Next Article in Journal
The Prediction of Coalbed Methane Layer in Multiple Coal Seam Groups Based on an Optimized XGBoost Model
Previous Article in Journal
Domain-Specific Large Language Model for Renewable Energy and Hydrogen Deployment Strategies
 
 
Font Type:
Arial Georgia Verdana
Font Size:
Aa Aa Aa
Line Spacing:
Column Width:
Background:
Article

Evaluating the Policy Implications of Renewable Portfolio Standards on Grid Reliability in the United States: An Instrumental Variable Quantile Analysis

1
Department of Data Analytics, Harrisburg University of Science and Technology, Harrisburg, PA 17101, USA
2
Assistant Professor, Department of Economics, King Saud University, Riyad 11451, Saudi Arabia
*
Author to whom correspondence should be addressed.
Energies 2024, 17(23), 6065; https://doi.org/10.3390/en17236065
Submission received: 31 October 2024 / Revised: 25 November 2024 / Accepted: 26 November 2024 / Published: 2 December 2024
(This article belongs to the Section C: Energy Economics and Policy)

Abstract

This paper investigates the influence of Renewable Portfolio Standards (RPSs) on the reliability of grids while considering key indicators, including the System Average Interruption Duration Index (SAIDI), System Average Interruption Frequency Index (SAIFI), and Customer Average Interruption Duration Index (CAIDI), both without and with the inclusion of Major Event Days (MEDs). The study adopted the instrumental variable quantile regression (IVQR) method for estimation purposes. The first-stage 2SLS results confirm the robustness and validity of the instruments used, including the Democrats’ Participation Rate, Real Average Household Income, and Renewable Energy Capacity, which show strong relevance and satisfy the conditions of homogeneity. Our findings demonstrated that the adoption of RPS policies has significantly decreased the interruption of power in all of the considered quantiles. The impact is more potent in states facing more severe reliability challenges. The results proved the important role of the policies of RPSs in improving the stability of grids in the context of states having relatively poor reliability. In summary, the obtained findings demonstrate significant insights related to the policies of renewable energy in the resilience of infrastructure. Finally, the findings suggest that the government authorities should promote the RPS as a tool for enhancing the performance of grids in different states.

