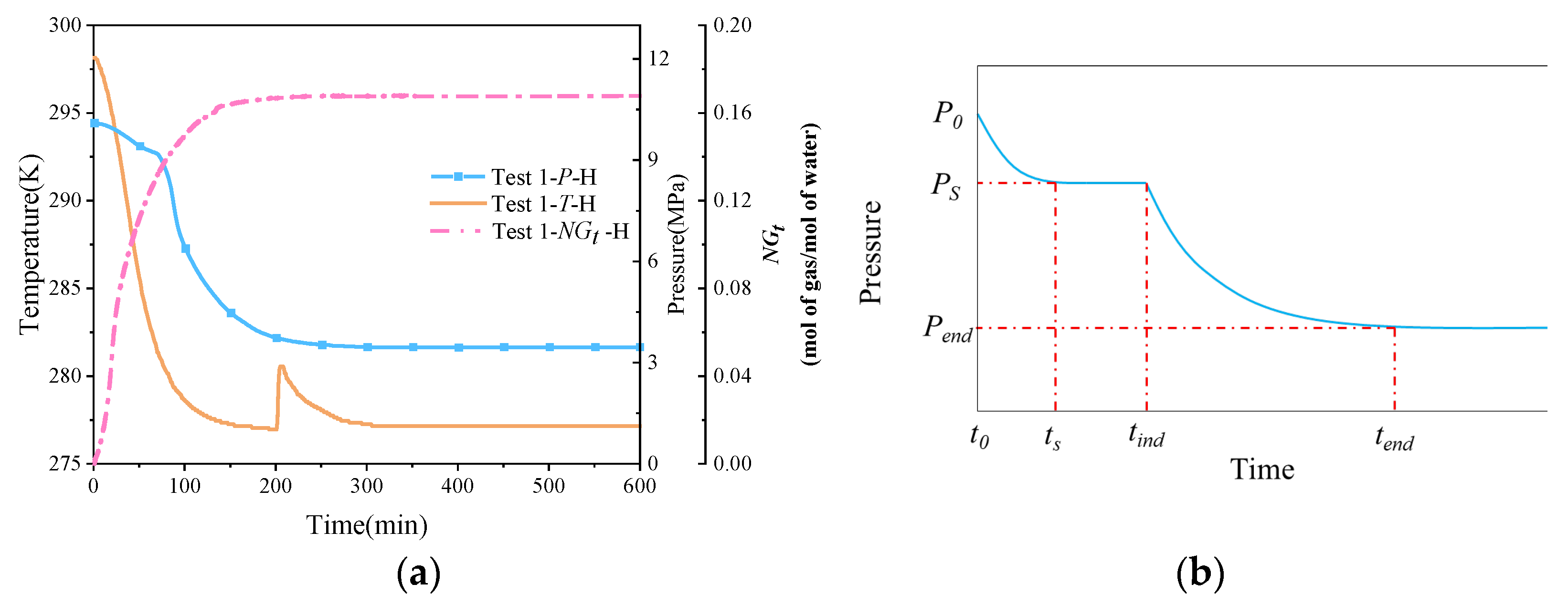
3.1. Calculation Method for Natural Gas Hydrate Synthesis Process
3.2. Synthesis of Natural Gas Hydrate in Pure Water
3.3. Synthesis of Natural Gas Hydrate under a Single Inhibitor
3.4. Synthesis of Hydrate in Hybrid Inhibitor Systems
3.5. Comparison of Natural Gas Hydrate Synthesis Results
4. Conclusions
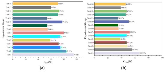
- When the mixed inhibitor and single inhibitor dosages are equal, the inhibition effect of the mixed inhibitor is significantly better than that of the single inhibitor. The inhibition results obtained in the Test 9 group were very satisfactory, with hydrate synthesis volumes and gas–water phase conversion rates similar to those of the Test 8 group. This indicates that mixing of different inhibitors in a certain ratio provides a better synergy of inhibition. The presence of NaCl can minimize the interactions between hydrate particles by surrounding them, thus acting as a synergistic effect on EG and further limiting hydrate synthesis.
- In the whole process of hydrate synthesis, the exotherm of hydrate synthesis mainly occurs in the stage of hydrate large-scale growth, and no more obvious exotherm phenomenon is found in the stage of nucleation. In the single inhibitor experimental group, it was found that the induction period of the hydrate synthesis stage increased significantly with increasing inhibitor dosage and the synthesis took longer to reach stability.
