Next Article in Journal
Design and Implementation of a Decision Integration System for Monitoring and Optimizing Heating Systems: Results and Lessons Learned
Next Article in Special Issue
Diagnostics of Inter-Turn Short Circuit Fault in Dry-Type Air-Core Reactor Based on Lissajous Graph and Lightweight Network Model
Previous Article in Journal
Testing Exhaust Emissions of Plug-In Hybrid Vehicles in Poland
Previous Article in Special Issue
Integrated Energy Microgrid Economic Dispatch Optimization Model Based on Information-Gap Decision Theory
 
 
Font Type:
Arial Georgia Verdana
Font Size:
Aa Aa Aa
Line Spacing:
Column Width:
Background:
Article

Study on the Broadband Measurement Method of Electric Field Sensing Voltage Based on the Add-Window Technique

1
Marketing Service Center of State Grid Jiangsu Electric Power Co., Ltd., Nanjing 211703, China
2
New Electrical Metrology Technology Laboratory of State Grid Corporation of China, Nanjing 210049, China
3
School of Electrical Engineering, Southeast University, Nanjing 210096, China
4
Shenzhen Guodian Technology Communication Co., Ltd., Shenzhen 518028, China
*
Author to whom correspondence should be addressed.
Energies 2024, 17(24), 6289; https://doi.org/10.3390/en17246289
Submission received: 8 October 2024 / Revised: 5 December 2024 / Accepted: 7 December 2024 / Published: 13 December 2024
(This article belongs to the Special Issue Electrical Equipment State Measurement and Intelligent Calculation)

Abstract

With the popularization of power electronic equipment, the problem of harmonic pollution has become more and more prominent, posing a serious threat to the safe operation of power systems. In order to improve the stability and efficiency of the power system, the broadband measurement of harmonics has become a key direction of research. In this paper, a novel broadband harmonic measurement method is proposed, which combines the electric field sensing technique and the TCW add-window discrete Fourier transform technique. The amplification gain coefficient deviation of the measurement system is less than 3 dB in both steady-state and transient excitation signal test experiments. The measurement system can maintain a stable and continuous output in a wide frequency band within the range of MHz, which can effectively detect the harmonic components and provide an effective technical means for the monitoring of harmonics in the power system.

1. Introduction

In modern power systems, the harmonic problem has become a critical factor affecting power quality and system stability. With the widespread use of nonlinear loads, such as power electronic devices, inverters, and switching power supplies, the generation and propagation of harmonics have become increasingly complex [1,2]. Harmonics not only cause equipment overheating and power loss but can also lead to issues such as system resonance and equipment failure. Consequently, accurately and efficiently measuring and analyzing harmonics has become a key task in power system management. Traditional harmonic measurement methods primarily rely on direct voltage and current measurements, which require costly equipment and complex measurement setups. Moreover, these methods often have limited accuracy in the high-frequency range, making it challenging to meet the demands of wideband harmonic measurements. To address these issues, this paper introduces an innovative harmonic measurement method based on an electric field sensor. The electric field sensor can measure the electric field strength and convert it into a voltage signal, providing a novel and efficient technical means for harmonic measurement.
Currently, commonly used harmonic analysis methods include the fast discrete Fourier transform (DFT) method [3], the analog filter method [4], the wavelet harmonic analysis method [5], and the empirical mode decomposition method [6]. Each of these methods has its own unique advantages and disadvantages. The fast Fourier transform method is widely used in practice due to its theoretical simplicity and ease of integration into measurement systems. However, the DFT requires a finite truncation of the signal when dealing with harmonic analysis, which is usually truncated by a non-integer period due to the influence of grid frequency fluctuation and noise interference. In this case, the two-partition relationship between the grid frequency and the sampling frequency is not satisfied, which leads to spectral leakage, resulting in interference between harmonics, thus causing measurement errors. In addition, DFT can only calculate the spectral values at a finite number of discrete frequency domain points, and due to factors such as frequency fluctuations, it is difficult for the discrete frequency domain points to completely coincide with the true frequency of the signal, which leads to observation errors [7,8,9,10]. To minimize these errors, window function theory can be used. The window technique effectively reduces spectral leakage by applying a specific window function to the signal in the time domain, which enhances the accuracy and resolution of spectrum analysis. This study combines the add-window technique and the electric field sensor with the aim of exploring its potential application in broadband harmonic measurements.