1. Introduction

All economies in the modern globalized world are striving to achieve economic growth without damaging environmental quality. However, industrial activities remain heavily reliant on conventional energy sources, which contribute significantly to environmental degradation. In such a situation, renewable energy emerges as a vital solution to mitigate these challenges. Awareness among the global community, driven by the Paris Agreement and extensive research, has encouraged policymakers to promote renewable energy as a key component of sustainable development. Consequently, renewable energy has taken a dominant position in the global energy framework. Recent studies further underscore the importance of integrated approaches, highlighting the role of green technology innovation (GTI) and stable energy systems in supporting renewable energy policies and promoting sustainability [1,2]. Among these policies, Renewable Portfolio Standards (RPSs) have gained significant attention for their potential to drive renewable energy adoption and ensure grid reliability, making them a focal point of this study.
In recent times, Renewable Portfolio Standards (hereafter RPSs) have received significant attention from policymakers due to their effective role in mitigating greenhouse gas emissions and promoting the use of renewable energy, as pointed out by researchers [3,4]. These policies, when combined with complementary mechanisms such as carbon emission trading systems, have demonstrated synergistic effects in promoting renewable energy adoption and enhancing market activity, as observed in China’s context [5]. Similarly, as [6] highlight, strategic interventions such as tax exemptions, workforce training, and government–private sector collaboration play a pivotal role in accelerating renewable energy development and ensuring effective policy implementation. However, as [7] note, while RPS policies appear to reduce the reliance on fossil fuels and encourage renewable energy adoption, their overall effectiveness in meeting ambitious policy goals remains modest. Similarly, [8] demonstrate that, while RPS policies significantly increase the wind capacity by 44%, they have no substantial effect on solar investments, and their impacts are slow to materialize, often taking up to five years. In the framework of RPSs, certain specific portions of electric power need to be produced from renewable sources. The renewable sources include, but are not limited to, solar, hydropower, geothermal, and wind sources. Several countries have opted for renewable sources, including the United States. The basic objective of RPS policies is to significantly reduce the dependence on non-renewable sources for energy purposes, address the problem of climate change, and encourage the development of energy-related infrastructure [9].
The environmental benefits of RPSs are widely researched, and these policies align with global climate goals by reducing emissions and supporting renewable energy. However, as renewable energy’s share in the power mix grows, maintaining a stable and reliable power grid becomes increasingly challenging. Renewable sources like wind and solar are inherently variable, introducing unpredictability that conventional energy sources do not. This variability creates operational challenges that, if not appropriately managed, could lead to grid instability and the undermining of the reliable power supply essential for economic activities and public welfare. As [10] argue, the self-regulatory framework of the North American Electric Reliability Corporation (NERC) has struggled to adapt to the complexities of managing grid reliability in the era of renewable energy, further complicating the energy transition. This study is motivated by the urgent need to ensure RPS policies support environmental objectives without jeopardizing continuous electricity supply.
However, research on the potential impact of RPS policies on grid reliability remains limited, despite the critical importance of a reliable grid for uninterrupted power distribution to consumers [9]. Frequent power interruptions can lead to severe economic and social consequences, including sluggish economic growth, poor industrialization, and diminished public safety, as highlighted by researchers [11,12]. These challenges underscore the need to explore grid reliability as renewable energy sources become a larger share of the energy mix. This study addresses this gap by examining the effects of RPS policies on grid reliability metrics—the System Average Interruption Duration Index (hereafter SAIDI), System Average Interruption Frequency Index (hereafter SAIFI), and Customer Average Interruption Duration Index (hereafter CAIDI)—using the instrumental variable quantile regression (hereafter IVQR) method, which uncovers heterogeneous impacts across states. Despite their critical importance for ensuring continuous electricity supply, the effects of RPS policies on these key grid reliability indicators remain underexplored, particularly in the context of varying state-level infrastructure and renewable energy adoption.
Against this backdrop, this study aims to quantify the influence of RPS policies on critical grid reliability indicators, such as the SAIDI, SAIFI, and CAIDI, by employing the IVQR method. Hence, our study is going to bring fresh and new insights for policymakers about the influence of RPS policies on the grid performance indicators. The United States has proactively implemented RPS policies in recent times due to their significant benefits as far as the quality of the environment is concerned. The adopted RPS policies in the United States are different in different states due to the portion of electric power generation from the renewable sources having specific targets. States like California and New York, aiming for renewable electricity production targets of 60% and 70% by 2030, respectively [9], illustrate the varying implementation levels of RPS policies across U.S. states. The adoption of RPS policies has significantly raised the proportion of total renewable energy in the United State in recent years. Statistics show that approximately 21 percent of the total energy was produced from renewable sources in 2020. This observed improvement is expected to be more prominent in upcoming years, as the United States is keen to improve its environmental standards [13]. The observed increased dependence on renewable energy reflects a desirable shift and is important for the survival of future generations. However, several challenges still exist, including the reliability of the grids, as demonstrated in the literature [14].
It is a fact that the power generation from renewable energy sources is not predictable, as it fluctuates significantly. The output based on wind and solar is largely dependent on weather conditions. For example, solar panels only work well in the presence of sunlight, while wind turbines are only effective when the wind is blowing. This implies that the power generation from renewable sources is not a straightforward process, and the grid operators need to work hard to maintain the required electric power supply for consumers [15].
