Advancements in Fresnel Lens Technology across Diverse Solar Energy Applications: A Comprehensive Review
Abstract
1. Introduction
2. Review Method
2.1. Fresnel Lens Technology in Solar Still Applications
2.2. Fresnel Lens Technology in Solar Collectors
2.3. Fresnel Lens Technology in Solar Sterilization
2.4. Fresnel Lens Technology in Solar Cookers
2.5. Solar-Pumped Lasers by Fresnel Lenses
3. Challenges and Suggested Techniques of Improvement
- Although Fresnel lenses have been used in a number of solar energy systems, their usage in residential applications is often not viable due to their high cost. One of the primary obstacles to extensive domestic adoption of home systems has been the general perception of their high costs and low efficiencies.
- The initial investment cost for solar energy systems such as the solar collector is much higher than that of conventional solar energy systems. This is due to the restricted availability of solar energy systems as well as their high cost.
- The global demand for energy systems is expected to see a dramatic uptick over the next several years, according to projections. As a result of the rise in demand, eco-friendly alternatives, such as the implementation of various energy systems using Fresnel lenses, need to be researched.
- When it comes to Fresnel lens technology, optical losses are an important factor to take into account since they might affect the system’s overall effectiveness. The sunlight’s reflection, absorption, and scattering as it travels through or interacts with the lens components are some of the causes of these losses. To optimize the concentration and exploitation of sunlight for particular purposes such as solar cooking, solar sterilization, or solar power generation, control and minimization of optical losses are essential.
- The requirement to maintain the exact alignment of the Fresnel lens with the incident sunlight is an important aspect that contributes to optical losses. Disturbances in alignment may cause light to escape the focal point, decreasing the effectiveness of concentration.
- In order for researchers to make changes, it is required to conduct an analysis of certain thermodynamic features of the process.
- Developing an appropriate system that can automatically track the position of the lens lever.
- It is important to explore the optimal area and arrangement, as well as the number of lenses used.
- By incorporating an additional source of heat inside the basin, it is possible to make up for the dearth of solar radiation that occurs during the colder months and to boost production during the warmer months.
- It is possible to install heat sink material inside the basin so that it may accept the concentrated sunbeam produced by the lenses and then transmit the energy in a significant manner to the salt water that is contained within the basin.
- Cooking with the sun. Individually and as a whole, the proposed small community-based solar cooker contains a great deal of simplicity of use, is user-friendly, and has characteristics that are operationally practical. Verifying its cost-effectiveness, proving the extra energy-saving advantages, and conducting an exergy analysis of the system are going to be the primary focuses of study in the future.
- There is still the possibility of tracking on either a single or dual axis. The use of dual-axis tracking in its present form incurs an extra expense. On the other hand, closed-loop dual-axis tracking systems may be created using open-source software and hardware in a way that is both straightforward and easy to use. In the case of the software, LightTools 2023.03 optical simulation software (its ray tracing theory is based on Monte Carlo principle) can be used to simulate optical performance of a solar cocker system using MATLAB [82].
- Additionally, new modules of lenses may be clustered in order to be moved using the tracking and control system that is already in place.
- It is possible to cut down on the amount of time required to reach the starting boiling temperature by increasing the size of the Fresnel lens and improving the heat transmission into the boiler.
- By installing a heat exchanger near the outlet of the boiler, it is possible to accelerate the rate at which condensed water is produced.
- The lens’s material composition is another factor to consider because different materials have differing levels of absorption and reflection. To reduce optical losses, high transmittance and low reflectance materials must be used.
- Environmental factors can also cause optical losses by blocking sunlight or changing the lens’s refractive characteristics. Examples of this include dust or dirt buildup on the lens surface. To solve this problem, routine cleaning and maintenance are necessary.
4. Conclusions
Author Contributions
Funding
Data Availability Statement
Conflicts of Interest
Abbreviations
| Symbol | Definition |
| AFSCFL | Annular Fresnel solar concentrator with a circular Fresnel lens |
| CFD | Computational fluid dynamics |
| CPV/T | Concentrating photovoltaic/thermal |
| CSS | Conventional solar still |
| CSSFL | Conventional solar still Fresnel lens |
| DNI | Direct normal irradiance |
| DPC | Double parabolic concentrator |
| FLMGs | Fresnel lens magnifiers |
| FRL | Fresnel lens |
| FSC | Fresnel solar cooker |
| HSC | High-concentration solar concentrators |
| HTF | Heat transfer fluid |
| LFR | Linear Fresnel reflector |
| MCRT | Monte Carlo ray tracing |
| MWCNTs | Multiwall carbon nanotubes |
| PCM | Phase change material |
| PMMA | Poly methyl methacrylate |
| PR | Performance ratio |
| PTC | Parabolic trough collector |
| SSFL | Spectral splitting Fresnel lens |
| SSSS | Standard single-slope solar still |
| STS | Solar tracker system |
| UNIDO | United Nations Industrial Development Organization |
| ZFL | Zoomable Fresnel lens |
References
- Guney, M.S. Solar Power and Application Methods. Renew. Sustain. Energy Rev. 2016, 57, 776–785. [Google Scholar] [CrossRef]
