Next Article in Journal
Load Margin Assessment of Power Systems Using Physics-Informed Neural Network with Optimized Parameters
Previous Article in Journal
A Comprehensive Analysis of Hydrogen–Gasoline Blends in SI Engine Performance and Emissions
 
 
Font Type:
Arial Georgia Verdana
Font Size:
Aa Aa Aa
Line Spacing:
Column Width:
Background:
Article

A Study on the Scour Surrounding the Fixed Foundation of an Offshore Wind Turbine under Complex Waves, Tidal Currents, and Pile Vibration Conditions

1
School of Mechanical Engineering, Hunan Institute of Engineering, Xiangtan 411104, China
2
School of Computing and Engineering, University of Huddersfield, Huddersfield HD1 3DH, UK
*
Author to whom correspondence should be addressed.
Energies 2024, 17(7), 1561; https://doi.org/10.3390/en17071561
Submission received: 1 January 2024 / Revised: 24 February 2024 / Accepted: 18 March 2024 / Published: 25 March 2024
(This article belongs to the Section A3: Wind, Wave and Tidal Energy)

Abstract

Scouring around the fixed foundations of offshore wind turbines (OWTs) remains a pressing concern within the offshore wind industry, significantly jeopardizing OWT safety. Despite previous efforts, the current understanding of this phenomenon remains incomplete, as various factors related to offshore wind farms and OWT operations can exert intricate influences. To further explore this matter, this paper undertakes a new study to further understand the interplay between monopile vibrations, tidal currents, and sea waves, elucidating their combined impact on scour surrounding an OWT’s foundation. It was found that, besides pile vibration amplitude and frequency, the pile vibration direction can also notably influence the scour around the monopile. Specifically, the most pronounced scour mostly transpires when the monopile undergoes vibrations along the 135° direction relative to the inflow direction. The mildest scour mostly occurs when the pile vibrates along the 90° direction. Additionally, this study reveals that different types of waves, indicated by the ratio of water depth, H, to wavelength, L, also engender varying scour around the monopile. The influence of waves on scour increases with the decrease in the H/L ratio, implying that OWT foundations are more threatened by shallow water waves than by deep water waves.

1. Introduction

Despite the recent trend of offshore wind farms expanding from shallower coastal waters to deeper offshore regions, it remains noteworthy that approximately 90% of offshore wind turbines (OWTs) continue to rely on fixed foundations. This type of foundation, renowned for its technological maturity and cost-effectiveness, is particularly advantageous in waters within depths of 50 m [1,2,3]. However, fixed foundations in coastal shallow waters also encounter many challenges, which encompass scour induced by tidal streams and waves and the impact of extreme factors such as typhoons [4]. Although the scour around the foundation may not generate immediate structural damage akin to that caused by typhoons on OWTs, the resulting scour pits can degenerate the load-bearing capacity of the OWT foundations and eventually present a substantial safety concern for the overall integrity of the OWTs [5]. Research that considers pure wave conditions has indicated that the depth of scour pits tends to increase as the wave heights and wavelengths rise, whereas it decreases with the increase in the sediment grain diameter and water depth [6]. It is also found that tailing vortices and horseshoe vortices play pivotal roles in the scouring process [7]. The evolution of these flow structures primarily hinges on the change in the Keulegan–Carpenter (KC) number, which appears to be a critical parameter governing the equilibrium scour depth of the active bed, whereas OWT monopile foundations in real life are exposed to both waves and tidal currents simultaneously, which may boost each other’s influence on scour. Further, sea waves and tides and their effects on piles for offshore structures are paramount for wind turbine facilities. These systems are generally combined with wave harvesting systems and solar panels [8,9]. Hence, an exploration of the synergistic impact of waves and tidal currents on scour was carried out through experiments in a large-scale wave flume [10]. The findings from these tests reveal that, when subjected to low KC numbers, the actual damage inflicted on the scour protection layer is notably less severe than what the KC numbers had initially predicted. In addition, the research reported in [11] unveils an additional phenomenon, i.e., waves also have a substantial influence on the soil pore water pressure, causing cyclical fluctuations in the soil pore water pressure and even triggering seabed liquefaction in extreme cases. This phenomenon clarifies why sediments atop the seabed surface are more susceptible to erosion under the combined influence of tidal currents and waves, thereby imposing a substantial threat to OWTs. Furthermore, the impacts of irregular waves propagating in a direction that is divergent from the tidal currents’ direction are examined in [12]. This study revealed that the scour depth around monopiles under wave–current conditions is not only influenced by the KC number but also by the dimensionless parameter Ucw. This intriguing insight triggered a series of subsequent investigations aimed at scrutinizing scour phenomena around monopile foundations across various combinations of Ucw and KC numbers [4,13].
Scholarly attention has also turned to the combined effects of marine environmental factors and the movements of an operating OWT on scour. It is widely acknowledged that OWT foundations undergo vibrations generated by the cyclic loading stemming from wind, waves, tidal currents, and blade rotation [14]. It is predicted that an OWT may experience more than 107–108 cyclic loads throughout its design life [15]. While these cyclic loads have the potential to induce substantial fatigue within OWT structures [16], they concurrently intensify interactions between monopiles and soil. Consequently, such interactions provoke alterations in the nature of the surrounding soil and, in turn, affect the load-bearing capacity of the foundation [17]. Moreover, cyclic monopile vibrations contribute to soil densification, increasing foundation stiffness, altering intrinsic frequencies, and reducing damping [17]. The research in [18] showcases how an increased loading or loading frequency augments bed settlement and convective sediment areas around vibrating monopiles. The work documented in [19] uncovers the varying roles that monopile vibration plays during distinct stages of monopile scour. This study was further advanced in [20], revealing that the vibration amplitude of the monopile has a greater influence over its vibration frequency in shaping scour outcomes, and strong monopile vibration will exacerbate scouring, whereas weak monopile vibration will cause the soil to be densified and consequently slow down the formation of scour pits. Recent research has also revealed that cyclic loading can trigger foundation settlement and the convective movement of sediments around the foundation [21,22,23]. This will impact the foundation’s load-bearing capacity to a certain extent [24], thereby threatening the reliability of this specific type of OWT foundation.
Although previous studies have significantly enriched our knowledge about OWT foundation scour, the influences of other crucial factors on scour and fluid–monopile–seabed interactions still require exploration. For example, extensive research has examined the effects of waves on monopile scour, encompassing investigations under pure wave conditions and combined wave–current conditions. Scholars have also extensively explored the combined impacts of foundation vibration and tidal currents on scour. Nevertheless, an important gap remains in understanding how diverse types of waves (e.g., deep water waves, shallow water waves, etc.) and pile vibration direction influence the scour around a vibrating monopile foundation situated in tidal currents. Notably, such scenarios are much closer to the real-world operational environments of OWTs. Therefore, the objective of the study reported in this paper is to address this knowledge gap.
The remaining sections of this paper are organized as follows: Section 2 provides an introduction to the experimental setup. Section 3 outlines a comprehensive testing matrix, delineating a series of scenarios characterized by various environmental conditions and vibration states of the OWT monopile foundation. In Section 4, experiments are conducted to understand how the pile vibration direction impacts foundation scour. The effects of diverse types of waves on seabed erosion are investigated through numerical calculations presented in Section 5. Building upon this, Section 6 delves into experimental investigations to uncover the impacts of various types of waves on the scour of a monopile foundation. Furthermore, this section studies the interplay between waves and pile vibration during the period of scouring. Finally, the work is concluded in Section 7.

