Data-Based In-Cylinder Pressure Model with Cyclic Variations for Combustion Control: An RCCI Engine Application †
Abstract
1. Introduction
1.1. Control Challenges for Advanced Combustion Concepts
1.2. Control-Oriented Combustion Modelling
- Physics-based models, that use first-principle physical relations to capture combustion behaviour;
- Data-based models, that use black-box modelling methods, where measurements are used to create a mapping from input to output.
1.2.1. Physics-Based Combustion Models
1.2.2. Data-Based Combustion Models
1.3. Research Objective and Main Contributions
2. Single-Cylinder Engine Test Bench
2.1. System Description
2.2. Data Set for Model Training and Validation
- Total injected energywhere and are the injected masses of PFI and DI fuels, and and are the lower heating values of the PFI and DI fuels;
- Energy-based blend ratio
- Start of injection of the directly injected fuel ;
- Pressure at the intake manifold ;
- Temperature at the intake manifold ;
- EGR ratiowith and the concentrations of as a fraction of the volume flow at the intake and exhaust, respectively.
3. Combustion Model
3.1. Principal Component Decomposition of the In-Cylinder Pressure
3.2. Gaussian Process Regression to Capture Effects of In-Cylinder Conditions
3.3. Reconstructing the In-Cylinder Pressure with Cycle-to-Cycle Variation
4. Combustion Model Identification
- gross indicated mean effective pressure,with displacement volume ;
- peak pressure, ;
- peak pressure rise rate, ;
- burn duration, , with CA75 and CA25 computed in a similar fashion to CA50;
- burn ratio,
4.1. Selection of Principal Components
4.2. Selection of Kernel
- square exponential (SE):with the set of hyperparameters ;
- Matérn with :with the set of hyperparameters ;
- Matérn with :with the set of hyperparameters ;
- rational quadratic (RQ):with the set of hyperparameters .
5. Validation of the Prediction Quality of the Combustion Model
5.1. Overall Prediction Quality
5.2. Variation in Start-of-Injection of Directly Injected Fuel
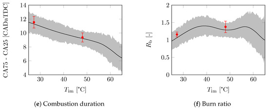
5.3. Variation in Intake Manifold Temperature
5.4. Discussion on the GPR Modelling of Cycle-to-Cycle Variation
6. Conclusions
Author Contributions
Funding
Data Availability Statement
Acknowledgments
Conflicts of Interest
References
- Leach, F.; Kalghatgi, G.; Stone, R.; Miles, P. The Scope for Improving the Efficiency and Environmental Impact of Internal Combustion Engines. Transp. Eng. 2020, 1, 100005. [Google Scholar] [CrossRef]
- Duarte Souza Alvarenga Santos, N.; Rückert Roso, V.; Teixeira Malaquias, A.C.; Coelho Baêta, J.G. Internal Combustion Engines and Biofuels: Examining Why This Robust Combination Should Not Be Ignored for Future Sustainable Transportation. Renew. Sustain. Energy Rev. 2021, 148, 111292. [Google Scholar] [CrossRef]
- Benajes, J.; García, A.; Monsalve-Serrano, J.; Guzmán-Mendoza, M. A Review on Low Carbon Fuels for Road Vehicles: The Good, the Bad and the Energy Potential for the Transport Sector. Fuel 2024, 361, 130647. [Google Scholar] [CrossRef]
- Dempsey, A.B.; Walker, N.R.; Gingrich, E.; Reitz, R.D. Comparison of Low Temperature Combustion Strategies for Advanced Compression Ignition Engines with a Focus on Controllability. Combust. Sci. Technol. 2014, 186, 210–241. [Google Scholar] [CrossRef]
