On the Effect of Nonlinear Damping Sources in Output-Only Identification Methods Applied to Floating Wind Turbines
Abstract
1. Introduction
2. Theoretical Background
3. Methods for Modal Identification
3.1. Logarithmic Decay Method
3.2. Stochastic Subspace Identification
4. Simplified Single Degree of Freedom Model
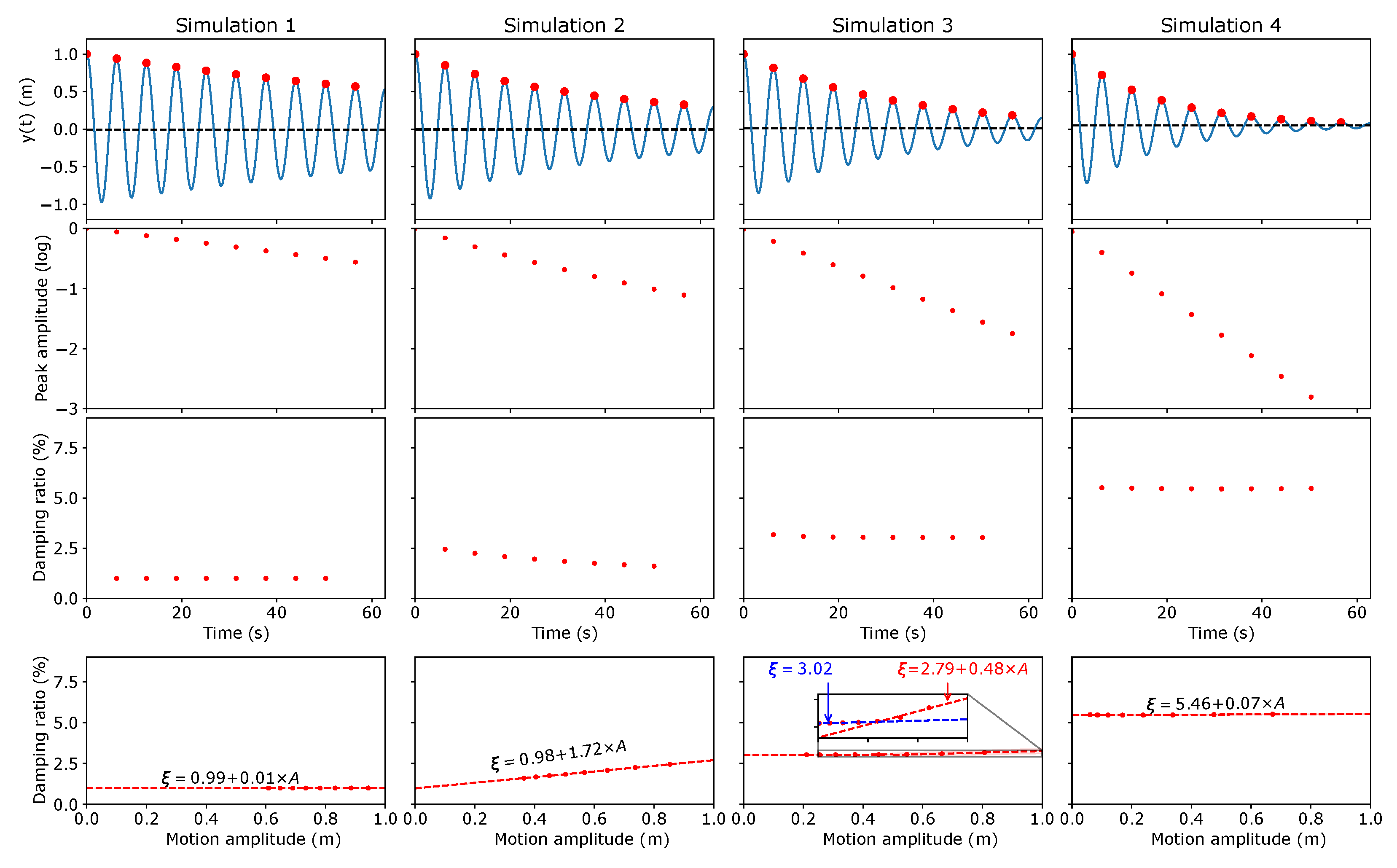
- Simulation 1: , , m/s
- Simulation 2: , , m/s
- Simulation 3: , , m/s
