Next Article in Journal
Exploring the Role of Donor–Acceptor Interactions in Phenothiazine Organic Dyes and Their Implications for Quasi-Solid-State Dye-Sensitized Solar Cells
Next Article in Special Issue
A Win-Win Coordinated Scheduling Strategy Between Flexible Load Resource Operators and Smart Grid in 5G Era
Previous Article in Journal
Sigma Delta Modulation Controller and Associated Cybersecurity Issues with Battery Energy Storage Integrated with PV-Based Microgrid
Previous Article in Special Issue
Controller Hardware in the Loop Platform for Evaluating Current-Sharing and Hot-Swap in Microgrids
 
 
Font Type:
Arial Georgia Verdana
Font Size:
Aa Aa Aa
Line Spacing:
Column Width:
Background:
Article

A Deep-Neural-Network-Based Surrogate Model for DC/AC Converter Topology Selection Using Multi-Domain Simulations

Department of Electrical and Computer Engineering, University of Michigan-Dearborn, Dearborn, MI 48128, USA
*
Author to whom correspondence should be addressed.
Energies 2024, 17(24), 6467; https://doi.org/10.3390/en17246467
Submission received: 3 October 2024 / Revised: 28 November 2024 / Accepted: 20 December 2024 / Published: 22 December 2024
(This article belongs to the Special Issue Smart Grid and Energy Storage)

Abstract

The selection of optimal DC/AC power converter topologies for specific applications is often a time-consuming and complex task, which can lead to suboptimal choices. This paper proposes an AI-assisted methodology to identify the most efficient DC/AC converter based on a set of input design parameters. Separate deep-neural-network-based surrogate models are developed for each considered topology, trained by a large dataset of simulation results obtained from MATLAB/Simulink and PSIM, so that the efficiency of each converter can be determined without performing additional simulations. The proposed methodology allows for quick and accurate efficiency estimation, significantly reducing the analysis time for topology selection. A case study for the two-level converter is also presented, demonstrating that additional parameters, such as the semiconductors junction temperature and output current distortion, can also be predicted using a similar methodology. Results are presented to demonstrate the feasibility of the proposed method.

1. Introduction

DC/AC converters are primarily used for converting direct voltage/current into alternating voltage/current according to electrical energy quality standards [1,2,3]. This is achieved through the control of the switching states of the semiconductor devices to generate a pattern that reproduces a sinusoidal waveform at the converter output [4]. This feature is essential in renewable energy, uninterruptible power supplies, machine driving applications, and energy storage systems [5,6,7].
The design process of DC/AC converters is summarized in Figure 1. Firstly, it is necessary to identify the input and output specifications, as well as efficiency requirements and regulatory compliance [8,9]. Next, an appropriate converter topology must be selected, considering application-specific requirements [10,11]. The power stage can then be designed with the appropriate switching devices and gate driver circuits. A suitable modulation and control strategy must be implemented to regulate the output variables. Effective thermal management, including heatsinks and cooling systems, must be designed to ensure component safety [12]. Following these steps, protection mechanisms are required to guard the converter against overcurrent and overvoltage [13]. The design is validated through simulations, followed by the printed circuit board design and initial experimental testing. Finally, the prototype must be subjected to performance tests, thermal behavior, and regulatory compliance.
Due to a wide range of applications, the DC/AC converter performance must be analyzed specifically and independently for each case [14]. One of the initial steps for this evaluation consists on selecting the topology that best aligns to the input parameters of the converter right after identifying the project specifications, according to Figure 1. However, this is a challenging and time-consuming process that requires the expertise of experienced specialists [15,16]. In some cases, to avoid complex and extensive analysis, superficial evaluations are conducted for the topology selection, which can result in a suboptimal choice.
In parallel, recent advances in machine learning algorithms have enabled this technology to be used in power electronics applications [17,18]. By using a large dataset, it is possible to train a surrogate model that can facilitate the selection of the DC/AC converter topology without requiring any simulations. Surrogate models can approximate complex and resource-intensive simulations, providing significant computational savings and enabling faster design iterations. This data-driven approach enables a quick and automatic identification of the converter that best adapts to a set of predefined input parameters.
Some papers have addressed the use of machine learning algorithms in a converter design. In [19], a deep reinforcement learning (DRL)-based algorithm is proposed to optimize the design parameters of power converters using a deep neural network (DNN)-based surrogate model. However, this work is essentially focused on DC/DC converters, and DC/AC configurations have not been addressed. An automatic method for designing the switching frequency and the passive components while minimizing the converter mass and power losses is presented in [20], but the paper is only focused on the high-gain converter-synchronous rectification low-inductance current secondary boost converter (SLIC-QBC). The potential of an artificial neural network combined with the 3D finite element method for modeling and optimizing magnetic components is explored in [21]. This method is able to simulate inductors with different geometries, windings strandings, core materials, and waveforms; however, it is focused on DC/DC applications only.
A broad range of surrogate models for different power electronics elements is presented in [22], addressing thermal modeling, magnetic component design, and reliability. However, this work lacks focused practical applications and detailed case studies to demonstrate the effectiveness of the proposed methods. An evaluation of the performance and computational costs of four surrogate modeling techniques is performed in [23], where it is concluded that the polynomial surrogate model (PSM) is the most effective for small datasets, while the generalized regression neural network (GRNN), the support vector machines (SVM), and the Kriging demonstrates better performance with larger datasets. Nevertheless, this study is focused on power delivery networks and it does not explore power electronics applications.
A comparative analysis between the recent works on the field is provided in Table 1. One can observe that some existing works have already discussed the use of intelligent algorithms for converter design. Nonetheless, the analyses are mainly focused on DC/DC topologies and DC/AC configurations are not usually explored in this field of study. To address the current research gaps, this paper proposes a deep reinforcement learning method to autonomously obtain the efficiency of multiple DC/AC converter topologies for any given set of input parameters, which can accelerate the process of topology selection by dispensing the use of extensive simulations. A case study is also presented, demonstrating that other parameters such as semiconductors junction temperature and output current distortion can also be determined using a similar approach. Firstly, separate DNN-based surrogate models are trained offline for each of the considered DC/AC configurations. Next, the surrogate models are used to quickly estimate a desired parameter without performing any simulation. These results can be compared to provide an initial concept of the most appropriate topology for a predefined set of input parameters.
In the context of DC/AC converter design, the initial steps highlighted in Figure 1 are critical yet time-consuming and complex. These steps require careful consideration of multiple parameters, which can lead to suboptimal choices if not thoroughly analyzed. The proposed AI-assisted methodology aims to streamline these early design stages by leveraging DNN-based surrogate models. By providing estimations for different converter topologies based on a dataset derived from extensive simulation results, this approach not only reduces the time required for identifying the optimal converter topology, but also enhances the accuracy of the selection process.
This paper is organized as follows. Section 2 describes the development of the DNN-based surrogate model. The dataset collection method used to train the surrogate model of each converter to obtain its respective efficiency is presented in Section 3. A case study to obtain the semiconductors temperature and the output current distortion of a two-level topology is carried out in Section 4. Simulation results and a comparative analysis between the surrogate models are shown in Section 5, to demonstrate the effectiveness of the proposed method.