- Rashid, F.L.; Kaood, A.; Al-Obaidi, M.A.; Mohammed, H.I.; Alsarayreh, A.A.; Al-Muhsen, N.F.O.; Abbas, A.S.; Zubo, R.H.A.; Mohammad, A.T.; Alsadaie, S.; et al. A Review of the Configurations, Capabilities, and Cutting-Edge Options for Multistage Solar Stills in Water Desalination. Designs 2023, 7, 67. [Google Scholar] [CrossRef]
- Rashid, F.L.; Al-Obaidi, M.A.; Dulaimi, A.; Bahlol, H.Y.; Hasan, A. Recent Advances, Development, and Impact of Using Phase Change Materials as Thermal Energy Storage in Different Solar Energy Systems: A Review. Designs 2023, 7, 66. [Google Scholar] [CrossRef]
- Hussein, A.K.; Rashid, F.L.; Abed, A.M.; Al-Khaleel, M.; Togun, H.; Ali, B.; Akkurt, N.; Malekshah, E.H.; Biswal, U.; Al-Obaidi, M.A.; et al. Inverted Solar Stills: A Comprehensive Review of Designs, Mathematical Models, Performance, and Modern Combinations. Sustainability 2022, 14, 13766. [Google Scholar] [CrossRef]
- Kalogirou, S.A. Solar Thermal Collectors and Applications. Prog. Energy Combust. Sci. 2004, 30, 231–295. [Google Scholar] [CrossRef]
- Wang, L.; Yuan, Z.; Zhao, Y.; Guo, Z. Review on Development of Small Point-Focusing Solar Concentrators. J. Therm. Sci. 2019, 28, 929–947. [Google Scholar] [CrossRef]
- Jaffar, M.F.; Mohammad, A.T.; Ahmed, A.Q. An Experimental Study for Enhancing the Performance of the Photovoltaic Module Using Forced Air. J. Tech. 2022, 4, 1–9. [Google Scholar]
- Qu, W.; Hong, H.; Jin, H. A Spectral Splitting Solar Concentrator for Cascading Solar Energy Utilization by Integrating Photovoltaics and Solar Thermal Fuel. Appl. Energy 2019, 248, 162–173. [Google Scholar] [CrossRef]
- Han, X.; Zhao, G.; Xu, C.; Ju, X.; Du, X.; Yang, Y. Parametric Analysis of a Hybrid Solar Concentrating Photovoltaic/Concentrating Solar Power (CPV/CSP) System. Appl. Energy 2017, 189, 520–533. [Google Scholar] [CrossRef]
- Xu, B.; Li, P.; Chan, C. Application of Phase Change Materials for Thermal Energy Storage in Concentrated Solar Thermal Power Plants: A Review to Recent Developments. Appl. Energy 2015, 160, 286–307. [Google Scholar] [CrossRef]
- Barlev, D.; Vidu, R.; Stroeve, P. Innovation in Concentrated Solar Power. Sol. Energy Mater. Sol. Cells 2011, 95, 2703–2725. [Google Scholar] [CrossRef]
- Al-Obaidi, M.A.; Zubo, R.H.A.; Rashid, F.L.; Dakkama, H.J.; Abd-Alhameed, R.; Mujtaba, I.M. Evaluation of Solar Energy Powered Seawater Desalination Processes: A Review. Energies 2022, 15, 6562. [Google Scholar] [CrossRef]
- Cappelletti, G.M. An Experiment with a Plastic Solar Still. Desalination 2002, 142, 221–227. [Google Scholar] [CrossRef]
- Singh, D.B.; Yadav, J.K.; Dwivedi, V.K.; Kumar, S.; Tiwari, G.N.; Al-Helal, I.M. Experimental Studies of Active Solar Still Integrated with Two Hybrid PVT Collectors. Sol. Energy 2016, 130, 207–223. [Google Scholar] [CrossRef]
- Ranjan, K.R.; Kaushik, S.C.; Panwar, N.L. Energy and Exergy Analysis of Passive Solar Distillation Systems. Int. J. Low-Carbon Technol. 2016, 11, 211–221. [Google Scholar] [CrossRef]
- Palenzuela, P.; Alarcón-Padilla, D.C. Concentrating Solar Power and Desalination Plants. In Solar Resources Mapping: Fundamentals and Applications; Polo, J., Martín-Pomares, L., Sanfilippo, A., Eds.; Springer International Publishing: Cham, Switzerland, 2019; pp. 327–340. ISBN 978-3-319-35474-3. [Google Scholar]
- Rawlins, J.; Ashcroft, M. Small-Scale Concentrated Solar Power: A Review of Current Activity and Potential to Accelerate Deployment; Carbon Trust: London, UK, 2013. [Google Scholar]
- Taibi, E.; Bazilian, M.; Gielen, D.J. Renewable Energy in Industrial Applications. An Assessment of the 2050 Potential; United Nations Industrial Development Organization (UNIDO): Vienna, Austria, 2010. [Google Scholar]
- Soria-Verdugo, A. Experimental Analysis and Simulation of the Performance of a Box-Type Solar Cooker. Energy Sustain. Dev. 2015, 29, 65–71. [Google Scholar] [CrossRef]
- Harmim, A.; Merzouk, M.; Boukar, M.; Amar, M. Design and Experimental Testing of an Innovative Building-Integrated Box Type Solar Cooker. Sol. Energy 2013, 98, 422–433. [Google Scholar] [CrossRef]
- Löf, G.O.G. Recent Investigations in the Use of Solar Energy for the Drying of Solids. Sol. Energy 1962, 6, 122–128. [Google Scholar] [CrossRef]
- Ruelas, J.; Velázquez, N.; Beltrán, R. Opto–Geometric Performance of Fixed-Focus Solar Concentrators. Sol. Energy 2017, 141, 303–310. [Google Scholar] [CrossRef]
- Ruelas, J.; Velázquez, N.; Cerezo, J. A Mathematical Model to Develop a Scheffler-Type Solar Concentrator Coupled with a Stirling Engine. Appl. Energy 2013, 101, 253–260. [Google Scholar] [CrossRef]
- Chaurasiya, P.K.; Rajak, U.; Singh, S.K.; Nath Verma, T.; Sharma, V.K.; Kumar, A.; Shende, V. A Review of Techniques for Increasing the Productivity of Passive Solar Stills. Sustain. Energy Technol. Assess. 2022, 52, 102033. [Google Scholar] [CrossRef]
- Ibrahim, A.; Sakhrieh, A. Comparative Study of Fresnel Lenses and Mirrors in Concentrated Solar Applications. In Proceedings of the The Fifth Global Conference on Renewables and Energy Efficiency in Desert Regions, Amman, Jordan, 6 April 2016; pp. 1–7. [Google Scholar]
- Ramírez, C.; León, N.; García, H.; Aguayo, H. Optical Design of Two-Axes Parabolic Trough Collector and Two-Section Fresnel Lens for Line-to-Spot Solar Concentration. Opt. Express 2015, 23, A480–A492. [Google Scholar] [CrossRef]
- Kasaeian, A.; Tabasi, S.; Ghaderian, J.; Yousefi, H. A Review on Parabolic Trough/Fresnel Based Photovoltaic Thermal Systems. Renew. Sustain. Energy Rev. 2018, 91, 193–204. [Google Scholar] [CrossRef]
- Abdelsalam, T.I.; Abdel-Mesih, B. An Experimental Study on the Effect of Using Fresnel Lenses on the Performance of Solar Stills. In Proceedings of the International Congress on Energy Efficiency and Energy Related Materials (ENEFM2013), Antalya, Turkey, 9–12 October 2013; Oral, A.Y., Bahsi, Z.B., Ozer, M., Eds.; Springer International Publishing: Cham, Switzerland, 2014; pp. 353–362. [Google Scholar]