Conventional power plants, which are based on fossil fuels, can control their output amid the changes in demand more effectively. On the other hand, the renewable energy-based plants are unable to control their output due to higher variation. This means that RPS policies may negatively impact the reliability of grids, particularly in those states where the penetration of renewable energy is higher [12]. It is documented in the literature that operators face several challenges while operating the grids based on renewable energy [11]. However, there is indeed a complex relationship between RPSs and the reliability of grids. Some studies in the literature have pointed out that the variation in renewable energy may generate continuous interruptions, while other researchers have documented that the use of renewable energy may lead to the significant investments in the modernization of grids, as well as storage and demand response systems [16].
The current innovations are expected to benefit the operators to control the renewable energy efficiently [17]. For instance, the storage systems of energy, including batteries, can store electric power, which can be used in periods of reduced production. The advanced systems can eliminate the fluctuations due to the use of renewable energy [18]. On the other hand, the demand–response programs can significantly decrease the strain on grids amid higher demand [19].
Besides the direct influence of renewable energy, our study is also interested in assessing the specific role of grid reliability indicators such as the SAIDI, SAIFI, and CAIDI. The mentioned indicators are indeed very important for examining the performance of grids. The SAIDI basically measures customers’ average duration of power outages over a specific period, typically expressed in minutes or hours per year, while the SAIFI tracks the frequency of power outages and the CAIDI calculates the average time it takes to restore power after an interruption. In summary, these indicators present more detailed information about the reliability of grids and further allows for meaningful comparison [11]. In addition, our study also considers the impact of Major Event Days (hereafter MEDs), the situation where extreme weather causes power shortages. Normally, MEDs are responsible for skewing the matrices of reliability. Consequently, it becomes crucial to explore the efficiency of the grids by focusing on them with and without MEDs so to fully understand the RPS policies from the perspective of the reliability of the grid [20].
Grid reliability is shaped by a complex interplay of factors beyond the direct influence of RPS policies. Socioeconomic elements, such as the prices of electric power, total energy consumption, and the demographic size and density of states, play significant roles; larger populations and higher energy demand can lead to increased strain and a higher likelihood of power interruptions, while states with elevated energy prices may have better resources for grid improvements [21,22]. Technical and infrastructural considerations also significantly affect the reliability, with regional energy mix diversity introducing variability that requires stability measures [18], and grid interconnectivity playing a crucial role, as isolated grids are more vulnerable to local disruptions [11]. Technological advancements, including smart grid investments and demand-side management programs, further support resilience, though their adoption varies. Additionally, regulatory discrepancies across federal and state levels, workforce availability, and response capabilities contribute to grid stability challenges [14]. Environmental and security risks add further layers of complexity, as climate change and extreme weather events (e.g., hurricanes, wildfires, and heatwaves) heighten physical risks [20], while rising cyber threats underscore the importance of robust cybersecurity measures. Acknowledging these diverse external factors offers a broader context for understanding the multifaceted drivers of grid stability in the U.S.
Building on these multifaceted influences on grid reliability, this research article adds to the literature by focusing on the relationship between RPS policies and grid characteristics using the IVQR method. The IVQR method is suitable, as it can effectively handle the nuanced effects related to RPSs in different states. It is a fact that traditional econometric regression modeling follows the assumption of homogeneity, which is irrational. The assumption of homogeneity assumes that all states respond in a uniform way to the adoption of RPS policy implementation [23].
The IVQR approach provides in-depth insights by accounting for state-level variations in RPS implementation effects, revealing heterogeneous impacts on grid reliability that traditional regression models might overlook. Our findings reflect that RPS implementation significantly impacts the reliability of grids. It is noteworthy to mention that the influence of RPS policies was more visible in those states where the performance of the grid was not up to the mark historically. More specifically, the RPS implementation policies have significantly reduced the interruptions, which means that increased investment in energy-related infrastructure significantly enhances the stability of the grid [3]. Similarly, the states belonging to upper quantile experienced significant improvement, which is captured though the statistics of both the SAIDI and CAIDI [24]. In general, our findings suggest that the RPS policies promote the use of environmentally friendly energy and further enhance the reliability of grids [4]. These benefits prove the significance of RPS policies.
RPS policies are indeed very effective in encouraging the use of renewable energy, and hence in curbing emissions. However, the potential influence of RPS policies on the reliability of grids is indeed more complex. The operational challenges associated with the intermittency of renewable energy are well researched and recognized widely, yet investment in the modernization of grids, storage, and demand–response presents a feasible solution [25]. With the expansion of RPS policy implementation across states, exploring their influence on the reliability of grids needs to be determined comprehensively. Hence, the current study presents significant and affirmative evidence about the RPS policies and their relationship with grid reliability in those regions where the energy-related infrastructure is relatively weak [26]. Our findings offer guidance to the authorities by enabling them to achieve their environmental goals without compromising on the growth and development process by focusing on the feasible energy-related infrastructure.
This article is divided into five interconnected sections. The second section critically discusses prior literature. Data description and modeling are presented in the third section. The fourth section includes the main results. The final section includes the concluding remarks and policy suggestions.