2. Surrogate Model for DC/AC Converter Topologies

The analysis proposed in this work is based on classic topologies, which are those that have already been extensively studied in the literature and are the most commercialized in the industry: the two-level (2L), the three-level cascaded H-bridge (3L-CHB), the three-level neutral point clamped (3L-NPC), and the three-level flying capacitor (3L-FC), as shown in Figure 2 [24,25]. In general, design parameters such as operating power, switching frequency and semiconductors characteristics have different impacts on each topology performance and separately simulating each structure can be particularly time-consuming.
Simulation data for each topology were collected using MATLAB/Simulink R2023b software to train the surrogate models that replicate the behavior of their respective converter as close as possible. By using this approach, it is possible to determine the efficiency of each topology without separately simulating each one.
Figure 3 demonstrates the methodology for developing the surrogate models. This technique is implemented separately for each topology presented in Figure 2, resulting in four different surrogate models. The variables that have an impact on the converter efficiency are considered as the simulation input parameters, including the DC-link voltage, output power, output power factor, amplitude modulation index, and switching frequency. Thus, it is possible to generate n different combinations of input parameters, represented by the vectors x k , k = 1 , 2 , , n . Each combination is individually simulated to obtain the converter efficiency y k . This resulting dataset, composed of the x k and the y k variables, is then used to train and test a surrogate model that can quickly map the input parameters to the output with high accuracy.
In this work, a separate DNN-based surrogate model is developed for each topology presented in Figure 2. First, a dataset is generated with multiple different combinations of input parameters for one specific converter. In an initial offline training, a portion of this dataset is used to train the surrogate model for this specific converter, while another portion is used to test the results, as shown in Figure 4. Through this process, the weight values of the hidden layer are updated and the efficiency of this converter can be determined from the input parameters provided to the input layer. This process is then repeated for the remaining topologies to obtain their respective surrogate models.