- Sales, M.T.B.F. Solar Powered Desalination System Using Fresnel Lens. IOP Conf. Ser. Mater. Sci. Eng. 2016, 162, 012002. [Google Scholar] [CrossRef]
- Palomino-Resendiz, S.I.; Flores-Hernández, D.A.; Lozada-Castillo, N.; Guzmán-Vargas, L.; Luviano-Juárez, A. Design and Implementation of a Robotic Active Solar Distiller Based on a Fresnel Concentrator and a Photovoltaic System. Energy Convers. Manag. 2018, 166, 637–647. [Google Scholar] [CrossRef]
- Sansom, C.; Tonnellier, X.; King, P.; Almond, H. Concentrating Fresnel Lens Technology for Thermal Desalination. AIP Conf. Proc. 2019, 2126, 230003. [Google Scholar]
- Mu, L.; Xu, X.; Williams, T.; Debroux, C.; Gomez, R.C.; Park, Y.H.; Wang, H.; Kota, K.; Xu, P.; Kuravi, S. Enhancing the Performance of a Single-Basin Single-Slope Solar Still by Using Fresnel Lens: Experimental Study. J. Clean. Prod. 2019, 239, 118094. [Google Scholar] [CrossRef]
- Gang, W.; Qichang, Y.; Hongfei, Z.; Yi, Z.; Hui, F.; Rihui, J. Direct Utilization of Solar Linear Fresnel Reflector on Multi-Effect Eccentric Horizontal Tubular Still with Falling Film. Energy 2019, 170, 170–184. [Google Scholar] [CrossRef]
- Johnson, A.; Mu, L.; Park, Y.H.; Valles, D.J.; Wang, H.; Xu, P.; Kota, K.; Kuravi, S. A Thermal Model for Predicting the Performance of a Solar Still with Fresnel Lens. Water 2019, 11, 1860. [Google Scholar] [CrossRef]
- Hashemi, S.A.; Kazemi, M.; Taheri, A.; Passandideh-Fard, M.; Sardarabadi, M. Experimental Investigation and Cost Analysis on a Nanofluid-Based Desalination System Integrated with an Automatic Dual-Axis Sun Tracker and Fresnel Lens. Appl. Therm. Eng. 2020, 180, 115788. [Google Scholar] [CrossRef]
- Choong, W.S.; Ho, Z.Y.; Bahar, R. Solar Desalination Using Fresnel Lens as Concentrated Solar Power Device: An Experimental Study in Tropical Climate. Front. Energy Res. 2020, 8, 565542. [Google Scholar] [CrossRef]
- AlKtraneea, M.H.R.; Al-Yasiric, Q.; Kabeele, A.E. Improving the Productivity of a Single-Slope Solar Still Using Fresnel Lenses under Iraq Climatic Conditions. Desalin Water Treat. 2020, 205, 22–30. [Google Scholar] [CrossRef]
- Johnson, J.; Srinivas, A. Fresnel Lens Technology for Distillation of Water with LDR Sensor Based Tracking System. IOP Conf. Ser. Mater. Sci. Eng. 2020, 912, 042042. [Google Scholar] [CrossRef]
- Ho, Z.Y.; Bahar, R.; Koo, C.H. Passive Solar Stills Coupled with Fresnel Lens and Phase Change Material for Sustainable Solar Desalination in the Tropics. J. Clean. Prod. 2022, 334, 130279. [Google Scholar] [CrossRef]
- Xiao, J.; Zheng, H.; Jin, R.; Liang, S.; Wang, G.; Ma, X. Experimental Investigation of a Bubbling Humidification-Dehumidification Desalination System Directly Heated by Cylindrical Fresnel Lens Solar Concentrator. Sol. Energy 2021, 220, 873–881. [Google Scholar] [CrossRef]
- Bhambare, P.S.; Kaithari, D.K.; AI Hosni, S.A.R. Performance Enhancement of a Single Slope Solar Still with Single Basin Using Fresnel Lens. J. Mech. Eng. Sci. 2021, 15, 7781–7791. [Google Scholar] [CrossRef]
- Anbumeenakshi, C.; Mahish, M.M.B.; Dhanushraam, N.S.; Maruthasankar, M. Experimental Study on Green (Solar) Desalination System Using Fresnel Lens, International Journal of Engineering Research and Applications. J. Eng. Res. Appl. 2022, 12, 53–57. [Google Scholar]
- Jang, W.; Kim, S.J.; Lee, D.; Lee, K.-H.; Kim, Y.-G.; Park, A.; Park, Y.; Lee, J.H. Design of Partitioned Linear Fresnel Lens for Medium-Concentrated PV and Its Performance. In Proceedings of the AIP Conference Proceedings, Shymkent, Kazakhstan, 11–13 September 2014; American Institute of Physics: Melville, NY, USA, 2014; Volume 1616, pp. 67–71. [Google Scholar]
- Perini, S.; Tonnellier, X.; King, P.; Sansom, C. Theoretical and Experimental Analysis of an Innovative Dual-Axis Tracking Linear Fresnel Lenses Concentrated Solar Thermal Collector. Sol. Energy 2017, 153, 679–690. [Google Scholar] [CrossRef]
- Ma, X.; Liang, S.; Jin, R.; Zheng, H. Characteristics of a Zoomable Fresnel Lens (ZFL) Used for Solar Concentration. Energy 2020, 194, 116698. [Google Scholar] [CrossRef]
- Kaddoura, M.F.; Zeaiter, J. Application of Thermal Energy Storage with Point Focus Fresnel Lens Concentrator: Numerical and Experimental Analysis. J. Energy Storage 2019, 26, 101008. [Google Scholar] [CrossRef]
- Ma, X.; Jin, R.; Liang, S.; Liu, S.; Zheng, H. Analysis on an Optimal Transmittance of Fresnel Lens as Solar Concentrator. Sol. Energy 2020, 207, 22–31. [Google Scholar] [CrossRef]
- Wu, G.; Yang, Q.; Zhang, Y.; Fang, H.; Feng, C.; Zheng, H. Energy and Optical Analysis of Photovoltaic Thermal Integrated with Rotary Linear Curved Fresnel Lens inside a Chinese Solar Greenhouse. Energy 2020, 197, 117215. [Google Scholar] [CrossRef]
- Liang, K.; Zhang, H.; Chen, H.; Gao, D.; Liu, Y. Design and Test of an Annular Fresnel Solar Concentrator to Obtain a High-Concentration Solar Energy Flux. Energy 2021, 214, 118947. [Google Scholar] [CrossRef]
- Kiyaee, S.; Saboohi, Y.; Moshfegh, A.Z. A New Designed Linear Fresnel Lens Solar Concentrator Based on Spectral Splitting for Passive Cooling of Solar Cells. Energy Convers. Manag. 2021, 230, 113782. [Google Scholar] [CrossRef]
- Beltagy, H. The Effect of Glass on the Receiver and the Use of Two Absorber Tubes on Optical Performance of Linear Fresnel Solar Concentrators. Energy 2021, 224, 120111. [Google Scholar] [CrossRef]
- Jensen, A.R.; Sifnaios, I.; Caringal, G.P.; Furbo, S.; Dragsted, J. Thermal Performance Assessment of the World’s First Solar Thermal Fresnel Lens Collector Field. Sol. Energy 2022, 237, 447–455. [Google Scholar] [CrossRef]
- Gupta, M.; Bhatnagar, A.; Dubey, A.K.; Kumar, V.; Mehta, D.S. Dual Fresnel Lens and Segmented Mirrors Based Efficient Solar Concentration System without Tracking Sun for Solar Thermal Energy Generation. Energy Sustain. Dev. 2022, 66, 201–208. [Google Scholar] [CrossRef]
- Bachhav, C.Y.; Sonawwanay, P.D. Study on Design and Performance Enhancement of Fresnel Lens Solar Concentrator. Mater. Today Proc. 2022, 56, 2873–2879. [Google Scholar] [CrossRef]
