Next Article in Journal
Power Flow Regulation Effect and Parameter Design Method of Phase-Shifting Transformer
Previous Article in Journal
Modeling and Subjective Evaluation Method of Driveability for Fuel Cell Vehicles
 
 
Font Type:
Arial Georgia Verdana
Font Size:
Aa Aa Aa
Line Spacing:
Column Width:
Background:
Article

Simulation of Olive Pomace Gasification for Hydrogen Production Using Aspen Plus: Case Study Lebanon

Department of Chemical and Petroleum Engineering, School of Engineering, Holy Spirit University of Kaslik, Jounieh P.O. Box 446, Lebanon
*
Author to whom correspondence should be addressed.
These authors contributed equally to this work.
Energies 2024, 17(7), 1621; https://doi.org/10.3390/en17071621
Submission received: 28 February 2024 / Revised: 18 March 2024 / Accepted: 22 March 2024 / Published: 28 March 2024
(This article belongs to the Section A5: Hydrogen Energy)

Abstract

Biomass is a renewable energy source gaining attention for its potential to replace fossil fuels. Biomass gasification can produce hydrogen-rich gas, offering an environmentally friendly fuel for power generation, transportation, and industry. Hydrogen is a promising energy carrier due to its high energy density, low greenhouse gas emissions, and versatility. This study aims to develop a hydrogen generation plant using a dual fluidized bed gasifier, which employs steam as a gasifying agent, to convert olive pomace waste from the Lebanese olive oil industry into hydrogen. The process is simulated using Aspen Plus and Fortran coding, and it includes a drying unit, gasification unit, gas cleaning unit, steam methane reformer unit, water–gas shift reactor unit, and a pressure swing adsorption unit. The generated gas composition is verified against previous research. Sensitivity analyses are conducted to investigate the impacts of the steam-to-biomass ratio (STBR) and gasification temperature on gas composition, demonstrating a valid STBR range of 0.5 to 1 and a reasonable gasification temperature range of 700 °C to 800 °C. Further sensitivity analyses assess the impact of reformer temperature and the steam-to-carbon ratio (S/C) on the gas composition leaving the steam methane reformer.

1. Introduction

The imperative shift towards renewable energy sources has become increasingly vital in light of the global challenges posed by climate change, resource depletion, and energy security concerns. Over the past decades, fossil fuels have reigned as the predominant energy source, but their finite nature and the release of greenhouse gases that contribute to climate change have initiated a profound call for change. Consequently, numerous governments are actively promoting the transition to renewable energy, prompting escalated investments in renewable energy infrastructure and the exploration of innovative technologies to enhance its affordability and reliability. This shift from fossil fuels to renewable energy is crucial, not only for mitigating climate change, but also for reducing the reliance on finite resources, thereby propelling the journey towards a low-carbon future [1].
The increasing global energy demand, largely sustained by fossil fuels, has raised concerns due to the associated emissions of greenhouse gases, resource depletion, and global warming concerns. In response, scientific focus has shifted towards utilizing clean energy from renewable sources such as wind, solar photovoltaic, hydroelectric, geothermal, and biomass. Among these alternatives, biomass emerges as a promising candidate—a renewable energy source that can be regenerated over time, capable of producing heat, electricity, and fuels through various processes [2]. Including materials such as wood, crop residues, animal waste, and municipal solid waste, biomass’s utilization contributes to waste reduction by repurposing agricultural and forestry residues and diverting them from landfills [3]. A particularly significant area of investigation involves hydrogen production from biomass, a process gaining notable attention. This hydrogen production includes diverse techniques, such as thermochemical and biological approaches [4].
Biomass-derived hydrogen holds multiple applications, ranging from automotive fuel to chemical feedstock. In the transportation field, hydrogen fuel cell vehicles emerge as promising alternatives to conventional gasoline-powered cars, since they substantially reduce emissions and improve air quality. Moreover, hydrogen’s role in stationary fuel cells renders it an efficient and clean electricity source for buildings and infrastructure. Within industry, hydrogen plays a pivotal role as a feedstock in producing diverse chemicals, including ammonia and methanol, as well as in oil refining and steel production [5].
It has been reported that global hydrogen production increased from 57.7 MMT in 2010 to 90.6 MMT in 2022 [6]. Based on the presented data, a hydrogen production projection was performed. This projection estimates that the annual hydrogen production will have substantial growth, reaching 200 MMT in the year 2050 [7]. The majority of this hydrogen is utilized for the synthesis of ammonia (49%), followed by methanol synthesis (8%), and petroleum refining (37%), in addition to other smaller-scale applications (6%) [8]. Notably, hydrogen’s emission profile is marked by the absence of carbon, sulfur, or unburned hydrocarbons upon combustion, setting it apart as an exceptionally clean fuel. Furthermore, hydrogen shows impressive energy density (120 MJ/kg) compared to coal (35 MJ/kg), gasoline (47 MJ/kg), and natural gas (49.9 MJ/kg) [9].
Currently, Lebanon relies mostly on imported gasoline, fuel oil, and gas oil. An energy diversification plan has been driven by the raising concerns about energy security and the need to promote economic growth. Energy demand is continually increasing as a result of population growth. Consequently, the current power generating capacity is gradually being exceeded by the demand. Recently, this demand for energy and electricity has placed a burden on the Lebanese economy, since the national budget deficit may be attributed to imported fuel oil, which alone takes up about one quarter of it [10].
Lebanon’s biomass resources include a range of 23 categories, such as wood and paper industries, forestry, energy crops, agriculture, food processing, municipal waste, and non-hazardous industrial waste. Lebanon, characterized by a significant area of agricultural land, possesses abundant bioenergy resources, including olive-derived biomass. While traditional biomass usage is prevalent in rural areas, sustainable bioenergy development is still behind [11].
Despite its compact geographical area of 10,452 km2, Lebanon has a significant influence on the global olive sector, securing the 16th rank in olive production in 2019 [12]. Olive trees cover approximately 563 km2, constituting 5.4% of Lebanon’s landmass and 8% of its agricultural area. These olive groves are predominantly situated in North Lebanon (Koura, Zgharta, and Akkar regions), South Lebanon (Sour and Marjayon), and the Chouf area in Mount Lebanon as shown in Figure 1a. According to the Ministry of Agriculture, 70% of Lebanon’s cultivated olives are used for olive oil production, with olive trees dispersed across the nation as depicted in Figure 1b [13]. Lebanon has around 544 registered olive mills out of which 87% use the traditional extraction method with traditional stone mills that apply technologies based on pressing and crushing the olives [13]. In a traditional mill, as the process is depicted in Figure 2, the olives are crushed into a paste between two stones. That paste is then placed on sacks of fibers and stacked one above the other to be further pressed for more oil extraction. This produces a crude olive cake or wasted olive pomace, which is the residue of the initial extraction of oil from whole olives through pressure, and it contains the olive pulp, the stone, and the thick outer layer or skin.
Due to the abundant amount of olive oil production in Lebanon, olive pomace is selected as the biomass type in this study. Olive harvests are seasonal, fluctuating between high and low production periods. In 2020, Lebanon’s olive yield reached around 136,384 tonnes, corresponding to 40,915 to 68,192 tonnes of pomace. Notably, during peak seasons, olive mill owners estimate pomace production at approximately 79,000 tonnes [15].
While the olive oil industry holds notable economic importance, the substantial waste it generates, coupled with inadequate waste management practices in Lebanon and other Mediterranean nations, presents a pressing environmental issue. Almost 25% of this waste finds utility either in domestic heating or being employed for soap production. Despite its significant ecological impact, a significant portion of this waste is simply discarded on land without undergoing any treatment [15]. The consequences of this practice are worsened by the concentrated farming areas and the short timeframe for disposal. These described practices emphasize selecting olive pomace as the preferred feedstock for the hydrogen production plant in this study.
Biomass can be processed and enhanced through two main approaches: biochemical and thermochemical processes. Biochemical methods primarily focus on the enzymatic hydrolysis of biomass. Thermochemical processes, which are considered as an ecologic and economic viable approach [16,17], include three distinct techniques: gasification, pyrolysis, and liquefaction, the first of which is the subject of this paper [18]. Gasification is the partial oxidation of biomass at high temperatures, generally ranging between 800 °C and 900 °C, to produce a combustible gas mixture. In an ideal gasification, biomass is fully transformed to CO and H2, while, in actuality, CO2, H2O, and other hydrocarbons, including CH4, are produced as well [19].
Fluidized bed gasifiers offer distinct advantages over fixed bed gasifiers, including uniform temperature distribution, elevated carbon conversion, and reduced tar production. They accommodate a wider range of biomass types, sizes, and feed rates. Among fluidized bed gasifiers, the dual fluidized bed (DFB) gasifier stands out due to its diverse fuel input options, high heat and mass transfer rates, consistent temperature profile, and its ability to generate nitrogen-free producer gas without requiring pure oxygen. DFB gasifiers have undergone testing with plastic waste and biomass at industrial, semi-industrial, and pilot scales [20,21,22]. The DFB gasifier is identified as a potential biomass gasification technique, particularly suited for high-quality producer gas generation. It has been successfully applied at a demonstration scale, notably for DFB steam gasification—a cohesive process for producing hydrogen-rich producer gas from biomass waste. This technology proves advantageous for chemical synthesis, liquid biofuels, high-efficiency power generation, and high-temperature fuel cells [23,24].Thus, for this study, the DFB gasifier is the chosen gasification approach.
Several studies have been conducted on the simulation of biomass gasification using Aspen Plus [25,26], yet few researchers have simulated the full process of hydrogen production that starts from drying and ends with pressure swing adsorption. Several sensitivity studies were conducted by Suwatthikul et al. [27] on Aspen Plus, who varied the gasification temperature, equivalence ratio, and steam-to-biomass ratio in a steam fluidized bed gasifier, aimed at producing syngas for an ORC power plant. The primary objectives were to optimize carbon conversion and minimize the CO2 fraction in the resulting products. Their sensitivity analyses show that the optimum gasification temperature, steam-to-biomass ratio, and equivalence ratio are 911 °C, 1.78, and 0.18, respectively, leading to an energy self-sufficient process.
L.P.R. Pala et al. [28] investigated the impact of varying parameters such as steam-to-biomass ratio, gasification temperature, and shift reaction temperature on the biomass gasification process within a steam fluidized bed gasifier. Their aim was to assess syngas production and the subsequent adjustment. Their study utilized equilibrium Gibbs reactors and analyzed factors such as H2 and CO concentrations, CO and CO2 conversion rates, and the H2/CO ratio in the syngas. Various biomass feedstocks were simulated by altering the biomass composition. Additionally, syngas adjustment through water–gas shift (WGS) or reverse WGS was modeled to achieve the necessary H2/CO ratio of 2.15 for a Fischer–Tropsch synthesis plant. Their study shows that the steam gasification of food wastes yielded the most suitable H2/CO ratio.
A pilot-scale dual fluidized bed gasifier at the Woodland Biomass Research Center [29] that uses commercial wood pellets effectively separated combustion and biomass gasification processes, reducing nitrogen content in the producer gas. The gasifier operation was characterized by measuring the gas composition, temperatures, and pressures. Analyses, which were performed using Aspen Plus V14 software based on a restricted equilibrium model, matched the measured gas composition well, but over-predicted H2 concentrations. Therefore, a more detailed kinetic model is suggested to accurately predict the non-equilibrium gas composition.
The methodology proposed by Abdelouahed et al. [26] involves modeling a DFBG using Aspen Plus coupled with Fortran coding. This model operates by separating the primary phenomena (pyrolysis, char gasification, water–gas shift reaction, tar and methane conversion, and char combustion) into distinct reaction sections within the simulations. Detailed mass fractions of pyrolysis products are determined using a correlation implemented in a Fortran file. Additionally, a semi-detailed kinetic mechanism is proposed for secondary reactions, with the assumption that thermodynamic equilibrium is never reached. Their results indicate that the water–gas shift reaction kinetics highly affect the flow rate and the syngas composition.
Jana and De [30] introduced a software model for sugarcane gasification to evaluate the plant performance with and without CO2 capture. The simulation was conducted under equilibrium conditions, without modeling the pyrolysis process, focusing solely on gaseous components.
Aghaalikhani et al. [25] simulated, using Aspen Plus, a 100 kW dual fluidized bed gasifier while implementing detailed pyrolysis modeling. Model validation was performed by conducting experiments employing softwood pellets as fuel and fresh olivine sand as the bed material. Additionally, they investigated the influence of gasifier temperature variations on the composition of the final product gas in both experimental and simulated scenarios. This investigation aimed to provide deeper insights into the pyrolysis process, the heterogeneous reactions of char, and the deviations from equilibrium in the water–gas shift reaction.
Very few researchers have tackled the gasification of olive pomace using a DFBG. The PHENOLIVE research project [31], conducted at TU WIEN, focused on evaluating the potential of exhausted olive pomace, with investigations into relevant gasification parameters using a bed material mixture of olivine and calcite. The report includes a thorough characterization of the fuel, details on feedstock pre-treatment steps, and descriptions of plant components and measurement equipment for the dual fluidized bed system.
The objective of this study is to create a hydrogen generation facility utilizing a dual fluidized bed gasifier, employing steam as the gasifying agent, for the conversion of olive pomace. The methodology involves Aspen Plus and Fortran coding to simulate the process, encompassing various units such as drying, gasification, gas cleaning, a steam methane reformer, a water–gas shift reactor, and pressure swing adsorption. This specific process has yet to be fully simulated for olive pomace in any existing publications, and it is also complemented by sensitivity analyses that assess the effects of STBR, the gasification temperature on gas composition, and the influence of reformer temperature and steam-to-carbon ratio (S/C) on the gas composition exiting the steam methane reformer. The generated producer gas composition is validated against existing research findings.