2. Principle of the Harmonic Measurement Based on Electric Field Sensing

2.1. Principle of the Electric Field Coupling Measurement

Compared with the traditional voltage transformer, the electric field coupling method of sensing is based on the existence of a linear relationship between the conductor potential and its surrounding electric field strength, and the measurement of the conductor potential can be realized indirectly by measuring the electric field strength around the conductor [11,12,13,14,15].
By the principle of electrostatic induction, it can be seen that when the sensor is placed in the space electric field, its surface will produce a certain amount of induced charge, q. The electric field strength of E (r,t) is set by the Gauss theorem of the amount of charge, such as that shown in Figure 1. The closed Gaussian surface can be obtained from the sensor’s output voltage, V0, as follows:
V 0 ( t ) = R m A ε 0 d E ( r , t ) d t d A
For a charged conductor, the potential distribution function of its outer surface is f(r’), and the potential function in its region is calculated to satisfy Poisson’s equation. Then, when the charge distribution of the charged conductor as well as the surface potential are known, Poisson’s equation can be solved by Green’s theorem as follows:
2 G ( r , r ) = δ ( r r ) ε
where r′ is the position vector of the charged conductor. Equation (2) and Poisson’s equation can be integrated into Green’s second formula to obtain the following:
Ω [ G ( r , r ) 2 φ ( r ) φ ( r ) 2 G ( r , r ) ] d Ω = S [ G ( r , r ) φ ( r ) n φ ( r ) G ( r , r ) n ] d S
Since the field source point and the space point of Green’s function are symmetric, the δ-function is sampled. Moreover, the transmission conductor surface boundary conditions can be constructed such that G(r′,r) = 0 while the free charge condition is satisfied, and then the potential is deduced as follows:
φ ( r ) = S f ( r ) G ( r , r ) n d S
Then, according to the transmission conductor as an equipotential body, the conductor’s own potential, Equation (4) is obtained by solving for the gradient in the r-direction as follows:
φ ( r ) = φ 0 s G ( r , r ) n d S
Obviously, to compare the definition of the electric field, one can use the following equation:
F ( r ) = s G ( r , r ) n d S
Thus, the linear scaling factor F(r) between the electric field around the transmission line and the potential of the line is defined, and the space dielectric constant is set to ε. The relationship between the electric field around the transmission line and the potential of the line is as follows:
φ ( t ) = E ( r ) ε F ( r )
The output voltage V0 of the sensor is proportional to the first-order differential component of the spatial electric field E(r,t) with respect to time as follows:
V o ( t ) = R m d φ ( t ) d t A F ( r ) d A
Setting the equivalent measurement area of the sensor as Aeq indicates that the relationship between the transmission line potential and the sensor-induced voltage is expressed as follows:
V o ( t ) = R m A e q d φ ( t ) d t
As can be seen from Equation (4), the sensor output voltage is proportional to the differential value of the conductor voltage against time. If the sensor output voltage is integrated and divided by the proportionality coefficient, it can be restored to the conductor potential to be measured. Moreover, based on the electric field coupling principle, the work of the sensor can be realized through the measurement of the field strength of the field point of the non-contact measurement of the voltage of the transmission line.

2.2. Wideband Sensing Measurement Principles

Since the measurement signal output from the sensor is a differential component proportional to the measured electric field strength value, the signal waveform consistent with the original signal in the time domain is obtained by integrating the output signal from the sensor. This integration is carried out in view of the need to analyze the harmonic components at each frequency and the effect of frequency change on the output signal of the sensor and to study the factors affecting the amplitude–frequency characteristics of the sensor and the measurement bandwidth [16,17,18,19].
In Figure 2, R1 and C1 form an integral circuit, Ct is the potential of the measured conductor, Ct is the distributed capacitance effect between the sensor and the measured conductor, Cd is the stray capacitance of the sensor to ground, and Rm is the ground measurement resistance connected to the sensor. The sensor system can be effectively equated to a first-order RC circuit model that integrates the three core components of Ct, Cd, and Rm. Its transfer function is as follows:
H S ( s ) = V S ( s ) φ ( s ) = C t R m s ( C t + C d ) R m s + 1
When (Ct + Cd) Rm << 1, the transfer function can be expressed as follows:
H S ( s ) = V S ( s ) φ ( s ) C t s
At this time, the sensor operates in differential mode, Vo, and the differential amount is proportional to the need to join the integral circuit composed of R1 and C1 so that the measurement input and output and Vo form a linear relationship.
When (Ct + Cd) Rm << 1, the transfer function can be expressed as follows:
H S ( s ) = V S ( s ) φ ( s ) C t C t + C d
In this case, V(s) is proportional to φ(s), and the sensor operates in the self-integrating mode, which keeps the input and output of the sensor linear without the use of an integrating circuit.
Usually, most of the voltage frequencies in the power system are within the 50 Hz fundamental frequency range. In order to measure and analyze the harmonic components at multiple frequencies, it is important to ensure that the sensor maintains a stable gain in wide frequency measurements to maximize the frequency range and enable it to consider a series of problems in the integration circuit. Therefore, the sensing system will have a greater advantage working in the self-integrating mode of the sensor, which improves its application in the power system.

2.3. Harmonic Measurement Principle Based on the Add-Window Technique

The widespread use of nonlinear loads based on power electronics leads to distortion of the power supply waveform. This distorted waveform can be represented by the sum of various higher-frequency sinusoidal components. By performing a Fourier series decomposition of a periodic alternating current, signal components with frequencies that are integer multiples of the fundamental frequency can be obtained, and these signal components are known as harmonics. The electric field sensor extrapolates the voltage signal by measuring the electric field strength, avoiding the safety hazard of direct contact with high-voltage lines. Based on this voltage signal, the analog quantity is converted into a discrete sampled value containing both DC and AC signals [20,21].
DFT-based algorithms are commonly used techniques for power harmonic measurements, which have high estimation accuracy, easy application, and can be computed in parallel for each harmonic estimation. DFT is capable of converting periodic discrete signals from the time domain to the frequency domain using a limited range of data samples. A discrete periodic time signal can be defined as follows:
x c ( t ) = C 0 + k = 1 M C k cos ( 2 π k T t θ k )
where M is the number of discrete harmonics, C0 is the amplitude (mean value) of the DC term, Ck is the kth harmonic amplitude, and T is the period of the fundamental frequency signal.
When the above signal is uniformly sampled by the power metering equipment at a sampling interval Ts, the sampling value x(i) is obtained as follows:
x ( i ) = C 0 + k = 1 M C k cos ( i ω k θ k )
In the above equation, ωk can be expressed as follows:
ω k = 2 π k T s T = 2 π k T s ( N + Δ ) T s = 2 π k N + Δ s = k ϕ
where Ts is the sampling interval of the samples and Φ is the sampling angle while having (N + ∆)Φ = 2π. Harmonic measurements can be realized by spectrum analysis through discrete Fourier transform and other methods.
For the spectrum leakage problem, the accuracy of the amplitude measurement can be improved by using the classical window technique and utilizing post-processing interpolation or other techniques after windowing [22,23,24]. The discrete signal after windowing can be represented as follows:
x ( i ) = C 0 + k = 1 M h ( k ) C k cos ( i ω k θ k )
In summary, the voltage signal in the time domain can be converted into a spectrum in the frequency domain by means of windowing and DFT transforms so that the harmonic components in the signal can then be analyzed. The window technique effectively reduces the spectral leakage, improves the accuracy of spectral analysis, and further optimizes the frequency and amplitude measurements. However, the performance of the window function is the key to reduce the spectral leakage. The selection and performance of the window function directly affect the accuracy of harmonic measurements. A quality window function can effectively suppress the spectral leakage phenomenon, thus significantly improving the accuracy of harmonic measurements. Ultimately, a high-quality window function combined with the method of indirect voltage measurement by the electric field sensor can realize high-precision harmonic measurement.