- Ahmadpour, A.; Dejamkhooy, A.; Shayeghi, H. Optimization and Modelling of Linear Fresnel Reflector Solar Concentrator Using Various Methods Based on Monte Carlo Ray–Trace. Sol. Energy 2022, 245, 67–79. [Google Scholar] [CrossRef]
- Beltagy, H. A Secondary Reflector Geometry Optimization of a Fresnel Type Solar Concentrator. Energy Convers. Manag. 2023, 284, 116974. [Google Scholar] [CrossRef]
- Zhang, X.; Li, J.; Chen, J.; Chen, F. Preliminary Investigation on Optical Performance of Linear Fresnel Lens Coupled Compound Parabolic Concentrator. Energy 2023, 278, 127910. [Google Scholar] [CrossRef]
- Antonov, E.E.; Kondratenko, S.V.; Lysenko, V.S.; Petrov, V.V.; Zenin, V.N. Microprismatic Plane-Focusing Fresnel Lenses for Light Concentration in Solar Photovoltaic Modules. Semicond. Phys. Quantum Electron. Optoelectron. 2023, 26, 221–232. [Google Scholar]
- Shahid, H.; Rashid, U.; Anwaar, H.; Butt, M.S.; Awan, F.G.; Butt, F.A.; Nzanywayingoma, F. Desalination and Sterilization of Sea Water Using Active Optimized Optical Heat Concentration System. IEEE Access 2023, 11, 134269–134275. [Google Scholar] [CrossRef]
- Zhao, Y.; Zheng, H.; Ma, X.; Jin, R.; Wu, G. Regenerative Solar Soil Sterilizing System with the Fresnel Lens Concentrator. Appl. Therm. Eng. 2018, 142, 674–682. [Google Scholar] [CrossRef]
- Ige, E.O.; Bodunde, O.P.; Akinola, S.O.; Dike, A.E.; Anuoluwa, I.A.; Ige, I.A.; Esoso, A. A Low Cost Intelligent Fuzzy-Controlled Multipass-Multibaffle Dry-Air Sterilizer Device for Small-Sized Surgical Instruments. Int. J. Heat Technol. 2021, 39, 1853–1860. [Google Scholar] [CrossRef]
- Bathusha, M.I.; Rajapreetha, R. Study On Performance Of Fresnel Lens For Thermal Efficiency And Microbial Reduction. NVEO Nat. Volatiles Essent. Oils 2021, 8, 3104–3110. [Google Scholar]
- Mohsen, M.; Rashid, F.L.; Jassim, M.H.A. Design and Construction of an Efficient Solar Collector to Sterilise Surgical Equipment. AIP Conf. Proc. 2023, 2631, 030009. [Google Scholar]
- Valmiki, M.M.; Li, P.; Heyer, J.; Morgan, M.; Albinali, A.; Alhamidi, K.; Wagoner, J. A Novel Application of a Fresnel Lens for a Solar Stove and Solar Heating. Renew. Energy 2011, 36, 1614–1620. [Google Scholar] [CrossRef]
- Senthil, R.; Cheralathan, M. Solar Integrated Collector Storage Using Fresnel Lens for Domestic Hot Water. Int. J. Eng. Res. Dev. 2012, 2, 53–57. [Google Scholar]
- Zhao, Y.; Zheng, H.; Sun, B.; Li, C.; Wu, Y. Development and Performance Studies of a Novel Portable Solar Cooker Using a Curved Fresnel Lens Concentrator. Sol. Energy 2018, 174, 263–272. [Google Scholar] [CrossRef]
- Wang, H.; Huang, J.; Song, M.; Yan, J. Effects of Receiver Parameters on the Optical Performance of a Fixed-Focus Fresnel Lens Solar Concentrator/Cavity Receiver System in Solar Cooker. Appl. Energy 2019, 237, 70–82. [Google Scholar] [CrossRef]
- Dere, A.J.; Kalbande, S.R.; Dhondge, A.J. Performance Evaluation of Solar Fresnel Lens Cooker. J. Pharmacogn. Phytochem. 2019, 8, 2427–2431. [Google Scholar]
- Asrori, A.; Suparman, S.; Wahyudi, S.; Widhiyanuriyawan, D. An Experimental Study of Solar Cooker Performance with Thermal Concentrator System by Spot Fresnel Lens. East. Eur. J. Enterp. Technol. 2020, 5, 31–41. [Google Scholar] [CrossRef]
- Engoor, G.G.; Shanmugam, S.; Veerappan, A.R. Performance Evaluation of a Box-Type Solar Cooker Integrated with Fresnel Lenses. Int. J. Ambient. Energy 2022, 43, 6132–6141. [Google Scholar] [CrossRef]
- Asrori, A.; Susilo, S.H.; Witono, K.; Sunu, P.W. The Effect of Solar Tracker Movement on the Thermal Performance of Solar Cooker Using the Fresnel Lens Solar Concentrator. J. Polimesin 2022, 20, 99–104. [Google Scholar]
- Engoor, G.G.; Shanmugam, S.; Veerappan, A.R. Thermal Analysis of a Box Type Solar Cooker Coupled with Fresnel Lens. Proc. Inst. Mech. Eng. Part E J. Process Mech. Eng. 2022, 236, 2441–2454. [Google Scholar] [CrossRef]
- Asrori, A.; Sulistyono, S.; Susilo, S.H.; Yudiyanto, E. Design and Simulation of Performance Fresnel Solar Cooker by Single Axis Solar Tracker. AIP Conf. Proc. 2023, 2531, 080008. [Google Scholar]
- Wang, H. Comparative Study of a Fixed-Focus Fresnel Lens Solar Concentrator/Conical Cavity Receiver System with and without Glass Cover Installed in a Solar Cooker. Sustainability 2023, 15, 9450. [Google Scholar] [CrossRef]
- Sherniyozov, A.A.; Payziyev, S.D. Solar Pumped Lasers: High-Efficiency Multi-Pass Side Pumping Scheme with Fresnel Lens. Appl. Sol. Energy 2020, 56, 458–465. [Google Scholar] [CrossRef]
- Costa, H.; Liang, D.; Almeida, J.; Catela, M.; Garcia, D.; Tibúrcio, B.D.; Vistas, C.R. Seven-Grooved-Rod, Side-Pumping Concept for Highly Efficient TEM00-Mode Solar Laser Emission through Fresnel Lenses. Photonics 2023, 10, 620. [Google Scholar] [CrossRef]
- Yabe, T.; Ohkubo, T.; Uchida, S.; Yoshida, K.; Nakatsuka, M.; Funatsu, T.; Mabuti, A.; Oyama, A.; Nakagawa, K.; Oishi, T. High-Efficiency and Economical Solar-Energy-Pumped Laser with Fresnel Lens and Chromium Codoped Laser Medium. Appl. Phys. Lett. 2007, 90, 261120. [Google Scholar] [CrossRef]
- Liang, D.; Almeida, J. Highly Efficient Solar-Pumped Nd: YAG Laser. Opt. Express 2011, 19, 26399–26405. [Google Scholar] [CrossRef] [PubMed]
- Dinh, T.H.; Ohkubo, T.; Yabe, T.; Kuboyama, H. 120 Watt Continuous Wave Solar-Pumped Laser with a Liquid Light-Guide Lens and an Nd: YAG Rod. Opt. Lett. 2012, 37, 2670–2672. [Google Scholar] [CrossRef] [PubMed]
- Liang, D.; Almeida, J. Solar-Pumped TEM 00 Mode Nd: YAG Laser. Opt. Express 2013, 21, 25107–25112. [Google Scholar] [CrossRef]
- Cai, Z.; Zhao, C.; Zhao, Z.; Zhang, J.; Zhang, Z.; Zhang, H. Efficient 38.8 W/m 2 Solar Pumped Laser with a Ce: Nd: YAG Crystal and a Fresnel Lens. Opt. Express 2023, 31, 1340–1353. [Google Scholar] [CrossRef]
- LightTools, Illumination Design Software. Photonics Marketplace. Available online: https://www.photonics.com/Buyers_Guide/ProdSpec/Software/LightTools_Illumination_Design_Software/psp8278 (accessed on 25 September 2023).
