2. Experimental Setup

The experimental study was conducted within an annular flume that was specifically designed to replicate offshore conditions, as illustrated in Figure 1.
The dimensions of the flume are 14.65 m × 5.9 m × 1.8 m. The middle of the flume’s front channel is employed for testing. To facilitate observation, a glass window with dimensions of 2.7 m × 1.3 m is designed on the front wall of the flume, as shown in Figure 1a. At the two ends of the flume, the outer and inner diameter are 5.9 m and 2.4 m, respectively. The wavemaker is installed at the flume’s right extremity, as seen in Figure 1b. Powered by a robust 2 kW induction motor, this wavemaker can generate regular waves of up to 0.3 m in height and wave periods in the range of 0.5 to 4 s. It is also capable of generating irregular waves characterized by a variety of wave spectra. The water in the flume is driven by two axial pumps placed in the real channel of the flume to generate ‘tidal current’, as depicted in Figure 1c. The two axial pumps are rated at 10 kW and 15 kW, separately. Consequently, the ‘tidal current’ velocity in the flume is adjustable, ranging from 0.1 to 2.0 m/s, by changing the pump’s rotational speed. Figure 1d shows the sensor for measuring wave height in the experiment. It consists of a measuring rod, a signal processor, and a data transmission interface. To bolster precision and stability, the measuring rod is ingeniously crafted as a dual-rod structure to avoid deformation. In the measurement process, the metal measuring rod is inserted into the water to form a cylindrical capacitor, of which the capacitance fluctuates correspondingly to the oscillations of water levels. Then, the wave height can be derived from the value of the measured capacitance. The wave height meter is placed at the distance of 1D in front of the model pile to monitor the real-time wave height in front of the pile.
To facilitate this study, a sand pool was built on the floor of the testing section of the flume. The sand pool’s dimensions measured 3.8 m in length, 1.35 m in width, and 0.3 m in depth. The sand in the sand pool was standard quartz sand, characterized by a D50 of 0.64 mm. As carried out in [25], carefully screening and cleaning the quartz sand in the pool was essential to ensure the reliability of the study.
To emulate the vibrations experienced by the monopile foundation of an operational OWT, a specialized shaker was purposefully designed. It is shown in Figure 2.
As depicted in Figure 2a, the shaker comprises a DC motor integrated with a custom-designed cam mechanism. During testing, the vibration frequency of the shaker can be readily regulated by modulating the DC motor’s rotational speed. The vibration amplitude of the monopile can be conveniently adjusted by modifying the cam mechanism’s eccentric distance. As shown in Figure 2b, a 2 m long hollow plexiglass pipe with an outer diameter and inner diameter of 100 mm and 80 mm, respectively, was used in the experiment to illustrate the monopile foundation of the OWTs. The pipe will be placed in the middle of the sand pit for the experimental simulation and firmly fixed to the floor of the sink by means of an aid clamp installed in the sand pit. During the test, the shaker was positioned atop a platform, elevated to a height of 1.3 m above the ‘mudline’ (i.e., the floor of the flume).
As illustrated in Figure 3, the data acquisition system utilized in this study comprises several components: a camera, a drive motor, four rulers securely affixed to the pipe’s inner wall, and a comprehensive lighting and power setup. Among the four rulers, ruler #1 and ruler #3 are employed to measure the scour pits ahead and behind the monopile foundation, respectively, and ruler #2 and ruler #4 are employed to measure the scour pits on the two sides of the monopile foundation. Throughout the test, the drive motor orchestrates the gradual rotation of the camera, capturing images of the sand bed encircling the monopile. Such a procedure facilitates real-time monitoring of the formation and development of the scour pits. The drive motor has a rated rotational speed of 5 rpm. However, it is adjustable. The camera provides close observations from all circumferential directions, supplemented by the four rulers on the pipe’s inner wall, ensuring precise and dependable measurements of the scour pits.
Considering that scour pits in different circumferential directions of the monopile may evolve at varying rates [18], this study will measure the scour pits’ depths at four distinct positions encircling the monopile, as indicated in Figure 3b. The designated measurement positions encompass the front (Point 2), rear (Point 4), and both sides (Points 1 and 3) of the monopile. Such a measurement strategy will ensure a reliable assessment of monopile scour.
Herein, it is important to highlight that, in this study, standard quartz sand was employed to replicate seabed conditions. It is crucial to recognize that this material differs from authentic seabed substances in various physical aspects. Consequently, there may be some variation in the measured data compared to the observations from actual offshore wind farms. However, it is essential to note that such differences do not compromise the understanding of the impact of tidal currents, waves, and monopile vibration on seabed erosion. This is because the use of different materials may influence the measured data, but it does not alter the fundamental knowledge of how tidal currents, waves, and pile vibration contribute to seabed erosion.