3. Wideband Harmonic Detection System Design

3.1. Electric Field Measurement Probe Design

Traditional electric field measurement methods usually focus only on the one-dimensional direction of the electric field changes. Therefore, it is difficult to accurately describe the complexity of the three-dimensional distribution of the electric field in space. Moreover, the actual measurement of the electric field position of the measurement point of one-dimensional electric field sensors has more stringent requirements. Furthermore, the measurement accuracy is low for the transmission and substation engineering in the near-electricity environment under the complexity of the spatial distribution of the characteristics of the electric field. In order to realize the accurate determination of the electric field strength at any one point, the use of electric field sensors with three-dimensional structures has become an inevitable choice.
As shown in Figure 3, the external electric field sensor consists of three pairs of a total of six metal pole plate compositions. The internal electric field sensor consists of an epoxy resin bracket group for isolation. The three pairs of pole plates set in each direction of the electric field strength components are Ex, Ey, and Ez. The three pairs of pole plate potential differences are Ux, Uy, and Ez, which = B. The proportionality coefficient consists of one pair of the pole plate output signals for the differential signals, and the hardware acquisition system essentially obtains the information for each pair of pole plates. The potential difference between the hardware acquisition system is essentially the potential difference between each pair of pole plates. Moreover, with the pole plate charge as a bridge, the potential difference between the opposite pole plate and the electric field strength in the corresponding direction in space can be obtained as follows:
U x U y U z = B 1 0 0 0 1 0 0 0 1 E x E y E z
In order to study the change in the induced charge of each pair of pole plates with time, the dynamic simulation of induced charge on the surface of three pairs of pole plates of the sensor was carried out within one cycle of industrial frequency excitation. The graph of induced charge on the pole plates of the sensor within one cycle was obtained, as shown in Figure 4. The sensor was not angularly biased during the simulation. The corresponding pole plates in the y, z, and x directions are 1–2, 3–4, and 5–6, respectively, and Q1–2, Q3–4, and Q5–6 represent the trends of the charge changes in a single cycle in the three directions. According to the simulation results, it can be seen that when the sensor has no angle deflection, the output signal amplitude of each opposite pole plate changes synchronously, showing good performance.
And when the electric field sensing measurement is carried out, it may be affected by the installation angle and cause deviation. In order to test the anti-angle deviation characteristics of the sensor, the simulated installation angle of the sensor is adjusted. The sensor is rotated counterclockwise around the x-axis and simulated at different angles of 0–45° to analyze the changes in the induced charge difference of the opposing poles. The results are shown in Figure 5, Figure 6 and Figure 7.

3.2. TCW Add-Window Harmonic Measurement Analysis

In order to minimize the leakage effect, the TCW compensated window algorithm can be used to obtain accurate amplitude and phase information without using post-processing techniques, which improves the measurement accuracy by reducing the main spectral errors introduced by the long, medium, and short-range leakage effects. Short-range leakage can be reduced by using a discrete Fourier series type of computational scheme to evaluate the harmonic components at real frequencies. Figure 8 shows the main flow chart.
For the DC component, it is necessary to reduce the leakage effect caused by harmonic components to avoid the inaccuracy of the determination of the DC component. So the addition of a window to the DC component yields the following:
Y ( 0 ) = S w i n i w ( i ) C 0 + k = 1 C k 2 e j θ k w ( i ) e j i ω k + e j θ k w ( i ) e j i ω k = C 0 S w i n i w ( i ) + S w i n i k = 1 M C k 2 e j θ k w ( i ) e j i ω k + e j θ k w ( i ) e j i ω k = C 0 S w i n i w ( i ) + k = 1 M C k 2 e j θ k S w i n W ( ω k ) + e j θ k S w i n W ( ω k )
where Y(0) is the estimated value of the DC term C0, w(i) is the value of the ith window function, Swin is the required scaling factor for the window used, and W(ωk) = ∑[w(i)ejiωk] is the Fourier transform value of the window w(i) evaluated at frequency ωk, using Discrete Time Fourier Transform (DTFT).
For a signal with the period (N + Δ) Ts, let the multiplier of the determining window signal DTFT be expressed as E(i) = ejkiΦ. Since (N + Δ) Φ = 2π, it follows that w(N + Δ) = x(0).
The DTFT of the signal x(i) can be determined using TCW as follows:
D T F T [ y ( i ) ] = ( 0.5 w ( 0 ) E ( 0 ) + i = 0 N 1 w ( i ) x ( i ) E ( i ) + ( 0.5 + Δ 2 ) w ( N ) x ( N ) E ( N ) + Δ 2 w ( 0 ) x ( 0 ) E ( 0 ) = ( 0.5 + Δ 2 ) w ( 0 ) x ( 0 ) E ( 0 ) + i = 0 N 1 w ( i ) x ( i ) E ( i ) + ( 0.5 + Δ 2 ) w ( N ) x ( N ) E ( N )
The TCW compensation window is defined as follows:
w ( i ) = 0.5 + Δ 2 , i = 0 1 , 1 i N 1 0.5 + Δ 2 , i = N
Since Swin = 1/N + Δ, the DTFT scaled by Swin is as follows:
S w i n W t c w ( k ϕ ) = 1 N + Δ sin N k ϕ 2 sin k ϕ 2 cos k ϕ 2 + Δ cos N k ϕ 2 e j k N ϕ 2
In determining the DC value of an asynchronously sampled signal, the contribution of the signal’s harmonic components to the DC component can be easily determined by evaluating the windowed DTFT component at the harmonic frequency. Accurate measurement of the amplitude and phase of the signal harmonics using DTFT-type algorithms requires the reduction in short-range leakage errors. Window and DTFT algorithms are used to reduce the short-range leakage of harmonic signals when limited instrument bandwidth is considered.
The TCW window function is applied to the harmonic signal below and compared to some typical window functions applied to the same signal with the following equations for the signal:
j = 1 10 A j sin ( 2 π f j t + π 10 j )
where f = 50.005 Hz and the amplitude Aj is shown in Table 1. The graph plotted using this equation is shown in Figure 9.
The DFT is applied to the signal in Equation (17) using various windows while the TCW and improved DFT algorithms are applied to the signal. The maximum harmonic order of 10 indicates a maximum signal frequency of 500.05 Hz. The sampling frequency is 12.5 kHz and the percentage errors of the magnitude and phase results are listed in Table 2 and Table 3, respectively.
From the above results, it can be seen that the TCW window function applied in the DTFT analysis has a better characterization of the error and the amplitude of the harmonic components and reduces the leakage error compared to other window functions.