| Authors (Year) | Location | Configuration | Studied Parameters | Highlighted Results/Findings |
|---|---|---|---|---|
| Abdelsalam and Abdel-Mesih (2014) [28] | Egypt | Solar still that utilizes concentrated additional solar radiation to warm the moving feed water that is introduced to the solar still system. | Effect of using a Fresnel lens. | The production of distilled water nearly quadrupled, and the efficiency of the solar still was improved by around 68.76% with the addition of linear Fresnel lenses, as opposed to a conventional non-concentrating solar still. This is because light is focused linearly by linear Fresnel lenses. |
| Sales (2017) [29] | Philippines | A Fresnel lens is used in the solar-powered desalination system. | Impact of Fresnel lens and inclination angle. | It was discovered that 293 s were needed for the salt water to evaporate, and 36.420° is the proper angle for the lens to be positioned. The amount of condensate that was gathered was closely correlated with the volume of salt water that was housed inside the solar still. |
| Palomino-Resendiz et al. (2018) [30] | Mexico | The distiller is made up of a Fresnel lens concentrator and a photovoltaic energy collector as an auxiliary component. | Impact of using a Fresnel lens. | When Fresnel lenses are installed in solar concentrators, the utilization of solar radiation is maximized. In comparison to passive approaches, the solar distillation process (also known as water heating) may be greatly sped up by the thermal energy that is created as a response. |
| Sansom et al. (2018) [31] | UK | A solar still that utilizes PMMA Fresnel lenses that are quite inexpensive. | Benefit of using PMMA-concentrated Fresnel lenses. | The final material cost, which was approximately GBP 7500, was higher than the GBP 6500 material budget, but it is possible that additional savings will be realized as prototypes are developed. |
| Mu et al. (2019) [32] | USA | A solar still with a single basin and a single slope was designed to accommodate the Fresnel lens (FRL). | Effect of using a Fresnel lens and water depth. | The use of FRL was able to achieve an important boost in daily efficiency of approximately 84.7%, in addition to a significant increase in the production of clean water (L/m2/day) of roughly 467% when compared to a typical system that did not employ FRL. The system’s daily production showed an inversely proportionate linear association with the basin’s water depth (dw). |
| Gang et al. (2019) [33] | China | A tubular desalination system that is heated directly by a linear Fresnel reflector (LFR) field. This system has many eccentric tubings. | Effect of vacuum temperature and energy supply. | The first effect has a maximum cumulative yield of approximately 28.27 kg at 1600 W of heating power, and the second effect has a maximum cumulative yield of roughly 21.37 kg. The system’s maximum PR might be 1.41 or 1.07, respectively. |
| Johnson et al. (2019) [34] | USA | A solar still with a single slope and a single basin, equipped with a Fresnel lens and variable water depth. | Effect of using a Fresnel lens and water depth. | The intended outcome of the Fresnel lens was an enormous rise in the overall output of the still. The Fresnel lens performed better when used at deeper water depths, according to a parametric study that changed the water depth. |
| Hashemi et al. (2020) [35] | Iran | The solar still comprises a conventional solar still (CSS), an active automated STS, and three Fresnel lens concentrators. | Effect of using a Fresnel lens and MWCNTs/water nanofluid. | The CSS can produce 5310, 1080, and 6390 mL/(m2 day) of fresh water on a daily, nightly, and total basis, respectively, when paired with the STS and the Fresnel lens. The daily average efficiency of employing nanofluids with mass fractions of 0.15 and 0.3%, respectively, yields a rise of approximately 9.56 and 17.85%, respectively, when contrasted with the efficiency of using pure water as HTF. |
| Choong et al. (2020) [36] | Malaysia | Fresnel lenses with a flat surface mounted atop a double-sloped passive solar still. | Effect of using a number of Fresnel lenses. | The amount of freshwater that can be generated by each unit of solar irradiation is increased by 39% when two Fresnel lenses are used instead of just one large one. The water that was produced had a total dissolved solids (TDS) value of 37 ppm, which is substantially below the World Health Organization’s (WHO) recommended drinking water criterion. |
| AlKtranee et al. (2020) [37] | Iraq | Utilizing the Fresnel lens approach in standard solar still (CSS) photography. | The effect of using Fresnel lenses and water depth. | Better performance was observed in July when it was found that the productivity of the CSSFL was higher than that of the CSS by roughly 68.6% at a depth of 1 cm and 59.3% at a depth of 2 cm. Furthermore, at a depth of 1 cm, the average daily thermal efficiencies of the CSS and the CSSFL were 21% and 36%, respectively. |
| Johnson and Srinivas (2020) [38] | India | Using Fresnel lens technology in both sunlight and brine water, which are two resources that are accessible almost everywhere. | Effect of using Fresnel lenses and heat exchanger. | By extending the size of the Fresnel lens and enhancing the heat transfer into the boiler, it is feasible to reduce the time needed to reach the starting boiling temperature. The production of condensed water can be accelerated by placing a heat exchanger close to the boiler’s outflow. |
| Ho et al. (2022) [39] | Malaysia | Conventional passive solar stills achieve a concentration of sun irradiation via the use of the refraction effect | Effect of using Fresnel lenses and PCM. | FRL improved the efficiency from 28% to 37% compared to more conventional designs. The productivity boost of g/kJ in the experimental still was 60% higher than that of the traditional still. PCM alone was able to stabilize the process and boost production at the same time. The FRL-coupled PCM system produced a 32% greater degree of efficiency compared to a typical still. |
| Xiao et al. (2021) [40] | China | A Fresnel lens solar concentrator, a bubbling humidification chamber, and a bubbling dehumidification chamber are the components that make up an HDH system. | The influence of using a solar concentrator with Fresnel lenses, as well as a bubbling humidification chamber and a bubbling dehumidification chamber. | The suggested bubbling HDH desalination system produced more freshwater due to the effective heat and moisture transfer improvement offered by bubbling and direct sun heating. This is because more saltwater may be turned into freshwater by the mechanism. |