- Simulation 4: , , m/s
4.1. Free-Decay Analysis
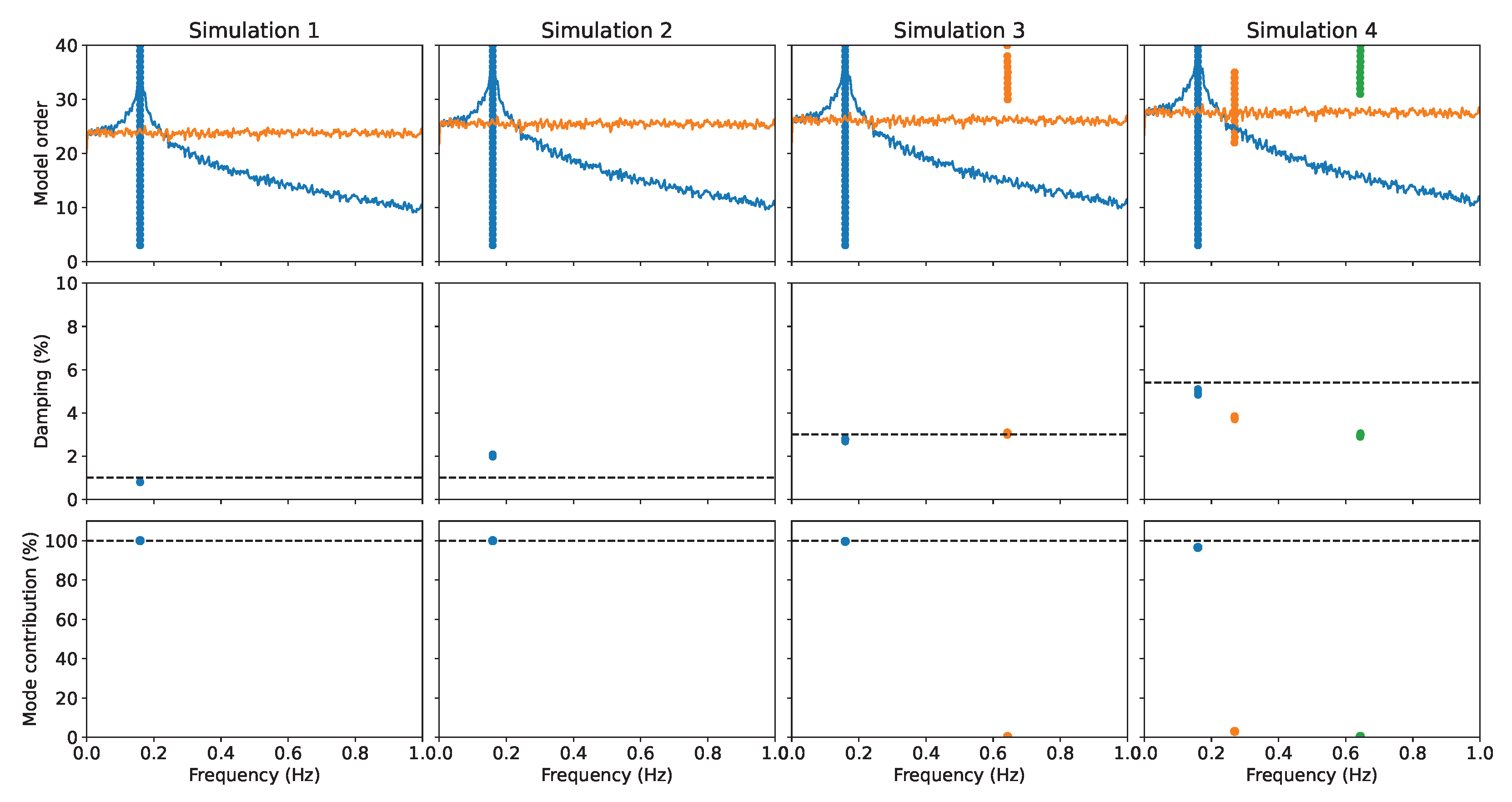
4.2. Stochastic Excitation
5. Numerical Validation with Full Aeroelastic Simulations
5.1. Numerical Model Description
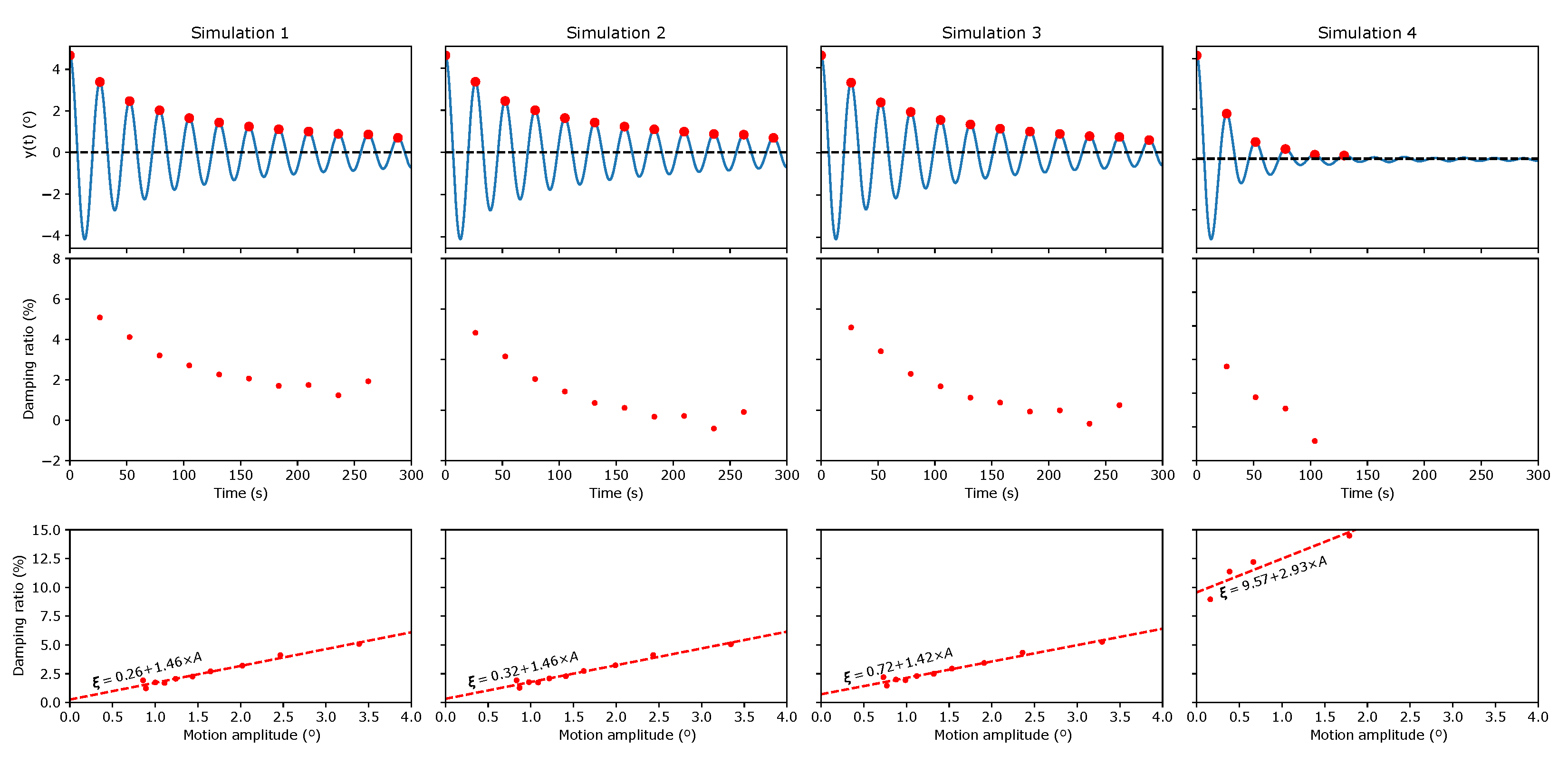
5.2. Free-Decay Analysis
- Simulation 1: reference scenario without currents nor wind;
- Simulation 2: sea current with a velocity of 0.25 m/s, no wind;
- Simulation 3: 3 m/s steady wind field, parked rotor;
- Simulation 4: 22 m/s steady wind field, normal-operation rotor with a constant angular velocity of 12.1 RPM (revolutions per minute).
5.3. Stochastic Excitation
- Wind field 1: 2.5 m/s mean wind speed with a 10% turbulence intensity;
- Wind field 2: 2.5 m/s mean wind speed with a 26% turbulence intensity;
- Wind field 3: 6.5 m/s mean wind speed with a 10% turbulence intensity.