3.3. Design of a Broadband Harmonic Measurement Sensing and Monitoring System

To match the electric field design scheme designed in the previous section, a wideband voltage detection system is designed in this section as shown in Figure 10.
The system hardware consists of a vector electric field sensor, a high-speed signal conditioning acquisition unit, a data processing control unit, a power supply, and an energy extraction unit. When the sensor is placed in the measured line, the electric field signal is generated through the electric field–voltage inversion operation, and thus the voltage signal is obtained. Correspondingly, in the hardware design, the sensor output signal amplitude adjustment is required first, which is achieved through the low-pass filter conditioning operation, so that the signal is in the main control chip within the scope of the acquisition; a data processing unit using stm32 is used to complete the acquisition of the command. The acquisition of the data upload is conducted after the calculation of the acquisition results through the serial peripheral device interface to drive the wireless transmission unit communication for the final data upload. In order to ensure the long-term performance of the electric field–voltage inversion operation, the voltage signal is obtained. Finally, in order to ensure the long-term online monitoring function, the power supply is provided to provide long-term stable working ability.

4. Experimental Verification

In order to test the measurement system’s broadband voltage measurement performance, we built a test platform as shown in Figure 11. In Figure 11, the regulator with the step-up transformer can realize an adjustable voltage of 0–20 kV. The output is a standard 50 Hz industrial frequency voltage, which can be used for linearity, the voltage division ratio, and the steady-state test. The shock voltage generator can be set in the 0–10 kV range of shock signals, and the output is a standard lightning wave, which can be used to carry out the phase correction of the sensor, using a transient test. Using the attenuation ratio of 1000:1 and a Tektronix P6015A high-voltage probe for measurement, a high-voltage probe can be obtained with an oscilloscope on a single-phase line voltage waveform, which is corrected after the maximum value of the high-voltage probe voltage (phase voltage amplitude) is obtained as the actual voltage of the conductor, which is used for standard comparison. The oscilloscope is also connected to the sensor and hardware circuit, which is used to detect the output signal of the sensor and the output signal after passing through the hardware circuit. The sensor is installed at a position 15 cm below the wire to ensure sufficient insulation distance.
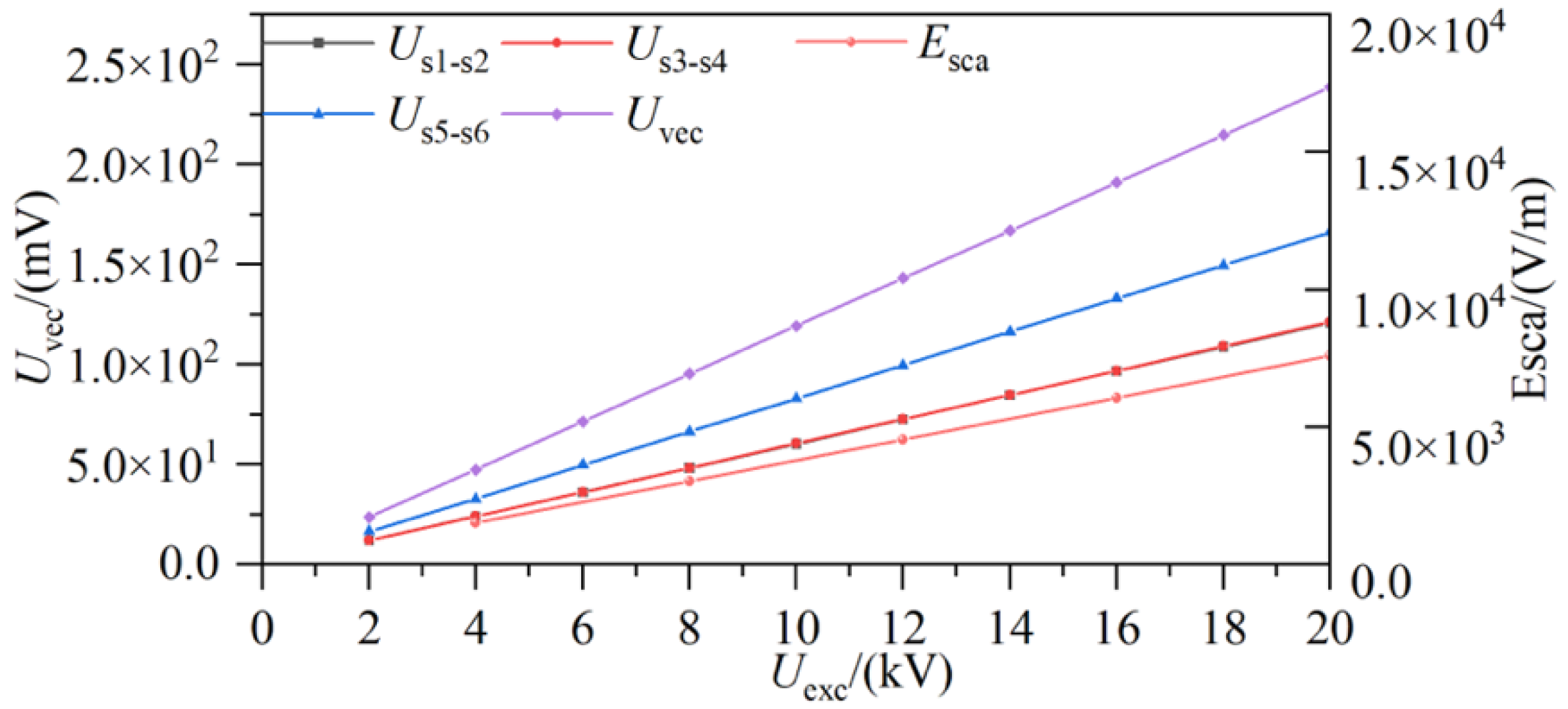
Steady-state tests at various voltage levels were performed using a voltage regulator, counting the voltage outputs in the x, y, and z directions as Us1-s2, Us3-s4, and Us5-s6, respectively. The sensor is a three-channel signal output and the sensor’s three-parallel pole plate outputs represent the three-dimensional electric field at the center measurement point component. Therefore, the same measurement point is used for step-by-step measurements, and the standard E-field sensing probe as well as the vector E-field sensing probe are used as signal inputs, respectively. The measured total scalar signal is Esca, and the virtual vector signal amplitude output Uvec in the orthogonal coordinate system is constructed as the variable for the linearity test. Moreover, the linearity between Esca and Uvec is taken as the linear relationship between the vector sensor components in each direction. The results of several tests are shown in Figure 12.
Based on the goodness-of-fit results, the focus is on the linearity of the relationship between the excitation voltage Uexc, the scalar voltage Uvec, and the vector synthesized field strength Esca, resulting in the following expression:
E sca = ( 756.930 ± 0.4400 ) U exc + ( 8.867 ± 5.4612 )
U vec = ( 11.948 ± 0.0034 ) U exc ( 0.217 ± 0.0427 )
where the coefficient constant term and its standard deviation are both in units of km−1, and the intercept is the electric field in units of V/m. The above expressions together describe the relationship between the three-dimensional electric field output signal amplitude, the electric field at the measurement point, and the field source, which has a better coherent response relationship with the field source, both in terms of the electric field components in each direction and the synthesized electric field. After several rounds of calibration and testing, the dynamic response range of the sensor is 14.2 kV/cm, and the sensitivity magnitude is 7.860 mV/(kV/cm).
For the transient test, a 10 kV impact voltage generator test platform is used to conduct the transient test experiment. Taking the absolute measurement error and relative measurement error is an important index to assess the accuracy of the measurement results, and the absolute measurement error refers to the difference between the actual measured value and the true value, which is usually expressed using a specific numerical value, as shown in Equations (23) and (24). A shock voltage generator is used as the test power source to test the transient response of the sensor. Adjusting the voltage level of the voltage impact generator and testing under multiple frequency signals, the amplitude–frequency response was obtained as follows and as shown in Figure 13 and Table 4:
ε 1 = U U g
ε 2 = U U s U s × 100 %
where ε1 is the absolute measurement error; ε2 is the relative measurement error; U is the measured value; and Ug is the standard value.
Table 4 shows that the error between the voltage value obtained from the system measurement and the actual transient voltage is less than 2.2%, which can show the feasibility of the measurement calculation in the transient signal measurement of transmission lines, and the accurate measurement of the source-side voltage likewise shows that it is able to measure the voltage containing harmonic components. The accurate measurement of harmonic components is the key to diagnosing and solving power quality problems. Therefore, this measurement demonstrates the high utility value of the sensor in complex electromagnetic environments and its ability to provide reliable data support.
Based on Figure 13, it can be concluded that the electric field sensor has a good performance. Different frequency bands of excitation sources were used for the test, and the amplification gain coefficient deviation is less than 3 dB, which can maintain a stable and continuous output in a wider frequency band range. When the frequency sweep range is gradually higher than the MHz level, the gain of the sensor fluctuates more substantially. This implies that it is feasible to apply uniform calibration of the sensor within the MHz range to achieve stable detection of the electric field components. Based on this, the sensor is also able to effectively detect harmonic components in high-frequency signal environments, ensuring the accuracy and reliability of harmonic measurements. Therefore, the electric field sensor is not only suitable for wide-frequency harmonic measurements but is also capable of maintaining high measurement accuracy in high-frequency environments, which further validates its usefulness in harmonic detection.
Due to the limited time and resources available for laboratory measurements, each of the uncertainty components can be assessed in terms of standard deviation, with the exception of the Class B uncertainty. Therefore, the focus was concentrated on the Class A assessment of the standard uncertainty of the input quantities and the combined uncertainty of the output measured with the corrected covariance. The standard synthesized uncertainty of the voltage to be measured was then determined as follows:
u c 2 ( U A ) = c A , x 2 u ( E x ) 2 + c A , y 2 u ( E y ) 2 + c A , z 2 u ( E z ) 2 u c 2 ( U B ) = c B , x 2 u ( E x ) 2 + c B , y 2 u ( E y ) 2 + c B , z 2 u ( E z ) 2 u c 2 ( U C ) = c C , x 2 u ( E x ) 2 + c C , y 2 u ( E y ) 2 + c C , z 2 u ( E z ) 2
where u(Ex), u(Ey), and u(Ez) represent the uncertainties of the three-dimensional electric field components, respectively. cA,xc,z are the sensitivity coefficients. After the calibration of the field measurement parameters was completed in the above-mentioned test rig, the optimal values of the self-decoupled broadband voltage-based measurements and their uncertainty magnitudes were obtained when the three-dimensional vector electric field was adequately measured. Based on the contents of the Table 5, it is shown that good stability was obtained in performing the calculation of the results.