2. Hydrogen Production Process Description

The hydrogen production process is depicted in the block flow diagram (BFD) presented in Figure 3.
Briefly, the pomace is pretreated in a rotary drum dryer followed by a pelletization step. Then, it undergoes a thermochemical conversion process (DFBG), producing gases, tar, char, and ash. Following that, the gas undergoes additional treatment steps to clean it and remove any impurities, thereby eliminating the tar and char. Since hydrogen is the desired product, a steam methane reformer and a water–gas shift reactor are implemented to increase the hydrogen yield in the gas. Finally, the gas stream is introduced into a pressure swing adsorption unit (PSA) to separate the hydrogen from the stream.
The olive pomace resulting from traditional olive mills usually has a water content of approximately 25% [32]. This moisture should be lowered to about 10% or less before being introduced as a feedstock, since this moisture negatively impacts the combustion of the pomace and requires additional energy to achieve complete drying [31].
The drying process is performed in a rotary drum dryer using air that is heated by the flue gas, which is generated downstream. The obtained exhausted olive pomace (EOP) is then pelletized to reduce the presence of fine particles [33]. The last step is to use additives; here, 6 wt%. of calcium carbonate (CaCO3) is used to improve the ash melting behavior of the pomace and reduce the risk of bed agglomeration [31].
After the pretreatment of the olive pomace, the latter is introduced in a dual fluidized bed gasifier (DFBG), since it has been identified as a feasible biomass gasification approach, notably for the generation of high-quality producer gas. In addition, DFBG is a capable technology that has already been implemented at demonstration size.
The DFB consists of two separate reaction chambers: the gasification chamber and the combustions chamber. First, the biomass is fed into the gasification chamber alongside a steam stream for it to be gasified. Using steam as a gasifying agent results in a higher concentration of hydrogen in addition to the absence of nitrogen in the producer gas. The bed material is transported alongside the char from the gasification zone to the combustion zone where they are burned using an air stream. This combustion reaction generates the heat needed for the endothermic gasification reactions and is conveyed by the circulation of the bed material into the gasification chamber, where it is continuously pumped through a chute and a loop seal [34]. A schematic and a conceptual representation of a DFBG are shown in Figure 4 and Figure 5, respectively.
Through this process, the organic material is transformed into permanent gases, also known as producer gas, consisting of hydrogen, carbon monoxide, carbon dioxide, methane, and light hydrocarbons, in addition to char and tar, as represented in Equation (1) [36].
B i o m a s s + S t e a m H 2 + C O + C O 2 + C H 4 + L i g h t   a n d   h e a v y   H C   T a r + C h a r
The series of reactions that occur during steam gasification are shown in Table 1 [36].
In order to prevent the malfunction of downstream units, gas contaminant elements must be removed from the producer gas. Thus, a cyclone is used, which is considered the most effective solid–gas separator, in addition to a scrubber, which serves for tar removal. An oil scrubber is used instead of water, as it is more effective for tar removal using the “like dissolves like” concept. Out of the scrubbing agents, rapeseed methyl ester is employed as the scrubbing agent, which has an effectiveness rate of about 99% [37].
The next step is to increase the hydrogen yield in the producer gas. In order to do so, first, a steam methane reformer is used, since there is a significant amount of methane in the producer gas. Thus, the catalytic reforming of methane using steam produces carbon monoxide and hydrogen following reaction (16) [38].
C H 4 + H 2 O C O + 3 H 2 ,             Δ H 298 K = + 206   k J / m o l
To further increase the hydrogen content, the gas is introduced into a water–gas shift reactor, where the carbon monoxide previously produced in the reformer reacts with steam, generating carbon dioxide and hydrogen, as shown in reaction (17) [39].
C O + H 2 O   C O 2 + H 2 ,             Δ H 298 K = 41   k J / m o l
Finally, in order to obtain the product with the desired hydrogen purity, a PSA unit is incorporated as a separation technique that separates the hydrogen with a purity as high as 99.99% [40].

3. Aspen Plus Assumptions and Properties

In this study, the gasification of agricultural waste for hydrogen production is rigorously simulated using Aspen Plus V14—a pivotal and extensively utilized software platform in biomass gasification research. Aspen Plus stands as an indispensable tool in modeling and analyzing complex thermochemical processes, offering invaluable insights into the optimization and environmental impact assessment of sustainable energy production from biomass feedstocks.

3.1. Model Assumptions

The following are the key assumptions used throughout the modelling of the process [41,42]:
  • Isothermal and steady-state operation.
  • The responses are thought to be zero-dimensional and time-independent.
  • Gasification operation undergoes at atmospheric pressure (~1 bar).
  • Gases are ideal.
  • Pressure drops are disregarded.
  • Ash contains only carbon (C).
  • Any N2 that is bonded to fuel is converted to NH3.
  • All sulphur (S) bonded to fuel is transformed to hydrogen sulfide (H2S).
  • Both drying and pyrolysis happen instantly.
  • Tar formation reaction is omitted but their components are defined, and their yield is estimated by the RGibbs reactor that works on the principle of the minimization of Gibbs free energy.
  • The heat transferred by the passage of bed material between the gasifier combustion chamber and gasification chamber is simulated using a heat stream.
  • The reactors’ heat loss is neglected.
  • The additives in the gasifier are not considered in the simulation.

3.2. Thermodynamic Properties

For this model, the PK-BM property approach is selected as the global property method. This technique is appropriate for nonpolar or moderately polar mixtures like hydrocarbons and light gases. It employs the Peng-Robinson cubic equation of state with the Boston–Mathias alpha function for all thermodynamic characteristics. The PK-BM property method is suitable for gas processing, refineries, and petrochemical operations [43].

3.3. Components

All the components are defined at the beginning of the simulation, and they are listed in Table 2. Ash and biomass are classified as non-conventional solid components due to the ambiguity regarding their exact chemical compositions, knowing that only enthalpy and density are determined for these components throughout the simulation.
Aspen Plus offers unique models for calculating enthalpy and density for biomass-derived materials. HCOALGEN and DCOALIGT methods are selected to give an approximate estimation of the enthalpy and the density of the olive pomace and ash, which are defined as non-conventional components, by using their proximate, ultimate, and sulfur analyses. These models have been experimentally validated for biomass despite being initially created for coal. The DCOALIGT approach, founded by the Institute of Gas Technology (IGT), uses their empirical equations to estimate the density, whereas the HCOALGEN method incorporates several empirical correlations to estimate heat of combustion, enthalpy of formation, and specific heat [44].