- Kokjohn, S.L.; Hanson, R.M.; Splitter, D.A.; Reitz, R.D. Fuel Reactivity Controlled Compression Ignition (RCCI): A Pathway to Controlled High-Efficiency Clean Combustion. Int. J. Engine Res. 2011, 12, 209–226. [Google Scholar] [CrossRef]
- Reitz, R.D.; Duraisamy, G. Review of High Efficiency and Clean Reactivity Controlled Compression Ignition (RCCI) Combustion in Internal Combustion Engines. Prog. Energy Combust. Sci. 2015, 46, 12–71. [Google Scholar] [CrossRef]
- Li, J.; Yang, W.; Zhou, D. Review on the Management of RCCI Engines. Renew. Sustain. Energy Rev. 2017, 69, 65–79. [Google Scholar] [CrossRef]
- Paykani, A.; Garcia, A.; Shahbakhti, M.; Rahnama, P.; Reitz, R.D. Reactivity Controlled Compression Ignition Engine: Pathways towards Commercial Viability. Appl. Energy 2021, 282, 116174. [Google Scholar] [CrossRef]
- Willems, F. Is Cylinder Pressure-Based Control Required to Meet Future HD Legislation? IFAC-PapersOnLine 2018, 51, 111–118. [Google Scholar] [CrossRef]
- Vlaswinkel, M.; Willems, F. Cylinder Pressure Feedback Control for Ideal Thermodynamic Cycle Tracking: Towards Self-learning Engines. IFAC-PapersOnLine 2023, 56, 8260–8265. [Google Scholar] [CrossRef]
- Khodadadi Sadabadi, K.; Shahbakhti, M.; Bharath, A.N.; Reitz, R.D. Modeling of Combustion Phasing of a Reactivity-Controlled Compression Ignition Engine for Control Applications. Int. J. Engine Res. 2016, 17, 421–435. [Google Scholar] [CrossRef]
- Guardiola, C.; Pla, B.; Bares, P.; Barbier, A. A Combustion Phasing Control-Oriented Model Applied to an RCCI Engine. IFAC-PapersOnLine 2018, 51, 119–124. [Google Scholar] [CrossRef]
- Raut, A.; Irdmousa, B.K.; Shahbakhti, M. Dynamic Modeling and Model Predictive Control of an RCCI Engine. Control. Eng. Pract. 2018, 81, 129–144. [Google Scholar] [CrossRef]
- Sui, W.; González, J.P.; Hall, C.M. Combustion Phasing Modelling of Dual Fuel Engines. IFAC-PapersOnLine 2018, 51, 319–324. [Google Scholar] [CrossRef]
- Irdmousa, B.K.; Rizvi, S.Z.; Veini, J.M.; Nabert, J.D.; Shahbakhti, M. Data-Driven Modeling and Predictive Control of Combustion Phasing for RCCI Engines. In Proceedings of the 2019 American Control Conference (ACC), Philadelphia, PA, USA, 10–12 July 2019; pp. 1617–1622. [Google Scholar] [CrossRef]
- Kakoee, A.; Bakhshan, Y.; Barbier, A.; Bares, P.; Guardiola, C. Modeling Combustion Timing in an RCCI Engine by Means of a Control Oriented Model. Control Eng. Pract. 2020, 97, 104321. [Google Scholar] [CrossRef]
- Bekdemir, C.; Baert, R.; Willems, F.; Somers, B. Towards Control-Oriented Modeling of Natural Gas-Diesel RCCI Combustion. In Proceedings of the SAE 2015 World Congress & Exhibition, London, UK, 21 April 2015. [Google Scholar] [CrossRef]
- Klos, D.; Kokjohn, S.L. Investigation of the Sources of Combustion Instability in Low-Temperature Combustion Engines Using Response Surface Models. Int. J. Engine Res. 2015, 16, 419–440. [Google Scholar] [CrossRef]
- Xia, L.; de Jager, B.; Donkers, T.; Willems, F. Robust Constrained Optimization for RCCI Engines Using Nested Penalized Particle Swarm. Control. Eng. Pract. 2020, 99, 104411. [Google Scholar] [CrossRef]