5. Conclusions

In this paper, a novel broadband harmonic measurement method is proposed, which combines the electric field sensing technique and the TCW window Fourier transform method. The TCW window function has a smaller error compared with other commonly used window techniques, both in the amplitude and phase measurements. In the experimental validation, the proposed method shows excellent measurement accuracy and robustness under both steady-state and transient excitation signals. In the steady-state experiment results, both demonstrate a good coherent response relationship with the field source. In the transient experiments, the amplification gain coefficient deviation of the measurement system is less than 3 dB, and the system is able to maintain a stable and continuous output over a wide frequency band in the MHz range, successfully detecting the harmonic components. Compared with the traditional method, the proposed method has significant improvement in resolution and accuracy. In the transient experiments, the proposed method shows excellent dynamic response capability, which can quickly respond to and capture the transient harmonic changes under the experimental data, further verifying the validity of the method in a wide frequency range, and indicating the stability of the measurement through the uncertainty of the best measurement point. This is of great significance for real-time monitoring and protection of power systems.

Author Contributions

Conceptualization, X.M.; methodology, Z.L.; software, G.C.; validation, M.X.; formal analysis, G.C.; investigation, S.L.; resources, X.Q.; data curation, M.X.; writing—original draft preparation, M.X.; writing—review and editing, M.X.; visualization, G.C.; supervision, M.X.; project administration, Z.L.; funding acquisition, S.L. All authors have read and agreed to the published version of the manuscript.

Funding

This work was supported by the State Grid Jiangsu Electric Power Co., Ltd., Science and Technology (Project No. J2023140).

Data Availability Statement

The data used in the analysis presented in this paper will be made available, subject to the approval of the data owner.

Acknowledgments

The authors would like to express gratitude to the editor and anonymous reviewers for their insightful feedback, which has greatly improved the quality of this manuscript. Special thanks go to all project team members for their invaluable contributions to this study.

Conflicts of Interest

The authors declare no conflicts of interest. Xiaoliang Mo were employed by Shenzhen Guodian Technology Communication Co., Ltd. The remaining authors declare that the research was conducted in the absence of any commercial or financial relationships that could be construed as potential conflicts of interest.