3. Testing Matrix

The experimental study reported in this paper was carried out through performing scour tests in two distinct sets of scenarios. The first set was designed to study the impact of monopile vibration direction on monopile scour under different tidal current and pile vibration conditions. The second was devised to delve into the impacts of various types of waves, in conjunction with in-line monopile vibration and tidal current, on the scour around the monopile. The testing matrix is outlined in Table 1. Throughout the tests, the OWT foundation was represented by a 2 m long plexiglass pipe. The outer diameter and the thickness of the pipe were 100 mm and 10 mm, respectively. The water depth in the flume was constantly maintained at 1 m, the ‘tidal current’ velocity was consistently maintained at 0.22 m/s, and the tests in all scenarios persisted for a duration of 5 h, ensuring a uniform and reliable basis for meaningful comparisons. According to the Froude similarity, a 100 mm diameter pipe, a water velocity of 0.22 m/s, and a 1 m water depth in the tests correspond to a 4.5 m diameter monopile foundation, a tidal velocity of 1.5 m/s, and a 45 m water depth in real life. This is a typical OWT deployment scenario in the current offshore wind practice [24].
In Table 1, the test scenarios are denoted by distinct scenario codes, in which ‘A’ and ‘f’, respectively, represent the amplitude and frequency of pile vibration. For example, the code ‘A5f0.5′ signifies a scenario in which the pile vibration amplitude and vibration frequency are 5 mm and 0.5 Hz, respectively. In the Stage II tests, H/L denotes the ratio of water depth to wavelength. For example, ‘H/L2.701′ refers to a scenario in which the water-depth-to-wavelength ratio is 2.701 and the corresponding wave period is 0.5 s. The letter ‘V’ in the scenario codes indicates the introduction of monopile vibration. The absence of the letter ‘V’ in the scenario code means that there is no pile vibration in the test.
In accordance with the Froude similarity rule, the adoption of a 100 mm diameter pipe, a flow velocity of 0.22 m/s, and a water depth of 1 m during the tests corresponds to a scaled representation of a 4.5 m diameter monopile, a tidal current velocity of 1.5 m/s, and a water depth of 45 m in real-world application [18]. This configuration mirrors a common OWT deployment scenario, aligned with prevailing practices within the current offshore wind industry. In addition, adhering to the guidelines outlined in [25] regarding the maximum permissible top deflection of the wind turbine tower, the utmost admissible deflection for the pipe at the shaker position (located at 1.3 m above the flume floor) can be up to 16 mm. Therefore, two pipe vibration amplitudes, 5 mm and 10 mm, were taken into account during testing.
Taking into account the potential disparity between the direction of pile vibration and that of tidal currents owing to the intricate interplay of wind and wave dynamics in offshore wind farms, the Stage I tests considered four distinct lateral vibration directions, i.e., 0°, 45°, 90°, and 135°, relative to the tidal current direction, as illustrated in Figure 3b, to scrutinize the effects of pile vibration direction on scour.
Finally, it is necessary to note that, due to the observed accelerated formation of scour pits in the initial one hour, followed by a more gradual progression in subsequent hours, the scour depth was measured once every 10 min during the initial one hour and then once every 30 min thereafter. The duration of each test was five hours in total.