| Bhambare et al. (2021) [41] | Oman | Using Fresnel lenses, the traditional single slope solar still (SSSS) with a single basin may achieve a higher level of total efficiency. | Effect of using Fresnel lenses. | It was observed that single-basin SSSSs with Fresnel lenses have a distillate yield that is three to three and a half times higher than that of conventional systems. The system’s overall effectiveness increased by approximately 32.19% when compared to the conventional approach. |
| Anbumeenakshi et al. (2022) [42] | India | Copper rods and a Fresnel lens are included in the solar still. | Impact of using Fresnel lenses. | The rate at which water evaporates is greatly accelerated by the use of Fresnel lenses. Moreover, the use of multiple Fresnel lenses as opposed to a single one produces a greater amount of feed water evaporation and numerous hotspots, which, in the end, leads to a higher overall output relative to the total amount of solar irradiation received. |
| Authors (Year) | Location | Configuration | Studied Parameters | Highlighted Results/Findings |
|---|---|---|---|---|
| Jang et al. (2014) [43] | Korea | Revolutionary medium CPV (concentrated photovoltaic) lens measuring 50 × 50 mm2. | Impact of the novel design. | A unique medium CPV (concentrated photovoltaic) lens design measuring 50 × 50 mm2 was shown to achieve an optical efficiency of up to 85 to 87%. |
| Perini et al. (2017) [44] | UK | An innovative linear Fresnel lens collector that is capable of tracking along two axes. | The effect of a new linear Fresnel lens collector that tracks along two axes simultaneously. | The collector’s maximum worldwide efficiency is limited to fewer than twenty percent. Fourteen percent of the total energy lost is lost as a result of optical losses within the lens system. |
| Ma et al. (2020) [45] | China | Zoomable Fresnel lens (ZFL). | Effect of a zoomable Fresnel lens (ZFL). | ZFL can increase the permitted tilt incidence angle by approximately 2.5 times. As a result, the effective working period of the linear-focusing Fresnel lens is approximately 6.7 h per day. |
| Kaddoura and Zeaiter (2019) [46] | Lebanon | Solar cavity receiver. | The result of using a Fresnel lens on a laboratory size and utilizing thermal energy storage. | The laboratory-scale Fresnel lens’s ability to raise the heat-transfer fluid’s temperature by an extra 200 °C. The amount of thermal energy that is expected to be stored would be expected to vary between 2 and 7.2 kWh/m2 per day during the winter and between 93.6% and 97.2% during the summer. |
| Ma et al. (2020) [47] | China | In order to obtain the perfect form for the Fresnel lens, prisms are used. | The effect of combining a Fresnel lens and a secondary reflector that is just a plain mirror. | The effective tilt incident angle can be increased from 7° to 32° by raising the receiver’s position and employing a simple mirror as a secondary reflector. Every day, from approximately ten in the morning until fourteen thirty in the afternoon, the Fresnel solar concentrator is working at its peak efficiency. The collection efficiencies are around 0.53, 0.48, and 0.44, respectively, while the constant output temperatures are 125, 150, and 170 °C. |
| Wu et al. (2020) [48] | China | In the region that does not include plants, a cylindrical Fresnel lens will concentrate the photovoltaic and thermal (CPV/T) system. | The result of installing a concentrating photovoltaic/thermal (CPV/T) system with a cylindrical Fresnel lens in the part of the Chinese solar greenhouse that is not used for plants. | The peak power production efficiency at midday (11:00–13:00) is around 18%, the peak cooling water efficiency is about 45%, and the total thermal and electrical power efficiency is about 55%. |
| Liang et al. (2021) [49] | China | A solar concentrator featuring a circular Fresnel lens and an annular Fresnel. | Impact of annular and circular Fresnel lens collection. | Solar power, average radiation, and maximum radiation on the AFSCFL receiver were 9.49%, 10.70%, and 9.49% greater than those of the AFSC, respectively. Compared to the AFSC, the AFSCFL’s thermal efficiency might be 20% greater in low-radiation conditions. |
| Kiyaee et al. (2021) [50] | Iran | The acronym SSFL stands for polymethyl methacrylate spectral splitting Fresnel lens. | Impact of using SSFL. | The optimal lens was determined to be the SSFL, which had an optical efficiency of 81% and a spectral range of 600–1150 nm. Comparing this lens to one with a spectral range of 400–1150 nm, it not only increases weighted energy production by 14% but also lowers the cell’s temperature by 48 °C. |
| Beltagy (2021) [51] | Algeria | A Fresnel-type concentration was used in the solar prototype. | The effect of the glass and the geometry of the receiver on the signal. | It is anticipated that the annual optical efficiency rose by 5.6%, from 40.49% to 42.75%, as a result of glass removal. The optical efficiency increased from 40.49 to 46.79%, an annual improvement of 15.5%, with the usage of two absorber tubes. |
| Jensen et al. (2022) [52] | Denmark | On a grand scale, solar collectors using a Fresnel lens. | Impact of using Fresnel lenses. | Mean collector temperature variations had little effect on heat generation. This proved that, in contrast to the constraints of flat-plate collectors, the collectors are suitable for generating heat at temperatures higher than 100 °C. |
| Gupta et al. (2022) [53] | India | Combination of two very big Fresnel lenses and six mirrors that have been segmented. | Fresnel lenses and segmented mirrors’ contribution to the impact. | The system that has been demonstrated has an instantaneous thermal efficiency of at least 20%, which is higher than systems that only use one lens to concentrate light. |
| Bachhav and Sonawwanay (2022) [54] | India | Fresnel lens with design parameters. | Design parameters of Fresnel lenses. | A method that chooses different wavelengths for each concentric ring can help both the flux distribution and the sun spectrum dispersion. |
| Ahmadpour et al. (2022) [55] | Iran | Solar concentrator utilizing a linear Fresnel reflector. | Effect of size. | With 47.13% efficiency, the IPPOA was successful. With regard to medium-sized projects, the IPPOA attained an efficiency of 42.5%, a lower percentage than that of small-sized projects. Furthermore, the mirror width in the medium case was wider than the mirror width in the small case. |
