Power Flow Regulation Effect and Parameter Design Method of Phase-Shifting Transformer
Abstract
1. Introduction
2. Power Flow Regulation Mechanism of PSTs
2.1. The Influence of Phase-Shifting Transformer on Line Power Flow
2.2. Classification of Phase-Shifting Transformers
2.3. Load Circuit Model of Phase-Shifting Transformer
3. Design of Key Parameters for Phase-Shifting Transformers
3.1. Phase Shift Angle of a Phase-Shifting Transformer
3.2. Main Electrical Parameters of Phase-Shifting Transformer
3.3. Configuration of Winding Turns for Phase-Shifting Transformers
4. Simulation of 500 kv Tie Line Power Flow Regulation
4.1. Typical Scenario Trend Regulation Requirements
4.2. Parameter Design and Performance Verification of Phase-Shifting Transformers
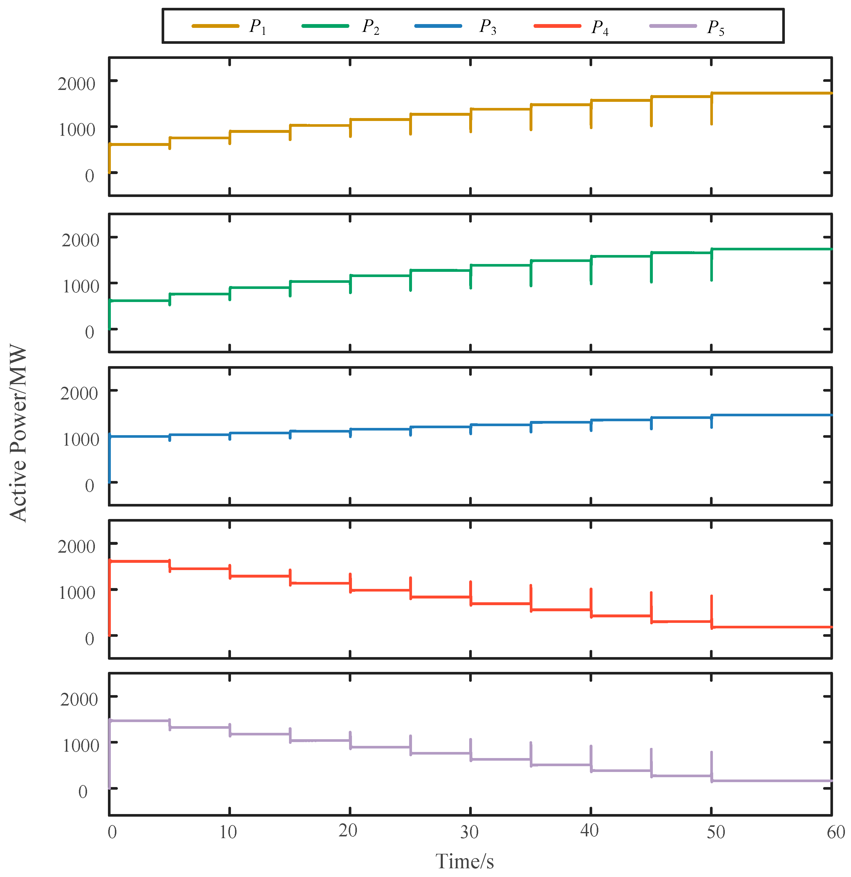
4.3. Simulation of Power Flow Optimization for Phase-Shifting Transformers
5. Conclusions and Prospectives
- (1)
- A PST injects a compensating voltage to change the voltage phase difference of the line, thereby regulating the power flow of the line. The double core symmetrical controllable phase-shifting transformer is most suitable for networks above 500 kV. Considering the influence of its internal impedance, it may cause a certain deviation in the output phase-shifting angle. Therefore, it is important to leave a certain margin in the design or eliminate this influence through the design of the transformer ratio.