- Under the same initial synthesis driving force, in the single inhibitor experimental group, it can be found that with the increase in the mass fractions of NaCl and EG, the water conversion rate in the two different inhibitors decreased from 83.19% and 79.46% to 71.65% and 68.61%, respectively, and the methane gas conversion rate decreased from 55.46% and 52.05% to 47.72% and 38.39%, respectively. These indicate that the inhibition of hydrate synthesis is enhanced by increasing the inhibitor concentration, and NaCl can exert a stronger inhibition at lower inhibitor concentrations.
- In the mixed inhibitor experimental group, increasing the percentage of EG in the mixed inhibitor was more effective in inhibiting hydrate synthesis compared to increasing the percentage of NaCl in the mixed inhibitor.
Author Contributions
Funding
Data Availability Statement
Conflicts of Interest
References
- Li, X.-S.; Xu, C.-G.; Zhang, Y.; Ruan, X.-K.; Li, G.; Wang, Y. Investigation into gas production from natural gas hydrate: A review. Appl. Energy 2016, 172, 286–322. [Google Scholar] [CrossRef]
- Sloan, E.D., Jr.; Koh, C.A. Clathrate Hydrates of Natural Gases; CRC Press: Boca Raton, FL, USA, 2007. [Google Scholar]
- Li, J.F.; Ye, J.L.; Qin, X.W.; Qiu, H.J.; Wu, N.Y.; Lu, H.L.; Xie, W.W.; Lu, J.A.; Peng, F.; Xu, Z.Q. The first offshore natural gas hydrate production test in South China Sea. China Geol. 2018, 1, 5–16. [Google Scholar] [CrossRef]
- Wang, L.; Fu, S.; Liang, J.; Shang, J.; Wang, J. A review on gas hydrate developments propped by worldwide national projects. Geol. China 2017, 44, 439–448. [Google Scholar]
- Hou, X.K.; Qi, S.W.; Huang, X.L.; Guo, S.F.; Zou, Y.; Ma, L.N.; Zhang, L.X. Hydrate morphology and mechanical behavior of hydrate-bearing sediments: A critical review. Geomech. Geophys. Geo-Energy Geo-Resour. 2022, 8, 161. [Google Scholar] [CrossRef]
- Liu, W.; Wang, S.; Yang, M.; Song, Y.; Wang, S.; Zhao, J. Investigation of the induction time for THF hydrate formation in porous media. J. Nat. Gas Sci. Eng. 2015, 24, 357–364. [Google Scholar] [CrossRef]
- Liu, Y.; Chen, B.; Chen, Y.; Zhang, S.; Guo, W.; Cai, Y.; Tan, B.; Wang, W. Methane Storage in a Hydrated Form as Promoted by Leucines for Possible Application to Natural Gas Transportation and Storage. Energy Technol. 2015, 3, 815–819. [Google Scholar] [CrossRef]
- Mokhatab, S.; Wilkens, R.J.; Leontaritis, K. A review of strategies for solving gas-hydrate problems in subsea pipelines. Energy Sources Part A 2007, 29, 39–45. [Google Scholar] [CrossRef]
- Wang, Y.H.; Fan, S.S.; Lang, X.M. Reviews of gas hydrate inhibitors in gas-dominant pipelines and application of kinetic hydrate inhibitors in China. Chin. J. Chem. Eng. 2019, 27, 2118–2132. [Google Scholar] [CrossRef]
- Elhenawy, S.; Khraisheh, M.; Almomani, F.; Al-Ghouti, M.A.; Hassan, M.K.; Al-Muhtaseb, A. Towards Gas Hydrate-Free Pipelines: A Comprehensive Review of Gas Hydrate Inhibition Techniques. Energies 2022, 15, 8551. [Google Scholar] [CrossRef]
- Fu, W.Q.; Wang, Z.Y.; Duan, W.G.; Zhang, Z.N.; Zhang, J.B.; Sun, B.J. Characterizing methane hydrate formation in the non-Newtonian fluid flowing system. Fuel 2019, 253, 474–487. [Google Scholar] [CrossRef]