3.4. Stream Specifications and Properties

To start the flowsheet, it is imperative to specify the “BIOMASS” stream, starting with the ultimate, proximate, and sulfur analyses, which are required after specifying the enthalpy and density models. These physiochemical properties of the olive pomace are presented in Table 3. It should be mentioned that the sulfur content is recorded in the organic section, indicating that the sulfur is only thought to be organic [45].
Given that both conventional and non-conventional components are present simul-timeously, the global stream class is classified as “MIXCINC”, where “MIX” indicates the “MIXED” substream, “CI” connotes “CISOLIDS”, and “NC” is the non-conventional substream [43].
The BIOMASS stream enters at 25 °C and 1 bar. In order to specify its mass flow rate, it should be noted that the plant is set to operate for a short period of 120 days per year, due to the restraints that come with storing olive pomace for longer periods. Olive pomace is subject to fermentation and degradation, which makes it unsuitable for the process if stored for longer periods [15]. As mentioned previously, Lebanon produces around 79,000 tonnes of olive pomace in a high season, out of which, 75% is left untreated and disposed of in the soils, which leaves us with 59,250 tonnes yearly for the process. Dividing this by the number of operating days and daily operating hours (22 h) gives an hourly feed rate of approximately 22.44 tonnes/h.

4. Aspen Plus Process Simulation

The flowsheet modeled in Aspen Plus is depicted in Figure 6, and is further detailed in the following. Note that all the Fortran codes used in Aspen Plus are presented in the Supplementary Materials.

4.1. Dryer

Originally, the olive pomace has a moisture content higher than the amount that should be present during gasification and should be reduced to about 10%, as stated previously.
This operation is represented by an RStoic reactor, “DRYER”, and a separator. The former’s purpose is to convert part of the biomass moisture into water vapor and, consequently, reduce the moisture content in its proximate analysis to the needed value of 10% following reaction (18).
W E T   B I O M A S S   0.0555084   H 2 O + D R Y   B I O M A S S
When using Aspen Plus, all non-conventional components are considered as though they have a molecular weight of 1 g/mol. According to the reaction, 1 mole of biomass reacts to create 0.0555084 moles of water, which is the biomass’s water content. The fractional conversion is set by a calculator block to achieve the needed amount of drying.
After the completion of the drying process, the water is separated from the stream “AFTDRYER” using a separator block operating at 1 bar. The simulation of the drying process is shown in Figure 7.

4.2. Pelletizer

In order to achieve good-quality pellets, the optimal moisture content should be about 6–12%wb [46]; hence, there is no need to add water to the biomass for the pelletization process. The latter is just a physical process and does not involve any reactions whatsoever; there is one inlet and one outlet with the same mass flow rate as stream “DRYBIOM”.

4.3. Biomass Decomposition

Following the drying process, the non-conventional component, biomass, must be converted into its constituting elements. For this reason, an RYield reactor, “BRKDWN”, is utilized to decompose biomass into conventional components (C, H2, O2, Cl2, N2, S), and the yield amount of each quantity is computed using a calculator block with Fortran coding.
It is assumed here that the amount of carbon is equally distributed between the SOLIDS stream and MIXED streams. The calculations of the components yield are performed as follows:
Y i e l d   o f   c o m p o n e n t = 100 %   o f   m o i s t u r e 100 × %   o f   c o m p o n e n t   i n   b i o m a s s
The simulation of the BRKDWN block is shown in Figure 8.

4.4. Gasifier

In Aspen Plus there is no built-in gasifier model available for use. Therefore, in order to simulate a DFBG, it is required to break the whole process down into separate blocks that are available and can be simulated using Aspen Plus. Thus, the gasifier is simulated with the gasification and combustion zones as two separate reactors, while implementing a separator to split the ash and char between them. The flowsheet for the gasification process is shown in Figure 9.

4.4.1. Ash Separation

The primary idea behind a DFBG is to utilize the heat produced in the combustion chamber as a result of the burning of the ash and gasifier bed material to heat the gasification chamber. For this, the exit stream “ELEMENTS”, which contains the products of the “BRKDWN” reactor, is sent to a separator block, “ASHSEP”, which replicates the removal of ash from the gasifier by separating away all the ash and a portion of the char (assumed to be 100% C). The char split fraction is assumed to be 0.2 in the “ASH” stream.

4.4.2. Combustion Chamber

The char and ash are, thus, sent to the gasifier’s combustion zone, which is modelled by an RStoic reactor with the name “COMB”. An air stream, “AIR”, is also added to the “COMB” reactor at a temperature of 450 °C, with a specified mole fraction of 0.79 N2 and 0.21 O2. Its flow rate is multiplied by an air/fuel ratio of 1.12 [47] and configured using a calculator block.
Moreover, no chemical reactions are specified, since the option “Generate Combustion” is selected in the RStoich reactor, and the combustion temperature ( T c o m b ) is set to 905 °C.
The specified air/biomass ratio is adequate to enable full combustion; hence, the “COMBOUT” stream only comprises CO2, O2, N2, and Ash. To simulate the removal of particles from the flue gas, a cyclone with an efficiency of 0.85, which is the typical cyclone separation efficiency [41], is employed as a separator block. The cyclone separates the solids from the gas identified as “FLUEGAS”, which could be recycled to drive the drying process of the wet biomass.

4.4.3. Gasification Chamber

In a typical DFBG, the solids separated from the flue gas are recycled back to the gasification chamber to convey the heat required for the gasification reactions. However, because the heat generated in the combustion chamber is simulated and transferred via a heat stream, recycling the solids separated by the cyclone is omitted.
The gasifier temperature is computed using a calculator block while being presumed to be 55 °C below T c o m b [48].
The ash-free stream, "GAS-ASH", is fed into a gasifier modelled as an RGibbs. The model is based on Gibbs free energy minimization and it is calibrated using the restricted equilibrium approach. The steam temperature ( T s t e a m ) is set to 450 °C, and the mass flow rate is determined by the gasifier steam-to-biomass ratio (STBR), which is 0.75, knowing that the typical steam-to-biomass ratio for a DFBG ranges between 0.5 and 1 [49]. STBR is computed using a calculator block and is defined (in mass flowrates) as follows:
S T B R = B I O M A S S   F L O W R A T E + S T E A M   F L O W R A T E D R Y   B I O M A S S   F L O W R A T E
Only the main reactions were considered in the “GASIFIER” block, which are tabulated in Table 4 [41].
These reactions were individually characterized using a zero-temperature approach. The chemical equilibrium constants for each reaction are determined at the reactor’s operating temperature, resulting in the block outputting the equilibrium gas composition. The resulting stream, denoted as “PRODGAS”, is commonly recognized as the producer gas.

4.5. Cyclone

Because the stream class is described as “MIXCINC” with no particle size distribution (PSD), the usage of the generic cyclone block is unsuitable. Thus, a separator block named “CYCLONE2” is employed instead, as shown in Figure 10, with a solid carbon separation effectiveness of 85%. “SOLID2” and “AFTCYC2” are the cyclone’s two output streams. The former comprises particles removed from the gas, whereas the latter contains producer gas cleaned to 85% solids. The efficiency of the cyclone increases as the temperature of the gas decreases; hence, the stream is cooled to 150 °C and compressed to 3 bars, which are suitable values for inlet cyclone streams [50].

4.6. Cooler

The gas should be cooled before entering the compressor in order to avoid wearing it, increase its efficiency, and avoid damaging its functionality. For this purpose, a cooler named “COOLER1” is implemented in order to reduce the temperature using “Cooling Water”, a utility stream defined in Aspen Plus. The cooling water stream enters at a temperature of 20 °C and leaves at a temperature of 35 °C. Additionally, pressure drop is neglected.

4.7. Compressor

A centrifugal compressor is utilized to increase the pressure of the producer gas. The main concern here is to check if a multi-stage compressor system is needed. Typically, the compression ratio ranges from 1.05 to 7 for each stage. However, for most process operations, a compression ratio of 3 to 4 per stage is considered the maximum [51]. In this study, the maximum compression ratio is assumed to be equal to 3. Thus, a single-stage compressor should be sufficient to bring about the needed pressure.
Most of the time, a compressor works under almost adiabatic conditions, meaning that it is isentropic if there is no friction, because the gas spends a relatively short time in the compressor. This limited time does not allow for the heat produced by the compression process to transfer away.
From Aspen Plus, the network required, assuming a default efficiency of 0.72, is W = 2660.36   k W . The compressor’s outlet temperature is 333 °C and this temperature exceeds the limit discharge temperature of industrial compressors, which is considered to be 150 °C to 250 °C [52]. Hence, a multistage compressor block named “MCOMP1” is used with a compression ratio of 1.73 and a discharge temperature (from the intercooler) that does not exceed 150 °C. With a compression ratio of 1.73, a two-stage compressor is needed to bring about the required pressure and temperature.