6. Conclusions
Author Contributions
Funding
Data Availability Statement
Conflicts of Interest
Abbreviations
| DBSCAN | Density-based spatial clustering of applications with noise |
| NREL | National Renewable Energy Laboratory |
| RPM | Revolutions per minute |
| SSI-COV | Covariance-driven stochastic subspace identification |
References
- Magalhães, F.; Cunha, A. Explaining operational modal analysis with data from an arch bridge. Mech. Syst. Signal Process. 2011, 25, 1431–1450. [Google Scholar] [CrossRef]
- Zhang, L.; Brincker, R. An Overview of Operational Modal Analysis: Major Development and Issues. In Proceedings of the International Modal Analysis Conference, Copenhagen, Denmark, 26–27 April 2005. [Google Scholar]
- Rainieri, C.; Fabbrocino, G. Output-only Modal Identification BT. In Operational Modal Analysis of Civil Engineering Structures: An Introduction and Guide for Applications; Springer: New York, NY, USA, 2014; pp. 103–210. [Google Scholar] [CrossRef]
- Devriendt, C.; Magalhães, F.; Weijtjens, W.; Sitter, G.D.; Cunha, A.; Guillaume, P. Structural health monitoring of offshore wind turbines using automated operational modal analysis. Struct. Health Monit. 2014, 13, 644–659. [Google Scholar] [CrossRef]
- Weijtjens, W.; Verbelen, T.; De Sitter, G.; Devriendt, C. Foundation structural health monitoring of an offshore wind turbine—A full-scale case study. Struct. Health Monit. 2015, 15, 389–402. [Google Scholar] [CrossRef]
- Xu, M.; Au, F.T.K.; Wang, S.; Wang, Z.; Peng, Q.; Tian, H. Dynamic response analysis of a real-world operating offshore wind turbine under earthquake excitations. Ocean Eng. 2022, 266, 112791. [Google Scholar] [CrossRef]
- Hines, E.M.; Baxter, C.D.P.; Ciochetto, D.; Song, M.; Sparrevik, P.; Meland, H.J.; Strout, J.M.; Bradshaw, A.; Hu, S.L.; Basurto, J.R.; et al. Structural instrumentation and monitoring of the Block Island Offshore Wind Farm. Renew. Energy 2023, 202, 1032–1045. [Google Scholar] [CrossRef]
- Ruzzo, C.; Failla, G.; Collu, M.; Nava, V.; Fiamma, V.; Arena, F. Operational Modal Analysis of a Spar-Type Floating Platform Using Frequency Domain Decomposition Method. Energies 2016, 9, 870. [Google Scholar] [CrossRef]
- Ruzzo, C.; Failla, G.; Collu, M.; Nava, V.; Fiamma, V.; Arena, F. Output-only identification of rigid body motions of floating structures: A case study. Procedia Eng. 2017, 199, 930–935. [Google Scholar] [CrossRef]
- Pimenta, F.; Ribeiro, D.; Román, A.; Magalhães, F. Modal properties of floating wind turbines: Analytical study and operational modal analysis of an utility-scale wind turbine. Eng. Struct. 2024, 301, 117367. [Google Scholar] [CrossRef]
- Peeters, B.; De Roeck, G. Reference-based stochastic subspace identification for output-only modal analysis. Mech. Syst. Signal Process. 1999, 13, 855–878. [Google Scholar] [CrossRef]
- Van Overschee, P.; De Moor, B. Subspace Identification for Linear Systems: Theory, Implementation, Applications; Springer: New York, NY, USA, 2012. [Google Scholar]
- Falzarano, J.M.; Clague, R.E.; Kota, R.S. Application of Nonlinear Normal Mode Analysis to the Nonlinear and Coupled Dynamics of a Floating Offshore Platform with Damping. Nonlinear Dyn. 2001, 25, 255–274. [Google Scholar] [CrossRef]
- Liagre, P.F.; Niedzwecki, J.M. Estimating nonlinear coupled frequency-dependent parameters in offshore engineering. Appl. Ocean Res. 2003, 25, 1–19. [Google Scholar] [CrossRef]
- Al-hababi, T.; Cao, M.; Saleh, B.; Alkayem, N.F.; Xu, H. A Critical Review of Nonlinear Damping Identification in Structural Dynamics: Methods, Applications, and Challenges. Sensors 2020, 20, 7303. [Google Scholar] [CrossRef] [PubMed]
- Colin, M.; Thomas, O.; Grondel, S.; Cattan, E. Very large amplitude vibrations of flexible structures: Experimental identification and validation of a quadratic drag damping model. J. Fluids Struct. 2020, 97, 103056. [Google Scholar] [CrossRef]
- Géradin, M.; Rixen, D.J. Mechanical Vibrations: Theory and Application to Structural Dynamics; John Wiley & Sons: Hoboken, NJ, USA, 2014. [Google Scholar]
- Anderson, J.D. Fundamentals of Aerodynamics, 6th ed.; Aeronautical and Aerospace Engineering Series; McGraw-Hill: New York, NY, USA, 2001. [Google Scholar]