3. Data Acquisition

According to [19], a dataset with at least 30,000 data points is sufficient to ensure a good performance for predicting efficiency values. Therefore, 45,000 simulations were conducted in MATLAB/Simulink for each topology presented in Figure 2, resulting in 180,000 simulations that were used to train and test the surrogate models. The simulations are set up according to Figure 5, where the DC/AC converter can correspond to any of the configurations presented in Figure 2.
Conduction losses are a significant factor that directly affects the overall efficiency of power electronics converters. To effectively model these losses, two key parameters were included into the simulation: the forward voltage drop and the on-state resistance of the IGBTs and their internal diodes. By measuring the voltage and current at the converter terminals, it is possible to determine the input power P i n and output power P o u t to determine each topology efficiency:
η = P o u t P i n = t i t f v i n ( t ) i i n ( t ) t i t f v o u t ( t ) i o u t ( t ) ,
where v i n ( t ) and i i n ( t ) are the voltage and current measured at the input terminals, respectively, and v o u t ( t ) and i o u t ( t ) are the voltage and current measured at the output terminals. The difference between the initial time t i and the final time t f must be equal to the period of the fundamental component of the output voltage v o u t ( t ) . This ratio provides a clear measure of each topology performance, with specific emphasis on conduction losses.
To reduce the complexity of the converter response under controlled conditions in steady state, the output load was considered as a controlled current source, whose amplitude I a c and phase displacement φ in relation to the voltage reference are given by:
I a c = 2 P o u t m V d c cos ( φ )
and
φ = arccos ( PF ) ,
where m and V d c are the DC/AC converter amplitude modulation index and input voltage and PF is the output power factor.
The process of obtaining the dataset is the same for all configurations presented in Figure 2, with variations in the values of the input parameters according to the specific characteristics of each topology. The switching states of the 2L converter are obtained by a conventional pulse width modulation (PWM) strategy with sinusoidal reference, while a phase-disposition (PD) PWM is used to control the switching states of the 3L-NPC converter and a phase-shift (PS) PWM generates the switching signals for the 3L-CHB and the 3L-FC. Furthermore, to simplify the simulations, all circuits were implemented in open-loop, and the output current is defined by the ideal current source presented in Figure 5 and the DC-link capacitors of the converters were replaced by ideal voltage sources. Note that DC-link capacitors have internal resistances and voltage ripples in real applications, which contribute to reduce the converter efficiency. A similar effect occurs by selecting an ideal current source as the converter output, as there are will be no current harmonic components injected into the load. These effects are disregarded in this work and the results focus specifically on the semiconductors power losses.
As previously mentioned, a dataset is required to train and test the surrogate models. The dataset is generated through MATLAB/Simulink simulations with multiple different combinations of input parameters and the efficiency is determined according to Equation (1). Five numerical input parameters for each converter topology are considered, varying within the ranges specified in Table 2. Additionally, three different semiconductor devices were chosen based on the output power P o u t and DC-link voltage V d c ratings, according to Table 3 and Table 4. The voltage and the power values were defined based on the semiconductors limits. Given that the 3L-NPC and the 3L-FC configurations have series connected semiconductors, these topologies can withstand double the DC-link voltage values of the 2L and 3L-CHB converters and, consequently, double the power levels. Note that the semiconductor devices are not treated as input parameters, but were chosen according to the specific power and voltage ratings. The input and output dimensions of the DNN-based surrogate model are organized as follows:
(i)
Input layer: five nodes corresponding to five input parameters;
(ii)
Output layer: one node corresponding to efficiency.
Table 2. Input parameters for efficiency prediction.
Table 2. Input parameters for efficiency prediction.
ParameterOperational Boundary of Input Parameters
2L 3L-CHB 3L-NPC 3L-FC
DC-link voltage (kV)[0.3, 6.5][0.3, 6.5][0.6, 13][0.6, 13]
Output power (kW)[0.54, 1219][0.54, 1219][1.08, 2440][1.08, 2440]
Amplitude modulation index[0.8, 1]
Switching frequency (kHz)[1, 10]
Output power factor[0.9, 1]
Table 3. Semiconductor devices for 2L and 3L-CHB converters.
Table 3. Semiconductor devices for 2L and 3L-CHB converters.
Semiconductor DeviceOutput Power Range (kW)DC-Link Voltage Range (kV)
RGSX5T565DHR 0.54 P o u t 13 0.3 V d c 0.65
FZ600R17KE4 9.36 P o u t 212.5 0.65 < V d c 1.7
FZ750R65KE3 153 P o u t 1219 1.7 < V d c 6.5
Table 4. Semiconductor devices for 3L-NPC and 3L-FC converters.
Table 4. Semiconductor devices for 3L-NPC and 3L-FC converters.
Semiconductor DeviceOutput Power Range (kW)DC-Link Voltage Range (kV)
RGSX5T565DHR 1.08 P o u t 26 0.6 V d c 1.3
FZ600R17KE4 18.72 P o u t 425 1.3 < V d c 3.4
FZ750R65KE3 306 P o u t 2440 3.4 < V d c 13
The simulations were organized so that the efficiency values were obtained for the converter operating in steady state, with a total simulation time of 0.04 s and models that accurately represents the power electronics converters with detailed switching behavior. The variable-step variable-order numerical solver ode15s, specifically designed to solve ordinary differential equations and differential-algebraic equations, is used to implement the simulations. The implicit nature of the ode15s can manage the complex interactions between the passive and active components of each topology, with a max step size of 10 5 s and relative tolerance of 10 3 .
The methodology for implementing the simulations is based on a systematic nested loop approach over the maximum and minimum ranges of each topology for a specific semiconductor device. For example, for the 3L-CHB operating with the FZ600R17KE4, the minimum and maximum values of output power are 9.36 kW and 212.5 kW, respectively. The script begins by iterating the DC-link voltage, varying it from its minimum value to its maximum value, divided into five steps. For each DC-link voltage value, the script introduces a nested loop to vary the power, also divided into five steps. Subsequently, within each combination of DC-link voltage and output power, the modulation index is varied from 0.8 to 1 across five steps. This process continues until all variables are included. This methodology is repeated three times for all topologies, for each semiconductor device. This meticulously detailed multi-dimensional parameter sweep allows the evaluation of each converter, with a specific semiconductor device, under a wide range of different operating conditions.
The setup of the DNN-based surrogate model is specified in Table 5. In this work, 45,000 simulations were performed for each topology presented in Figure 2, with multiple different combinations of input parameters, according to the limits presented in Table 2. The obtained efficiency values y k , shown in Figure 6 for each configuration, were stored in a dataset with their respective simulation input parameters x k , for k = 1 , 2 , , n . The frequency distribution of the efficiency values can be visualized in the histogram of Figure 7, where it can be observed that although most simulations present high efficiency, there is still a considerable amount of data with relatively low efficiency, where a detailed analysis needs to be performed to select topologies with better performance.
To demonstrate the accuracy of the surrogate models, 100 simulations were performed for each topology, with random parameters within the limits defined in Table 2. The efficiency values obtained through the surrogate models exhibit a similar pattern when compared to the simulated ones, according to Figure 8. Based on these results, the absolute errors e η , k between the simulated values and the predicted values can be obtained for each topology by:
e η , k = | η p , k η s , k | , k = 1 , 2 , 3 , , 100 ,
where η p , k and η s , k are the predicted and simulated efficiency values for the sample number k. This result shows that the surrogate model is capable of predicting efficiency values with a maximum error of 0.006 for this set of data samples, according to Figure 9.
The output data of the surrogate models for this set of simulations can be evaluated through the coefficient of determination R η 2 [26]. This coefficient is a statistical measure that indicates the accuracy of the surrogate models in predicting the correct outcome and it is defined by:
R η 2 = 1 k = 1 100 ( η s , k η p , k ) 2 k = 1 100 ( η s , k η ¯ s ) ,
where η ¯ s is the average simulated efficiency value obtained among the 100 considered samples. The closer R η 2 is to unity, the better the predicted data fit the model. Conversely, a null R η 2 value indicates that the predictions of the surrogate model do not correspond to the actual data values. The R η 2 values for the topologies presented in Figure 2 are presented in Table 6, demonstrating high reliability of the surrogate models in predicting the simulated values.