4.8. Scrubber

The three primary tar constituents in this study are benzene, phenol, and naphtha-lene. Since these components are soluble in oil-based liquid, a packed tower wet scrubber is utilized in conjunction with rapeseed methyl ester (RME), which is an oil-based scrubbing agent. Rapeseed methyl ester is composed of a mixture of methyl-oleate, methyl-palmitate, methyl-stearate, methyl-linoleate, methyl-linolenate, and methyl-myristate. Some earlier studies have simplified RME and biodiesel by considering only methyl-oleate, as it constitutes around 65% of RME [53].
Following the removal of particulates using the cyclone, the producer gas is cleaned of inorganic compounds such as NH3, Cl2, and SO2, as well as tar. However, the formation reactions of the three primary tar constituents are not defined in the Aspen Plus simulation. Instead, their yield is estimated by the RGibbs reactor, which works on the principle of the minimization of Gibbs free energy. Hence, in order to precisely construct an entire process, a scrubber is simulated using a RadFrac drum separator named “SCRUBBER”, and the equilibrium stage model is chosen with five equilibrium stages [53].
It is now necessary to identify the best liquid (RME)-to-gas (producer gas) ratio for an efficient operation. In principle, increasing the liquid-to-gas ratio (L/G) results in a larger density of scrubbing medium droplets along a specific cross section and, as a result, a higher tar removal efficiency. It should be noted that raising the L/G ratio boosts efficiency at the price of an increase in operating costs, owing to the greater scrubbing liquid flow rate and pump consumption. As a consequence, the L/G is limited to 1.65 × 10 3   m 3 / m 3 , based on previous studies [53].
The flowsheet of the gas cleaning process simulation is depicted in Figure 10.

4.9. Steam Methane Reformer

A steam methane reformer is implemented in order to increase the hydrogen yield from the reaction of methane with steam, which is represented by Equation (28).
C H 4 + H 2 O 3 H 2 + C O
The outlet stream of the scrubber, “AFTSCRUB”, is heated then compressed to reach the desired operating conditions. Then, the stream “CLEANGAS” enters the reactor alongside a steam stream, “STEAM2”, as shown in Figure 11. The reaction is endothermic, which means that heat should be supplied to the reaction for it to proceed. This usually takes place within a pressure range of 3–25 atmospheres and at temperatures between 900 °C and 1100 °C [54]. In the following, the reactor, which is represented by an REquil reactor, “REFORMER”, is considered to operate at a temperature of 900 °C and a pressure of 25 bars. For the steam flow rate, it is important to use the optimum steam/carbon ratio (S:C). For this matter, studies have shown that a S:C of 3 is the optimum ratio for nickel supported by an alumina catalyst, since it results in the highest methane conversion and hydrogen yield [55]. In order to calculate the steam flow, a calculator block is implemented, using Fortran coding.

4.10. Water–Gas Shift Reactor

Another step to increase the hydrogen yield is the water–gas shift reaction (WGS), where water is used to convert carbon monoxide into carbon dioxide and hydrogen. This reaction is equimolar; therefore, it is unaffected by the operating pressure [56].
As per the Arrhenius kinetics law, the reaction rate increases as the temperature increases. On the other hand, according to the Le Chatelier principle, increasing the temperature moves the reaction to the reactant side, reducing the equilibrium conversion, since the reaction is exothermic. Consequently, the water–gas shift reaction is a compromise of both effects, and the best operational point of the reactor takes into consideration the balance between kinetics and equilibrium driving forces.
For this reason, generally, the process consists of a high-temperature (HT-WGS) packed bed reactor followed by a low-temperature packed bed reactor (LT-WGS) to achieve high conversion [57]. However, it was found that is it possible to achieve high CO conversion with only one stage, and that is with the HT-WGS packed bed reactor, which is used in this process [56].
The high temperature shift usually uses an iron oxide-chromium oxide-based catalyst, with the operating temperature ranging from 310 °C to 450 °C. In order to protect the catalyst bed from damaging, the inlet temperature is kept at 350 °C [57].
The WGS reaction rate can be estimated as [58]:
r = k e E a R T P C O l P H 2 O m P C O 2 n P H 2 q 1 1 K e q P C O 2 P H 2 P C O P H 2 O
where r is the reaction rate; k is the pre-exponential factor; Py is the partial pressure of component y; Ea is the activation energy; R is the universal gas constant; T is the temperature; Keq is the equilibrium constant; and l, m, n, and q are the estimated exponents from experimental data.
The equilibrium constant can be computed as [59]:
ln K e q = 5693.5 T + 1.077 ln ( T ) + 5.44 × 10 4 T 1.125 × 10 7 T 2 4910 T 2 13.148
where T is the temperature in Kelvin.
The parameters for the power law HT-WGS are estimated by S.S. Hla et al. [60] and they are presented in Table 5.
The outlet stream “AFTREFOR” is cooled to 350 °C and introduced to the water–gas shift reactor “WGS”, represented by an RPlug reactor.
In the reaction section, a new reaction R-1 is defined where the power law kinetic model is selected. The pre-exponential factor, activation energy, exponent, reactant and product coefficients for forward and reverse processes are all included into this model and presented in Figure 12 [57]. In the latter, k indicates the pre-exponential factor, E is the activation energy, n is the temperature exponent, [Ci] basis is specified as partial pressure, and T0 is the datum temperature. Note that T0 is not specified in the simulation so that the built-in kinetic factor equation in Aspen Plus matches the one presented in Equation (29).
The simulation of the water–gas shift reactor is shown in Figure 13.
The gas needs to be cooled down to 350 °C before entering the reactor. For this purpose, the outlet cooling water stream from the “COOLER1” block is used as the inlet to the cooler block that will cool down the gas, named “COOLER2”. The temperature of the cooling water entering is 35 °C and it leaves at a temperature of 50 °C.
While designing WGSR, it is well known that accurate parameter selection is critical, since the reaction outcome is heavily dependent on the combination of these factors. The catalyst type, residence time of reactants in the catalyst bed, reaction temperature, and CO/steam ratio are often essential characteristics.
Previous studies have analyzed the impact of different volumetric CO/steam ratios (1/2, 1/4, and 1/8) on the CO conversion, as shown in Figure 14 [61]. The results showed that decreasing the ratio from 1/2 to 1/4 results in a longer residence time and a noticeably higher CO conversion. However, decreasing it further to 1/8 will improve the two factors to a small extent. Thus, it can be concluded that when the CO/steam ratio is higher than 1/4, the WGSR is sensitive to the ratio’s fluctuation. Conversely, if the ratio is less than 1/4, altering it has only a small impact on the performance [61]. For this reason, the CO/steam ratio would ideally be 1/4 for economic reasons. However, no additional steam is introduced to the reactor, as the inlet stream to the WGSR contains enough steam which makes up a CO/steam ratio of 1/7.76 based on the stream composition obtained from Aspen Plus; it is the ratio of the mole flow of CO to that of H2O. This value is obtained for T = 350 °C and P = 25 bars.

4.11. Pressure Swing Adsorption

Pressure swing adsorption (PSA) is a gas separation process that uses adsorbent to remove gas species from a mixture of gases under pressure, depending on the species’ molecular properties and affinity for the adsorbent. This procedure differs from cryogenic distillation methods in that it is carried out at temperatures that are close to ambient.
The PSA can function as a filter medium and selectively adsorb the target gas species at high-pressure sites by utilizing specialized adsorbents materials, such as zeolite. The PSA system can generate hydrogen with a purity of 99.99+ %wt., which is adequate for its intended usage [40].
The gas contains carbon monoxide, carbon dioxide, and methane when it exits the water–gas shift reactor. Most of the water vapor is eliminated by condensation when the gas is cooled to room temperature. As soon as the gas reaches one of the adsorption tanks, all of the carbon compounds, water vapor, nitrogen, and hydrogen are adsorbed, resulting in an extremely pure gas that is left after the majority of the hydrogen has passed through. The molecular sieve adsorber eventually reaches saturation, at which point, the feed is transferred to a different vessel with a newly regenerating molecular sieve [54].
The gas stream coming out of the WGS reactor has to be cooled down to 60 °C to condense all the steam present in it and, hence, ease the PSA separation operation. For this purpose, the outlet cooling water stream from the “COOLER2” block is used as the inlet to the cooler block that will cool down the gas, named “COOLER3”. The temperature of the cooling water entering is 50 °C and it leaves at a temperature of 55 °C.
The clean producer gas is delivered into a PSA unit, represented by a separator block, as shown in Figure 15 since there is not a standard PSA block in Aspen Plus. The PSA unit separates hydrogen with a 99.99% efficiency at 60 °C and 20 bars [62]. This process is shown in Figure 15.

5. Results

5.1. Gasification Results and Validation

For the sake of validation, the results obtained from the Aspen Plus simulation are compared with the experimental results obtained at the University of TU Wien Austria for the gasification of exhausted olive pomace. This comparison is illustrated in Table 6 [31].
It should be noted that only the main components are compared (H2, CO, CO2, CH4), and are converted to a dry basis mole fraction according to Equation (31).
m o l e % d b = m o l e   f l o w   r a t e t o t a l   m o l e   f l o w   r a t e m o l e   f l o w   r a t e   o f   w a t e r  
Table 6 shows noticeable differences for the compositions of H2, CO, CO2, and CH4. The main reason behind those differences is that the referenced values were obtained using different steam-to-biomass ratios in addition to different operating conditions. However, these are the only results available for experiments that were conducted on a case similar to this study. In addition to that, the results obtained in TU Wein were obtained based on an experiment conducted on an actual pilot scale gasifier, whereas the results of this study are based on a simulation with assumptions that could affect the results further, such as neglecting tar formation and the additives.
The gas yield can be calculated from the producer gas flow rate and the biomass feed rate.
G a s   y i e l d = P r o d u c e r   g a s   v o l u m e t r i c   f l o w   r a t e   ( m 3 / h ) B i o m a s s   f e e d   r a t e   ( k g / h )
From the simulation, the producer gas volumetric flow rate is 158,350 m3/h or 41,330 Nm3/h and the biomass feed rate is 22,440 kg/h; hence,
P r o d u c e r   G a s   y i e l d = 41,330   N m 3 / h 22,440   k g / h = 1.84   N m 3   g a s / k g   o f   b i o m a s s
Similarly, the hydrogen volumetric flow rate is 960.96 m3/h or 19,439 Nm3/h; hence,
H y d r o g e n   y i e l d = 19,439   N m 3 / h 22,440   k g / h = 0.87   N m 3   H 2 / k g   o f   b i o m a s s

5.2. Sensitvity Analysis

It is crucial to pinpoint the process variables that have an important impact on the desired process outputs in any process engineering project. A potential tool in Aspen Plus that enables us to measure the effect of altering these parameters on process performance is sensitivity analysis.
One can determine the variables that have the greatest influence on the process outputs by deliberately changing the values of one or more input variables while keeping all other variables constant. Nevertheless, additional research may be necessary to investigate the effects of other parameters, such as the gasification temperature impact on tar production, energy consumption, and environmental consideration.