References

  1. Lin, X. Perfecting Power Quality Indices and Prospect. Proc. CSEE 2014, 34, 5073–5079. [Google Scholar]
  2. Zhang, Y.; Peng, Z.; Lei, Z.; Zhao, X.; Fan, Q. Harmonic Source Hazard and Harmonic Detection Technology in Microgrid. Power Syst. Clean Energy 2017, 33, 27–35. [Google Scholar]
  3. Wang, Z.; Yang, H.; Yuan, X. Measuring Method of Harmonics and Inter-harmonics with Nonsynchronous Sampling in IEC Framework. Autom. Electr. Power Syst. 2015, 39, 69–75. [Google Scholar]
  4. Xiao, F.; Ma, W.; Li, Y.; Zhang, B. Researches on phase control of harmonic detection with shunt-active power filter. Autom. Electr. Power Syst. 2002, 26, 36–40. [Google Scholar]
  5. Barros, J.; Diego, R.I. Analysis of harmonics in power systems using the wavelet-packet transform. IEEE Trans. Instrum. Meas. 2007, 57, 63–69. [Google Scholar] [CrossRef]
  6. Feldman, M. Analytical basics of the EMD: Two harmonics decomposition. Mech. Syst. Signal Pract. 2009, 23, 2059–2071. [Google Scholar] [CrossRef]
  7. Wang, W.; Tan, J.; Zhuan, S.; Feng, W.; Li, F.; Xu, F.; Zhu, A.; Liu, H.; Kang, J. Study on Harmonic Characteristics and Suppression of High-Permeability Grid-Connected Wind Power Generation. Power Syst. Clean Energy 2018, 34, 59–66. [Google Scholar]
  8. Zhang, J.; Liu, K.; Wang, L.; Chen, W. A rapid algorithm for harmonic analysis based on four-spectrum-line interpolation FFT. Power Syst. Prot. Control. 2017, 45, 139–145. [Google Scholar]
  9. Wang, G.; Li, J.; Chen, L.; Yang, S. An improved interpolation harmonic analysis algorithm based on frequency compensation. Power Syst. Prot. Control. 2018, 46, 1–7. [Google Scholar]
  10. Yang, H.; Hui, J.; Hou, P. Detection Methods of Harmonics and Inter harmonics in Power System. Proc. CSU-EPSA 2010, 22, 65–69. [Google Scholar]
  11. Ye, P.; Zhu, F.; Li, J.; Du, L. On-Line Monitoring System for the Overvoltage of Overhead Transmission Lines. Power Syst. Clean Energy 2013, 29, 33–38+45. [Google Scholar]
  12. Sima, W.; Han, R.; Yang, Q.; Sun, S.; Liu, T. Dual LiNbO3 crystal-based batteryless and contactless optical transient overvoltage sensor for overhead transmission line and substation applications. IEEE Trans. Ind. Electron. 2017, 64, 7323–7332. [Google Scholar] [CrossRef]
  13. Han, R.; Yang, Q.; Sima, W.; Zhang, Y.; Sun, S.; Liu, T.; Chen, S. Non-contact measurement of lightning and switching transient overvoltage based on capacitive coupling and pockels effects. Electr. Power Syst. Res. 2016, 139, 93–100. [Google Scholar] [CrossRef]
  14. Ji, Z. Study on the System to Monitor Over-Voltage Online in 10–35 kV Power Distribution Network; North China Electric Power University: Beijing, China, 2013. [Google Scholar]
  15. Li, H.; Bi, L.; Wang, R.; Li, L.; Lin, Z.; Zhang, C. Design of closed-loop detection system for optical voltage sensors based on Pockels effect. J. Light. Technol. 2013, 31, 1921–1928. [Google Scholar] [CrossRef]
  16. Liu, F.; Sima, W.; Sun, C.; Du, P.; Yang, L. Grid Frequency Micro-Variation Detection Method in Overvoltage Monitoring. Trans. China Electrotech. Soc. 2007, 22, 133–137. [Google Scholar]
  17. Cui, Y.; Yuan, H.; Song, X.; Zhao, L.; Liu, Y.; Lin, L. Model, design, and testing of field mill sensors for measuring electric fields under high-voltage direct-current power lines. IEEE Trans. Ind. Electron. 2017, 65, 608–615. [Google Scholar] [CrossRef]
  18. Zhu, M.; Zhou, Y.; He, Y.; Zheng, Z.; Liu, S. Low frequency elecrtomagnetic field sensor. Nucl. Electron. Detect. Technol. 2000, 20, 283+289–291. [Google Scholar]
  19. Piot, A.; Pribošek, J.; Maufay, J.; Schicker, J.; Tortschanoff, A.; Matloub, R.; Muralt, P.; Moridi, M. Optimization of resonant PZT MEMS mirrors by inverse design and electrode segmentation. J. Microelectromechanical Syst. 2021, 30, 216–223. [Google Scholar] [CrossRef]
  20. Jin, T.; Chen, Y.; Flesch, R.C. A novel power harmonic analysis method based on Nuttall-Kaiser combination window double spectrum interpolated FFT algorithm. J. Electr. Eng. 2017, 68, 435–443. [Google Scholar] [CrossRef]
  21. Wen, H.; Teng, Z.; Wang, Y.; Zeng, B.; Hu, X. Simple interpolated FFT algorithm based on minimize sidelobe windows for power-harmonic analysis. IEEE Trans. Power Electron. 2011, 26, 2570–2579. [Google Scholar] [CrossRef]
  22. Qing, B.; Teng, Z.; Gao, Y.; Wen, H. An Approach for Electrical Harmonic Analysis Based on Nuttall Window Double-spectrum-line Interpolation FFT. Proc. CSEE 2008, 28, 153–158. [Google Scholar] [CrossRef]
  23. Zeng, B.; Teng, Z. Improved FFT Approach for the Dynamic State Estimation of Harmonic Parameters Based on the Nuttall Window. Proc. CSEE 2010, 30, 65–71. [Google Scholar]