4. Case Study: Extending Predictive Capabilities for Additional Performance Indicators for the 2L Converter

The prediction of the efficiency is an important factor to determine the best topology for a given application, but it represents just one element of the converter overall performance. To achieve a better understanding of the best topology for a given application, it is essential to predict additional parameters such as the semiconductors junction temperature and the total harmonic distortion (THD). In this section, the DNN-based surrogate models are extended to cover these additional parameters for the 2L topology.
In this scenario, to determine the semiconductors junction temperature, a larger number of input variables x k needs to be considered, as stated in Table 7, which increases the simulation complexity. Furthermore, in thermal simulations, power losses are the most critical input [27]. Thus, conduction and switching losses of the IGBTs are considered at this stage and are adjusted according to the junction temperature and collector current of the semiconductors devices. To address these issues, the software PSIM 2021b was integrated with MATLAB/Simulink through the SimCoupler Module [28]. The PSIM Thermal Module [29] can provide feedback to electrical simulation. So, as the temperature of the devices increases, their characteristics adjust accordingly, affecting the behavior of the electrical circuit. In total, 30,000 simulations were performed using the semiconductor FF450R12KE4, available in the PSIM library. The simulations were configured with a total time of 2 s and a time step of 10 6 s to determine the final steady-state temperature of the IGBTs. PSIM uses the backward Euler method as its primary solver for circuit simulation [30] to effectively manage the nonlinearities of the switching devices as diodes and transistors.
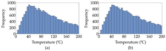
However, the obtained dataset presents some peculiarities. The semiconductors temperatures are determined based on their respective power losses. Therefore, considerable power losses values can theoretically result in higher temperature values than the semiconductors can withstand. To prevent these inconsistent values from being used to obtain the converter surrogate model, 8161 simulations in which the junction temperature of the semiconductor devices S 1 or S ¯ 1 was greater than 200 °C were removed from the dataset, so that 21,839 data points were used to obtain the surrogate model, as shown in Figure 10.
The histogram of Figure 11 shows the frequency distribution of the temperature values. According to [31], the probability of semiconductor failure increases with higher operating temperatures. Given the substantial effort required to determine the junction temperature of semiconductor devices, the development of a surrogate model can significantly reduce the time needed to identify the topology with the lowest operating temperatures.
The precision of the surrogate model is shown in Figure 12, where 100 temperature values obtained from simulations were compared with the model results. The absolute errors e T , k between the temperature simulated values and predicted values are determined according to:
e T , k = | T p , k T s , k | , k = 1 , 2 , 3 , , 100 ,
where T p , k and T s , k are the predicted and simulated temperature values for the sample number k.
These results indicate that even with a reduced dataset of 21,839 samples, the surrogate model can accurately estimate the temperature, as the maximum error for the data samples is less than 5 °C, as shown in Figure 13. The preciseness of the surrogate model for temperature prediction can be evaluated separately for S 1 and S ¯ 1 through the coefficient of determination R T 2 according to:
R T 2 = 1 k = 1 100 ( T s , k T p , k ) 2 k = 1 100 ( T s , k T ¯ s ) ,
where T ¯ s is the average simulated temperature value obtained among the 100 considered simulations. The surrogate models R T 2 for both semiconductor devices ( S 1 and S ¯ 1 ) result in the same value of 0.998, indicating high reliability for temperature prediciton.
Furthermore, the THD of the output current can be a parameter of interest when a converter is designed. The simulation input parameters to obtain the THD are presented in Table 8. The filter inductor strongly affects the output current THD and this component must be properly designed to meet the IEEE 1547 criteria [32], which regulates the interconnection of distributed resources with the electric power grid. According to this standard, the maximum current THD injected into the grid by any load must not exceed 5%.
Given the distinct patterns of higher and lower THD values, the dataset was divided into two groups: low THD, for THD values less than or equal to 0.2, and high THD, for THD values above 0.2, according to Figure 14. Given the data heterogeneity in these scenarios, this division greatly enhances the accuracy of THD values prediction. The frequency distribution of the dataset is shown in Figure 15. Note that a considerable amount of the dataset exhibits current distortion values above 5%, so implementing a surrogate model for each topology can help to identify the converter with lower THD.
The accuracy of the surrogate model is illustrated in Figure 16, where 100 THD values obtained from simulations are compared with the surrogate model predictions. The absolute errors e T H D , k between simulated and predicted THD values are determined as follows:
e T H D , k = | T H D p , k T H D s , k | , k = 1 , 2 , 3 , , 100 ,
where T H D p , k and T H D s , k represent the predicted and simulated THD values, respectively, for the sample number k. The results suggest that the surrogate models can also estimate the THD with a maximum error of 0.04, according to Figure 17.
The coefficient of determination R T H D 2 is determined separately for low THD results and for high THD results and is obtained through:
R T H D 2 = 1 k = 1 100 ( T H D s , k T H D p , k ) 2 k = 1 100 ( T H D s , k T H D ¯ s ) ,
where T H D ¯ s is the average THD value for 100 considered samples (of high THD values or low THD values). The coefficients of determination resulted in 0.992 and 0.863 for the high THD and the low THD predictions, respectively. Note that, although the low THD values have less accuracy, the predictions still present acceptable results.

