Characterization of the Ratcheting Effect on the Filler Material of a Steel Slag-Based Thermal Energy Storage
Abstract
1. Introduction
2. Materials and Methods
2.1. Description of Testing Methodology
2.2. TES Material Preparation
2.3. Description of the Testing Setup
2.4. Assessing the Mechanical Stability of the Filler Material
3. Results and Discussion
3.1. Steel Slag Characterization

3.2. Determination of the Applied Forces
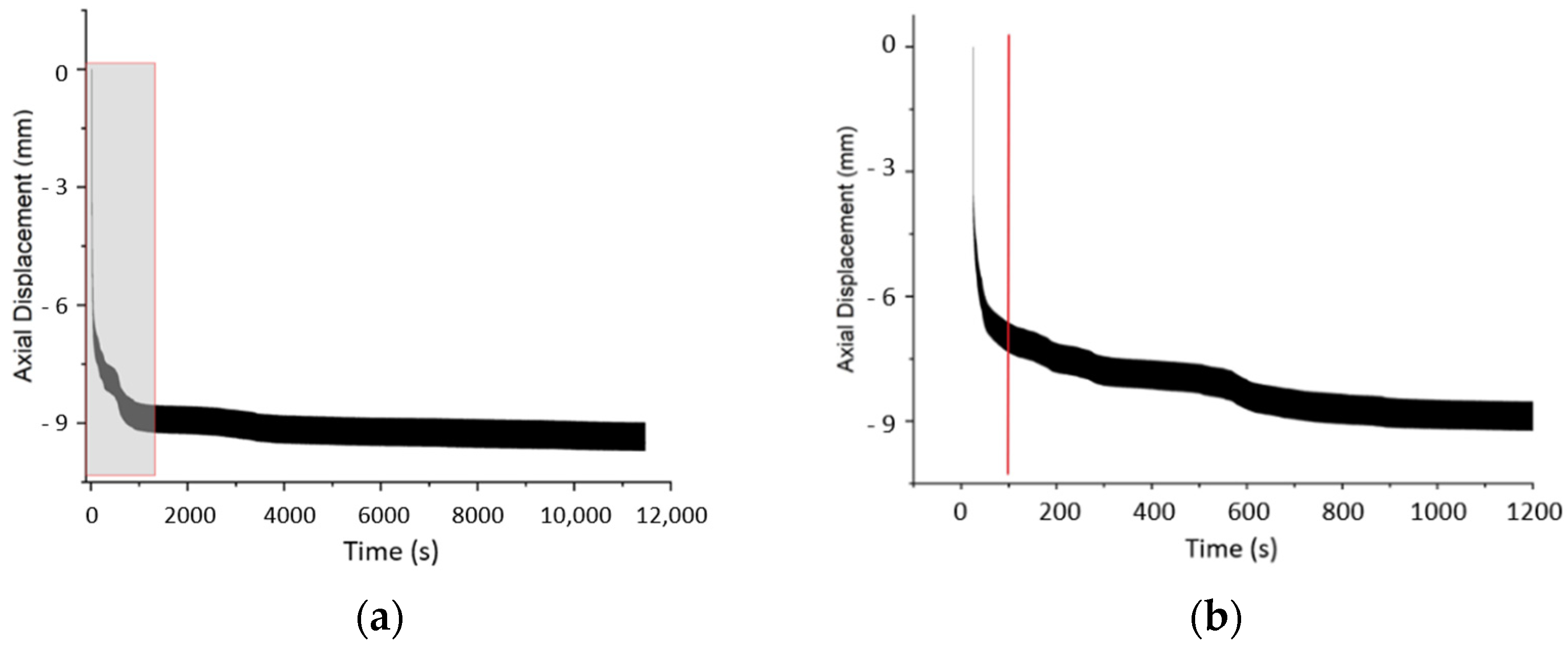
3.3. Assesing the Performance of the Filler under Cycling Conditions
4. Conclusions
Author Contributions
Funding
Data Availability Statement
Conflicts of Interest
References
- IRENA. Global Energy Transformation: A roadmap to 2050, International Renewable Energy Agency, Abu Dhabi. 2018. Available online: https://www.irena.org/publications (accessed on 15 November 2023).