- (2)
- A specific calculation method for the key parameters of the load model based on PST is proposed. In addition, the number of turns of the regulating winding has been optimized to ensure that the phase shift angle corresponding to each tap is the same, which facilitates equipment design and control strategy formulation. On this basis, Simulink simulation software is used for modeling and simulation. The output performance of the PST designed is tested, and the results show that, under the condition of advanced adjustment, the maximum phase shift error is only 0.26°. Under the condition of lag adjustment, the maximum phase shift error is −0.39°. If the internal impedance of the PST is not calculated, the maximum phase shift errors of 2.67° and −2.70° will be explained, respectively. From the results, it can be seen that the parameter calculation method proposed in this article can effectively reduce the adjustment error of the PST.
- (3)
- A simulation of power flow regulation is conducted in a typical 500 kV network scenario. In order to simplify the system model, the system was equivalent to a dual power system. After adding PSTs, the load rate of heavy-duty lines can be reduced, avoiding the risk of overload that may occur in DC line bipolar blocking and N-1 fault situations, thereby improving the utilization rate of light load lines. The imbalance of the line flow is greatly reduced. The application of a PST meets the needs of power grid flow optimization and helps to solve problems such as new energy transmission.
Author Contributions
Funding
Data Availability Statement
Conflicts of Interest
References
- Zhang, T.; Shi, H.; Tang, T.; Ying, H.; Zou, P. Evaluation Method for Transient Reactive Power Voltage Regulation Capability of Photovoltaic Power Stations Considering Power Grid Status. In Proceedings of the 2023 8th International Conference on Power and Renewable Energy (ICPRE), Shanghai, China, 22–25 September 2023. [Google Scholar]
- Thwala, M.S.; Nnachi, A.F.; Moloi, K.; Akumu, A.O. The Effect of a Phase Shift Transformer for Power Flow Control. In Proceedings of the 2019 Southern African Universities Power Engineering Conference/Robotics and Mechatronics/Pattern Recognition Association of South Africa (SAUPEC/RobMech/PRASA), Bloemfontein, South Africa, 28–30 January 2019. [Google Scholar]
- Belivanis, M.; Bell, K.R.W. Coordination of Phase-Shifting Transformers to Improve Transmission Network Utilisation. In Proceedings of the 2010 IEEE PES Innovative Smart Grid Technologies Conference Europe (ISGT Europe), Gothenburg, Sweden, 11–13 October 2010. [Google Scholar]
- Babaei, A.; Ziomek, W.; Gole, A. A New Approach for the Failure Detection and the Self-Healing Process in a Solar-Based Tap Changing Transformer. In Proceedings of the 2022 International Conference on Electrical, Computer and Energy Technologies (ICECET), Prague, Czech Republic, 20–22 July 2022. [Google Scholar]
- Xu, G.; Qiao, C.; Wang, X.; Wu, H.; Yang, S.; Ma, L.; Zhang, Q.; Pang, G. A Multi-Layer Optimized Configuration Method for Energy Storage Device and Compensation Device on Long-Chain Power Distribution Line. In Proceedings of the 2021 8th International Conference on Electrical and Electronics Engineering (ICEEE), Antalya, Turkey, 9–11 April 2021. [Google Scholar]
- Fan, X.; Zhou, Y. Analysis of the Impact of Different Reactive Power Compensation Devices on Hvdc System Rectifier Station Power System Automation. In Proceedings of the 2019 4th International Conference on Power and Renewable Energy (ICPRE), Chengdu, China, 21–23 September 2019. [Google Scholar]