5. Results

Simulation results were obtained for all topologies presented in Figure 2. The simulations for the efficiency dataset generation were performed using the MATLAB/Simulink software, using the parameters defined in Table 2. The PSIM software was included to obtain the results for the 2L converter junction temperature and output current THD, whose input parameters are defined in Table 7 and Table 8, respectively.
Four surrogate models are generated to determine the efficiency of each topology presented in Figure 2. The performance of these models are illustrated in Figure 18. The performance of these models are illustrated in Figure 18. In this case, a dataset with 7000 simulated values and predicted values for each topology (a total of 28,000 simulated and predicted values for all four topologies) is prepared and the absolute errors are determined for each sample according to Equation (4), for k = 7000 . Then, these errors are displayed based on the frequency of occurrence within specified ranges. It can be observed that most of the test data have a small prediction error.
The maximum error values between simulated and predicted efficiencies for each converter are summarized in Table 9. Therefore, it is possible to automatically define the highest efficiency converter configuration for a specific set of input parameters without performing any simulation. All proposed surrogate models provide acceptable results, with a maximum error of 0.0068.
A semiconductor junction temperature dataset was generated for the 2L converter, by integrating the Matlab/Simulink R2023b software with PSIM. The performance of this model is illustrated in Figure 19, where the absolute error between simulated and predicted values is shown for 4500 data points. It can be observed that, for most cases, the error value does not exceed 5 °C. A similar approach is used for the THD using the same number of data points, as shown in Figure 20. The majority of error data do not exceed 0.04 for both low THD and high THD.

6. Conclusions

This paper proposed an AI-assisted methodology to accelerate the DC/AC power converter topology selection using separate DNN-based surrogate models for each of the classic topologies: 2L, 3L-NPC, 3L-FC, and 3L-CHB. Although hardware validation in demonstrating real-world applicability is recognized, this study is focused on a simulation-based analysis, which aligns with the initial steps of the converter topology definition process. Furthermore, the focus on efficiency estimation was intended to address the these critical initial steps of converter selection process, and stability and disturbance analyses are beyond the primary scope of this simulation-based study. Firstly, 45,000 distinct scenarios were simulated for each converter using MATLAB/Simulink, and an efficiency dataset for each converter was generated to train its respective surrogate model. From that, the weights of the training agent were updated and the efficiency of each topology could be estimated without any simulation. A similar approach was conducted for a case study for the 2L converter, to predict its semiconductors junction temperature and output current distortion. The performance of this method was validated through the comparison of simulated and predicted efficiency values, which demonstrated a high degree of reliability. This capability not only reduces the chance of choosing suboptimal topologies but also accelerates the selection of the DC/AC converter configuration.

Author Contributions

Conceptualization, W.S.; methodology, G.A.S. and V.-H.B.; software, G.A.S. and V.-H.B.; validation, V.-H.B.; formal analysis, G.A.S.; investigation, G.A.S. and V.-H.B.; writing—original draft preparation, G.A.S.; writing—review and editing, V.-H.B. and W.S.; supervision, W.S.; project administration, W.S.; funding acquisition, W.S. All authors have read and agreed to the published version of the manuscript.

Funding

This research was funded by the project “Commercializing ML-ACCEPT Software Machine-Learning-Enhanced Automated Circuit Configuration”, by the Michigan Translation Research and Commercialization (MTRAC) for Advanced Transportation Innovation Hub, 2023–2024.

Data Availability Statement

The original contributions presented in the study are included in the article, further inquiries can be directed to the corresponding author.

Conflicts of Interest

The authors declare no conflicts of interest.