4. Impact of Pile Vibration Direction on Scour

In the Stage I study that only examined the combined impacts of tidal currents and pile vibration on scour, the progression of scour pits at four measurement points, i.e., points 1, 2, 3, and 4 in Figure 3b, was investigated under the condition when the pile was controlled to vibrate along different directions with respect to the inflow direction. All scour depth measurement results obtained during the experiment are visually presented in Figure 4. Herein, it is worth noting that only those scenarios where the pile vibration amplitude is 10 mm are considered in the investigation. This specific choice stems from the discovery that high-amplitude vibrations of the monopile can trigger the convective motion of soil particles. Consequently, these soil particles become less likely to settle down and are more susceptible to being taken away by water flow [20]. This, in turn, exacerbates pile scour and thereby benefits the investigation of the impact of vibration direction on scour.
From the scour depth results shown in Figure 4, it is seen that, despite the tidal current and pile vibration conditions, the scour pits at the four measurement points exhibit rapid development during the initial period. Subsequently, the growth rate of the scour pits gradually tapers off, eventually reaching a point of saturation when the test is completed. This phenomenon arises due to the accumulation of water within the scour pits, which introduces an additional damping effect that mitigates the direct impact of the water flow on the sand grains atop the scour pit surfaces. Moreover, as the scour depth deepens, the volume of water within the pits increases. This leads to increased water damping, resulting in a diminished impact of water flow on the sand grains residing on the pit surfaces. When the scour pits become sufficiently deep, the water within the pits serves as an effective buffer, which can entirely prevent any additional development of scour pits. At this point, the scour depth stabilizes, and a state of saturation is attained, indicating that further development of the scour pits will be completely halted. In addition, a transient reduction in the scour depth behind the monopile observed in [18] is also evident in Figure 4. Since the reason for this phenomenon has been clearly explained in [18], the explanation will not be repeated here. Of particular interest is the comparative analysis of the measurement results presented in Figure 4a–d, revealing a noteworthy finding, i.e., the vibration direction of the OWT monopile foundation also exerts a substantial impact on the scour. Specifically, irrespective of the monopile’s vibration frequency and data measurement positions, it is evident that the most pronounced scouring mostly transpires when the monopile undergoes vibrations along the 135° direction relative to the inflow direction, while the mildest scouring mostly occurs when the pile vibrates along the 90° direction with respect to the inflow direction. The difference observed in the two scenarios can likely be attributed to the distinct interaction between the water stream and pile vibration. In the first scenario (i.e., vibrate along the 135° direction), the more forceful collision between the pile surface and water flow induces increased turbulence in the water flow, hindering the settling of sand particles and making them more prone to being carried away by the water flow. Conversely, in the second scenario, when the pile vibrates along the 90° direction relative to the inflow direction, the interaction between the pile surface and water stream is comparatively weaker, thereby leading to a milder scour around the pile foundation.
Furthermore, in the experimental study, special attention has also been given to the influence of the pile vibration direction on the morphology of scour pits. Some scour pits observed at the end of testing in scenario ‘A10f2′ are illustrated in Figure 5.
Figure 5 indicates that the application of pile vibration also exerts a great impact on the morphology of the scour pits. This effect extends the boundaries of the scour pits in all circumferential directions and is not solely limited to the direction of pile vibration. This phenomenon arises from the disruption to the flow caused by the pile vibration, leading to a redistribution of vortex strength across all directions encircling the monopile. Consequently, the growth of scour pits in all circumferential directions is boosted when lateral vibration is applied to the monopile irrespective of the direction of vibration.
Additionally, a phenomenon different from what has been found in previous research is observed in the results shown in Figure 4 and Figure 5. In previous studies [25], the deepest scour pits were often found appearing on the two sides of the monopile where horseshoe vortices occurred. However, Figure 4 and Figure 5 illustrate that, regardless of the experimental conditions, the deepest scour pit always emerges in front of the monopile. This is mainly due to the utilization of quartz sand in this study, whereas river sand was used in previous studies. As indicated in Figure 6, river sand has a D50 of 0.25 mm, while quartz sand has a D50 of 0.67 mm. It is well known that larger sand grains exhibit reduced inter-grain friction. Influenced by this, during the formation of scour pits on the two sides of the monopile, the quartz sand grains accumulated behind the pile by the lee-wake vortices could more easily slide back into the scour pits on the two sides of the monopile. Consequently, when using quartz sand as the experimental material, the deepest scour pit often appears in front of the pile rather than on the two sides of the monopile.
To delve into the combined influence of the monopile vibration direction, amplitude, and frequency on the scour surrounding the OWT monopile foundation, the experiments were iterated with two distinct pile vibration amplitudes, specifically, 5 mm and 10 mm. The resulting data from these tests are visually presented in Figure 7.
In Figure 7, it is found that stronger monopile vibration, characterized by larger vibration amplitudes, boosts the scour pits’ development regardless of the pit locations and the frequency of pile vibration. Moreover, in contrast to the frequency of pile vibration, it is evident that pile vibration amplitude exerts a more pronounced influence on scour. Such phenomena align with the earlier observations documented in [20]. Notably, while prior research has highlighted these interesting trends, a comprehensive exploration of the combined effects of the pile vibration direction, vibration amplitude, and vibration frequency on scour has remained uncharted territory. From the testing results presented in Figure 7, it is inferred that, within the intricate interplay of pile vibration amplitude, frequency, and direction, the influence of the pile vibration direction on scour is equally prominent and foreseeable as that exerted by the vibration amplitude. Moreover, the pile vibration direction contributes significantly to the variations in the equilibrium depth of scour pits. As mentioned earlier, the most substantial scour occurs when the monopile vibrates along the 135° direction with respect to the inflow direction. In contrast, the pile vibration has the mildest influence on scour when the pile vibrates along the 90° direction relative to the inflow direction. The pile vibration frequency also introduces alterations in the scour at the four measurement points. However, unlike the foreseeable effects of the pile vibration amplitude and direction, the influence of the pile vibration frequency on scour is less predictable, although it is noteworthy that the increasing frequency in the low frequency range in Figure 7 appears to expedite the progression of scour pits. This is because, in principle, the frequency of pile vibrations can interfere with the natural transport of sediment in the water, and high-frequency vibrations may disturb the equilibrium, making it challenging for sediments to settle and leading to their removal by the water flow. However, the actual interaction between the pile and the surrounding water flow is more intricate. For instance, when the frequency of pile vibrations aligns with the resonant frequency of the sediment, it can result in concentrated erosion and unpredictable scour patterns. Nevertheless, predicting the resonant frequency of sediment in practical applications proves to be challenging.

5. Impacts of Different Types of Waves on Seabed Erosion

Deep water waves and shallow water waves represent distinct categories of wave phenomena that exhibit contrasting behaviors in the water they propagate through. Within the realm of wave theory, these two wave classifications diverge based on the dimensionless ratio of water depth, H, to wavelength, L, denoted as H/L. Shallow water waves are characterized by an H/L ratio of less than 1/20. Deep water waves manifest when the H/L ratio surpasses 1/2. In the intermediary range, delineated by H/L ratios ranging between 1/20 and 1/2, waves are classified as intermediate. Since deep water waves demonstrate substantial energy dispersion along the water depth direction and shallow water waves exhibit minimal energy dispersion along the water depth direction, in theory, they should have different influences on the movement of seabed sediments. To illustrate the contrasting impacts of these two categories of waves on the seabed, a numerical model was established, which is depicted in Figure 8. The computational domain of the model is 8 m long, 1.6 m wide, and 1.5 m high. The monopile is situated downstream and positioned at a distance of 1 m from the inlet, while the water depth is fixed at 1 m. The boundary conditions on the seabed and monopile were defined as no-slip boundaries with smooth wall roughness. The water surface was defined as a free-slip boundary condition to simulate the less frictional effect of the free sea surface. At the inlet, the boundary condition was defined as the velocity boundary with a tidal current velocity of 0.22 m/s. The outlet was set as open boundaries with zero relative pressure, which allowed the water to freely flow out of the domain. The two side walls of the computational domain were designated as symmetry boundaries. In the simulation conducted in this study, the RNG k-ε turbulence model was employed. The reason for using such a model is that, compared to the conventional k-ε model, the turbulence model considers both the flow and its spatial position, which allows the model to effectively handle flows with substantial streamline curvature. This makes the RNG k-ε turbulence model particularly well suited to simulate water waves. Following consistency checks, the whole computational domain is meshed using 552,042 elements to ensure the accuracy of the calculation results.
Then, waves of different periods were generated on the water surface by using the popular wavemaker velocity boundary condition based on the potential flow theory [26], and the wave-induced shear stress exerted on the surface of the seabed was calculated under various wave conditions. The shear stress calculation results obtained in different H/L ratio scenarios are shown in Figure 9.
In Figure 9, it is clearly seen that waves characterized by different H/L values have distinctly different impacts on the shear stress on the seabed surface near the monopile. Notably, waves with smaller H/L values elicit greater shear stress on the seabed surface, implying that shallow water waves have the potential to wield a more pronounced influence on monopile scour compared to deep water waves.
Subsequently, the monopile vibration’s impact on seabed erosion around the monopile is studied under different wave conditions by utilizing the numerical model. As shear stress exhibits temporal fluctuations over time, its intensity is denoted using the standard deviation (STD) of its fluctuation. Figure 10 portrays the STD values of the maximum shear stress observed, respectively, under six distinct wave conditions before and after introducing the monopile vibration along the inflow direction (i.e., 0°). In the figure, the STD value of the maximum seabed surface shear stress obtained under the ‘pure flow’ condition is also plotted to facilitate a comparison.
Analyzing the computational results shown in Figure 10 reveals that the introduction of monopile vibration tends to augment the shear stress on the seabed near the monopile regardless of the wave conditions. In the meantime, the results in Figure 10 demonstrate, once again, that a reduced H/L ratio corresponds to elevated shear stress levels around the monopile. This suggests that the OWT monopile foundation could face more challenges when situated in shallow water waves.