- Basina, L.N.A.; Irdmousa, B.K.; Velni, J.M.; Borhan, H.; Naber, J.D.; Shahbakhti, M. Data-Driven Modeling and Predictive Control of Maximum Pressure Rise Rate in RCCI Engines. In Proceedings of the 2020 IEEE Conference on Control Technology and Applications (CCTA), Montreal, QC, Canada, 24–26 August 2020; pp. 94–99. [Google Scholar] [CrossRef]
- Verhaegh, J.; Kupper, F.; Willems, F. Data-Driven Air-Fuel Path Control Design for Robust RCCI Engine Operation. Energies 2022, 15, 2018. [Google Scholar] [CrossRef]
- Pan, W.; Korkmaz, M.; Beeckmann, J.; Pitsch, H. Unsupervised Learning and Nonlinear Identification for In-Cylinder Pressure Prediction of Diesel Combustion Rate Shaping Process. In Proceedings of the 13th IFAC Workshop on Adaptive and Learning Control Systems ALCOS, Winchester, UK, 4–6 December 2019; Volume 52, pp. 199–203. [Google Scholar] [CrossRef]
- Vlaswinkel, M.; De Jager, B.; Willems, F. Data-Based In-Cylinder Pressure Model Including Cyclic Variations of an RCCI Engine. IFAC-PapersOnLine 2022, 55, 13–18. [Google Scholar] [CrossRef]
- Mishra, C.; Subbarao, P. Design, Development and Testing a Hybrid Control Model for RCCI Engine Using Double Wiebe Function and Random Forest Machine Learning. Control Eng. Pract. 2021, 113, 104857. [Google Scholar] [CrossRef]
- Henningsson, M.; Tunestål, P.; Johansson, R. A Virtual Sensor for Predicting Diesel Engine Emissions from Cylinder Pressure Data. IFAC Proc. Vol. 2012, 45, 424–431. [Google Scholar] [CrossRef]
- Panzani, G.; Ostman, F.; Onder, C.H. Engine Knock Margin Estimation Using In-Cylinder Pressure Measurements. IEEE/ASME Trans. Mechatron. 2017, 22, 301–311. [Google Scholar] [CrossRef]
- Panzani, G.; Pozzato, G.; Savaresi, S.M.; Rösgren, J.; Onder, C.H. Engine Knock Detection: An Eigenpressure Approach. IFAC-PapersOnLine 2019, 52, 267–272. [Google Scholar] [CrossRef]
- Rasmussen, C.E.; Williams, C.K.I. Gaussian Processes for Machine Learning; The MIT Press: Cambridge, MA, USA, 2005. [Google Scholar] [CrossRef]
- Eriksson, L.; Thomasson, A. Cylinder State Estimation from Measured Cylinder Pressure Traces—A Survey * This Project Was Financed by the VINNOVA Industry Excellence Center LINK-SIC. IFAC-PapersOnLine 2017, 50, 11029–11039. [Google Scholar] [CrossRef]
- Wilhelmsson, C.; Tunestål, P.; Johansson, B. Model Based Engine Control Using ASICs: A Virtual Heat Release Sensor; Institut Francais du Petrole: Rueil-Malmaison, France, 2006. [Google Scholar]










| Parameter | Value |
|---|---|
| PFI fuel | E85 |
| DI fuel | Diesel (EN590) |
| Compression ratio | 17.2 |
| Intake valve closure | −173° CA aTDC |
| Exhaust valve opening | 146° CA aTDC |
| Engine speed | 1200 rpm |
| Oil temperature | 90 °C |
| Coolant temperature | 87 °C |
| Without ARD | With ARD | ||||||||
|---|---|---|---|---|---|---|---|---|---|
| SE | Matérn | Matérn | RQ | SE | Matérn | Matérn | RQ | ||
| [bar] | 0.2255 | 0.2061 | 0.2088 | 0.2330 | 0.4161 | 0.2489 | 0.3006 | 0.2769 | |
| [bar] | 2.4564 | 1.6567 | 1.8007 | 1.9383 | 2.5273 | 1.6653 | 2.0811 | 2.1632 | |
| [bar/CAD] | 0.8269 | 0.7880 | 0.7962 | 0.7896 | 0.7546 | 0.7515 | 0.7987 | 0.7724 | |
| CA50 [CAD] | 0.6121 | 0.5499 | 0.5591 | 0.5489 | 0.9507 | 0.5580 | 0.5258 | 0.5323 | |
| [CAD] | 0.7178 | 0.6795 | 0.6884 | 0.6570 | 0.9371 | 0.5712 | 0.6364 | 0.5554 | |