- Conti, J.P.; Holtberg, J.; Diefenderfer, A.; LaRose, J.T.; Turnure, L. Westfall, International Energy Outlook 2016 With Projections to 2040, Osti.Gov, United States. 2016. Available online: https://www.osti.gov/biblio (accessed on 15 November 2023). [CrossRef]
- Kuravi, S.; Trahan, J.; Goswami, D.Y.; Rahman, M.M.; Stefanakos, E.K. Thermal energy storage technologies and systems for concentrating solar power plants. Prog. Energy Combust. Sci. 2013, 39, 285–319. [Google Scholar] [CrossRef]
- Ortega-Fernández, I.; Uriz, I.; Ortuondo, A.; Hernández, A.B.; Faik, A.; Loroño, I.; Rodríguez-Aseguinolaza, J. Operation strategies guideline for packed bed thermal energy storage systems. Int. J. Energy Res. 2018, 43, 6211–6221. [Google Scholar] [CrossRef]
- Anderson, R.; Bates, L.; Johnson, E.; Morris, J.F. Packed bed thermal energy storage: A simplified experimentally validated model. J. Energy Storage 2015, 4, 14–23. [Google Scholar] [CrossRef]
- Bahrami, M.; Yovanovich, M.M.; Culham, J.R. Effective thermal conductivity of rough spherical packed beds. Int. J. Heat Mass Transf. 2006, 49, 3691–3701. [Google Scholar] [CrossRef]
- Pacheco, J.E.; Showalter, S.K.; Kolb, W.J. Development of a Molten-Salt Thermocline Thermal Storage System for Parabolic Trough Plants. J. Sol. Energy Eng. 2002, 124, 153–159. [Google Scholar] [CrossRef]
- Brosseau, D.; Kelton, J.W.; Ray, D.; Edgar, M.; Chisman, K.; Emms, B. Testing of Thermocline Filler Materials and Molten-Salt Heat Transfer Fluids for Thermal Energy Storage Systems in Parabolic Trough Power Plants. J. Sol. Energy Eng. 2005, 127, 109–116. [Google Scholar] [CrossRef]
- Gunerhan, H.; Hepbasli, A. Utilization of Basalt Stone as a Sensible Heat Storage Material. Energy Sources 2005, 27, 1357–1366. [Google Scholar] [CrossRef]
- Nahhas, T.; Py, X.; Sadiki, N. Experimental investigation of basalt rocks as storage material for high-temperature concentrated solar power plants. Renew. Sustain. Energy Rev. 2019, 110, 226–235. [Google Scholar] [CrossRef]
- Jemmal, Y.; Zari, N.; Maaroufi, M. Thermophysical and chemical analysis of gneiss rock as low cost candidate material for thermal energy storage in concentrated solar power plants. Sol. Energy Mater. Sol. Cells 2016, 157, 377–382. [Google Scholar] [CrossRef]
- Becattini, V.; Motmans, T.; Zappone, A.; Madonna, C.; Haselbacher, A.; Steinfeld, A. Experimental investigation of the thermal and mechanical stability of rocks for high-temperature thermal-energy storage. Appl. Energy 2017, 203, 373–389. [Google Scholar] [CrossRef]
- Tiskatine, R.; Eddemani, A.; Gourdo, L.; Abnay, B.; Ihlal, A.; Aharoune, A.; Bouirden, L. Experimental evaluation of thermo-mechanical performances of candidate rocks for use in high temperature thermal storage. Appl. Energy 2016, 171, 243–255. [Google Scholar] [CrossRef]
- Koçak, B.; Paksoy, H. Using demolition wastes from urban regeneration as sensible thermal energy storage material. Int. J. Energy Res. 2019, 43, 6454–6460. [Google Scholar] [CrossRef]
- Kocak, B.; Fernandez, A.; Paksoy, H. Benchmarking study of demolition wastes with different waste materials as sensible thermal energy storage. Sol. Energy Mater. Sol. Cells 2021, 219, 110777. [Google Scholar] [CrossRef]
- Py, X.; Calvet, N.; Olives, R.; Meffre, A.; Echegut, P.; Bessada, C.; Veron, E.; Ory, S. Recycled Material for Sensible Heat Based Thermal Energy Storage to be Used in Concentrated Solar Thermal Power Plants. J. Sol. Energy Eng. 2011, 133, 031008. [Google Scholar] [CrossRef]