References

  1. Choudhury, S.; Bajaj, M.; Dash, T.; Kamel, S.; Jurado, F. Multilevel Inverter: A Survey on Classical and Advanced Topologies, Control Schemes, Applications to Power System and Future Prospects. Energies 2021, 14, 5773. [Google Scholar] [CrossRef]
  2. Bughneda, A.; Salem, M.; Richelli, A.; Ishak, D.; Alatai, S. Review of Multilevel Inverters for PV Energy System Applications. Energies 2021, 14, 1585. [Google Scholar] [CrossRef]
  3. Ali Khan, M.Y.; Liu, H.; Yang, Z.; Yuan, X. A Comprehensive Review on Grid Connected Photovoltaic Inverters, Their Modulation Techniques, and Control Strategies. Energies 2020, 13, 4185. [Google Scholar] [CrossRef]
  4. Haq, S.; Biswas, S.P.; Hosain, M.K.; Rahman, M.A.; Islam, M.R.; Jahan, S. A Modular Multilevel Converter with an Advanced PWM Control Technique for Grid-Tied Photovoltaic System. Energies 2021, 14, 331. [Google Scholar] [CrossRef]
  5. Prado, E.O.; Bolsi, P.C.; Sartori, H.C.; Pinheiro, J.R. Design of Uninterruptible Power Supply Inverters for Different Modulation Techniques Using Pareto Front for Cost and Efficiency Optimization. Energies 2023, 16, 1314. [Google Scholar] [CrossRef]
  6. Saccol, G.A.; Vilerá, K.V.; Carnielutti, F.M.; Rech, C. Power Distribution Method for Single-Phase Cascaded Multilevel Converters Based on Space Vector Modulation. IEEE J. Emerg. Sel. Top. Power Electron. 2023, 11, 3445–3456. [Google Scholar] [CrossRef]
  7. Leon, J.I.; Vazquez, S.; Franquelo, L.G. Multilevel Converters: Control and Modulation Techniques for Their Operation and Industrial Applications. Proc. IEEE 2017, 11, 2066–2081. [Google Scholar] [CrossRef]
  8. Texas Instruments Design Guide: TIDM-HV-1PH-DCAC Voltage Source Inverter Reference Design. Available online: https://www.ti.com/lit/ug/tiduay6e/tiduay6e.pdf?ts=1732406676905&ref_url=https%253A%252F%252Fwww.google.com%252F (accessed on 24 November 2024).
  9. Hasan, M.A.; Vemula, N.K.; Devarapalli, R.; Knypiński, Ł. Investigation into PV Inverter Topologies from the Standards Compliance Viewpoint. Energies 2024, 17, 3879. [Google Scholar] [CrossRef]
  10. Zhang, X.; Zhao, T.; Mao, W.; Tan, D.; Chang, L. Multilevel Inverters for Grid-Connected Photovoltaic Applications: Examining Emerging Trends. IEEE Power Electron. Mag. 2018, 5, 32–41. [Google Scholar] [CrossRef]
  11. Rauf, A.M.; Abdel-Monem, M.; Geury, T.; Hegazy, O. A Review on Multilevel Converters for Efficient Integration of Battery Systems in Stationary Applications. Energies 2023, 16, 4133. [Google Scholar] [CrossRef]
  12. Wu, T.; Wang, Z.; Ozpineci, B.; Chinthavali, M.; Campbell, S. Automated Heatsink Optimization for Air-Cooled Power Semiconductor Modules. IEEE Trans. Power Electron. 2019, 34, 5027–5031. [Google Scholar] [CrossRef]
  13. Rahimpour, S.; Husev, O.; Vinnikov, D.; Kurdkandi, N.V.; Tarzamni, H. Fault Management Techniques to Enhance the Reliability of Power Electronics Converters: An Overview. IEEE Access 2023, 11, 13432–13446. [Google Scholar] [CrossRef]
  14. Saridakis, S.; Koutroulis, E.; Blaabjerg, F. Optimal Design of Modern Transformerless PV Inverter Topologies. IEEE Trans. Energy Convers. 2013, 28, 394–404. [Google Scholar] [CrossRef]
  15. Abdel-Aziz, A.; Elgenedy, M.A.; Williams, B. A Comparative Review of Three Different Power Inverters for DC–AC Applications. Energies 2023, 16, 7254. [Google Scholar] [CrossRef]
  16. Khan, M.N.H.; Forouzesh, M.; Siwakoti, Y.P.; Li, L.; Kerekes, T.; Blaabjerg, F. Transformerless Inverter Topologies for Single-Phase Photovoltaic Systems: A Comparative Review. IEEE J. Emerg. Sel. Top. Power Electron. 2020, 8, 805–835. [Google Scholar] [CrossRef]
  17. Silva, F.L.d.; Glatt, R.; Su, W.; Bui, V.-H.; Chang, F.; Chaturvedi, S.; Wang, M.; Murphey, Y.L. AutoTG: Reinforcement Learning-Based Symbolic Optimization for AI-Assisted Power Converter Design. IEEE J. Emerg. Sel. Top. Ind. Electron. 2024, 5, 680–689. [Google Scholar] [CrossRef]
  18. An, Y.; Sun, X.; Ren, B.; Zhang, X. Open-Circuit Fault Diagnosis for a Modular Multilevel Converter Based on Hybrid Machine Learning. IEEE Access 2024, 12, 61529–61541. [Google Scholar] [CrossRef]
  19. Bui, V.-H.; Chang, F.; Su, W.; Wang, M.; Murphey, Y.L.; Da Silva, F.L.; Huang, C.; Xue, L.; Glatt, R. Deep Neural Network-Based Surrogate Model for Optimal Component Sizing of Power Converters Using Deep Reinforcement Learning. IEEE Access 2022, 10, 78702–78712. [Google Scholar] [CrossRef]
  20. Liu, G.; Kui, L.; Gao, Y.; Cui, W.; Liu, F.; Wang, W. Machine Learning-Based Optimization of Synchronous Rectification Low-Inductance Current Secondary Boost Converter (SLIC-QBC). Energies 2023, 16, 6690. [Google Scholar] [CrossRef]
  21. Guillod, T.; Papamanolis, P.; Kolar, J.W. Artificial Neural Network (ANN) Based Fast and Accurate Inductor Modelling and Design. IEEE J. Power Electron. 2020, 1, 284–299. [Google Scholar] [CrossRef]
  22. Zhang, Y.; Xu, Y.; Blaabjerg, F. Chapter 11—Surrogate Models for Power Electronics Systems Applying Machine Learning Techniques; Academic Press: Cambridge, MA, USA, 2024; pp. 333–352. [Google Scholar]
  23. Leal-Romo, F.J.; Rayas-Sánchez, J.E.; Chávez-Urtado, J.L. Surrogate-Based Analysis and Design Optimization of Power Delivery Networks. IEEE Trans. Electromagn. Compat. 2020, 62, 2528–2537. [Google Scholar] [CrossRef]
  24. Salem, M.; Richelli, A.; Yahya, K.; Hamidi, M.N.; Ang, T.-Z.; Alhamrouni, I. A Comprehensive Review on Multilevel Inverters for Grid-Tied System Applications. Energies 2022, 15, 6315. [Google Scholar] [CrossRef]
  25. Akagi, H. Multilevel Converters: Fundamental Circuits and Systems. Proc. IEEE 2017, 105, 2048–2065. [Google Scholar] [CrossRef]
  26. Qiu, B.; Zhang, J.; Yang, Y.; Qin, G.; Zhou, Z.; Ying, C. Research on Oil Well Production Prediction Based on GRU-KAN Model Optimized by PSO. Energies 2024, 17, 5502. [Google Scholar] [CrossRef]
  27. Shahjalal, M.; Shams, T.; Hossain, S.B.; Ahmed, M.R.; Ahsan, M.; Haider, J.; Goswami, R.; Alam, S.B.; Iqbal, A. Thermal analysis of Si-IGBT based power electronic modules in 50kW traction inverter application. E-Prime Adv. Electr. Eng. Electron. Energy 2023, 3, 2772–6711. [Google Scholar] [CrossRef]
  28. Simcoupler Module. Available online: https://www.powersimtech.com/wp-content/uploads/2020/12/PSIM-SimCoupler-Module.pdf (accessed on 23 September 2024).
  29. Thermal Module. Available online: https://powersimtech.com/wp-content/uploads/2020/12/PSIM-Thermal-Module.pdf (accessed on 22 November 2024).
  30. PSIM User’s Manual. Available online: https://powersimtech.com/wp-content/uploads/2021/01/PSIM-User-Manual.pdf (accessed on 22 November 2024).
  31. Nguyen, M.H.; Kwak, S. Enhance Reliability of Semiconductor Devices in Power Converters. Electronics 2020, 9, 2068. [Google Scholar] [CrossRef]
  32. IEEE Std 1547-2018; IEEE Standard for Interconnection and Interoperability of Distributed Energy Resources with Associated Electric Power Systems Interfaces. IEEE: Piscataway, NJ, USA, 2018; Revision of IEEE Std 1547-2003. pp. 1–138.