6. The Impacts of Different Types of Waves on the Scour around the Monopile Foundation

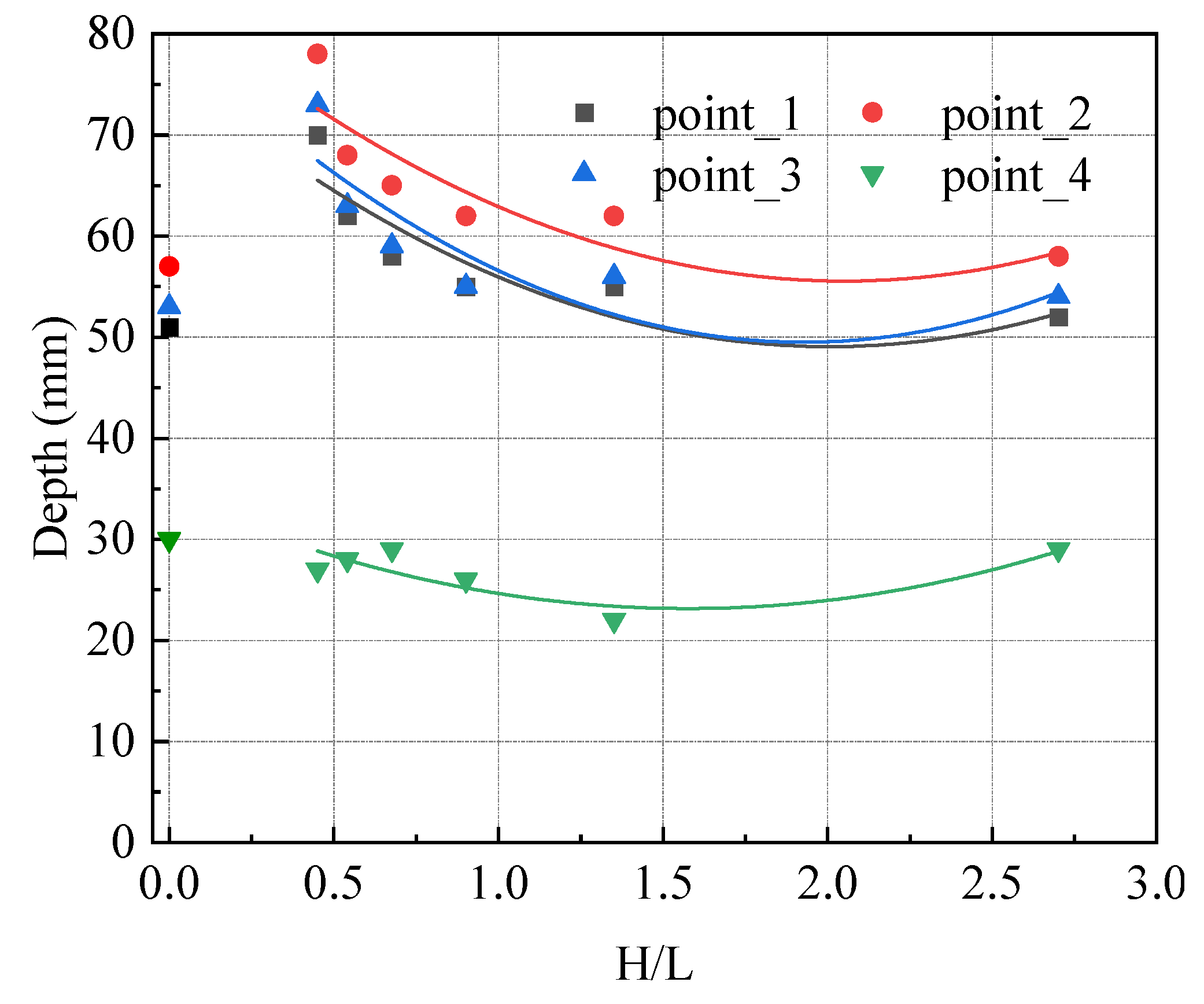
In order to verify the influences of waves and pile vibration indicated by the calculation results in Section 5, various experimental tests were conducted in the flume illustrated in Figure 1 and Figure 2. These tests were first undertaken under varying ‘wave and flow’ conditions indicated by the following scenario codes: H/L2.701, H/L1.351, H/L0.901, H/L0.676, H/L0.541, and H/L0.45. In each scenario, the scour depth at each measurement point was measured after 5 h of testing. The results were measured and are depicted in Figure 11. In the figure, the maximum scour depth values measured under the ‘pure flow’ condition, placed at H/L = 0, are also plotted to highlight the impact of waves on scour.
In Figure 11, it is found that regardless of the specific types of waves denoted by the H/L ratios, waves indeed expedite the development of scour pits at all four designated measurement points. Intriguingly, this effect intensifies as the H/L ratio decreases. In simpler terms, the influence of waves on scour becomes more pronounced as the H/L ratio decreases. This observation is in good agreement with the results shown in Figure 9 and Figure 10. These findings indicate that, when compared to deep water waves (characterized by H/L > 1/2), shallow water waves (characterized by H/L < 1/20) exert a more substantial influence on seabed erosion. Consequently, they pose a greater threat to the reliability and safety of the fixed foundations of OWTs.
Furthermore, experimental tests were conducted under varying ‘wave, flow, and pile vibration’ conditions, denoted by the H/L2.701V, H/L1.351V, H/L0.901V, H/L0.676V, H/L0.541V, and H/L0.45V scenario codes, to investigate the intricate interplay of waves and pile vibration during the generation process of scour pits. In these tests, the pile was designated to vibrate along the inflow direction (i.e., 0°). The results of the scour depth measured at the four measurement points following 5 h of testing are shown in Figure 12. Likewise, the scour depth values measured in the ‘A10f2′ scenario (one of the ‘flow and pile vibration’ scenarios) are also plotted for comparison. They are placed at H/L = 0.
A comparison of Figure 11 and Figure 12 reveals the following:
  • After the pile vibration characterized by an amplitude of 10 mm and a frequency of 2 Hz is introduced, the scouring behaviors in all circumferential directions are enhanced, resulting in deeper scour pits occurring at all four measurement points.
  • In addition to the enhanced effect of pile vibration, the presence of waves further expedites the formation of scour pits at measurement points 1, 2, and 3.
  • Despite the boosting effect induced by the pile vibration, it is notable that the presence of waves appears to counteract the progression of the scour pit situated behind the monopile (i.e., at measurement point 4).
To more effectively highlight the aforementioned observations, Table 2 presents the corresponding scour depth values across all scenarios.
Furthermore, to obtain a better understanding of the distinct impacts of various types of waves on scour and the intricate interplay between waves and pile vibration in intensifying scour, the scour depth measured from the four designated points in the ‘pure flow’ scenario is used as a benchmark to calculate the relative increases in scour depth in the other scenarios. The calculation results are shown in Table 3.
When analyzing the data in Table 3, it becomes evident that, while the deepest scour pit forms in front of the monopile (at point 2) and the shallowest scour pit occurs behind the monopile (at point 4), the presence of waves most significantly impacts the scour behind the monopile. Additionally, the magnitude of the waves’ influence is usually more pronounced when the H/L ratio is smaller, especially in the absence of pile vibration. This trend holds true for the outcomes observed at all four measurement points, with only a few exceptions.
Secondly, the introduction of pile vibration indeed strengthens the scour across all four measurement points, with a particularly noticeable enhancement at point 4 (behind the monopile). Nonetheless, the reduced values recorded at point 4 after introducing waves in the H/L2.701V, H/L1.351V, H/L0.901V, H/L0.676V, H/L0.541V, and H/L0.45V scenarios suggest that the waves counteract a little bit of the effect of pile vibration on the scour behind the monopile. This phenomenon arises from an intricate interplay of multiple factors, making it difficult to explain. It is not solely governed by the interactions between waves, pile vibration, and tidal currents, but it is also influenced by the horseshoe vortices on the two sides of the monopile and the lee-wake vortices behind the monopile.
Finally, it is discernible that in the interplay between the impacts of waves and pile vibration on scour, waves wield a dominant influence when the H/L ratio is small. Conversely, when the H/L ratio is large, the dominance shifts to pile vibration as the major influencing factor.