- Li, C.; Wu, Z.; Dong, L.; Liu, M.; Xiao, Y. Fast Generation of Power System Operation Modes Based on Optimal Power Flow. In Proceedings of the 2021 11th International Conference on Power and Energy Systems (ICPES), Shanghai, China, 18–20 December 2021. [Google Scholar]
- Chen, D.; Lu, R.; Wang, X.; Wang, Y. Power System Operation Mode Identification Method Based on Improved Clustering Algorithm. In Proceedings of the 2022 IEEE Sustainable Power and Energy Conference (iSPEC), Perth, Australia, 4–7 December 2022. [Google Scholar]
- ELGebaly, A.E.; Vershanskiy, E.A.; Rashitov, P.A.; Panfilov, D.I. Power Flow Control Using Transformer-Less Static Synchronous Series Compensators. In Proceedings of the 2021 3rd International Youth Conference on Radio Electronics, Electrical and Power Engineering (REEPE), Moscow, Russia, 11–13 March 2021. [Google Scholar]
- Xie, Q.; Wang, Y.; Zhang, W. A Review for Superconductivity-Based Voltage Sag Compensation Device. In Proceedings of the 2020 IEEE International Conference on Applied Superconductivity and Electromagnetic Devices (ASEMD), Tianjin, China, 16–18 October 2020. [Google Scholar]
- Sun, R.; Zhu, Z.; Wei, Z.; Sun, G.; Liao, X. Multi stage and multi-objective reactive power optimization algorithm for power systems considering UPFC. Electr. Power Eng. Technol. 2020, 39, 76–85. [Google Scholar]
- Ndlela, N.W.; Davidson, I.E. A Load Flow Analysis of the Southern African Power Pool Interconnections Using High Voltage Ac, High Voltage DC, and Flexible AC Transmission System. In Proceedings of the 2022 IEEE PES/IAS PowerAfrica, Kigali, Rwanda, 22–26 August 2022. [Google Scholar]
- Iqbal, M.N.; Mahmood, A.; Amin, A.; Arshid, H. Voltage Regulation and Power Loss Minimization by Using Unified Power Flow Control Device. In Proceedings of the 2019 International Conference on Engineering and Emerging Technologies (ICEET), Lahore, Pakistan, 21–22 February 2019. [Google Scholar]
- Ou, Z.; Gan, D.; Lou, Y.; Sun, Q.; Tong, Z.; Peng, S. Power Flow Equilibrium Enhancement on the Urban Power System by Unified Power Flow Controller. In Proceedings of the 2022 5th International Conference on Energy, Electrical and Power Engineering (CEEPE), Chongqing, China, 22–24 April 2022. [Google Scholar]
- Kong, X.; Gong, X.; Li, J.; Li, P. Analysis on the Transmission Line Power Flow Control Strategy of the Upfc Project in Western Nanjing Power Grid. In Proceedings of the 2018 International Conference on Power System Technology (POWERCON), Guangzhou, China, 6–8 November 2018. [Google Scholar]
- Liu, G.; Qi, W.; Huang, J.; Gong, H.; Bai, B.; Chen, Z. Overview of research on unified power flow controllers. J. Power Syst. Autom. 2018, 30, 78–86. [Google Scholar]
- Morrell, T.J.; Eggebraaten, J.G. Applications for Phase-Shifting Transformers in Rural Power Systems. In Proceedings of the 2019 IEEE Rural Electric Power Conference (REPC), Bloomington, MN, USA, 28–30 April 2019. [Google Scholar]
- Ni, P.; Zhang, J.; Liang, J.; Li, X.; Liu, Z. A Study of the Effect of Phase Shifting Transformers on Line Longitudinal Differential Protection. In Proceedings of the 2023 3rd International Conference on Energy, Power and Electrical Engineering (EPEE), Wuhan, China, 15–17 September 2023. [Google Scholar]
- Patel, D.; Chowdury, A. Dynamic Control and Performance of a Sen Transformer for Stabilizing an Ac Transmission System and Improved Voltage Profile. In Proceedings of the 2018 International Conference on Power, Energy, Control and Transmission Systems (ICPECTS), Chennai, India, 22–23 February 2018. [Google Scholar]