- Keilany, M.; Milhé, M.; Bézian, J.-J.; Falcoz, Q.; Flamant, G. Experimental evaluation of vitrified waste as solid fillers used in thermocline thermal energy storage with parametric analysis. J. Energy Storage 2020, 29, 101285. [Google Scholar] [CrossRef]
- Gil, A.; Calvet, N.; Ortega, I.; Risueño, E.; Faik, A.; Blanco, P.; Rodríguez-Aseguinolaza, J. Characterization of a by-product from steel industry applied to thermal energy storage in Concentrated Solar Power. In Proceedings of the 99th Eurotherm Seminar—Advances in Thermal Energy Storage, Lleida, Spain, 28–30 May 2014. [Google Scholar]
- Gutierrez, A.; Miró, L.; Gil, A.; Rodríguez-Aseguinolaza, J.; Barreneche, C.; Calvet, N.; Py, X.; Fernández, A.I.; Grágeda, M.; Ushak, S.; et al. Advances in the valorization of waste and by-product materials as thermal energy storage (TES) materials. Renew. Sustain. Energy Rev. 2016, 59, 763–783. [Google Scholar] [CrossRef]
- Ortega-Fernández, I.; Calvet, N.; Gil, A.; Rodríguez-Aseguinolaza, J.; Faik, A.; D’Aguanno, B. Thermophysical characterization of a by-product from the steel industry to be used as a sustainable and low-cost thermal energy storage material. Energy 2015, 89, 601–609. [Google Scholar] [CrossRef]
- Polat, Ş.; Kahrıman, F. Microstructural and mechanical characterization of electric arc furnace (EAF) slag for use as abrasive grit material. Mater. Test. 2015, 57, 245–251. [Google Scholar] [CrossRef]
- Ortega-Fernández, I.; Wang, Y.; Durán, M.; Garitaonandia, E.; Unamunzaga, L.; Bielsa, D.; Palomo, E. Experimental validation of steel slag as thermal energy storage material in a 400 kWht prototype. In Proceedings of the Solarpaces 2018 International Conference on Concentrating Solar Power and Chemical Energy Systems (NewTech’23), Casablanca, Morocco, 2–5 October 2018. [Google Scholar]
- Bielsa, D.; Arribalzaga, P.; Ortega-Fernandez, I.; Garitaonandia, E. Experimental Testing Of a 400 KWh Steel Slag-Based Thermal Energy Storage Prototype for Industrial Waste Heat Recovery Applications. In Proceedings of the 9th World Congress on New Technologies (NewTech’23), London, UK, 9–11 August 2023. [Google Scholar] [CrossRef]
- Ortega-Fernández, I.; Rodríguez-Aseguinolaza, J. Thermal energy storage for waste heat recovery in the steelworks: The case study of the REslag project. Appl. Energy 2019, 237, 708–719. [Google Scholar] [CrossRef]
- Sassine, N.; Donzé, F.-V.; Harthong, B.; Bruch, A. Thermal stress numerical study in granular packed bed storage tank. Granul. Matter 2018, 20, 44. [Google Scholar] [CrossRef]
- Carson, J.; Craig, D. Silo design codes: Their limits and inconsistencies. In Proceedings of the 7th World Congress on Particle Technology (WCPT7), Beijing, China, 19–22 May 2014. [Google Scholar] [CrossRef][Green Version]
- Mitterlehner, T.; Kartnig, G.; Haider, M. Analysis of the Thermal Ratcheting Phenomenon in Packed-Bed Thermal Energy Storage using Discrete Element Method. FME Trans. 2020, 48, 427–431. [Google Scholar] [CrossRef]
- Dreißigacker, V.; Zunft, S.; Müller-Steinhagen, H. A thermo-mechanical model of packed-bed storage and experimental validation. Appl. Energy 2013, 111, 1120–1125. [Google Scholar] [CrossRef]
- Sperl, M. Experiments on corn pressure in silo cells—Translation and comment of Janssen’s paper from 1895. Granul. Matter 2005, 8, 59–65. [Google Scholar] [CrossRef]
- Wang, W.; Zheng, X.; Ma, L.; Lin, W.; Yu, J. Ratcheting testing of polytetrafluoroethylene (PTFE) under multiple-step compression. Mater. Test. 2018, 60, 495–500. [Google Scholar] [CrossRef]
- Kuhlen, K.G.; Rothe, P.; Seifert, T. Near-component testing of materials for cylinder heads to determine thermomechanical fatigue under superimposed high-frequency mechanical loads. Mater. Test. 2021, 63, 1081–1089. [Google Scholar] [CrossRef]