  24. Chen, G.; Chen, L.; Cai, Z. Harmonic analysis based on Nuttall window interpolation FFT. Electr. Power Autom. Eq. 2011, 31, 27–31. [Google Scholar]
Figure 1. Equivalent model of electric field coupled sensor.
Figure 1. Equivalent model of electric field coupled sensor.
Energies 17 06289 g001
Figure 2. Equivalent circuit diagram of a one-dimensional coupled sensor.
Figure 2. Equivalent circuit diagram of a one-dimensional coupled sensor.
Energies 17 06289 g002
Figure 3. Schematic diagram of the vector electric field sensor measurement.
Figure 3. Schematic diagram of the vector electric field sensor measurement.
Energies 17 06289 g003
Figure 4. Variation curve of the induced charge quantity of each pair of plates in a single period.
Figure 4. Variation curve of the induced charge quantity of each pair of plates in a single period.
Energies 17 06289 g004
Figure 5. Variation in the induced charge difference between the plates at 0 ms.
Figure 5. Variation in the induced charge difference between the plates at 0 ms.
Energies 17 06289 g005
Figure 6. Variation in the induced charge difference between the plates at 5 ms.
Figure 6. Variation in the induced charge difference between the plates at 5 ms.
Energies 17 06289 g006
Figure 7. Variation in the induced charge difference between the plates at 15 ms.
Figure 7. Variation in the induced charge difference between the plates at 15 ms.
Energies 17 06289 g007
Figure 8. Trapezoidal windowing detection flow chart.
Figure 8. Trapezoidal windowing detection flow chart.
Energies 17 06289 g008
Figure 9. Harmonic signal curve.
Figure 9. Harmonic signal curve.
Energies 17 06289 g009
Figure 10. Broadband voltage measurement system.
Figure 10. Broadband voltage measurement system.
Energies 17 06289 g010
Figure 11. Test system structure diagram.
Figure 11. Test system structure diagram.
Energies 17 06289 g011
Figure 12. Linearity test result.
Figure 12. Linearity test result.
Energies 17 06289 g012
Figure 13. High–frequency dynamic response diagram.
Figure 13. High–frequency dynamic response diagram.
Energies 17 06289 g013
Table 1. Amplitude values of Equation (17).
Table 1. Amplitude values of Equation (17).
j12345678910
A j 6 V1 V0.5 V1.5 V0.5 V1 V0.5 V0.5 V1.5 V0.5 V
Table 2. Percentage errors in the magnitude measurements.
Table 2. Percentage errors in the magnitude measurements.
Harmonic OrderRectTCWHanningHammingBlackmanFD3
1−0.0414−1.36 × 10−50.0321−3.44 × 10−3−1.14 × 10−3−0.017
20.0415−1.62 × 10−4−0.0611−0.04771.67 × 10−300.231
3−1.47−4.74 × 10−40.107−0.134−0.0134−0.451
4−0.504−2.0 × 10−42.42 × 10−4−0.0751−0.103−0.0485
5−1.3−6.67 × 10−4−5.6 × 10−3−0.204−0.0175−0.0595
6−0.768−3.38 × 10−4−0.0132−0.126−0.0256−0.0704
7−4.894.39 × 10−4−3.64−3.82−3.69−3.97
8−2.63−3.09 × 10−40.251−0.18−0.0637−1.21
9−0.1413.23 × 10−5−0.063−0.0748−0.0594−0.046
103.396.51 × 10−4−0.4850.0864−1.06961.45
Table 3. Percentage errors in the phasor determination.
Table 3. Percentage errors in the phasor determination.
Harmonic OrderRectTCWHanningHammingBlackmanFD3
1−4.52−7.87 × 10−5−3.69−3.81−3.7−3.73
2−6.36−1.82 × 10−4−3.69−4.03−3.69−3.95
3−7.27−1.15 × 10−4−3.62−4.13−3.69−4.106
4−4.471.95 × 10−5−3.59−3.8−3.7−3.75
5−5.642.04 × 10−4−3.68−3.91−3.7−3.77
6−4.391.65 × 10−4−3.61−3.78−3.7−3.9
7−4.894.39 × 10−4−3.64−3.82−3.69−3.97
8−4.665.19 × 10−4−3.63−3.78−3.7−3.74
9−3.871.87 × 10−4−3.69−3.72−3.7−3.85
10−4.255.58 × 10−4−3.66−3.75−3.7−3.73
Table 4. Transient test phase test data.
Table 4. Transient test phase test data.
Line Voltage Level Us (kV)High-Voltage Probe Measurement Voltage Ug (kV)U (V)ε2 (%)
55.004931.91.5%
66.406324.61.2%
77.107165.00.9%
88.308474.62.1%
99.008937.50.7%
1010.109968.21.8%
Table 5. Evaluation results of the three-phase voltage measurements at the optimum measuring points.
Table 5. Evaluation results of the three-phase voltage measurements at the optimum measuring points.
Input Estimation
E ¯ x , E ¯ y , E ¯ z
(kV/m)
Mathematical Modeling of the Relationship Between Outputs UA, UB, and UC (kV) and Inputs Ex, Ey, and Ez (kV/m)UA, UB, and UC
Experimental Evaluation Results
(kV)
Synthetic Uncertainty (kV)
E ¯ x = 1.87 × 10 2 U A = k A x E ¯ x + k A y E ¯ y + k A z E ¯ z UA = 10.32uc(UA) = 0.46
E ¯ y = 1.87 × 10 2 U B = k B x E ¯ x + k B y E ¯ y + k B z E ¯ z UB = 9.78uc(UB) = 0.32;
E ¯ z = 1.87 × 10 2 U C = k C x E ¯ x + k C y E ¯ y + k C z E ¯ z UC = 10.32uc(UC) = 0.42;
Disclaimer/Publisher’s Note: The statements, opinions and data contained in all publications are solely those of the individual author(s) and contributor(s) and not of MDPI and/or the editor(s). MDPI and/or the editor(s) disclaim responsibility for any injury to people or property resulting from any ideas, methods, instructions or products referred to in the content.