7. Conclusions

To fill the knowledge gap about the scour issues encountered by OWT monopile foundations, experimental studies were conducted in this paper to answer two fundamental questions. The first question concerns how the pile vibration direction affects the scour around a vibrating monopile foundation situated in tidal currents, and the second question is how diverse types of waves and pile vibrations are coupled together to influence monopile scour. Based on the results depicted above, we can make the following conclusions:
(1)
The pile vibration direction has a significant influence on scour surrounding the monopile foundation. Specifically, the most pronounced scour mostly transpires when the monopile undergoes vibrations along the 135° direction with respect to the inflow direction. In contrast, the mildest scour mostly occurs when the pile vibrates along the 90° direction relative to the inflow direction; therefore, under the same excitation conditions, the punching depth relationship is 135° > 0° > 45° > 90°.
(2)
Pile vibration not only expands the dimension of the scour pit along the pile’s vibration direction, but also extends the boundaries of scour pits in the other circumferential directions. This stems from the fact that monopile vibration disrupts the flow dynamics and redistributes the vortex intensity throughout the entire circumference surrounding the monopile rather than confining it to a single specific direction.
(3)
Waves can significantly impact the scour surrounding the monopile foundation. Moreover, the magnitude of the waves’ influence is notably more pronounced when the H/L ratio is smaller. The maximum increase ratio of the pile’s side erosion depth is 83% when a wave is applied, implying that OWT monopile foundations could face more challenges when situated in shallow water waves.
(4)
Pile vibration and waves boost each other’s effect on scour. However, as they are affected by the energy dispersion of waves along the water depth direction, in the interplay between waves and pile vibration, waves play a dominant role when the H/L ratio is small. Conversely, when the H/L ratio is large, the dominance shifts to pile vibration as the major influencing factor.

Author Contributions

Conceptualization, W.Y.; Methodology, B.Q.; Software, R.Q.; Formal analysis, B.Q.; Investigation, Y.X.; Resources, B.Q.; Data curation, R.Q. and W.Y.; Writing—review & editing, B.Q. and W.Y.; Visualization, R.Q. and Y.X.; Funding acquisition, B.Q. All authors have read and agreed to the published version of the manuscript.

Funding

The above work was supported by the National Natural Science Foundation of China (12002125), the Natural Science Foundation of Hunan Province (2020JJ6020), the Hunan Provincial Postgraduate Research Innovation Project (CX20211267), and the China Scholarship Council (CSC)—Newcastle University Scholarship with the reference number 202106220076.

Data Availability Statement

Data is contained within the article.

Conflicts of Interest

The authors declare no conflict of interest.