- Mederos, F.S.; Ancheyta, J.; Chen, J. Review on criteria to ensure ideal behaviors in trickle-bed reactors. Appl. Catal. A Gen. 2009, 355, 1–19. [Google Scholar] [CrossRef]
- Zhang, N.; Li, C.C.; Lu, A.; Chen, X.; Liu, D.; Zhu, E. Experimental Studies on the Basic Friction Angle of Planar Rock Surfaces by Tilt Test. J. Test. Eval. 2019, 47, 256–283. [Google Scholar] [CrossRef]
- Zhang, Q.B.; Zhao, J. A Review of Dynamic Experimental Techniques and Mechanical Behaviour of Rock Materials. Rock Mech. Rock Eng. 2014, 47, 1411–1478. [Google Scholar] [CrossRef]
- Krüger, M.; Haunstetter, J.; Knödler, P.; Zunft, S. Slag as Inventory Material for a Thermal Energy Storage (TES): Material investigation and thermo-mechanical consideration. Energy Procedia 2018, 155, 454–463. [Google Scholar] [CrossRef]
- Trahan, J.; Graziani, A.; Goswami, D.Y.; Stefanakos, E.; Jotshi, C.; Goel, N. Evaluation of pressure drop and particle sphericity for an air-rock bed thermal energy storage system. Energy Procedia 2014, 57, 633–642. [Google Scholar] [CrossRef]











| Real-Scale TES Parameters | |
|---|---|
| Tank material | AISI 316L |
| Tank diameter | 1150 mm |
| Tank height | 2900 mm |
| Void fraction | 40% |
| Filler material amount (steel slag) | 6195 kg |
| Maximum charging temperature | 400 °C |
| Parameter | Value |
|---|---|
| φx | 30 ± 3° |
| λ | 0.4 |
| ρb | 2190 kg·m−3 [20] |
| A | 1.03 m2 |
| Uc | 3611 mm |
| z | 2900 mm |
| DEM Inputs and Results | |
|---|---|
| Slag Young modulus | 22.56 GPa [30] |
| Slag Poisson ratio | 0.24 [30] |
| Slag density | 3650 kg·m−3 [20] |
| Static load | 0.65 kN |
| Variable load | 17.01 kN |
| Mean particle contact forces | 1320 N |
| Max. particle contact forces | 2658 N |
| Production Rate | |
|---|---|
| Casting size | 100 t |
| Annual production | 400,000 t/year |
| Annual castings | 4000 castings/year |
Disclaimer/Publisher’s Note: The statements, opinions and data contained in all publications are solely those of the individual author(s) and contributor(s) and not of MDPI and/or the editor(s). MDPI and/or the editor(s) disclaim responsibility for any injury to people or property resulting from any ideas, methods, instructions or products referred to in the content. |
© 2024 by the authors. Licensee MDPI, Basel, Switzerland. This article is an open access article distributed under the terms and conditions of the Creative Commons Attribution (CC BY) license (https://creativecommons.org/licenses/by/4.0/).
Share and Cite
Garitaonandia, E.; Arribalzaga, P.; Miguel, I.; Bielsa, D. Characterization of the Ratcheting Effect on the Filler Material of a Steel Slag-Based Thermal Energy Storage. Energies 2024, 17, 1515. https://doi.org/10.3390/en17071515
Garitaonandia E, Arribalzaga P, Miguel I, Bielsa D. Characterization of the Ratcheting Effect on the Filler Material of a Steel Slag-Based Thermal Energy Storage. Energies. 2024; 17(7):1515. https://doi.org/10.3390/en17071515
Chicago/Turabian StyleGaritaonandia, Erika, Peru Arribalzaga, Ibon Miguel, and Daniel Bielsa. 2024. "Characterization of the Ratcheting Effect on the Filler Material of a Steel Slag-Based Thermal Energy Storage" Energies 17, no. 7: 1515. https://doi.org/10.3390/en17071515
APA StyleGaritaonandia, E., Arribalzaga, P., Miguel, I., & Bielsa, D. (2024). Characterization of the Ratcheting Effect on the Filler Material of a Steel Slag-Based Thermal Energy Storage. Energies, 17(7), 1515. https://doi.org/10.3390/en17071515