Share and Cite

MDPI and ACS Style

Xu, M.; Li, Z.; Lu, S.; Chen, G.; Quan, X.; Mo, X. Study on the Broadband Measurement Method of Electric Field Sensing Voltage Based on the Add-Window Technique. Energies 2024, 17, 6289. https://doi.org/10.3390/en17246289

AMA Style

Xu M, Li Z, Lu S, Chen G, Quan X, Mo X. Study on the Broadband Measurement Method of Electric Field Sensing Voltage Based on the Add-Window Technique. Energies. 2024; 17(24):6289. https://doi.org/10.3390/en17246289

Chicago/Turabian Style

Xu, Minrui, Zhixin Li, Shufeng Lu, Gang Chen, Xiangjun Quan, and Xiaoliang Mo. 2024. "Study on the Broadband Measurement Method of Electric Field Sensing Voltage Based on the Add-Window Technique" Energies 17, no. 24: 6289. https://doi.org/10.3390/en17246289

APA Style

Xu, M., Li, Z., Lu, S., Chen, G., Quan, X., & Mo, X. (2024). Study on the Broadband Measurement Method of Electric Field Sensing Voltage Based on the Add-Window Technique. Energies, 17(24), 6289. https://doi.org/10.3390/en17246289

Note that from the first issue of 2016, this journal uses article numbers instead of page numbers. See further details here.

Article Metrics

Back to TopTop