- Pan, Y.; Yang, W. Research on Protection System of Electronic on-Load Tap-Changers Based Sen Transformer. In Proceedings of the 2021 3rd International Conference on System Reliability and Safety Engineering (SRSE), Harbin, China, 26–28 November 2021. [Google Scholar]
- Siddiqui, A.S.; Khan, S.; Ahsan, S.; IKhan, M.; Annamalai. Application of Phase Shifting Transformer in Indian Network. In Proceedings of the 2012 International Conference on Green Technologies (ICGT), Trivandrum, India, 18–20 December 2012. [Google Scholar]
- Yu, M.; Li, F.; Li, Z.; Yuan, J.; Mei, J.; Xu, S. Principles, Topology, Applications, and Development of Phase Shifting Transformers. J. Wuhan Univ. (Eng. Ed.) 2023, 56, 1224–1237. [Google Scholar]
- Carlini, E.M.; Manduzio, G.; Bonmann, D. Power Flow Control on the Italian Network by Means of Phase-Shifting Transformers; CIGRE: Paris, France, 2006. [Google Scholar]
- Brilinskii, A.S.; Badura, M.A.; Evdokunin, G.A.; Chudny, V.S.; Mingazov, R.I. Phase-Shifting Transformer Application for Dynamic Stability Enhancement of Electric Power Stations Generators. In Proceedings of the 2020 IEEE Conference of Russian Young Researchers in Electrical and Electronic Engineering (EIConRus), St. Petersburg, Russia, 27–30 January 2020. [Google Scholar]
- Gude, S.; Chen, R.; Li, S.; Lang, Y. Modelling of Phase-Shifting Transformer Based on Space-Phasor Notations for the Applications in Medium Voltage Drives. In Proceedings of the 2021 IEEE Energy Conversion Congress and Exposition (ECCE), Virtual, 10–14 October 2021. [Google Scholar]
- Wu, L.; Yu, M.; Li, Z.; Chen, B.; Tian, C.; Kang, J. Electromagnetic Unified Power Flow Controller and Its Application in Loop Power Flow Regulation. High Volt. Technol. 2018, 44, 3241–3249. [Google Scholar]
- Li, Q.; Zhang, N.; Gao, S.; Liu, J.; Zhou, Q. Modeling and Application Scenario Analysis of Power Grid Phase Shifter Rtds. Power Eng. Technol. 2021, 40, 53–58. [Google Scholar]
- Ma, L.; Shen, X.; Dai, G. Research on Location Selection of Phase Shifting Transformers Based on Multiple Conditional Constraints. Qinghai Electr. Power 2022, 41, 58–62. [Google Scholar]
- Urresti-Padrón, E.; Jakubek, M.; Jaworski, W.; Kłos, M. Pre-Selection of the Optimal Sitting of Phase-Shifting Transformers Based on an Optimization Problem Solved within a Coordinated Cross-Border Congestion Management Process. Energies 2020, 13, 3748. [Google Scholar] [CrossRef]
- Yu, M.; Yuan, J.; Li, Z.; Li, F.; Yang, X.; Zhang, W.; Xu, S.; Mei, J. Power Flow Optimization and Economic Analysis Based on High Voltage Phase Shifting Transformer. Energies 2022, 15, 2363. [Google Scholar] [CrossRef]
- Fu, K.; Du, Z.; Li, F.; Li, Z.; Xia, C. Optimal allocation of phase shifting transformer with uncertain wind power based on dynamic programming. Front. Energy Res. 2023, 10, 1003315. [Google Scholar] [CrossRef]
- Verboomen, J.; Van Hertem, D.; Schavemaker, P.H.; Kling, W.L.; Belmans, R. Phase Shifting Transformers: Principles and Applications. In Proceedings of the 2005 International Conference on Future Power Systems, Amsterdam, The Netherlands, 16–18 November 2005. [Google Scholar]
- Dakhare, R.; Chandrakar, V.K. Congestion Management by Phase Shifting Transformer Using Fuzzy Logic Control. In Proceedings of the 2021 6th International Conference for Convergence in Technology (I2CT), Maharashtra, India, 2–4 April 2021. [Google Scholar]