2. Literature Review

RPSs have been extensively studied for their role in driving renewable energy adoption and reducing greenhouse gas emissions. The research highlights their significant impact on energy markets, including shifts in electricity pricing and market dynamics, as well as environmental outcomes such as emissions reductions and the expansion of the Renewable Energy Capacity [27]. However, the implications of RPS policies for grid reliability—a critical factor in maintaining stable and efficient energy systems—remain underexplored. Increasing renewable integration under RPS frameworks introduces operational challenges, including variability in supply, congestion, and the costs of grid balancing [28]. Studies such as [29] emphasize the importance of policy heterogeneity in shaping renewable deployment and its subsequent effects on grid outcomes, while [30] highlight how inefficiencies in renewable energy responsibility allocation can hinder equity and resource utilization, offering lessons that may inform U.S. policy design. These findings collectively underscore the need to examine RPS policies, not only for their environmental and economic benefits, but also for their influence on operational outcomes, particularly grid reliability, as the United States transitions to a more renewable-intensive energy system [31].
However, despite these advancements, a critical gap remains in understanding the operational impacts of RPS policies, particularly their influence on grid reliability. With the increasing penetration of renewable energy, challenges such as intermittency, supply variability, and the need for grid modernization have become more prominent [32]. While some studies touch upon grid integration costs and the potential of energy storage systems (ESSs) to mitigate variability [33], limited attention has been given to how RPS policies directly affect key grid reliability metrics, including the SAIDI, SAIFI, and CAIDI. This lack of focus on operational outcomes restricts the broader understanding of how RPS policies balance renewable energy expansion with maintaining a stable and reliable electricity grid.
To synthesize existing research and contextualize these gaps, this literature review is structured into the following three sections: (1) RPSs and Energy Markets, examining electricity pricing and market dynamics; (2) RPSs and Environmental and Economic Outcomes, focusing on emissions reductions and economic impacts; (3) RPS Policy Evaluation and Technological Innovation, addressing policy design and the role of emerging technologies in renewable energy integration.