5.2.1. Impact of Steam to Biomass Ratio on the Gasification

A Fortran coding statement is entered to define the following variables:
  • STBR: steam-to-biomass ratio.
  • H2FR: the mole fraction of H2 in the producer gas on a dry basis.
  • CO2FR: the mole fraction of CO2 in the producer gas on a dry basis.
  • COFR: the mole fraction of CO in the producer gas on a dry basis.
  • CH4FR: the mole fraction of CH4 in the producer gas on a dry basis.
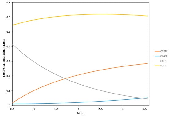
Figure 16 shows the variation of the producer gas composition on a dry basis function of the steam-to-biomass ratio (STBR). It has been established that the STBR has a significant impact on the producer gas composition, optimally in the range of 0.5 to 1, as reported by the literature [49].
The graph shows that there is a significant increase in the hydrogen composition, from 54.64% to 60.07%, when the STBR goes from 0.5 to 1.4. After this range, the hydrogen composition continues to increase, but this increase is relatively insignificant with respect to the large increase in STBR. For instance, the composition of hydrogen increases to a peak of 62.08% for an STBR of 2.6 before starting to decrease after that value. This shows that the effect of the STBR on the hydrogen composition is small for a STBR greater than 1.4 and starts to have a negative effect for ratios greater than 2.6 as the composition starts to decrease.
Additionally, the analysis shows that over the same STBR range, the compositions of methane and carbon dioxide increase to almost 3% and 23%, respectively. By contrast, the composition of carbon monoxide decreases to about 4.49% with the increase of STBR from 0.5 to 3.5. This increase in the methane composition may be desirable for the steam methane reactor found downstream, which would increase further the hydrogen yield. In addition, it is worth noting that the STBR has an impact on the overall efficiency of the process; that is, even though the increase of STBR leads to an increase in the temperature and, thus, a decrease in the tar content, it may negatively impact the producer gas low heating value (LHV) in addition to extra energy and cost to provide the huge amount of steam.
Thus, there must be a tradeoff between the STBR, the overall gasification efficiency, and the cost. The results obtained solidify that the industrial range of the STBR of 0.5–1 is valid, and that the chosen value of 0.75 for this study is also valid.

5.2.2. Impact of Gasification Temperature

A Fortran coding statement is entered to define the following variables:
  • H2FR: the mole fraction of H2 in the producer gas on a dry basis.
  • CO2FR: the mole fraction of CO2 in the producer gas on a dry basis.
  • COFR: the mole fraction of CO in the producer gas on a dry basis.
  • CH4FR: the mole fraction of CH4 in the producer gas on a dry basis.
Figure 17 shows the variation of the producer gas composition on a dry basis function of the changes in the gasification temperature. The results show that for temperatures lower than 680 °C, the composition remains constant, as the temperature is relatively low for any reaction to take place. When the temperature rises from 680 °C to 780 °C, the H2 content increases from 56.84% to 60.55% before gradually declining to 57.37% at 1000 °C. This finding is consistent with earlier research that found that the H2 production increases with the temperature increase up to an optimum point, after which, the yield decreases as a result of the formation of other byproducts.
When the temperature increases from 600 °C to 680 °C, the composition of CO increases from 38.57% to 38.9%; after that, it starts to decrease and reaches 18.98% at 1000 °C. According to the literature, based on the unique characteristics of the gasifier and the feedstock, the CO percentage in the producer gas can either rise or drop with increasing gasification temperature. The CO concentration in some gasification processes may increase as the temperature increases, since higher temperatures can favor the gasification reactions of carbon and water vapor to produce more CO. However, in other gasification processes, the amount of CO can drop as the temperature rises because this may favor the shift reaction that turns CO and water vapor into H2 and CO2 due to gasification conditions or the limitation of the model used. Consequently, as the temperature rises from 600 °C to 1000 °C, the content of CO2 gradually increases from 3.02% to 18.32%.
It is interesting to note that the CH4 composition remains zero between 600 °C and 740 °C, but begins to rise after that point to reach 4.43% at 1000 °C. This could be explained by the CH4 production that results from the larger hydrocarbons cracking at higher temperatures.
This analysis indicates that a temperature of about 780 °C is the optimum for a maximum production of hydrogen, which also supports the theory that a gasifier should operate below a temperature of 1000 °C in order to avoid ash melting.

5.2.3. Impact of Steam-to-Carbon Ratio on the Steam Methane Reformer

A Fortran coding statement is entered to define the following:
  • STCR: Steam-to-carbon ratio.
  • CH4CONV: The percentage of CH4 conversion.
  • H2FR: The mole fraction of H2 on a dry basis.
  • COFR: The mole fraction of CO on a dry basis.
  • CH4FR: The mole fraction of CH4 on a dry basis.
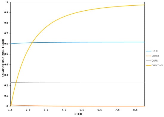
Figure 18 shows the mole fraction variation of hydrogen, methane, and carbon monoxide on a dry basis function of the steam-to-carbon ratio in the steam methane reformer. According to the findings of the sensitivity analysis, changing the steam-to-carbon ratio (STCR) significantly alters the producer gas’s composition. When the STCR increases from 1.5 to 2.5, the hydrogen composition also increases from 59.92% to 60.87%. However, the increase in hydrogen becomes relatively minimal beyond a value of 2.5, and the H2 composition becomes constant at about 62%.
The CO composition curve resembles that of H2 composition in shape. The CO composition increases from 22.5% to 23.03% as the STCR increases from 1.5 to 2.5, and after a value of 2.5, it stabilizes at roughly 23.1%. Since hydrogen has a stoichiometric coefficient of 3 in the steam methane reaction, it is important to note that the increase in hydrogen is more significant than the increase in CO.
Since methane is consumed in the steam methane reaction to produce hydrogen and CO, it is expected that the methane composition decreases as the mix of hydrogen and CO rises. According to the methane conversion curve, the conversion percentage rises as the STCR does, reaching a value of 97.5% for a STCR ratio of 9.25.
It is advised to select the best STCR for the unit’s design. It is recommended to utilize a STCR between 2.5 and 3, since the increase in H2 and CO after that point is negligible. The findings of the sensitivity study also demonstrate that as the STCR rises, the methane conversion rises drastically; however, an ideal value must be picked depending on process economics and other factors.

5.2.4. Impact of The Reformer’s Temperature on the Steam Methane Reformer

A Fortran coding statement is entered to define the following:
  • CH4CONV: The percentage of CH4 conversion.
  • H2FR: The mole fraction of H2 on a dry basis.
  • COFR: The mole fraction of CO on a dry basis.
  • CH4FR: The mole fraction of CH4 on a dry basis.
Figure 19 shows the mole fraction variation of hydrogen, methane, and carbon monoxide on a dry basis function of the reactor temperature in the steam methane reformer. The results of the sensitivity analysis for the steam methane reformer demonstrate that the temperature has a significant impact on the products’ composition. The findings demonstrate that the H2 composition considerably increases from 13.74% to 60.25% when the temperature increases from 500 °C to 850 °C, and the carbon monoxide composition simultaneously increases from 10.61% to 22.88%. These findings indicate a considerable temperature dependence of the steam methane reforming reaction.
The increase in H2 composition once the temperature reaches 850 °C is quite small, and it becomes constant at about 61% for temperatures higher than 900 °C. This indicates that increasing the temperature results in an increase in the H2 production; however, there is a point beyond which the benefits reduce. This knowledge is crucial for the design of steam methane reformers, since it implies that large amounts of H2 production may not necessarily require running at temperatures above 900 °C. An effective and economical temperature can range between 850 °C and 900 °C.
Furthermore, the data reveal that changing the temperature has a greater impact on the increase in hydrogen and carbon monoxide content than changing the steam-to-carbon ratio. Therefore, the temperature is the most important factor in optimizing the process. Furthermore, the plateau encountered in the H2 and CO content above 850 °C suggests that increasing the temperature above this point is unlikely to offer considerable benefits and may instead result in excessive energy consumption without an accompanying increase in product yields.
The steam methane reforming reaction, which generates hydrogen and carbon monoxide at the expense of methane, is responsible for the approximately 40% drop in the composition of methane throughout the temperature range of 500 °C to 850 °C. The CH4 conversion curve demonstrates that the conversion percentage rises with temperature, peaking at 94.45% at 1000 °C. According to this, greater temperatures result in improved conversion rates, which can result in higher product yields. Nevertheless, determining the ideal temperature for the operation requires careful consideration between energy consumption, cost estimation, and product yield.