- Kelland, M.A.; Iversen, J.E. Kinetic Hydrate Inhibition at Pressures up to 760 Bar in Deep Water Drilling Fluids. Energy Fuels 2010, 24, 3003–3013. [Google Scholar] [CrossRef]
- Sohn, Y.H.; Seo, Y. Effect of monoethylene glycol and kinetic hydrate inhibitor on hydrate blockage formation during cold restart operation. Chem. Eng. Sci. 2017, 168, 444–455. [Google Scholar] [CrossRef]
- Yan, C.L.; Li, Y.; Cheng, Y.F.; Wang, W.; Song, B.J.; Deng, F.C.; Feng, Y.C. Sand production evaluation during gas production from natural gas hydrates. J. Nat. Gas Sci. Eng. 2018, 57, 77–88. [Google Scholar] [CrossRef]
- Makogon, T. Chapter 5—Flow restrictions and blockages in operations. In Handbook of Multiphase Flow Assurance; Makogon, T.Y., Ed.; Gulf Professional Publishing: Oxford, UK, 2019; pp. 95–189. [Google Scholar]
- Nasir, Q.; Suleman, H.; Elsheikh, Y.A. A review on the role and impact of various additives as promoters/inhibitors for gas hydrate formation. J. Nat. Gas Sci. Eng. 2020, 76, 24. [Google Scholar] [CrossRef]
- Chong, Z.R.; Chan, A.H.M.; Babu, P.; Yang, M.J.; Linga, P. Effect of NaCl on methane hydrate formation and dissociation in porous media. J. Nat. Gas Sci. Eng. 2015, 27, 178–189. [Google Scholar] [CrossRef]
- Cha, M.J.; Hu, Y.; Sum, A.K. Methane hydrate phase equilibria for systems containing NaCl, KCl, and NH4Cl. Fluid Phase Equilib 2016, 413, 2–9. [Google Scholar] [CrossRef]
- Mekala, P.; Busch, M.; Mech, D.; Patel, R.S.; Sangwai, J.S. Effect of silica sand size on the formation kinetics of CO2 hydrate in porous media in the presence of pure water and seawater relevant for CO2 sequestration. J. Pet. Sci. Eng. 2014, 122, 1–9. [Google Scholar] [CrossRef]
- Cha, M.; Shin, K.; Kim, J.; Chang, D.; Seo, Y.; Lee, H.; Kang, S.P. Thermodynamic and kinetic hydrate inhibition performance of aqueous ethylene glycol solutions for natural gas. Chem. Eng. Sci. 2013, 99, 184–190. [Google Scholar] [CrossRef]
- Creek, J.L.; Subramanian, S.; Estanga, D.A. New method for managing hydrates in deepwater tiebacks. In Proceedings of the Offshore Technology Conference, Houston, TX, USA, 2–5 May 2011; p. OTC–22017-MS. [Google Scholar]
- Ke, W.; Chen, D. A short review on natural gas hydrate, kinetic hydrate inhibitors and inhibitor synergists. Chin. J. Chem. Eng. 2019, 27, 2049–2061. [Google Scholar] [CrossRef]
- Yang, C.F.; Ke, W.; Zhao, C.; Chen, D.Y. Experimental Evaluation of Kinetic Hydrate Inhibitors and Mixed Formulations with Monoethylene Glycol for Hydrate Prevention in Pure Water and Brine-Oil Systems. Energy Fuels 2020, 34, 12274–12290. [Google Scholar] [CrossRef]
- Kwak, G.H.; Lee, K.H.; Hong, S.Y.; Seo, S.D.; Lee, J.D.; Lee, B.R.; Sum, A.K. Phase Behavior and Raman Spectroscopic Analysis for CH4 and CH4/C3H8 Hydrates Formed from NaCl Brine and Monoethylene Glycol Mixtures. J. Chem. Eng. Data 2018, 63, 2179–2184. [Google Scholar] [CrossRef]