Figure 1. Converter design steps.
Figure 1. Converter design steps.
Energies 17 06467 g001
Figure 2. Classic DC/AC converter topologies. (a) 2L. (b) 3L-CHB. (c) 3L-NPC. (d) 3L-FC.
Figure 2. Classic DC/AC converter topologies. (a) 2L. (b) 3L-CHB. (c) 3L-NPC. (d) 3L-FC.
Energies 17 06467 g002
Figure 3. Surrogate model development.
Figure 3. Surrogate model development.
Energies 17 06467 g003
Figure 4. DNN-based surrogate model.
Figure 4. DNN-based surrogate model.
Energies 17 06467 g004
Figure 5. Simulation structure.
Figure 5. Simulation structure.
Energies 17 06467 g005
Figure 6. Efficiency dataset for each topology. (a) 2L. (b) 3L-CHB. (c) 3L-NPC. (d) 3L-FC.
Figure 6. Efficiency dataset for each topology. (a) 2L. (b) 3L-CHB. (c) 3L-NPC. (d) 3L-FC.
Energies 17 06467 g006
Figure 7. Efficiency values based on frequency of occurrence. (a) 2L. (b) 3L-CHB. (c) 3L-NPC. (d) 3L-FC.
Figure 7. Efficiency values based on frequency of occurrence. (a) 2L. (b) 3L-CHB. (c) 3L-NPC. (d) 3L-FC.
Energies 17 06467 g007
Figure 8. Efficiency simulation and predicted values for 100 data samples. (a) 2L. (b) 3L-CHB. (c) 3L-NPC. (d) 3L-FC.
Figure 8. Efficiency simulation and predicted values for 100 data samples. (a) 2L. (b) 3L-CHB. (c) 3L-NPC. (d) 3L-FC.
Energies 17 06467 g008
Figure 9. Efficiency prediction error for 100 data samples. (a) 2L. (b) 3L-CHB. (c) 3L-NPC. (d) 3L-FC.
Figure 9. Efficiency prediction error for 100 data samples. (a) 2L. (b) 3L-CHB. (c) 3L-NPC. (d) 3L-FC.
Energies 17 06467 g009
Figure 10. Temperature dataset for the 2L converter. (a) Semiconductor S 1 . (b) Semiconductor S ¯ 1 .
Figure 10. Temperature dataset for the 2L converter. (a) Semiconductor S 1 . (b) Semiconductor S ¯ 1 .
Energies 17 06467 g010
Figure 11. Temperature values based on frequency of occurrence. (a) Semiconductor S 1 . (b) Semiconductor S ¯ 1 .
Figure 11. Temperature values based on frequency of occurrence. (a) Semiconductor S 1 . (b) Semiconductor S ¯ 1 .
Energies 17 06467 g011
Figure 12. Temperature simulated and predicted values for 100 data samples. (a) Semiconductor S 1 . (b) Semiconductor S ¯ 1 .
Figure 12. Temperature simulated and predicted values for 100 data samples. (a) Semiconductor S 1 . (b) Semiconductor S ¯ 1 .
Energies 17 06467 g012
Figure 13. Temperature prediction error for 100 data samples. (a) Semiconductor S 1 . (b) Semiconductor S ¯ 1 .
Figure 13. Temperature prediction error for 100 data samples. (a) Semiconductor S 1 . (b) Semiconductor S ¯ 1 .
Energies 17 06467 g013
Figure 14. THD dataset for the 2L converter. (a) Low THD. (b) High THD.
Figure 14. THD dataset for the 2L converter. (a) Low THD. (b) High THD.
Energies 17 06467 g014
Figure 15. THD values based on frequency of occurrence. (a) Low THD. (b) High THD.
Figure 15. THD values based on frequency of occurrence. (a) Low THD. (b) High THD.
Energies 17 06467 g015
Figure 16. THD simulated and predicted values for 100 data samples. (a) Low THD. (b) High THD.
Figure 16. THD simulated and predicted values for 100 data samples. (a) Low THD. (b) High THD.
Energies 17 06467 g016
Figure 17. THD prediction error for 100 data samples. (a) Low THD. (b) High THD.
Figure 17. THD prediction error for 100 data samples. (a) Low THD. (b) High THD.
Energies 17 06467 g017
Figure 18. Absolute errors values between efficiency simulated values and predicted values based on frequency of occurrence. (a) 2L. (b) 3L-CHB. (c) 3L-NPC. (d) 3L-FC.
Figure 18. Absolute errors values between efficiency simulated values and predicted values based on frequency of occurrence. (a) 2L. (b) 3L-CHB. (c) 3L-NPC. (d) 3L-FC.
Energies 17 06467 g018
Figure 19. Absolute error values between temperature simulated values and predicted values based on frequency of occurrence for the 2L converter. (a) Semiconductor S 1 . (b) Semiconductor S ¯ 1 .
Figure 19. Absolute error values between temperature simulated values and predicted values based on frequency of occurrence for the 2L converter. (a) Semiconductor S 1 . (b) Semiconductor S ¯ 1 .
Energies 17 06467 g019
Figure 20. Absolute error values between THD simulated values and predicted values based on frequency of occurrence for the 2L converter. (a) Low THD. (b) High THD.
Figure 20. Absolute error values between THD simulated values and predicted values based on frequency of occurrence for the 2L converter. (a) Low THD. (b) High THD.
Energies 17 06467 g020
Table 1. Comparative analysis of recent works.
Table 1. Comparative analysis of recent works.
WorkMethodologyFocusScope
[19]DNNDC/DC convertersEfficiency optimization
[20]Artificial neural networkSLIC-QBCMinimize mass and power loss
[21]Artificial neural networkDC/DC convertersMagnetic components optimization
[22]Polynominal chaos expansion and neural networkBroad range of power electronics elementsHeatsink and magnetic component design and reliability evaluation
[23]PSM, GRNN, SVM, and KrigingPower delivery networksDesign and optimization
Table 5. Setup of the DNN-based surrogate model.
Table 5. Setup of the DNN-based surrogate model.
ParameterValue
Input size5
Output size1
Learning rate0.001
Hidden layer 132
Hidden layer 232
Activation functionRelu
OptimizerAdam
Batch size64
LossMSE
Table 6. Coefficient of determination R η 2 for each converter topology.
Table 6. Coefficient of determination R η 2 for each converter topology.
Converter Topology R η 2
2L0.994
3L-CHB0.994
3L-NPC0.937
3L-FC0.997
Table 7. Input parameters for temperature prediction.
Table 7. Input parameters for temperature prediction.
ParameterOperational Boundary of Input Parameters
DC-link voltage (V)[100, 800]
Output power (kW)[0.23, 69]
Amplitude modulation index[0.8, 1]
Switching frequency (kHz)[1, 4]
Output power factor[0.8, 1]
Gate resistance ( Ω )[1, 4]
Ambient temperature (°C)[0, 40]
Thermal resistance heatsink to ambient (°C/W)[0.1, 0.6]
Thermal resistance case to heatsink (°C/W)[0.05, 0.3]
Table 8. Input parameters for THD prediction.
Table 8. Input parameters for THD prediction.
ParameterOperational Boundary of Input Parameters
DC-link voltage (V)[100, 800]
Output power (kW)[0.23, 69]
Amplitude modulation index[0.8, 1]
Switching frequency (kHz)[1, 4]
Gate resistance ( Ω )[1, 4]
Ambient temperature (°C)[0, 40]
Thermal resistance heatsink to ambient (°C/W)[0.1, 0.6]
Thermal resistance case to heatsink (°C/W)[0.05, 0.3]
Filter inductor (mH)[0.003, 26]
Table 9. Maximum predicted value error for each topology.
Table 9. Maximum predicted value error for each topology.
ConverterMaximum Error
2L0.0037
3L-CHB0.0027
3L-NPC0.0030
3L-FC0.0068
Disclaimer/Publisher’s Note: The statements, opinions and data contained in all publications are solely those of the individual author(s) and contributor(s) and not of MDPI and/or the editor(s). MDPI and/or the editor(s) disclaim responsibility for any injury to people or property resulting from any ideas, methods, instructions or products referred to in the content.