6. Conclusions

Despite its potential as a significant source of renewable energy, Lebanon has long neglected its wealth of agricultural waste. Olive pomace, a byproduct of the nation’s substantial oil sector, is a feasible source of biomass for the production of hydrogen fuel. The utilization of this eco-friendly, high-energy fuel has several advantages, especially as biomass gasification is regarded as one of the most beneficial methods for producing hydrogen due to its CO2-neutral nature and the wide availability of biomass feedstocks. Additionally, it has been demonstrated that gasifying biomass with steam as a gasifying agent results in producer gas with high hydrogen concentrations.
The results of the simulations and the sensitivity analyses indicate that the suggested process for producing hydrogen through the gasification of olive pomace is a promising approach for producing sustainable energy. The results of the sensitivity analyses demonstrated that maximizing the hydrogen yield is achieved for an STBR between 0.5 and 1 and for a gasification temperature of around 780 ºC. In addition, the optimum STCR and temperature in the steam methane reformer range between 2.5–3 and 850–900 °C, respectively.
The proposed plant in this study considers the entirety of the olive pomace generated in Lebanon on a high season and it is recommended to be situated somewhat in the middle of Lebanon to minimize the transportation cost from all the olive mills. A solution could be dividing the olive pomace quantity and constructing smaller-scale plants. For example, a plant could be situated between North and Mount Lebanon, which would handle about 51% of the olive pomace, and another one could be situated in the South that could handle the pomace generated in South Lebanon, Nabatyeh, and Bekaa, which amounts to 49%.
As mentioned previously in this study, the operation period of the plant handling olive pomace should not exceed 120 days per year. However, this plant can be versatile and the core units of the plant, such as the gasifier and gas cleaning and purification units, can handle different feedstocks. Thus, for the remaining days of the year, the operating parameters could be modified and the same plant can be operated using different types of biomass or waste materials such as forestry residues, municipal residues, and industrial waste.
This study focuses on Lebanon and its olive industry and oil production. However, it is important to note that using olive pomace for gasification could indeed be applicable to other regions with similar agricultural practices and olive oil production. For instance, countries such as Spain, Italy, Greece, and Turkey are among the top producers of olives globally, with Spain ranking first, with about 766.4 tons of olive oil produced in the past year [63]. In addition, some Levant countries such as Syria, Jordan, and Cyprus, producing 95 tons, 27 tons, and 6.1 tons, respectively, could potentially benefit from similar initiatives. Moreover, with minimal modifications to the plant design and processes, this technology could be adapted to utilize other types of agricultural waste or biomass such as rice husks and sugarcane bagasse, as well as organic municipal solid waste. This adaptability broadens the potential impact of the technology, making it relevant in various agricultural and waste management contexts worldwide.
On another note, a number of significant improvements may be made to the process to increase its sustainability and efficiency. In order to reduce carbon emissions and their influence on the environment, carbon capture technology (CCS) must be incorporated into the process. In addition, using the Aspen Adsorption Software Package to undertake a thorough simulation of the pressure swing adsorption (PSA) block will offer a thorough assessment of its performance and help optimize its functioning within the process. Furthermore, taking into account the biomass’s particle size distribution in Aspen Plus makes it possible to include an actual cyclone block instead of a separator block, which may not have a substantial impact on the streams’ composition, but will improve the evaluation of the consumption of energy. Lastly, performing a pinch analysis to develop a robust heat exchanger network enhances energy integration, effectively reducing overall energy consumption and enhancing process efficiency.
Overall, this project establishes the groundwork for further study and development in this area and offers insightful information about the possibilities of utilizing agricultural waste for hydrogen production.

Supplementary Materials

The following supporting information, consisting of the Fortran coding blocks, can be downloaded at: https://www.mdpi.com/article/10.3390/en17071621/s1.

Author Contributions

Conceptualization, G.M., D.S. and R.H.; methodology, R.H.; software, G.M. and D.S.; writing—original draft preparation, G.M. and D.S.; writing—review and editing, R.H.; supervision, R.H. All authors have read and agreed to the published version of the manuscript.

Funding

This research received no external funding.

Data Availability Statement

The data presented in this study are available on request from the corresponding author.

Conflicts of Interest

The authors declare no conflicts of interest.