- Elliott, S.J.; Tehrani, M.G.; Langley, R.S. Nonlinear damping and quasi-linear modelling. Philos. Trans. R. Soc. A Math. Phys. Eng. Sci. 2015, 373, 20140402. [Google Scholar] [CrossRef] [PubMed]
- Kerschen, G.; Worden, K.; Vakakis, A.F.; Golinval, J.C. Past, present and future of nonlinear system identification in structural dynamics. Mech. Syst. Signal Process. 2006, 20, 505–592. [Google Scholar] [CrossRef]
- Jeary, A.P. Damping in tall buildings—A mechanism and a predictor. Earthq. Eng. Struct. Dyn. 1986, 14, 733–750. [Google Scholar] [CrossRef]
- Jeary, A.P. The description and measurement of nonlinear damping in structures. J. Wind Eng. Ind. Aerodyn. 1996, 59, 103–114. [Google Scholar] [CrossRef]
- Overschee, P.V.; Moor, B.D. Subspace Identification for Linear Systems; Kluwer Academic Publishers: Leuven, Belgium, 1996. [Google Scholar]
- Quallen, S.; Xing, T. CFD simulation of a floating offshore wind turbine system using a variable-speed generator-torque controller. Renew. Energy 2016, 97, 230–242. [Google Scholar] [CrossRef]
- Magalhães, F. Operational Modal Analysis for Testing and Monitoring of Bridges and Special Structures. Ph.D. Thesis, Faculty of Engineering of the University of Porto, Porto, Portugal, 2010. [Google Scholar]
- Ester, M.; Kriegel, H.P.; Sander, J.; Xu, X. A density-based algorithm for discovering clusters in large spatial databases with noise. In Proceedings of the Second International Conference on Knowledge Discovery and Data Mining, Portland, OR, USA, 2–4 August 1996; KDD’96. pp. 226–231. [Google Scholar]
- Jonkman, J.; Butterfield, S.; Musial, W.; Scott, G. Definition of a 5-MW Reference Wind Turbine for Offshore System Development; Technical Report 38060; National Renewable Energy Lab. (NREL): Golden, CO, USA, 2009. [Google Scholar] [CrossRef]
- Robertson, A.; Jonkman, J.; Masciola, M.; Song, H.; Goupee, A.; Coulling, A.; Luan, C. Definition of the Semisubmersible Floating System for Phase II of OC4; Technical Report 60601; National Renewable Energy Lab. (NREL): Golden, CO, USA, 2014. [Google Scholar] [CrossRef]
- Jonkman, B.J.; Buhl, M.L., Jr. TurbSim User’s Guide; Technical Report 39797; National Renewable Energy Laboratory: Golden, CO, USA, 2006. [Google Scholar]
- Hall, M. MoorDyn User’s Guide; Technical Report; Department of Mechanical Engineering, University of Maine: Orono, ME, USA, 2015. [Google Scholar]
- Pimenta, F.; Ruzzo, C.; Failla, G.; Arena, F.; Alves, M.; Magalhães, F. Dynamic Response Characterization of Floating Structures Based on Numerical Simulations. Energies 2020, 13, 5670. [Google Scholar] [CrossRef]












Disclaimer/Publisher’s Note: The statements, opinions and data contained in all publications are solely those of the individual author(s) and contributor(s) and not of MDPI and/or the editor(s). MDPI and/or the editor(s) disclaim responsibility for any injury to people or property resulting from any ideas, methods, instructions or products referred to in the content. |
© 2024 by the authors. Licensee MDPI, Basel, Switzerland. This article is an open access article distributed under the terms and conditions of the Creative Commons Attribution (CC BY) license (https://creativecommons.org/licenses/by/4.0/).
Share and Cite
Pimenta, F.; Pedrelli, V.L.; Vanelli, T.; Magalhães, F. On the Effect of Nonlinear Damping Sources in Output-Only Identification Methods Applied to Floating Wind Turbines. Energies 2024, 17, 1671. https://doi.org/10.3390/en17071671
Pimenta F, Pedrelli VL, Vanelli T, Magalhães F. On the Effect of Nonlinear Damping Sources in Output-Only Identification Methods Applied to Floating Wind Turbines. Energies. 2024; 17(7):1671. https://doi.org/10.3390/en17071671
Chicago/Turabian StylePimenta, Francisco, Vitor Liotto Pedrelli, Thea Vanelli, and Filipe Magalhães. 2024. "On the Effect of Nonlinear Damping Sources in Output-Only Identification Methods Applied to Floating Wind Turbines" Energies 17, no. 7: 1671. https://doi.org/10.3390/en17071671
APA StylePimenta, F., Pedrelli, V. L., Vanelli, T., & Magalhães, F. (2024). On the Effect of Nonlinear Damping Sources in Output-Only Identification Methods Applied to Floating Wind Turbines. Energies, 17(7), 1671. https://doi.org/10.3390/en17071671