| [-] | 0.1456 | 0.1407 | 0.1403 | 0.1325 | 0.2616 | 0.1239 | 0.1669 | 0.1284 | |
| Without ARD | With ARD | ||||||||
|---|---|---|---|---|---|---|---|---|---|
| SE | Matérn | Matérn | RQ | SE | Matérn | Matérn | RQ | ||
| [bar] | 0.4775 | 0.3280 | 0.3770 | 0.3685 | 0.4960 | 0.4426 | 0.4113 | 0.4210 | |
| [bar] | 1.6716 | 0.9952 | 1.2239 | 1.1792 | 1.7561 | 1.4948 | 1.3761 | 1.4194 | |
| [bar/CAD] | 0.1177 | 0.1183 | 0.1152 | 0.1116 | 0.1288 | 0.1461 | 0.1571 | 0.1466 | |
| CA50 [CAD] | 0.2806 | 0.2261 | 0.2379 | 0.2448 | 0.2664 | 0.2276 | 0.2533 | 0.2329 | |
| [CAD] | 0.6130 | 0.5248 | 0.5424 | 0.5327 | 0.5144 | 0.4510 | 0.4930 | 0.4740 | |
| [-] | 0.1340 | 0.1296 | 0.1340 | 0.1355 | 0.2616 | 0.1393 | 0.1518 | 0.1584 | |
| This Work | [11] | [12] | [13] | [18] | [20] | [24] | |
|---|---|---|---|---|---|---|---|
| [bar] | 0.21 | - | - | 0.43 | 0.22 | 0.033 | 0.008 |
| [bar] | 1.66 | - | - | - | - | - | 0.20 |
| [bar/CAD] | 0.79 | - | - | - | 6.4 | 0.015 | 0.71 |
| CA50 [CAD] | 0.6 | 0.3 | 0.36 | 1.0 | 0.22 | 0.7 | 0.2 |
| [CAD] | 0.7 | 0.2 | - | - | 2.4 | - | - |
| [-] | 0.14 | - | - | - | - | - | - |
| Parameter | Value |
|---|---|
| 75 | |
| 50 | |
| 8 | |
| Kernel | Matérn with |
| Mean Behaviour | Cycle-to-Cycle Variation | ||||||
|---|---|---|---|---|---|---|---|
| Mean | Minimum | Maximum | Mean | Minimum | Maximum | ||
| [bar] | 0.051 | −0.40 | 0.59 | ||||
| [bar2] | 0.24 | 0.10 | 0.56 | ||||
| 2.3% | −15.9% | 31.3% | 65.6% | 7.4% | 89.0% | ||
| CA50 | −3.9% | −39.5% | 17.9% | 21.5% | −40.3% | 54.7% | |
| −0.5% | −24.7% | 12.4% | 56.0% | 37.5% | 68.5% | ||
| −1.2% | −21.6% | 16.6% | 57.0% | 18.8% | 79.1% | ||
| 0.4% | −5.9% | 4.7% | 37.0% | −3.4% | 84.5% | ||
| −22.7% | −48.1% | −7.2% | −85.1% | −252.6% | 39.5% | ||
Disclaimer/Publisher’s Note: The statements, opinions and data contained in all publications are solely those of the individual author(s) and contributor(s) and not of MDPI and/or the editor(s). MDPI and/or the editor(s) disclaim responsibility for any injury to people or property resulting from any ideas, methods, instructions or products referred to in the content. |
© 2024 by the authors. Licensee MDPI, Basel, Switzerland. This article is an open access article distributed under the terms and conditions of the Creative Commons Attribution (CC BY) license (https://creativecommons.org/licenses/by/4.0/).
Share and Cite
Vlaswinkel, M.; Willems, F. Data-Based In-Cylinder Pressure Model with Cyclic Variations for Combustion Control: An RCCI Engine Application. Energies 2024, 17, 1881. https://doi.org/10.3390/en17081881
Vlaswinkel M, Willems F. Data-Based In-Cylinder Pressure Model with Cyclic Variations for Combustion Control: An RCCI Engine Application. Energies. 2024; 17(8):1881. https://doi.org/10.3390/en17081881
Chicago/Turabian StyleVlaswinkel, Maarten, and Frank Willems. 2024. "Data-Based In-Cylinder Pressure Model with Cyclic Variations for Combustion Control: An RCCI Engine Application" Energies 17, no. 8: 1881. https://doi.org/10.3390/en17081881
APA StyleVlaswinkel, M., & Willems, F. (2024). Data-Based In-Cylinder Pressure Model with Cyclic Variations for Combustion Control: An RCCI Engine Application. Energies, 17(8), 1881. https://doi.org/10.3390/en17081881