References

  1. Nations, U. Renewable Energy–Powering a Safer Future. Available online: https://www.un.org/en/climatechange/raising-ambition/renewable-energy (accessed on 30 August 2023).
  2. Fu, J.; Lin, S.; Cai, B.; Liang, J.; Chen, Z.; Evrendilek, F.; Zhong, S.; Yang, Z.; Yang, C.; He, Y.; et al. Catalytic co-pyrolysis of coffee grounds and polyethylene: A comparison of HZSM-5 and HY. Fuel 2024, 362, 130815. [Google Scholar] [CrossRef]
  3. REN21 Renewables 2011 Global Status Report. Available online: https://www.ren21.net/wp-content/uploads/2019/05/GSR2011_Full-Report_English.pdf (accessed on 30 August 2023).
  4. Agyekum, E.B.; Nutakor, C.; Agwa, A.M.; Kamel, S. A Critical Review of Renewable Hydrogen Production Methods: Factors Affecting Their Scale-Up and Its Role in Future Energy Generation. Membranes 2022, 12, 173. [Google Scholar] [CrossRef] [PubMed]
  5. MIT Technology Review. Cheap Renewables Could Make Green Hydrogen a Practical Replacement for Fossil Fuels. Available online: https://www.technologyreview.com/2021/02/24/1017822/green-hydrogen-clean-energy/ (accessed on 30 August 2023).
  6. Hydrogen Council. Hydrogen Council Report 2022. Available online: https://hydrogencouncil.com/en/ (accessed on 17 March 2024).
  7. Hassan, Q.; Algburi, S.; Jaszczur, M.; Al-Jiboory, A.K.; Al Musawi, T.J.; Ali, B.M.; Viktor, P.; Fodor, M.; Ahsan, M.; Salman, H.M.; et al. Hydrogen role in energy transition: A comparative review. Process Saf. Environ. Prot. 2024, 184, 1069–1093. [Google Scholar] [CrossRef]
  8. Konieczny, A.; Mondal, K.; Wiltowski, T.; Dydo, P. Catalyst development for thermocatalytic decomposition of methane to hydrogen. Int. J. Hydrogen Energy 2008, 33, 264–272. [Google Scholar] [CrossRef]
  9. Ab Karim Ghani, W.A.W.; Moghadam, R.A.; Mohd Salleh, M.A. Air Gasification of Malaysia Agricultural Waste in a Fluidized Bed Gasifier: Hydrogen Production Performance. In Sustainable Growth and Applications in Renewable Energy Sources; InTech: London, UK, 2011. [Google Scholar]
  10. International Renewable Energy Agency. Renewable Energy Outlook: Lebanon; International Renewable Energy Agency: Masdar City, United Arab Emirates, 2020. [Google Scholar]
  11. The United Nations Development Programme (UNDP). The National Bioenergy Strategy for Lebanon; United Nations Development Programme: New York, NY, USA, 2014. [Google Scholar]
  12. NationMaster. Top Countries for Olives Production–Source FAO. Available online: https://www.nationmaster.com/nmx/ranking/olives-production-fao (accessed on 31 August 2023).
  13. Investment Development Authority of Lebanon (IDAL). Olive Oil Industry in Lebanon. 2014. Available online: http://investinlebanon.gov.lb/Content/uploads/SideBlock/140310055218667~Olive%20Oil%20Presentation%20-%20Web.pdf (accessed on 31 August 2023).
  14. Integrated Waste Management for the Olive Oil Pressing Industries in Lebanon, Syria & Jordan (IMOOPW). 2007. Available online: http://www.undp.org.lb/programme/environment/newsletters/olive/Issue1.pdf (accessed on 22 October 2023).
  15. Kinab, E.; Khoury, G. Management of olive solid waste in Lebanon: From mill to stove. Renew. Sustain. Energy Rev. 2015, 52, 209–216. [Google Scholar] [CrossRef]
  16. Chen, Z.; Li, W.; Huang, S.; Zhuang, P.; Jia, D.; Evrendilek, F.; Zhong, S.; Ninomiya, Y.; Yang, Z.; He, Y.; et al. Dynamic, synergistic, and optimal emissions and kinetics of volatiles during co-pyrolysis of soil remediation plants with kaolin/modified kaolin. Chem. Eng. J. 2024, 483, 149214. [Google Scholar] [CrossRef]
  17. Tang, X.; Chen, Z.; Liu, J.; Chen, Z.; Xie, W.; Evrendilek, F.; Buyukada, M. Dynamic pyrolysis behaviors, products, and mechanisms of waste rubber and polyurethane bicycle tires. J. Hazard. Mater. 2021, 402, 123516. [Google Scholar] [CrossRef] [PubMed]
  18. Cecílio, D.M.; Gonçalves, J.R.M.; Correia, M.J.N.; Mateus, M.M. Aspen Plus® Modeling and Simulation of an Industrial Biomass Direct Liquefaction Process. Fuels 2023, 4, 221–242. [Google Scholar] [CrossRef]
  19. Harb, R.; Rivera-Tinoco, R.; Nemer, M.; Zeghondy, B.; Bouallou, C. Towards synthetic fuels production from biomass gasification: Tar content at low temperatures. Biomass Bioenergy 2020, 137, 105540. [Google Scholar] [CrossRef]
  20. Saxena, R.C.; Seal, D.; Kumar, S.; Goyal, H.B. Thermo-chemical routes for hydrogen rich gas from biomass: A review. Renew. Sustain. Energy Rev. 2008, 12, 1909–1927. [Google Scholar] [CrossRef]
  21. Maric, J.; Berdugo Vilches, T.; Thunman, H.; Gyllenhammar, M.; Seemann, M. Valorization of Automobile Shredder Residue Using Indirect Gasification. Energy Fuels 2018, 32, 12795–12804. [Google Scholar] [CrossRef]
  22. Kirnbauer, F.; Koch, M.; Koch, R.; Aichernig, C.; Hofbauer, H. Behavior of Inorganic Matter in a Dual Fluidized Steam Gasification Plant. Energy Fuels 2013, 27, 3316–3331. [Google Scholar] [CrossRef]
  23. Lin, Y.; Wang, Q.; Ye, C.; Zhu, Y.; Fan, H. Experimental Research on the Gas-Solid Flow Characteristics in Large-Scale Dual Fluidized Bed Reactor. Energies 2023, 16, 7239. [Google Scholar] [CrossRef]
  24. Chyou, Y.-P.; Chang, D.-M.; Chen, P.-C.; Chien, H.-Y.; Wu, K.-T.; Chein, R.-Y. Development of Biomass Gasification Technology with Fluidized-Bed Reactors for Enhancing Hydrogen Generation: Part I, Hydrodynamic Characterization of Dual Fluidized-Bed Gasifiers. Appl. Sci. 2019, 10, 2. [Google Scholar] [CrossRef]
  25. Aghaalikhani, A.; Schmid, J.C.; Borello, D.; Fuchs, J.; Benedikt, F.; Hofbauer, H.; Rispoli, F.; Henriksen, U.B.; Sárossy, Z.; Cedola, L. Detailed modelling of biomass steam gasification in a dual fluidized bed gasifier with temperature variation. Renew. Energy 2019, 143, 703–718. [Google Scholar] [CrossRef]
  26. Abdelouahed, L.; Authier, O.; Mauviel, G.; Corriou, J.P.; Verdier, G.; Dufour, A. Detailed Modeling of Biomass Gasification in Dual Fluidized Bed Reactors under Aspen Plus. Energy Fuels 2012, 26, 3840–3855. [Google Scholar] [CrossRef]
  27. Suwatthikul, A.; Limprachaya, S.; Kittisupakorn, P.; Mujtaba, I. Simulation of Steam Gasification in a Fluidized Bed Reactor with Energy Self-Sufficient Condition. Energies 2017, 10, 314. [Google Scholar] [CrossRef]
  28. Pala, L.P.R.; Wang, Q.; Kolb, G.; Hessel, V. Steam gasification of biomass with subsequent syngas adjustment using shift reaction for syngas production: An Aspen Plus model. Renew. Energy 2017, 101, 484–492. [Google Scholar] [CrossRef]
  29. Liao, C.; Summers, M.; Seiser, R.; Cattolica, R.; Herz, R. Simulation of a pilot-scale dual-fluidized-bed gasifier for biomass. Environ. Prog. Sustain. Energy 2014, 33, 732–736. [Google Scholar] [CrossRef]
  30. Jana, K.; De, S. Biomass integrated gasification combined cogeneration with or without CO2 capture—A comparative thermodynamic study. Renew. Energy 2014, 72, 243–252. [Google Scholar] [CrossRef]
  31. Schmid, J.C.; Kolbitsch, M.; Fuchs, J.; Benedikt, F.; Müller, S.; Hofbauer, H. Steam Gasification of Exhausted Olive Pomace with a Dual Fluidized Bed Pilot Plant at TU Wien. Public Report of Scientific Research: Gasification of Exhausted Olive Pomace. 2016. Available online: http://hdl.handle.net/20.500.12708/38798 (accessed on 18 September 2023).
  32. Integrated Assessment of the Lebanon-EU Association Agreement: A Pilot Study on the Lebanese Olive Oil Sector. 2006. Available online: https://www.economy.gov.lb/public/uploads/files/9315_5723_1026.pdf (accessed on 18 September 2023).
  33. Maroto, M.D.L.T.; Cal Herrera, J.A.L.; Vilar, M.M. Dry Olive Pomace Gasification to Obtain Electrical Energy in a Downdraft Gasifier. WIT Trans. Ecol. Environ. 2020, 247, 137–144. [Google Scholar]
  34. Heidenreich, S.; Müller, M.; Foscolo, P.U. Advanced Biomass Gasification: New Concepts for Efficiency Increase and Product Flexibility; Elsevier/Academic Press: Cambridge, MA, USA, 2016; ISBN 978-0-12-804296-0. Available online: https://www.sciencedirect.com/book/9780128042960/advanced-biomass-gasification (accessed on 18 September 2023).
  35. Mesfun, S.; Engvall, K.; Toffolo, A. Electrolysis Assisted Biomass Gasification for Liquid Fuels Production. Front. Energy Res. 2022, 10, 799553. [Google Scholar] [CrossRef]
  36. Parthasarathy, P.; Narayanan, K.S. Hydrogen production from steam gasification of biomass: Influence of process parameters on hydrogen yield—A review. Renew. Energy 2014, 66, 570–579. [Google Scholar] [CrossRef]
  37. Tonpakdee, P.; Hongrapipat, J.; Siriwongrungson, V.; Pang, S.; Rauch, R.; Messner, M.; Henrich, C.; Pessl, P.; Dichand, M. Replacement of Palm Methyl Ester to Rapeseed Methyl Ester for Tar Removal in the Nong Bua Dual Fluidized Bed Gasification Power Plant. IOP Conf. Ser. Earth Environ. Sci. 2021, 801, 012021. [Google Scholar] [CrossRef]
  38. Speight, J.G. The Refinery of the Future, 2nd ed.; Gulf Professional Publishing: Cambridge, MA, USA, 2020. [Google Scholar]
  39. Speight, J.G. Heavy Oil Recovery and Upgrading; Gulf Professional Publishing: Cambridge, MA, USA, 2019. [Google Scholar]
  40. Reddy, S.; Vyas, S. Recovery of Carbon Dioxide and Hydrogen from PSA Tail Gas. Energy Procedia 2009, 1, 149–154. [Google Scholar] [CrossRef][Green Version]
  41. Doherty, W.; Reynolds, A.; Kennedy, D. Aspen Plus Simulation of Biomass Gasification in a Steam Blown Dual Fluidised Bed. In Materials and Processes for Energy: Communicating Current Research and Technological Developments; Méndez-Vilas, A., Ed.; Formatex Research Centre: Badajoz, Spain, 2013; Available online: https://core.ac.uk/download/pdf/301306257.pdf (accessed on 18 September 2023).
  42. Sun, K. Optimization of Biomass Gasification Reactor Using Aspen Plus. Master’s Thesis, Telemark University College, Porsgrunn, Norway, 2014. [Google Scholar]
  43. Aspen Plus User Guide; Aspen Technology: Cambridge, MA, USA, 2000.
  44. Aspen Plus: Getting Started Modeling Processes with Solids; Aspen Technology: Burlington, USA, 2013.
  45. Aguado, R.; Vera, D.; Jurado, F.; Beltrán, G. An integrated gasification plant for electric power generation from wet biomass: Toward a sustainable production in the olive oil industry. Biomass Convers. Biorefinery 2022. [Google Scholar] [CrossRef]
  46. Frodeson, S.; Henriksson, G.; Berghel, J. Effects of moisture content during densification of biomass pellets, focusing on polysaccharide substances. Biomass Bioenergy 2019, 122, 322–330. [Google Scholar] [CrossRef]
  47. Pröll, T.; Hofbauer, H. H2 rich syngas by selective CO2 removal from biomass gasification in a dual fluidized bed system—Process modelling approach. Fuel Process. Technol. 2008, 89, 1207–1217. [Google Scholar] [CrossRef]
  48. Pröll, T.; Rauch, R.; Aichernig, C.; Hofbauer, H. Fluidized Bed Steam Gasification of Solid Biomass-Performance Characteristics of an 8 MWth Combined Heat and Power Plant. Int. J. Chem. React. Eng. 2007, 5, A54. [Google Scholar] [CrossRef]