2.1. RPSs and Energy Markets

It is a fact that RPS policies have impacted the global energy markets mainly through the channels of electricity pricing and the stability of grids, as is evident from contemporary research. It is documented that RPS implementation significantly improves the generation of renewable energy [34]. However, energy prices vary by region, and they depend on several factors. For example, it is demonstrated that regions with rich renewable energy sources face relatively marginal increases in prices by implementing the RPS policies [35]. Similarly, it is also endorsed in the literature that the fundamentals of the market have a more important role in explaining the prices as compared to the RPS implementation [36]. However, as far as the deregulated markets are concerned, the influence of RPSs can be more prominent mainly because of significant competition. Deregulated markets generally have higher goals as compared to centralized markets [37]. The study of [38] contributed to the literature by assessing the influence of the efficiency of markets and RPS implementation, and demonstrated that efficient markets can decrease the prices which were raised due to the requirement of renewable energy. This implies that domestic market conditions play an important role as far as the impact of RPSs on markets is concerned.
The RPS implementation is also heavily dependent on the structure of the energy market. It is argued that dominant stakeholders in the market may undermine the RPS mandate by manipulating the prices of certificates of renewable energy (RECs), as pointed out by [39]. Similarly, it is also possible that market power coupled with regulatory frameworks significantly influence the RPS implementation [40]. In other words, the chances of manipulation are higher in deregulated markets, due to which the effectiveness of RPSs could be compromised.
Despite the extensive research on prices, the explicit impact of RPS implementation on the reliability of the grid is still a least-explored research area. While some studies discuss how ESSs can help stabilize the grid by storing excess renewable energy during periods of low demand and releasing it during peak demand, these insights remain limited to general strategies and do not directly link RPSs to grid outcomes. Intermittent renewable energy sources like solar and wind pose significant challenges to grid stability [41]. Additionally, [42] argues that flexible generation and demand-side management can improve grid flexibility A study by [43] highlights the importance of modernizing grid infrastructure to accommodate the increased variability introduced by renewable energy integration under aggressive RPS policy targets. These findings underscore the need for a more comprehensive understanding of how RPS policies interact with grid reliability metrics such as the SAIDI, SAIFI, and CAIDI, which remain largely unexplored in the current body of research.

2.2. RPSs and Environmental and Economic Outcomes

RPS policies are indeed important due to their positive impacts on both the quality of the environment and economic performance. However, it is also an undeniable fact that the benefits and costs linked with the implementation of RPS policies vary from region to region. From the perspective of the environment, some researchers have demonstrated that RPS policy implementation has substantially improved environmental quality by reducing GHS emissions [44,45]. The main message from these studies is that RPS policy implementation encourages the use of cleaner sources of energy and discourages the traditional sources of energy which are based on fossil fuels. However, it should be noted that the positive consequences of RPSs on environmental quality are not uniform. It is argued in the literature that the decrease in pollution due to renewable sources is dependent on the location and time of deployment [46]. Environmental policies, including a carbon tax and carbon pricing, need to be strictly monitored to achieve the full benefits associated with RPS policies, as pointed out by [47]. This means that RPS policy implementation in isolation may not be able to bring about significant benefits. The RPS policies need to be supported by other relevant environmental policies and reforms. Similarly, the role of ESSs is also highlighted in enhancing the role of RPSs in improving environmental quality [48]. The authors of [49] demonstrated that the storage of energy is indeed crucial for the management of renewable energy.
From the economic perspective, RPS policy implementation has diverse impacts, as reported in the literature. Some of the studies have reported that RPS policy implementation increases retail prices, while other studies have shown that RPS policy implementation positively influences the long-run growth performance. The literature has also documented that RPS policy implementation accelerates local growth, as in the case of New Mexico [50]. The study showed that RPS policy implementation generates jobs in the renewable energy sector and further significantly decreases the reliance on fossil fuels. Consequently, the local development process flourishes.
However, the economic benefit of RPS policies is also different across regions as, pointed out by researchers [51]. Regions with the highest renewable energy potential recorded significant economic gains, while areas with lower potential saw more modest results [52]. Furthermore, the literature notes that RPS policies are especially impactful in regions with high unemployment rates and underdeveloped industrial sectors [53], as they generate jobs and stimulate local economies. Despite extensive research on the economic and environmental outcomes of RPSs, there has been a limited exploration of how these policies directly influence grid reliability. This study fills this gap by examining how RPS mandates affect key grid reliability metrics, such as the SAIDI, SAIFI, and CAIDI, thereby providing a clearer understanding of their operational implications.