- Eichholz, C.; Majumdar, A.; Clarke, M.; Oellrich, L.; Bishnoi, P. Experimental investigation and calculation of methane hydrate formation conditions in the presence of ethylene glycol and sodium chloride. J. Chem. Eng. Data 2004, 49, 847–851. [Google Scholar] [CrossRef]
- Jager, M.; Peters, C.; Sloan, E. Experimental determination of methane hydrate stability in methanol and electrolyte solutions. Fluid Phase Equilib. 2002, 193, 17–28. [Google Scholar] [CrossRef]
- Kim, H.; Park, J.; Seo, Y.; Ko, M. Hydrate risk management with aqueous ethylene glycol and electrolyte solutions in thermodynamically under-inhibition condition. Chem. Eng. Sci. 2017, 158, 172–180. [Google Scholar] [CrossRef]
- Bai, J.; Gu, J.; Wang, D.; Shang, L.; Lv, Z.; Zhai, J. Effects of Low Concentrations of NaCl and EG on Hydrate Formation Kinetics and Morphology in the Presence of SDS. Energy Fuels 2022, 36, 11873–11887. [Google Scholar] [CrossRef]
- Jinhao, S.; Zhi, W.; Xuanji, L.; Xuanwei, Z.; Yumo, Z.; Shangfei, S.; Bohui, S.; Jing, G.; Xia, L. Paired KHI-MEG for synergistic inhibition of methane hydrate reformation. Chem. Ind. Eng. Prog. 2022, 41, 5373–5380. [Google Scholar] [CrossRef]
- Xin, Z.; Zhengsong, Q.; Weian, H.; Guowei, Z.; Yongjun, Z. Inhibition mechanism and optimized design of thermodynamic gas hydrate inhibitors. Acta Pet. Sin. 2015, 36, 760–766. [Google Scholar] [CrossRef]
- Sun, Z.-G.; Fan, S.-S.; Shi, L.; Guo, Y.-K.; Guo, K.-H. Equilibrium conditions hydrate dissociation for a ternary mixture of methane, ethane, and propane in aqueous solutions of ethylene glycol and electrolytes. J. Chem. Eng. Data 2001, 46, 927–929. [Google Scholar] [CrossRef]
- Liu, C.; Ye, Y.; Meng, Q.; He, X.; Lu, H.; Zhang, J.; Liu, J.; Yang, S. The Characteristics of Gas Hydrates Recovered from Shenhu Area in the South China Sea. Mar. Geol. 2012, 307–310, 22–27. [Google Scholar] [CrossRef]
- Yujing, J.; Peng, Y.; Hengjie, L.; Lianjun, C.; Genrong, D. Development of multi-dimensional production simulation test system for natural gas hydrate and its primary application. Rock Soil Mech. 2022, 43, 286–298. [Google Scholar] [CrossRef]
- Yan, P.; Luan, H.; Jiang, Y.; Liang, W.; Liu, M.; Chen, H. Influence of depressurization mode on natural gas hydrate production characteristics: One-dimensional experimental study. Geoenergy Sci. Eng. 2024, 234, 212671. [Google Scholar] [CrossRef]
- You, K.H.; Kneafsey, T.J.; Flemings, P.B.; Polito, P.; Bryant, S.L. Salinity-buffered methane hydrate formation and dissociation in gas-rich systems. J. Geophys. Res. Solid Earth 2015, 120, 643–661. [Google Scholar] [CrossRef]
- Lee, J.W.; Kang, S.P. Phase Equilibria of Natural Gas Hydrates in the Presence of Methanol, Ethylene Glycol, and NaCl Aqueous Solutions. Ind. Eng. Chem. Res. 2011, 50, 8750–8755. [Google Scholar] [CrossRef]
- Jiang, Y.J.; Gong, B.; Wang, G. Introduction of Methane Hydrate Production in Deep Sea; Science Press: Beijing, China, 2017. [Google Scholar]
- Smith, J.M. Introduction to chemical engineering thermodynamics. J. Chem. Educ. 1950, 27, 96. [Google Scholar] [CrossRef]
- Chong, Z.R.; Koh, J.W.; Linga, P. Effect of KCl and MgCl2 on the kinetics of methane hydrate formation and dissociation in sandy sediments. Energy 2017, 137, 518–529. [Google Scholar] [CrossRef]