  49. Proell, T.; Rauch, R.; Aichernig, C.; Hofbauer, H. Coupling of Biomass Steam Gasification and an SOFC-Gas Turbine Hybrid System for Highly Efficient Electricity Generation. In Volume 7: Turbo Expo 2004; ASMEDC: Vienna, Austria, 2004; pp. 103–112. [Google Scholar]
  50. Hoffmann, A.C.; Stein, L.E. Gas Cyclones and Swirl Tubes; Springer: Berlin/Heidelberg, Germany, 2007; ISBN 978-3-540-74696-6. [Google Scholar]
  51. Coker, A.K.; Ludwig, E.E. Ludwig’s Applied Process Design for Chemical and Petrochemical Plants, 4th ed.; Elsevier Gulf Professional Pub: Amsterdam, The Netherlands; Boston, MA, USA, 2007. [Google Scholar]
  52. Enalysis Tip 1.10-Reciprocating Compressor Limitations. Available online: https://www.detechtion.com/learningcenter/enalysis-tip-1.10-reciprocating-compressor-limitations (accessed on 30 September 2023).
  53. Harb, R.; Rivera-Tinoco, R.; Zeghondy, B.; Bouallou, C. Evaluating the impact of several scrubbing systems on the tar removal efficiency from producer gas. Clean Technol. Environ. Policy 2022, 24, 379–392. [Google Scholar] [CrossRef]
  54. Eyalarasan, K.; Tesfamariam, M.D.; Meleake, H.; Gebreyonas, A. Design of Process Plant for Producing Hydrogen from Steam Reforming of Natural Gas. Int. J. Eng. Res. Technol. 2013, 2, 746–754. [Google Scholar]
  55. Madon, R.H.; Fawzi, M.; Sarwani, K.I.; Osman, S.A.; Razali, M.A.; Mohammadc, A.W. Effect of Steam to Carbon Ratio (S:C) on Steam Methane Reforming’s yield over Coated Nickel Aluminide (Ni3Al) Catalyst in Micro Reactor. J. Kejuruter. 2020, 32, 657–662. [Google Scholar] [CrossRef] [PubMed]
  56. Saw, S.Z.; Nandong, J. Simulation and control of water-gas shift packed bed reactor with inter-stage cooling. IOP Conf. Ser. Mater. Sci. Eng. 2016, 121, 012022. [Google Scholar] [CrossRef]
  57. Barbosa Lima, D.F.; Ademar, F.; Kaminski, M.; Matar, P. Modeling and Simulation of Water Gas Shift Reactor: An Industrial Case. In Petrochemicals; Patel, V., Ed.; InTech: London, UK, 2012. [Google Scholar]
  58. Newsome, D.S. The Water-Gas Shift Reaction. Catal. Rev. 1980, 21, 275–318. [Google Scholar] [CrossRef]
  59. Smith R J, B.; Loganathan, M.; Shantha, M.S. A Review of the Water Gas Shift Reaction Kinetics. Int. J. Chem. React. Eng. 2010, 8, Review R4. [Google Scholar] [CrossRef]
  60. Hla, S.; Park, D.; Duffy, G.; Edwards, J.; Roberts, D.; Ilyushechkin, A.; Morpeth, L.; Nguyen, T. Kinetics of high-temperature water-gas shift reaction over two iron-based commercial catalysts using simulated coal-derived syngases. Chem. Eng. J. 2009, 146, 148–154. [Google Scholar] [CrossRef]
  61. Chen, W.-H.; Hsieh, T.-C.; Jiang, T.L. An experimental study on carbon monoxide conversion and hydrogen generation from water gas shift reaction. Energy Convers. Manag. 2008, 49, 2801–2808. [Google Scholar] [CrossRef]
  62. Allevi, C.; Collodi, G. Hydrogen production in IGCC systems. In Integrated Gasification Combined Cycle (IGCC) Technologies; Elsevier: Amsterdam, The Netherlands, 2017; pp. 419–443. [Google Scholar]
  63. Olive Oil Production by Country 2024. Available online: https://worldpopulationreview.com/country-rankings/olive-oil-production-by-country (accessed on 17 March 2024).
Figure 1. (a) Mapping of olive groves in Lebanon; (b) distribution of olive oil trees in Lebanon by harvested area (2010) [13].
Figure 1. (a) Mapping of olive groves in Lebanon; (b) distribution of olive oil trees in Lebanon by harvested area (2010) [13].
Energies 17 01621 g001
Figure 2. Steps of the traditional olive oil extraction [14].
Figure 2. Steps of the traditional olive oil extraction [14].
Energies 17 01621 g002
Figure 3. Process block flow diagram.
Figure 3. Process block flow diagram.
Energies 17 01621 g003
Figure 4. Schematic illustration of a dual fluidized bed gasification process [24].
Figure 4. Schematic illustration of a dual fluidized bed gasification process [24].
Energies 17 01621 g004
Figure 5. Conceptual scheme of a dual fluidized bed gasifier [35].
Figure 5. Conceptual scheme of a dual fluidized bed gasifier [35].
Energies 17 01621 g005
Figure 6. Flowsheet of the entire hydrogen production plant.
Figure 6. Flowsheet of the entire hydrogen production plant.
Energies 17 01621 g006
Figure 7. Simulation of the dryer on Aspen Plus.
Figure 7. Simulation of the dryer on Aspen Plus.
Energies 17 01621 g007
Figure 8. Simulation of the biomass breakdown on Aspen Plus.
Figure 8. Simulation of the biomass breakdown on Aspen Plus.
Energies 17 01621 g008
Figure 9. Simulation of the gasifier on Aspen Plus.
Figure 9. Simulation of the gasifier on Aspen Plus.
Energies 17 01621 g009
Figure 10. Simulation of the gas cleaning units in Aspen Plus.
Figure 10. Simulation of the gas cleaning units in Aspen Plus.
Energies 17 01621 g010
Figure 11. Simulation of the steam methane reformer in Aspen Plus.
Figure 11. Simulation of the steam methane reformer in Aspen Plus.
Energies 17 01621 g011
Figure 12. Kinetic model for the WGS reaction.
Figure 12. Kinetic model for the WGS reaction.
Energies 17 01621 g012
Figure 13. Simulation of the SMR and WGS reactors in Aspen Plus.
Figure 13. Simulation of the SMR and WGS reactors in Aspen Plus.
Energies 17 01621 g013
Figure 14. Comparisons of the CO conversions using different CO/steam ratios for HT-WGS [61].
Figure 14. Comparisons of the CO conversions using different CO/steam ratios for HT-WGS [61].
Energies 17 01621 g014
Figure 15. Simulation of the PSA unit in Aspen Plus.
Figure 15. Simulation of the PSA unit in Aspen Plus.
Energies 17 01621 g015
Figure 16. Variation of the producer gas composition (mol fraction, dry basis) function of the STBR.
Figure 16. Variation of the producer gas composition (mol fraction, dry basis) function of the STBR.
Energies 17 01621 g016
Figure 17. Variation of the producer gas composition (mol fraction, dry basis) function of the gasification temperature.
Figure 17. Variation of the producer gas composition (mol fraction, dry basis) function of the gasification temperature.
Energies 17 01621 g017
Figure 18. Variation of the mole fraction of hydrogen, methane, and carbon monoxide on a dry basis function of the steam-to-carbon ratio in the steam methane reformer.
Figure 18. Variation of the mole fraction of hydrogen, methane, and carbon monoxide on a dry basis function of the steam-to-carbon ratio in the steam methane reformer.
Energies 17 01621 g018
Figure 19. Variation of the mole fraction of hydrogen, methane, and carbon monoxide on a dry basis in function of the steam methane reformer’s temperature.
Figure 19. Variation of the mole fraction of hydrogen, methane, and carbon monoxide on a dry basis in function of the steam methane reformer’s temperature.
Energies 17 01621 g019
Table 1. Steam gasification reactions [36].
Table 1. Steam gasification reactions [36].
Reactions H ( k J / m o l ) TypeNb.
Primary Devolatilization
B i o m a s s C O , C O 2 , C H 4 , C 2 H 4 , H 2 O , C a r b o n   P r i m a r y   T a r   ( C H x O y ) (2)
Tar Cracking and Reforming
P r i m a r y   T a r C O , C O 2 , C H 4 , C 2 H 4 , H 2 , S e c o n d a r y   T a r (3)
Homogenous Gas-phase Reactions
S e c o n d a r y   T a r s C , C O , H 2 (4)
H 2 + 0.5 O 2 H 2 O −242Combustion (oxidation)(5)
C O + 0.5 O 2 C O 2 −283Combustion (oxidation)(6)
C H 4 + 0.5 O 2 C O + 2 H 2 −110Combustion (oxidation)(7)
C H 4 + C O 2 2 C O + 2 H 2 +247Dry reforming reaction(8)
C H 4 + H 2 O C O + 3 H 2 +206Steam reforming reaction(9)
C O + H 2 O C O 2 + H 2 −41WGS reaction(10)
Heterogeneous Reactions
C + O 2 C O 2 −393Oxidation of carbon(11)
C + 0.5 O 2 C O −123Partial oxidation(12)
C + C O 2 2 C O +160Boudouard reaction(13)
C + H 2 O C O + H 2 +118Water–gas reaction (steam reforming)(14)
C + 2 H 2 C H 4 −87Methane production(15)
Table 2. List of components defined in Aspen Plus.
Table 2. List of components defined in Aspen Plus.
Component IDTypeComponent NameAlias
CSolidCARBON-GRAPHITEC
CO2ConventionalCARBON-DIOXIDECO2
COConventionalCARBON-MONOXIDECO
H2ConventionalHYDROGENH2
H2OConventionalWATERH2O
N2ConventionalNITROGENN2
O2ConventionalOXYGENO2
CH4ConventionalMETHANECH4
SConventionalSULFURS
ASHNonconventional
NH3ConventionalAMMONIAH3N
H2SConventionalHYDROGEN-SULFIDEH2S
SO2ConventionalSULFUR-DIOXIDEO2S
BIOMASSNonconventional
NOConventionalNITRIC-OXIDENO
RMEConventionalMETHYL-OLEATEC19H36O2
C6H6ConventionalBENZENEC6H6
C6H6OConventionalPHENOLC6H6O
C10H8ConventionalNAPHTHALENEC10H8
Table 3. Ultimate and proximate analysis and other properties of olive pomace [45].
Table 3. Ultimate and proximate analysis and other properties of olive pomace [45].
Proximate analysis (wt.%)
Moisture 25.0
Fixed carbon (FC) 17.6
Volatile matter (VM) 77.4
Ash 5.0
Ultimate analysis (wt.%, dry basis)
Ash (1) 5.0
Carbon (2) 51.3
Hydrogen (3) 6.4
Nitrogen (4) 2.0
Chlorine (5) 0.0
Sulphur (6) 0.3
Oxygen (7) 35.0
Sulfanal
Pyritic 0.0
Sulfate 0.0
Organic 0.3
Table 4. Gasification reactions [41].
Table 4. Gasification reactions [41].
Heterogeneous Reactions
C + 2 H 2 C H 4 (21)
C + H 2 O C O + H 2 (22)
C + C O 2 2 C O (23)
Homogeneous Reactions
C H 4 + H 2 O   C O + 3 H 2 (24)
C O + H 2 O C O 2 + H 2 (25)
NH3 and H2S Formation Reaction
0.5 N 2 + 1.5 H 2     N H 3 (26)
H 2 + S     H 2 S (27)
Table 5. Estimated parameters for the power law HT-WGS [60].
Table 5. Estimated parameters for the power law HT-WGS [60].
kEa (kJ/mol)lmnq
699.8411110−0.36−0.09
Table 6. Product gas composition comparison with an existing pilot plant [31].
Table 6. Product gas composition comparison with an existing pilot plant [31].
ComponentPRODGAS mole%dbTU Wien’s Results mole%db [31]Difference (%)
H259.9853.611.90
CO 22.7919.815.10
CO215.0114.53.51
CH41.45.8−75.86
Disclaimer/Publisher’s Note: The statements, opinions and data contained in all publications are solely those of the individual author(s) and contributor(s) and not of MDPI and/or the editor(s). MDPI and/or the editor(s) disclaim responsibility for any injury to people or property resulting from any ideas, methods, instructions or products referred to in the content.

Share and Cite

MDPI and ACS Style

Matta, G.; Semaan, D.; Harb, R. Simulation of Olive Pomace Gasification for Hydrogen Production Using Aspen Plus: Case Study Lebanon. Energies 2024, 17, 1621. https://doi.org/10.3390/en17071621

AMA Style

Matta G, Semaan D, Harb R. Simulation of Olive Pomace Gasification for Hydrogen Production Using Aspen Plus: Case Study Lebanon. Energies. 2024; 17(7):1621. https://doi.org/10.3390/en17071621

Chicago/Turabian Style

Matta, Georges, Daniella Semaan, and Rita Harb. 2024. "Simulation of Olive Pomace Gasification for Hydrogen Production Using Aspen Plus: Case Study Lebanon" Energies 17, no. 7: 1621. https://doi.org/10.3390/en17071621

APA Style

Matta, G., Semaan, D., & Harb, R. (2024). Simulation of Olive Pomace Gasification for Hydrogen Production Using Aspen Plus: Case Study Lebanon. Energies, 17(7), 1621. https://doi.org/10.3390/en17071621

Note that from the first issue of 2016, this journal uses article numbers instead of page numbers. See further details here.

Article Metrics

Back to TopTop