2.3. RPS Policy Evaluation and Technological Innovation

Technological advancements are pivotal to the successful implementation of RPS policies, especially as renewable energy penetration into the grid increases. Over the years, RPS policies have been adopted across several states in the United States, demonstrating varying degrees of effectiveness depending on regional factors such as policy design and market dynamics. The literature highlights that advanced technologies such as ESSs and smart grids play a crucial role in mitigating the intermittency of renewable sources like solar and wind. These technologies enhance the stability of the grid by balancing supply and demand, reducing the reliance on fossil fuel backups, and improving the renewable integration efficiency [54,55]. Furthermore, the modernization of grid infrastructure, including real-time monitoring, demand–response programs, and energy storage systems, has been emphasized as essential under aggressive RPS targets to accommodate the variability introduced by renewable energy [56]. These technologies collectively help balance supply and demand, ensuring grid stability in the framework of RPS policy implementation. Coupled with supportive mechanisms like tax incentives or other complementary policies, such innovations have been proven to increase the proportion of renewable energy in the total energy generation while ensuring economic and environmental benefits [43,57]. Studies show that data-driven approaches, including deep learning algorithms for forecasting renewable energy generation, can dynamically enhance grid stability, particularly when combined with adaptive control mechanisms that improve the grid’s ability to handle intermittency [58]. This highlights the crucial role that innovative technologies can play in addressing the challenges posed by renewable energy integration within the framework of RPS policies. However, while these studies underscore the importance of technology in RPS policy implementation, they primarily focus on broader operational benefits rather than the direct impacts on grid reliability metrics.
Despite the extensive research on the technological and economic aspects of RPSs, a significant gap remains in understanding how RPS policies directly influence grid reliability. Most studies fail to establish a clear connection between RPS mandates and critical reliability metrics such as the SAIDI, SAIFI, and CAIDI. These metrics are vital for evaluating the operational stability and understanding how renewable energy integration affects the overall performance of the grid. Moreover, while some research has explored the role of technologies like ESSs in stabilizing the grid, their interaction with RPS design features—such as Renewable Energy Certificate trading and enforcement mechanisms—has not been sufficiently analyzed. This study fills this gap by systematically examining the relationship between RPS policies and grid reliability metrics, offering novel insights into the operational implications of renewable energy integration. By addressing this overlooked aspect, this research provides actionable recommendations for designing more effective RPS frameworks that balance renewable energy expansion with maintaining grid stability.
While previous research provides substantial evidence on the economic and environmental impacts of RPS policy implementation, as well as its influence on energy markets and advancements in policy design and technology, the aspect of grid reliability remains significantly underexplored. Studies have examined RPS policy effects on electricity prices, market dynamics, emissions reductions, and technological innovations such as energy storage systems and smart grids. However, their direct influence on grid stability metrics, including the SAIDI, SAIFI, and CAIDI, has yet to be thoroughly analyzed. With increasing renewable energy penetration, understanding how RPS policies interact with energy markets, policy design, and technological advancements to influence grid reliability is crucial. This study addresses these gaps by focusing on the operational impacts of RPS mandates on grid reliability, offering novel insights and actionable policy recommendations. By bridging this research gap, it contributes to the broader discourse on designing effective RPS policies that balance renewable energy expansion with maintaining a stable and reliable electricity grid.