References

  1. Kallehave, D.; Byrne, B.W.; LeBlanc Thilsted, C.; Mikkelsen, K.K. Optimization of monopiles for offshore wind turbines. Philosophical Transactions of the Royal Society A: Mathematical. Phys. Eng. Sci. 2015, 373, 20140100. [Google Scholar]
  2. Igwemezie, V.; Mehmanparast, A.; Kolios, A. Current trend in offshore wind energy sector and material requirements for fatigue resistance improvement in large wind turbine support structures—A review. Renew. Sustain. Energy Rev. 2019, 101, 181–196. [Google Scholar] [CrossRef]
  3. Dolores Esteban, M.; López-Gutiérrez, J.-S.; Negro, V.; Matutano, C.; García-Flores, F.M.; Millán, M.Á. Offshore Wind Foundation Design: Some Key Issues. J. Energy Resour. Technol. 2015, 137, 051211. [Google Scholar] [CrossRef]
  4. Qi, W.-G.; Gao, F.-P. Physical modeling of local scour development around a large-diameter monopile in combined waves and current. Coast. Eng. 2014, 83, 72–81. [Google Scholar] [CrossRef]
  5. Peeringa, J.; Bedon, G. Fully integrated load analysis included in the structural reliability assessment of a monopile supported offshore wind turbine. Energy Procedia 2017, 137, 255–260. [Google Scholar] [CrossRef]
  6. Chen, G.P.; Zuo, Q.H.; Huang, H.L. Local scour around piles under wave action. China Ocean Eng. 2004, 18, 403–412. [Google Scholar]
  7. Sumer, B.M.; Fredsøe, J.; Christiansen, N. Scour Around Vertical Pile in Waves. J. Waterw. Port Coast. Ocean. Eng. 1992, 118, 15–31. [Google Scholar] [CrossRef]
  8. Ciappi, L.; Simonetti, I.; Bianchini, A.; Cappietti, L.; Manfrida, G. Application of integrated wave-to-wire modelling for the preliminary design of oscillating water column systems for installations in moderate wave climates. Renew. Energy 2022, 194, 232–248. [Google Scholar] [CrossRef]
  9. Lopez, M.; Rodriguez, N.; Iglesias, G. Combined floating offshore wind and solar PV. J. Mar. Sci. Eng. 2020, 8, 576. [Google Scholar] [CrossRef]
  10. Wu, M.; De Vos, L.; Arboleda Chavez, C.E.; Stratigaki, V.; Fazeres-Ferradosa, T.; Rosa-Santos, P.; Taveira-Pinto, F.; Troch, P. Large Scale Experimental Study of the Scour Protection Damage Around a Monopile Foundation Under Combined Wave and Current Conditions. J. Mar. Sci. Eng. 2020, 8, 417. [Google Scholar] [CrossRef]
  11. Guan, D.W.; Xie, Y.X.; Yao, Z.S.; Chiew, Y.M.; Zhang, J.S.; Zheng, J.H. Local scour at offshore windfarm monopile foundations: A review. Water Sci. Eng. 2022, 15, 29–39. [Google Scholar] [CrossRef]
  12. Sumer, B.M.; Fredsøe, J. Scour around Pile in Combined Waves and Current. J. Hydraul. Eng. 2001, 127, 403–411. [Google Scholar] [CrossRef]
  13. Raaijmakers, T.; Rudolph, D. Time-dependent scour development under combined current and waves conditions—Laboratory experiments with online monitoring technique. In Proceedings of the 4th International Conference on Scour and Erosion (ICSE-4), Tokyo, Japan, 5–7 November 2008; pp. 152–161. [Google Scholar]
  14. Al-Hammadi, M.; Simons, R.R. Local Scour Mechanism around Dynamically Active Marine Structures in Noncohesive Sediments and Unidirectional Current. J. Waterw. Port Coast. Ocean. Eng. 2020, 146, 04019026. [Google Scholar] [CrossRef]
  15. Yu, L.-Q.; Wang, L.-Z.; Guo, Z.; Bhattacharya, S.; Nikitas, G.; Li, L.-L.; Xing, Y.-L. Long-term dynamic behavior of monopile supported offshore wind turbines in sand. Theor. App. Mech. Lett. 2015, 5, 80–84. [Google Scholar] [CrossRef]
  16. Andersen, L.V.; Vahdatirad, M.J.; Sichani, M.T.; Sørensen, J.D. Natural frequencies of wind turbines on monopile foundations in clayey soils—A probabilistic approach. Comput. Geotech. 2012, 43, 1–11. [Google Scholar] [CrossRef]
  17. Nikitas, G.; Vimalan, N.J.; Bhattacharya, S. An innovative cyclic loading device to study long term performance of offshore wind turbines. Soil Dyn. Earthq. Eng. 2016, 82, 154–160. [Google Scholar] [CrossRef]
  18. Li, J.; Guan, D.; Chiew, Y.-M.; Zhang, J.; Zhao, J. Temporal evolution of soil deformations around monopile foundations subjected to cyclic lateral loading. Ocean Eng. 2020, 217, 107893. [Google Scholar] [CrossRef]
  19. Guan, D.; Chiew, Y.-M.; Melville, B.W.; Zheng, J. Current-induced scour at monopile foundations subjected to lateral vibrations. Coast. Eng. 2019, 144, 15–21. [Google Scholar] [CrossRef]
  20. Qin, B.; Xie, Y.; Yang, W.; Qu, R.; Geng, F. A further study on the scour around the monopile foundation of offshore wind turbines. Sustain. Energy Technol. 2023, 57, 103198. [Google Scholar] [CrossRef]
  21. Gao, J.; Shi, H.; Zang, J.; Liu, Y. Mechanism analysis on the mitigation of harbor resonance by periodic undulating topography. Ocean Eng. 2023, 281, 114923. [Google Scholar] [CrossRef]
  22. Gao, J.; Ma, X.; Dong, G.; Chen, H.; Liu, Q.; Zang, J. Investigation on the effects of Bragg reflection on harbor oscillations. Coast. Eng. 2021, 170, 103977. [Google Scholar] [CrossRef]
  23. Gao, J.; Ma, X.; Zang, J.; Dong, G.; Ma, X.; Zhu, Y.; Zhou, L. Numerical investigation of harbor oscillations induced by focused transient wave groups. Coast. Eng. 2020, 158, 103670. [Google Scholar] [CrossRef]
  24. Lombardi, D.; Bhattacharya, S.; Muir Wood, D. Dynamic soil–structure interaction of monopile supported wind turbines in cohesive soil. Soil Dyn. Earthq. Eng. 2013, 49, 165–180. [Google Scholar] [CrossRef]
  25. Yang, B.; Wei, K.; Yang, W.; Li, T.; Qin, B. A feasibility study of reducing scour around monopile foundation using a tidal current turbine. Ocean Eng. 2021, 220, 108396. [Google Scholar] [CrossRef]
  26. Liu, X.; Liu, Y.; Lin, P.; Li, A.-J. Numerical simulation of wave overtopping above perforated caisson breakwaters. Coast. Eng. 2021, 163, 103795. [Google Scholar] [CrossRef]
Figure 1. The annular flume for the experimental study.
Figure 1. The annular flume for the experimental study.
Energies 17 01561 g001aEnergies 17 01561 g001b
Figure 2. The shaker used in the study.
Figure 2. The shaker used in the study.
Energies 17 01561 g002
Figure 3. The data acquisition system and measurement points.
Figure 3. The data acquisition system and measurement points.
Energies 17 01561 g003
Figure 4. Scour depths measured when the monopile vibrates along different directions.
Figure 4. Scour depths measured when the monopile vibrates along different directions.
Energies 17 01561 g004aEnergies 17 01561 g004b
Figure 5. The scour pits observed in the ‘A10f2′ scenario.
Figure 5. The scour pits observed in the ‘A10f2′ scenario.
Energies 17 01561 g005
Figure 6. Accumulated mass distributions of river sand and quartz sand.
Figure 6. Accumulated mass distributions of river sand and quartz sand.
Energies 17 01561 g006
Figure 7. Coupled effects of monopile vibration on scouring.
Figure 7. Coupled effects of monopile vibration on scouring.
Energies 17 01561 g007
Figure 8. The numerical model.
Figure 8. The numerical model.
Energies 17 01561 g008
Figure 9. The shear stress exerted on the seabed surface under different wave conditions.
Figure 9. The shear stress exerted on the seabed surface under different wave conditions.
Energies 17 01561 g009
Figure 10. The standard deviation of the maximum shear stresses obtained under various conditions.
Figure 10. The standard deviation of the maximum shear stresses obtained under various conditions.
Energies 17 01561 g010
Figure 11. Influence of various types of waves on scour depth in absence of pile vibration.
Figure 11. Influence of various types of waves on scour depth in absence of pile vibration.
Energies 17 01561 g011
Figure 12. Combined influences of various types of waves and pile vibrations on scour depth.
Figure 12. Combined influences of various types of waves and pile vibrations on scour depth.
Energies 17 01561 g012
Table 1. Testing matrix.
Table 1. Testing matrix.
Test StageScenarioWave ConditionsMonopile VibrationFlow
Velocity
(m/s)
Test Duration
(h)
Wave Period
(s)
Wave Height
(m)
Amplitude
(mm)
Frequency
(Hz)
Stage IPure flow00000.225
A5f0.50050.50.225
A10f0.500100.50.225
A5f100510.225
A10f1001010.225
A5f200520.225
A10f2001020.225
A5f300530.225
A10f3001030.225
A5f400540.225
A10f4001040.225
A5f500550.225
A10f5001050.225
Stage IIH/L2.7010.50.05000.225
H/L1.35110.05000.225
H/L0.9011.50.05000.225
H/L0.67620.05000.225
H/L0.5412.50.05000.225
H/L0.4530.05000.225
H/L2.701V0.50.051020.225
H/L1.351V10.051020.225
H/L0.901V1.50.051020.225
H/L0.676V20.051020.225
H/L0.541V2.50.051020.225
H/L0.45V30.051020.225
Table 2. Scour depth values across all scenarios.
Table 2. Scour depth values across all scenarios.
Without Pile VibrationWith Pile Vibration
ScenarioScour Pit Depth (mm)ScenarioScour Pit Depth (mm)
Point 1Point 2Point 3Point 4Point 1Point 2Point 3Point 4
Pure flow3541393Pure flow52585535
H/L2.7014241404H/L2.701V52585429
H/L1.3514550455H/L1.351V55625622
H/L0.9014756496H/L0.901V55625526
H/L0.6764755507H/L0.676V58655929
H/L0.5415062539H/L0.541V62686328
H/L0.4562756318H/L0.45V70787327
Table 3. Relative increments in scour depth.
Table 3. Relative increments in scour depth.
Without Pile VibrationWith Pile Vibration
ScenarioRelative Increment (%)ScenarioRelative Increment (%)
Point 1Point 2Point 3Point 4Point 1Point 2Point 3Point 4
Pure flow0000Pure flow4941411067
H/L2.701200333H/L2.701V494138867
H/L1.35129221567H/L1.351V575144633
H/L0.901343726100H/L0.901V575141767
H/L0.676343428133H/L0.676V665951867
H/L0.541435136200H/L0.541V776662833
H/L0.45778362500H/L0.45V1009087800
Disclaimer/Publisher’s Note: The statements, opinions and data contained in all publications are solely those of the individual author(s) and contributor(s) and not of MDPI and/or the editor(s). MDPI and/or the editor(s) disclaim responsibility for any injury to people or property resulting from any ideas, methods, instructions or products referred to in the content.