- Lamas, W.d.Q. Exergoeconomic methodology applied to energy efficiency analysis of industrial power transformers. Int. J. Electr. Power Energy Syst. 2013, 53, 348–356. [Google Scholar] [CrossRef]












| Line Parameters | L1 | L2 | L3 | L4 | L5 |
|---|---|---|---|---|---|
| Rated voltage/kV | 525 | 525 | 525 | 525 | 525 |
| Rated current/kA | 3.0 | 3.0 | 2.5 | 3.0 | 3.0 |
| Line resistance/Ω | 1.27 | 1.30 | 6.98 | 2.20 | 2.93 |
| Line reactance/Ω | 18.85 | 18.82 | 57.85 | 18.26 | 24.35 |
| Transport power flow/MW | 642 | 633 | 995 | 1570 | 1476 |
| Line length/km | 70 | 65 | 190 | 60 | 80 |
| Parameters | Numerical Value | |
|---|---|---|
| Exciting Transformer | Series Transformer | |
| Nominal power/MVA | 982 | 1020 |
| Rated voltage of primary winding/kV | 525.0 | 112.9 |
| Rated voltage of secondary winding/kV | 110.0 | 113.0 |
| Short circuit impedance/% | 11% | 14% |
| Number of adjustable levels | ±10 | |
| Phase shift range (Rated load)/° | ±20° | |
| Phase shift range (No Load)/° | ±22.8° | |
| Tap Position | Winding Turns Ratio D | Theoretical Phase Shift Angle/° | Phase Shift Angle (No load)/° | Phase Shift Angle (Rated Load)/° |
|---|---|---|---|---|
| 0 | 0 | 0 | 0 | −0.68 |
| +1 | 0.114 | 2 | 2.50 | 1.76 |
| +2 | 0.205 | 4 | 4.88 | 4.02 |
| +3 | 0.317 | 6 | 7.15 | 6.13 |
| +4 | 0.428 | 8 | 9.39 | 8.32 |
| +5 | 0.533 | 10 | 11.81 | 10.26 |
| +6 | 0.636 | 12 | 14.04 | 12.22 |
| +7 | 0.733 | 14 | 16.37 | 14.19 |
| +8 | 0.824 | 16 | 18.52 | 16.19 |
| +9 | 0.915 | 18 | 20.62 | 18.16 |
| +10 | 1 | 20 | 22.67 | 20.09 |
| Line Parameters | L1 | L2 | L3 | L4 | L5 |
|---|---|---|---|---|---|
| Initial active power flow/MW | 642 | 633 | 995 | 1570 | 1465 |
| Required phase shift angle (advance adjustment)/° | 6 | 6 | 15 | / | / |
| Required phase shift angle (lag adjustment)/° | / | / | / | −10 | −10 |
| Adjusted active power flow/MW | 1054 | 1054 | 1210 | 1024 | 965 |
| Proportion of AC power received (Before regulation)/% | 12.1% | 11.9% | 18.8% | 29.6% | 27.6% |
| Proportion of AC power received (After regulation)/% | 19.9% | 19.9% | 23.7% | 19.3% | 17.2% |
Disclaimer/Publisher’s Note: The statements, opinions and data contained in all publications are solely those of the individual author(s) and contributor(s) and not of MDPI and/or the editor(s). MDPI and/or the editor(s) disclaim responsibility for any injury to people or property resulting from any ideas, methods, instructions or products referred to in the content. |
© 2024 by the authors. Licensee MDPI, Basel, Switzerland. This article is an open access article distributed under the terms and conditions of the Creative Commons Attribution (CC BY) license (https://creativecommons.org/licenses/by/4.0/).
Share and Cite
Jin, W.; Liu, H.; Zhang, W.; Yuan, J. Power Flow Regulation Effect and Parameter Design Method of Phase-Shifting Transformer. Energies 2024, 17, 1622. https://doi.org/10.3390/en17071622
Jin W, Liu H, Zhang W, Yuan J. Power Flow Regulation Effect and Parameter Design Method of Phase-Shifting Transformer. Energies. 2024; 17(7):1622. https://doi.org/10.3390/en17071622
Chicago/Turabian StyleJin, Weigang, Hangya Liu, Weizhe Zhang, and Jiaxin Yuan. 2024. "Power Flow Regulation Effect and Parameter Design Method of Phase-Shifting Transformer" Energies 17, no. 7: 1622. https://doi.org/10.3390/en17071622
APA StyleJin, W., Liu, H., Zhang, W., & Yuan, J. (2024). Power Flow Regulation Effect and Parameter Design Method of Phase-Shifting Transformer. Energies, 17(7), 1622. https://doi.org/10.3390/en17071622