3. Materials and Methods

3.1. Methods

The IVQR approach, unlike traditional regression methods that assume uniform effects, enables the estimation of effects across multiple quantiles, thus capturing the differential impact of RPS policies on grid reliability across states. The IVQR approach is indeed used for estimation to assess the role of RPSs in specific quantiles (0.10, 0.25, 0.50, 0.75, and 0.90) across all 50 states. The IVQR framework is indeed very useful in the presence of endogeneity and heterogeneity in the estimated model, as is pointed out by [59], which are common in policy evaluation studies and essential for examining state-level variations in grid reliability.
The IVQR approach is optimal for this analysis because it effectively handles both endogeneity and heterogeneity. Endogeneity issues frequently arise from factors like omitted variables, measurement errors, or simultaneity between RPS policies and grid reliability, as noted by [59]. Without adequately addressing endogeneity, parameter estimates may be biased and inconsistent. The IVQR method corrects for endogeneity through instrumental variables that correlate with RPS policy implementation but which are not directly related to grid reliability outcomes. In addition, standard regression techniques often assume a uniform effect of RPSs across states, which may not capture the diverse responses to RPS policies. The IVQR method, by estimating the impacts across multiple quantiles, reveals how RPS policies influence grid reliability differently across states, thus providing a richer and more nuanced understanding of the policy’s effect on grid performance.
To mitigate endogeneity, this study employs the following three instrumental variables (IVs): the Democrats’ Participation Rate, Total Renewable Energy Capacity, and Real Median Household Income. These variables were selected for instrumentation based on the relevance and theoretical justification, as supported by the established econometric literature [60,61]. Relevance requires that the instruments exhibit a strong correlation with RPS policy implementation, while exogeneity ensures that the instruments are uncorrelated with the error term in the grid reliability equation, meaning that they affect the grid reliability only indirectly through their influence on RPSs. Similar instruments have been successfully used in previous studies to examine renewable energy and policy impacts [34,62].
The model includes the population, total energy consumption, and electricity prices as control variables to isolate the impact of RPSs on grid reliability. These controls account for broader economic and energy-related factors that might influence grid reliability independently of RPS policy implementation. This makes the IVQR method particularly suited for policy impact studies where the effects vary across diverse populations or regions, allowing for a more nuanced understanding of how policies function in different quantiles. By examining these key quantiles, the IVQR method captures the heterogeneity of the effects, revealing how the influence of RPS policies may be stronger or weaker at different levels of grid reliability [63]. This method offers richer insights than standard regression models, making it highly relevant for policy analysis and applied economics research. Following [59,63], the conditional quantile function in the IVQR model can be expressed as follows:
Q { y i }   ( τ | x i z i ) = x i β ( τ ) + u i ( τ )
where Q { y i }   ( τ | x i z i )   represents the conditional quantile function at quantile τ (e.g., 0.10, 0.25, 0.50, 0.75, and 0.90), x i denotes the vector of the endogenous explanatory variables, z i denotes the vector of the instrumental variables, u i ( τ ) is the quantile-specific error term, which varies across quantiles, β ( τ ) represents the quantile-specific coefficients, which vary across different quantiles, and τ are estimated by minimizing the sum of the weighted absolute deviations. The IVQR model estimates the conditional quantiles of the dependent variable y i by solving the following minimization problem:
β ^ = a r g m i n β ( τ )     i = 1 n ρ τ   ( y i x i   β ( τ ) )
where the quantile loss function ρ τ   ( u ) is defined as follows:
ρ τ     ( u ) = u   ( τ I   ( U < 0 ) )
where I(.) is the indicator function, which equals 1 if u < 0 and 0 otherwise. The loss function ensures that the residuals are weighed differently depending on their sign and the quantile ( τ ) . To address the endogeneity, the instrumental variable z i   is introduced, modifying the objective function to the following:
β ^ = a r g m i n β ( τ )     i = 1 n ρ τ   ( y i x i   β ( τ ) z i ( γ ( τ ) ) )
where γ ( τ ) stands for the parameters which are attached, with the instruments shown by ( z i ). The adopted IVQR methodology is effective in addressing the likely endogeneity issue using the method of instrumentation. The proposed instrument ( z i )   should be related with the independent variable and, at the same time, uncorrelated with the disturbance u i ( τ ) .   This method of addressing endogeneity is bound to produce unbiased estimates. Similarly, the IVQR methodology also ensures that the estimation is performed quantile-wise, as pointed out by [44].
The IVQR methodology provides several key advantages. By addressing endogeneity, it produces reliable estimates that are essential for policy analysis. Its quantile-specific insights reveal distributional effects, indicating how RPS policies differentially impact grid reliability across states. Furthermore, by capturing heterogeneous effects, the IVQR methodology suggests that RPS policies may yield more substantial benefits in states with lower grid reliability, providing valuable guidance for targeted interventions. Overall, the IVQR approach allows for a comprehensive assessment of RPS policy effects on grid reliability, delivering robust and quantile-specific estimates that enhance our understanding of the heterogeneous impact of energy policy interventions across the U.S.

3.2. Data and Sources

Data for the chosen variables were gathered from the 50 states of the United States from several credible databases. The sources of data include the National Conference of State Legislatures (NCSL), the Database of State Incentives for Renewables & Efficiency (DSIRE), the Lawrence Berkeley National Laboratory (LBNL), the U.S. Energy Information Administration (EIA), the FRED at St. Louis, and the U.S. and Bureau of Economic Analysis (BEA). The period selected, based on the availability, is 2013 to 2022. Our main variables include the state-level RPS policy implementation and the important aspects of grid reliability (the SAIDI, SAIFI, CAIDI, with and without MEDs). The objective is to assess the influence of RPS policy implementation on the grid reliability. The grid reliability is approximated by measuring outages, including the average duration, frequency, and restoration time.
In the United States, all utility companies are bound to produce important aspects, such as the SAIDI, SAIFI, and CAIDI, to the Energy Information Administration (EIA). The mentioned metrics can measure the reliability effectively, as they are quantitative by nature. The companies report their data to the EIA following a standard procedure in the form of reports such as the Annual Electric Power Industry Report (EIA-861). The EIA-861 report assesses the statistics of the reliability and distribution for policy purposes. The data reported are indeed important for assessing the important role of RPS policies on the stability and reliability of grid systems. Moreover, the data presented by companies to the EIA are under the compliance of Federal Energy Regulatory Commission (FERC).
Furthermore, we also collected state-wise population data, which measured the total number of residents in thousands, the total energy in megawatt-hours (MWh), and the electricity prices in cents per kilowatt-hour (¢/kWh). The purpose behind using the control variable is to see its role in improving the grid reliability in the presence of RPS policy implementation. Finally, the analysis incorporated the Democrats’ Participation Rate, expressed as a percentage, the Real Median Household Income, measured in thousands of U.S. dollars and adjusted to the 2023 Consumer Price Index for All Urban Consumers Research Series (CPI-U-RS), along with the Total Renewable Energy Capacity, measured in MW, which were used as instrumental variables.
The descriptive statistics, presented in Table 1, indicate notable variations in grid reliability measures across the states. For instance, the SAIDI with MEDs shows a mean of 5.47 with a standard deviation of 0.89, indicating that, while most states experience a similar duration of outages, some outliers have significantly longer interruptions. The SAIFI with MEDs also displays moderate variation, with a standard deviation of 0.22, indicating differences in the frequency of outages. The range in the CAIDI with MEDs and the CAIDI without MEDs suggests that some states experience quicker restoration times compared to others. Additionally, the RPS variable indicates that 61% of states have implemented RPSs. Variability in the population, total energy consumption, and electricity prices highlight the disparities in state-level energy demand and economic conditions, factors that could influence the grid reliability. Finally, the instruments—the Democrats’ Participation Rate and Total Renewable Energy Capacity—show wide variability, which supports their use in addressing potential endogeneity in the model.
In Table 2, the power correlation matrix highlights the key relationships between RPSs and the variables related to the grid reliability and political and economic factors. RPS policies are positively correlated with the Democrats’ Participation rate (0.654) and Real Median Household Income (0.446), while negatively correlated with grid reliability metrics like the SAIDI and SAIFI, indicating fewer and shorter outages in states with RPS policies. Electricity prices positively correlate with RPSs (0.378), suggesting higher costs may be associated with RPS policy adoption. The matrix suggests that RPSs improve grid reliability but may lead to higher energy prices.
All of the continuous variables were transformed into logarithmic form to normalize the data, reduce the heteroscedasticity, and ensure more linear relationships between the variables. The transition adopted in the study is effective in the interpretation of statistics and will present a crystal-clear understanding of the influence of RPS policy implementation on the stability and reliability of grids. The RPSs and Democrats’ Participation Rate are measured at the state level. The RPS variable is binary by nature, while the Democrats’ Participation Rates are approximated in percentage. The logarithmic transformation is ignored because the data are measured in percentages. The present study is expected to provide significant and robust evidence about RPS policy implementation on the reliability of grids due to the appropriate transformation procedure adopted.