| Beltagy (2023) [56] | Algeria | A different configuration for the Fresnel linear concentrator’s secondary reflector. | The impact of using an unconventional form for the secondary reflector. | For the DPC, the double parabola is not the best form. The new form of DPC also offers an optical efficiency of the receiver that is close to 100% and a power gain of 10 to 13% over the prior form. This is not the same as the current form. |
| Zhang et al. (2023) [57] | China | LFL-CPC is an abbreviation for linear Fresnel lens coupling. | The influence of the linear Fresnel lens coupling CPC, also known as the LFL-CPC. | Because the LFL-CPC’s energy flux distribution on the absorber is more uniform than the S-CPC’s and because its peak energy value on the absorber surface is lower than the S-CPC’s, it is more beneficial to the long-term stable functioning of the hybrid system without an imaging concentrator. |
| Antonov et al. (2023) [58] | Ukraine | Microprismatic lenses with vertical plane focusing. | Effect of using plane focusing microprismatic lenses. | When the focal distance is reduced, the total light transmittance of plane-focusing microprismatic lenses decreases. |
| Authors (Year) | Location | Configuration | Studied Parameters | Highlighted Results/Findings |
|---|---|---|---|---|
| Shahid et al. (2023) [59] | Pakistan | Optically active desalination process. | Impact of using Fresnel lenses in different locations. | A copper slab inside the reservoir receives a parallel, concentrated beam of light created by the bottom Fresnel lens, while the top Fresnel lenses focus the light rays. This maintains a clean water supply available by vaporizing the desalinated water. |
| Zhao et al. (2018) [60] | China | System for the regenerative solar disinfection of soil, using a Fresnel lens optimized for industrial use. | The effect of the Fresnel lens, the angle at which the sun is at its zenith, and the azimuth angle. | When the azimuth angle is between −35° and 35° and the solar zenith angle is between −2° and 2°. The light acceptance rate of the regenerative solar soil sterilization system with Fresnel lens is greater than 0.99. |
| Ige et al. (2021) [61] | Nigeria | A gadget for decontamination that uses a small amount of energy. | The influence of using a Fresnel lens in the sterilizer. | In order to sanitize outdated surgical equipment, the newly developed sterilizer demonstrated that a fuzzy logic-controlled dry air sterilizer could reach a temperature inside the heater chamber of less than 150 °C. |
| Bathusha and Rajapreetha (2021) [62] | India | A Fresnel lens is used in the solar gadget that disinfects water. | The impact of using a Fresnel lens in a solar-powered disinfection system. | When reducing microorganisms is the aim, Fresnel lenses with a larger groove pitch are more suited for the task. |
| Mohsen et al. (2023) [63] | Iraq | The solar autoclave has the capacity to create moist steam at high temperatures. | The use of Fresnel lenses in solar autoclaves has a number of advantages. | It took seven to ten minutes for the sterilizing drum to produce sterilization steam, which reached 2.1 bars and 121 °C. This means that it took roughly thirty minutes to reach sterilization conditions; add fifteen minutes for the sterilization cycle, and the total time required for the sterilization process is 45 min. |
| Authors (Year) | Location | Configuration | Studied Parameters | Highlighted Results/Findings |
|---|---|---|---|---|
| Valmiki et al. (2011) [64] | USA | Solar cooker prototype based on the usage of a huge Fresnel lens. | Impact of using the Fresnel lens. | Significant energy savings and comparatively low heat loss are made possible by focusing sunlight via a Fresnel lens onto a small, stationary heat-receiving area. |
| Senthil and Cheralathan (2012) [65] | India | Integrated collector solar thermal energy storage employing paraffin as a thermal mass with an innovative technique using a Fresnel lens for the collection of solar radiation. | The design of the solar storage, the orientation and exact tracking of the Fresnel lens, the optimization of the mass flow rate of the heat transfer fluid, and the use of a variety of fin configurations and heat transfer tube arrangements were all part of this project. | Even though the temperature drop is only marginally more pronounced, it has been shown that multiple-pass HTF tubes have a thermal reaction that is 2–5% faster than single-pass HTF tubes. The PCM did not react uniformly with regard to the temperature inside the container as a result of the phase shift that happened along the axis of the container. The efficiency of the retrieval must be improved because the melting process proceeds more quickly than the discharge process. |
| Zhao et al. (2018) [66] | China | Portable solar oven that makes use of a Fresnel lens in its design. | Impact of using Fresnel lenses. | Under ideal conditions, the system may achieve an average temperature of approximately 361 °C when the direct irradiance is equivalent to 712 watts per square meter. Four other types of test items, each weighing 0.5 kg, were also used to assess the solar cooker’s performance. |
| Wang et al. (2019) [67] | China | A solar cooker that utilizes a solar concentrator and cavity receiver system that is based on a fixed-focus Fresnel lens. | The effects of receiver parameters. | A higher amount of incoming energy from the concentrator can be stored in the cavity receiver with a bottom reflecting cone angle of 90° than in the other three angles. Increasing both the cavity receiving surface’s absorptivity and the bottom reflecting cone’s reflectivity can boost optical efficiency. |
| Dere et al. (2019) [68] | India | A solar concentrator system with a dual-axis Fresnel lens combined with a dual-axis control panel system, lens, heat exchanger, cooking pot, and fluid pipe network insulation. | The influence of various parameters, such as flow rate, focal length, and oil kind. | The cooking pot was determined to have a maximum efficiency of 25.5%. The temperature of the water and oil inside the pot were measured to be 102.261 and 108.60 °C, respectively. |
| Asrori et al. (2020) [69] | Indonesia | Concentrators of solar thermal energy in the form of a solar cooker that uses a spot Fresnel lens. | Impact of using a spot Fresnel lens. | An average stagnation temperature of 267.35 °C was found in a cooking pot with a conical cavity receiver. The conical cavity receiver design is an excellent choice for FSC applications due to its minimum heat loss and superior heat transmission performance. The FSC was shown to have a 27.72% thermal efficiency. The thermal efficiency tends to decrease as the operation nears its conclusion due to the influence of the factor determining the optical efficiency. |