Share and Cite

MDPI and ACS Style

Avila Saccol, G.; Bui, V.-H.; Su, W. A Deep-Neural-Network-Based Surrogate Model for DC/AC Converter Topology Selection Using Multi-Domain Simulations. Energies 2024, 17, 6467. https://doi.org/10.3390/en17246467

AMA Style

Avila Saccol G, Bui V-H, Su W. A Deep-Neural-Network-Based Surrogate Model for DC/AC Converter Topology Selection Using Multi-Domain Simulations. Energies. 2024; 17(24):6467. https://doi.org/10.3390/en17246467

Chicago/Turabian Style

Avila Saccol, Gabriel, Van-Hai Bui, and Wencong Su. 2024. "A Deep-Neural-Network-Based Surrogate Model for DC/AC Converter Topology Selection Using Multi-Domain Simulations" Energies 17, no. 24: 6467. https://doi.org/10.3390/en17246467

APA Style

Avila Saccol, G., Bui, V.-H., & Su, W. (2024). A Deep-Neural-Network-Based Surrogate Model for DC/AC Converter Topology Selection Using Multi-Domain Simulations. Energies, 17(24), 6467. https://doi.org/10.3390/en17246467

Note that from the first issue of 2016, this journal uses article numbers instead of page numbers. See further details here.

Article Metrics

Back to TopTop