- Uchida, T.; Hirano, T.; Ebinuma, T.; Narita, H.; Gohara, K.; Mae, S.; Matsumoto, R. Raman spectroscopic determination of hydration number of methane hydrates. AIChE J. 1999, 45, 2641–2645. [Google Scholar] [CrossRef]
- Tulk, C.; Ripmeester, J.; Klug, D. The application of Raman spectroscopy to the study of gas hydrates. Ann. N. Y. Acad. Sci. 2000, 912, 859–872. [Google Scholar] [CrossRef]
- Englezos, P. Clathrate hydrates. Ind. Eng. Chem. Res. 1993, 32, 1251–1274. [Google Scholar] [CrossRef]
- Yang, S.H.B.; Babu, P.; Chua, S.F.S.; Linga, P. Carbon dioxide hydrate kinetics in porous media with and without salts. Appl. Energy 2016, 162, 1131–1140. [Google Scholar] [CrossRef]
- Dholabhai, P.D.; Parent, J.S.; Bishnoi, P.R. Equilibrium conditions for hydrate formation from binary mixtures of methane and carbon dioxide in the presence of electrolytes, methanol and ethylene glycol. Fluid Phase Equilib. 1997, 141, 235–246. [Google Scholar] [CrossRef]
- Qi, Y.; Wu, W.; Liu, Y.; Xie, Y.; Chen, X. The influence of NaCl ions on hydrate structure and thermodynamic equilibrium conditions of gas hydrates. Fluid Phase Equilib. 2012, 325, 6–10. [Google Scholar] [CrossRef]
- Sun, S.-C.; Kong, Y.-Y.; Zhang, Y.; Liu, C.-L. Phase equilibrium of methane hydrate in silica sand containing chloride salt solution. J. Chem. Thermodyn. 2015, 90, 116–121. [Google Scholar] [CrossRef]
- Zhao, X.; Qiu, Z.; Zhang, Z.; Zhang, Y. Relationship between the gas hydrate suppression temperature and water activity in the presence of thermodynamic hydrate inhibitor. Fuel 2020, 264, 116776. [Google Scholar] [CrossRef]
- Lim, V.W.S.; Metaxas, P.J.; Johns, M.L.; Aman, Z.M.; May, E.F. The impact of mono-ethylene glycol and kinetic inhibitors on methane hydrate formation. Chem. Eng. J. 2022, 427, 131531. [Google Scholar] [CrossRef]










| Material Name | Parameters | Source |
|---|---|---|
| Quartz sand | Grain size, 15–53 μm | Oceanic quartz sand factory, Zhengzhou, China |
| Deionized water | Conductivity, 0.5 mS/m | Laboratory configuration |
| Methane gas | 99.9% purity | Qingdao Lu Dong gas Co., Qingdao, China |
| EG | 99.9% purity, freezing point −25 °C | Sinopharm chemical reagent Co., Qingdao, China |
| NaCl | 99.9% purity | Sinopharm chemical reagent Co., Qingdao, China |
| Type of Chemical Reagent | Experimental Grouping | Mass Fraction of NaCl and Mass Ratio of the Water–Alcohol | Initial Temperature (K) | Initial Pressure (MPa) |
|---|---|---|---|---|
| H2O | Test 1-H | 100% | 298.15 K | 10 MPa |
| NaCl | Test 2-N 1.5 wt% | 1.5 wt% | ||
| Test 3-N 2.65 wt% | 2.65 wt% | |||
| Test 4-N 3.5 wt% | 3.5 wt% | |||
| EG | Test 5-H3E1 | H2O:EG = 3:1 | ||
| Test 6-H5E1 | H2O:EG = 5:1 | |||
| Test 7-H7E1 | H2O:EG = 7:1 | |||
| NaCl + EG | Test 8-N1.5-H3E1 | NaCl 1.5 wt% + (H2O:EG = 3:1) | ||
| Test 9-N1.5-H5E1 | NaCl 1.5 wt% + (H2O:EG = 5:1) | |||
| Test 10-N1.5-H7E1 | NaCl 1.5 wt% + (H2O:EG = 7:1) | |||
| Test 11-N2.65-H3E1 | NaCl 2.65 wt% + (H2O:EG = 3:1) | |||
| Test 12-N2.65-H5E1 | NaCl 2.65 wt% + (H2O:EG = 5:1) | |||
| Test 13-N2.65-H7E1 | NaCl 2.65 wt% + (H2O:EG = 7:1) | |||