| Engoor et al. (2022) [70] | India | A traditional box-type solar cooker that incorporates two Fresnel lens magnifiers (FLMGs). | Effect of temperature difference. | Plotting the standardized cooking power versus the temperature difference revealed that, when tested in compliance with the international testing protocol, the amended cooker had a standardized cooking power of 46.87 W. In this instance, there was a 50 degree Celsius temperature differential. |
| Asrori et al. (2022) [71] | Indonesia | Solar cooker created when direct normal irradiance is focused onto the receiver/absorber using a Fresnel lens as the cooking vessel. | Impact of a solar tracker. | When a solar cooker has a solar tracker that moves every 10 min, its thermal efficiency is 12.7%; when it moves every 5 min, its thermal efficiency is 33.66%. The thermal efficiency of the solar cooker increased significantly, by 2.65 times from its prior level. |
| Engoor et al. (2022) [72] | India | Combination of a box-type solar cooker (BTSC) with two Fresnel lens magnifiers. | Impact of incorporating BTSCs. | Every single component of the BTSC experienced a rise in temperature as a result of the FLMG’s integration. The solar cooker completed the task of cooking basmati rice to perfection in fifty-eight minutes. |
| Asrori et al. (2023) [73] | Indonesia | Cooking with the sun using a Fresnel solar cooker (FSC) equipped with a solar tracker. | The effect of the focus point being disoriented and the radiation from the sun. | The focus point disorientation causes a slowing down of the thermal dispersion rate. The measurement of temperature at the Fresnel focus point is influenced by the direct normal irradiance (DNI). With an increase in solar radiation, a focal temperature is created. |
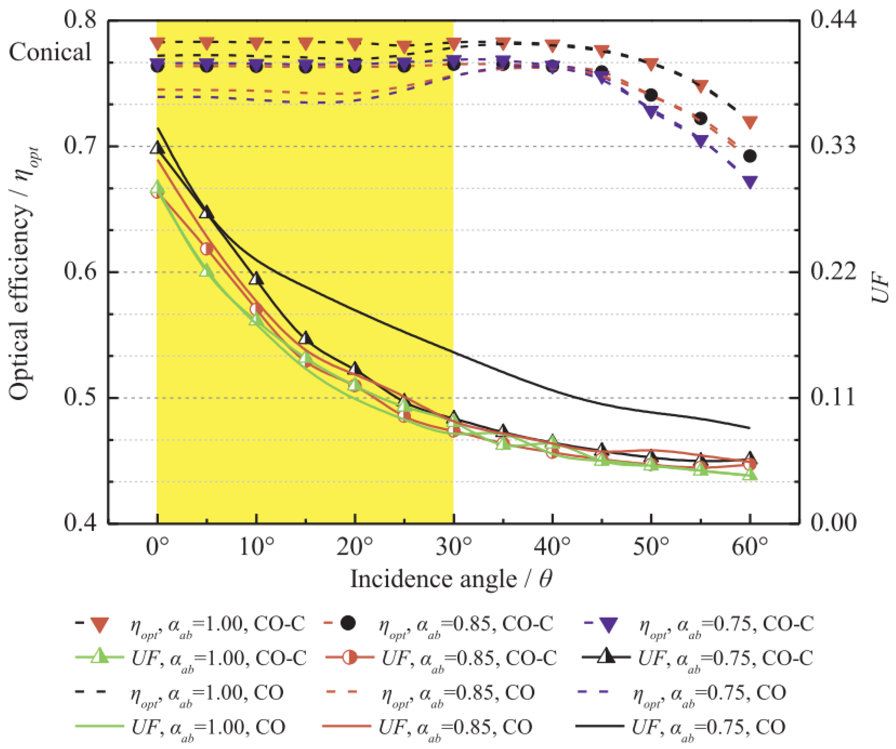
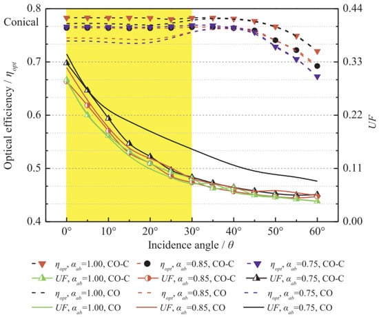
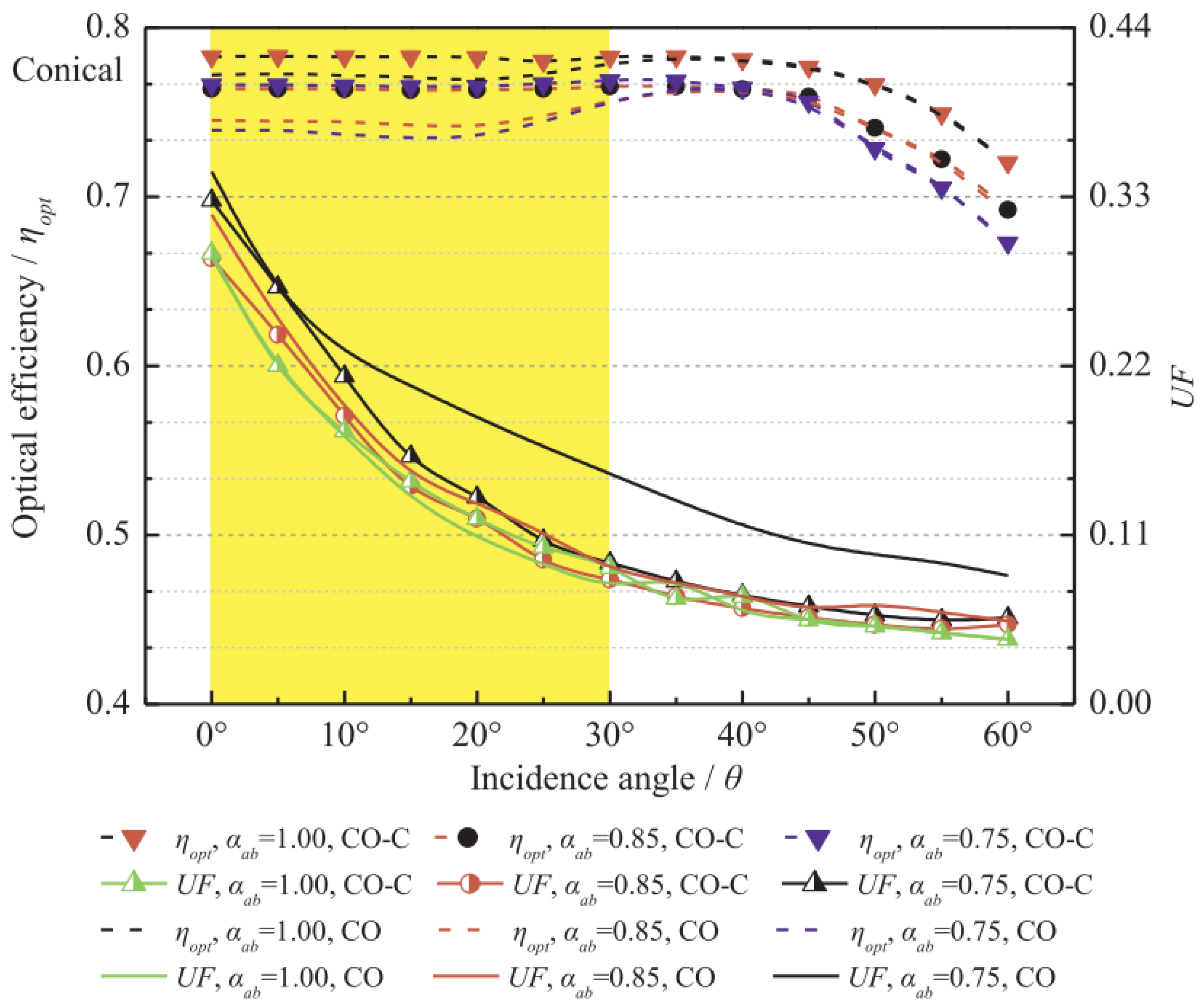
| Wang (2023) [74] | China | Focus that does not change the system consisting of a Fresnel lens solar concentrator and a conical cavity receiver. | The effect of a fixed-focus Fresnel lens solar concentrator coupled with a conical cavity receiver system, both with and without a glass cover, and in relation to a variety of incidence angles. | When it comes to optical efficiency, a system without a glass cover performs far better than one with a glass cover. The angle of incidence, which can range from 0 to 20°, has little bearing on how different they are from one another. |
| Authors (Year) | Location | Configuration | Studied Parameters | Highlighted Results/Findings |
|---|---|---|---|---|
| Yabe et al. (2007) [77] | Japan | Yttrium aluminum garnet ceramic and Fresnel lens that focus on natural sunshine are the components of a solar-pumped laser that is pumped by Cr-co-doped indium. | Impact of pumping wavelength. | A 1.8-fold increase in laser output has been anticipated from sunlight based on the observed fluorescence yield at 1064 nm for different pumping wavelengths in both Cr-co-doped and non-doped laser medium. |
| Liang and Almeida (2011) [78] | Portugal | Solar laser collection efficiency achieved by the use of a cost-effective Fresnel lens and a single-crystal Nd:YAG rod is shown. | Effect of using an Nd:YAG single-crystal rod. | Results with 12.3 W cw laser power and 19.3 W/m2 collection efficiency are 2.9 times more than those with Nd:YAG single-crystal medium in the past. |
| Dinh et al. (2012) [79] | Japan | A hybrid pumping cavity and a liquid light-guide lens (LLGL) are used in order to create a high-power solar-pumped laser application. | A hybrid pumping cavity and a liquid light-guide lens (LLGL) have an impact on the system. | The associated collecting efficiency is 30.0 W/m, surpassing the previous record by 1.5 times. This is in contrast to Cr:Nd:YAG ceramics. |
| Liang and Almeida (2013) [80] | Portugal | Utilizing a Fresnel lens with a diameter of 1.0 m and a single-crystal Nd:YAG rod with a diameter of 3 mm were used to achieve solar-pumped laser beam brightness. | Utilizing a Fresnel lens with a diameter of 1.0 m and a single-crystal Nd:YAG rod with a diameter of 3 mm has these effects. | A 143% improvement in collection efficiency is achieved using 8.1 W cw laser power during multimode operation. |
| Cai et al. (2023) [81] | China | Efficiency of solar-pumped laser collection based on end-side pumping of a 95-mm-long wavelength laser with a 6 mm Ce:Nd:YAG/YAG crystal rod with a grooved bonding structure. | Circular groove-bonded crystal rod with a Ce:Nd:YAG/YAG effect. | A record for single-beam solar-pumped lasers, the collection efficiency of 38.8 W/m2 was 1.21 times more than the greatest figure previously recorded for Fresnel lens solar collecting. |
Disclaimer/Publisher’s Note: The statements, opinions and data contained in all publications are solely those of the individual author(s) and contributor(s) and not of MDPI and/or the editor(s). MDPI and/or the editor(s) disclaim responsibility for any injury to people or property resulting from any ideas, methods, instructions or products referred to in the content. |
© 2024 by the authors. Licensee MDPI, Basel, Switzerland. This article is an open access article distributed under the terms and conditions of the Creative Commons Attribution (CC BY) license (https://creativecommons.org/licenses/by/4.0/).
Share and Cite
Rashid, F.L.; Al-Obaidi, M.A.; Mahdi, A.J.; Ameen, A. Advancements in Fresnel Lens Technology across Diverse Solar Energy Applications: A Comprehensive Review. Energies 2024, 17, 569. https://doi.org/10.3390/en17030569
Rashid FL, Al-Obaidi MA, Mahdi AJ, Ameen A. Advancements in Fresnel Lens Technology across Diverse Solar Energy Applications: A Comprehensive Review. Energies. 2024; 17(3):569. https://doi.org/10.3390/en17030569
Chicago/Turabian StyleRashid, Farhan Lafta, Mudhar A. Al-Obaidi, Ali Jafer Mahdi, and Arman Ameen. 2024. "Advancements in Fresnel Lens Technology across Diverse Solar Energy Applications: A Comprehensive Review" Energies 17, no. 3: 569. https://doi.org/10.3390/en17030569
APA StyleRashid, F. L., Al-Obaidi, M. A., Mahdi, A. J., & Ameen, A. (2024). Advancements in Fresnel Lens Technology across Diverse Solar Energy Applications: A Comprehensive Review. Energies, 17(3), 569. https://doi.org/10.3390/en17030569