Share and Cite

MDPI and ACS Style

Qin, B.; Qu, R.; Yang, W.; Xie, Y. A Study on the Scour Surrounding the Fixed Foundation of an Offshore Wind Turbine under Complex Waves, Tidal Currents, and Pile Vibration Conditions. Energies 2024, 17, 1561. https://doi.org/10.3390/en17071561

AMA Style

Qin B, Qu R, Yang W, Xie Y. A Study on the Scour Surrounding the Fixed Foundation of an Offshore Wind Turbine under Complex Waves, Tidal Currents, and Pile Vibration Conditions. Energies. 2024; 17(7):1561. https://doi.org/10.3390/en17071561

Chicago/Turabian Style

Qin, Bo, Rui Qu, Wenxian Yang, and Yanfeng Xie. 2024. "A Study on the Scour Surrounding the Fixed Foundation of an Offshore Wind Turbine under Complex Waves, Tidal Currents, and Pile Vibration Conditions" Energies 17, no. 7: 1561. https://doi.org/10.3390/en17071561

APA Style

Qin, B., Qu, R., Yang, W., & Xie, Y. (2024). A Study on the Scour Surrounding the Fixed Foundation of an Offshore Wind Turbine under Complex Waves, Tidal Currents, and Pile Vibration Conditions. Energies, 17(7), 1561. https://doi.org/10.3390/en17071561

Note that from the first issue of 2016, this journal uses article numbers instead of page numbers. See further details here.

Article Metrics

Back to TopTop