| Test 14-N3.5-H3E1 | NaCl 3.5 wt% + (H2O:EG = 3:1) | |||
| Test 15-N3.5-H5E1 | NaCl 3.5 wt% + (H2O:EG = 5:1) | |||
| Test 16-N3.5-H7E1 | NaCl 3.5 wt% + (H2O:EG = 7:1) |
| Type of Chemical Reagent | Stabilizing Pressure (MPa) | Amplitude of Warming (K) | (cm3) | ||||
|---|---|---|---|---|---|---|---|
| Test 1-H | 1.46 | 3.6 | 2.79 | 0.17 | 95.02 | 354.60 | 66.93 |
| Test 2-N1.5 wt% | 4.54 | 3.3 | 2.31 | 0.14 | 83.19 | 293.82 | 55.46 |
| Test 3-N2.65 wt% | 5.15 | 2.7 | 2.03 | 0.12 | 74.35 | 258.04 | 48.71 |
| Test 4-N3.5 wt% | 5.24 | 2.6 | 1.99 | 0.12 | 71.65 | 252.82 | 47.72 |
| Test 5-H3E1 | 6.02 | 1.9 | 1.60 | 0.10 | 58.61 | 203.42 | 38.39 |
| Test 6-H5E1 | 5.14 | 2.7 | 2.03 | 0.12 | 74.35 | 258.04 | 47.71 |
| Test 7-H7E1 | 4.85 | 3.1 | 2.17 | 0.13 | 79.46 | 275.64 | 52.05 |
| Test 8-N1.5-H3E1 | 6.28 | 1.6 | 1.49 | 0.09 | 54.41 | 188.82 | 35.64 |
| Test 9-N1.5-H5E1 | 6.29 | 1.6 | 1.47 | 0.09 | 53.68 | 186.30 | 35.16 |
| Test 10-N1.5-H7E1 | 4.97 | 3.0 | 2.11 | 0.13 | 77.46 | 268.85 | 50.74 |
| Test 11-N2.65-H3E1 | 6.35 | 1.5 | 1.45 | 0.09 | 53.13 | 184.40 | 34.81 |
| Test 12-N2.65-H5E1 | 5.37 | 2.5 | 1.93 | 0.12 | 70.56 | 244.87 | 46.22 |
| Test 13-N2.65-H7E1 | 5.24 | 2.6 | 1.99 | 0.12 | 72.80 | 252.67 | 47.69 |
| Test 14-N3.5-H3E1 | - | - | - | - | - | - | - |
| Test 15-N3.5-H5E1 | 6.01 | 1.9 | 1.62 | 0.10 | 59.28 | 203.42 | 38.83 |
| Test 16-N3.5-H7E1 | 5.37 | 2.5 | 1.93 | 0.12 | 70.56 | 244.27 | 46.22 |
Disclaimer/Publisher’s Note: The statements, opinions and data contained in all publications are solely those of the individual author(s) and contributor(s) and not of MDPI and/or the editor(s). MDPI and/or the editor(s) disclaim responsibility for any injury to people or property resulting from any ideas, methods, instructions or products referred to in the content. |
© 2024 by the authors. Licensee MDPI, Basel, Switzerland. This article is an open access article distributed under the terms and conditions of the Creative Commons Attribution (CC BY) license (https://creativecommons.org/licenses/by/4.0/).
Share and Cite
Luan, H.; Liu, M.; Shan, Q.; Jiang, Y.; Yan, P.; Du, X. Experimental Study on the Effect of Mixed Thermodynamic Inhibitors with Different Concentrations on Natural Gas Hydrate Synthesis. Energies 2024, 17, 2078. https://doi.org/10.3390/en17092078
Luan H, Liu M, Shan Q, Jiang Y, Yan P, Du X. Experimental Study on the Effect of Mixed Thermodynamic Inhibitors with Different Concentrations on Natural Gas Hydrate Synthesis. Energies. 2024; 17(9):2078. https://doi.org/10.3390/en17092078
Chicago/Turabian StyleLuan, Hengjie, Mingkang Liu, Qinglin Shan, Yujing Jiang, Peng Yan, and Xiaoyu Du. 2024. "Experimental Study on the Effect of Mixed Thermodynamic Inhibitors with Different Concentrations on Natural Gas Hydrate Synthesis" Energies 17, no. 9: 2078. https://doi.org/10.3390/en17092078
APA StyleLuan, H., Liu, M., Shan, Q., Jiang, Y., Yan, P., & Du, X. (2024). Experimental Study on the Effect of Mixed Thermodynamic Inhibitors with Different Concentrations on Natural Gas Hydrate Synthesis. Energies, 17(9), 2078. https://doi.org/10.3390/en17092078