4. Results

In Table 3, the first-stage results from the 2SLS regression in the IVQR model demonstrate strong instrumental relevance, with the Democrats’ Participation Rate, Real Median Household Income, and Total Renewable Energy Capacity displaying consistently significant coefficients across all grid reliability metrics (the SAIDI, SAIFI, and CAIDI, with and without MEDs). The Democrats’ Participation Rate maintains a stable coefficient of 0.014, reinforcing its robustness as an instrument. Real Median Household Income shows a positive coefficient ranging from 0.562 to 0.625, suggesting that higher income levels contribute to improved grid reliability, potentially by supporting infrastructure investments. Similarly, Total Renewable Energy Capacity has a positive coefficient of approximately 0.067, highlighting its role in enhancing grid stability.
The control variables perform as expected, aligning with established theoretical assumptions. The population is positively associated with grid interruptions (e.g., 0.273 for the SAIDI with MEDs), likely reflecting the strain that higher population levels place on grid infrastructure. In contrast, Total Energy Consumption has a negative relationship with grid reliability metrics (e.g., −0.284 for the SAIDI with MEDs), suggesting that higher energy use may drive grid maintenance and modernization investments, thereby supporting reliability. Electricity prices also exhibit a negative impact on grid interruptions (e.g., −0.219 for the SAIDI with MEDs), which may indicate that higher prices enable infrastructure investment. The interaction between grid reliability measures and per capita GDP is mostly insignificant, except for the CAIDI without MEDs, which shows a minor positive effect (0.019). These results provide a robust basis for the IVQR model, confirming that the selected instruments and control variables are suitable and relevant for isolating the impact of RPS policies on grid reliability.
In the next stage of the IVQR analysis, as shown in Table 4, we will explore how the distributional effects of RPSs on grid reliability vary across different quantiles, addressing the potential endogeneity and heterogeneity in the impact of policy interventions on the grid performance.
Table 4 presents the IVQR results, showing the impact of RPSs on grid reliability metrics (the SAIDI, SAIFI, and CAIDI) across quantiles, both with and without MEDs, at τ = 0.10, 0.25, 0.50, 0.75, and 0.90. The quantile-based approach enables a nuanced view, capturing how RPSs affect grid reliability at varying performance levels, from a high reliability (lower quantiles) to a lower reliability (higher quantiles). This method is particularly suitable for policy evaluations where the impacts are not homogeneous across populations [23]. For instance, states with more stable grids (lower quantiles) might respond differently to RPSs compared to states with weaker grid performance (higher quantiles), making the IVQR method ideal for uncovering such variations.
The results show a statistically significant negative relationship between RPS policy implementation and grid interruptions across all quantiles, indicating that RPS policies enhance grid reliability by reducing both the frequency and duration of power outages. In other words, the decreasing coefficients across quantiles also imply that RPS policies have a greater proportional effect in states where grid reliability is poorer. This aligns with [24], which emphasizes the importance of renewable energy policies in addressing systemic infrastructure weaknesses in underperforming states. For instance, for the SAIDI with MEDs, the coefficient for RPSs ranges from −0.438 at the 10th quantile to −0.630 at the 90th quantile. This indicates that RPS policy implementation reduces the duration of power interruptions by 43.8% in states with a high reliability (lower quantiles) and by up to 63% in states with a poor reliability (upper quantiles). The increasing magnitude of the coefficients across quantiles highlights that RPS policies have a more pronounced impact in states with greater reliability challenges, reinforcing the need for targeted policy implementation in these areas. These findings are consistent with prior research, such as [34], which also emphasizes the positive role of RPSs in improving grid stability. Similarly, ref. [27] also demonstrated that RPS policy implementation drives renewable energy adoption, which indirectly reduces grid interruptions by diversifying energy sources and reducing the dependency on traditional power grids prone to outages. From a policy standpoint, these findings underscore the critical role of RPSs in mitigating the externalities of conventional energy production and promoting cleaner energy sources. The results align with public goods theory, where improving grid reliability benefits society. The more substantial effects at higher quantiles suggest that policymakers should prioritize RPSs in states with more significant grid challenges, as they stand to gain the most regarding reliability improvements.
Control variables further illuminate the dynamics that influence grid reliability. Population shows a positive and significant relationship with grid interruptions across all quantiles, with coefficients such as 0.329 at τ = 0.10 and 0.257 at τ = 0.90 for the SAIDI with MEDs. This relationship indicates that larger populations intensify the grid demand, leading to more frequent outages due to higher pressure on the grid infrastructure. However, the slightly diminished impact at higher quantiles suggests that states with higher populations invest more in advanced infrastructure to manage this demand, aligning with [64], which highlighted population density as a driver for adopting smart grid technologies. Similarly, energy consumption demonstrates a negative relationship with grid interruptions, with coefficients ranging from −0.249 at the 10th quantile to −0.367 at the 90th quantile for the SAIDI with MEDs. This suggests that states with a higher energy consumption tend to prioritize investments in modern and resilient infrastructure, thereby reducing outages and improving the overall reliability. These findings are consistent with the idea that states with high energy demands are more likely to lead in grid modernization efforts.
Electricity price also negatively impacts grid reliability measures, with coefficients like −0.287 at the 10th quantile and −0.182 at the 90th quantile for the SAIDI with MEDs. This negative impact corroborates the findings by [35], who noted that renewable energy expansion under RPS policies increases the grid efficiency, thereby reducing electricity prices over time. This negative relationship becomes more apparent after IVQR correction for endogeneity. While the correlation matrix (see Table 2) initially suggests a positive relationship between RPSs and electricity prices, the IVQR method, which corrects for endogeneity, reveals a negative causal effect of RPSs on electricity prices. This result corroborates the findings by [35], who identified that state clean energy policies, such as RPSs, contribute to reductions in electricity prices by promoting renewable capacity and efficiency. This indicates that, once we have accounted for factors like the renewable capacity expansion and policy incentives, RPS policy implementation tends to reduce electricity prices, contrary to what simple correlations suggest.
For the energy consumption, the estimation table shows a significant negative coefficient across all of the quantiles, with values such as −0.249 at the 10th quantile and −0.367 at the 90th quantile for the SAIDI with MEDs, suggesting that higher consumption aligns with improved grid reliability. This may be explained by higher-investing, high-consumption states having more resilient infrastructure or energy management practices, which reduce interruptions. The progressively more negative coefficients at higher quantiles indicate that energy consumption is increasingly essential in grid stability as the reliability decreases.
Furthermore, the interaction term between grid reliability and per capita GDP displays consistently positive coefficients across the quantiles, such as 0.220 at the 10th quantile and 0.247 at the 90th quantile for the SAIDI with MEDs. This indicates that higher per capita GDP is associated with improved grid reliability, likely because wealthier states have a greater financial capacity to invest in robust infrastructure. Such findings are consistent with prior research by [65], which highlights the critical role of infrastructure development in fostering economic growth and reducing inequality. Similarly, ref. [66] demonstrated that infrastructure investments contribute significantly to economic growth while alleviating income disparities, emphasizing the importance of targeted infrastructure development to enhance resilience in economically disadvantaged regions. These results align with economic theory, which posits that financial resources underpin infrastructure resilience, reducing interruptions and ensuring stability even under increased demand.
Overall, the results in Table 4 underscore the critical importance of RPS policies in improving the grid reliability, particularly in states facing significant challenges. The quantile-specific insights demonstrate that the impact of RPS policies is not uniform but rather concentrated in states with a lower reliability, where the benefits of these policies are most pronounced. This highlights the potential for targeted RPS policy expansion to address critical infrastructural needs effectively. Additionally, the finding that RPS policies reduce electricity prices, contrary to traditional assumptions, reinforces the economic benefits of these policies. By simultaneously improving the grid reliability, reducing electricity costs, and supporting the transition to renewable energy, RPS policies represent a strategic tool for achieving both economic and environmental objectives. These findings provide valuable guidance for policymakers, suggesting that expanding RPS policies, especially in vulnerable states, can enhance energy security, economic resilience, and sustainable development.
Figure 1 presents a series of boxplots illustrating the grid reliability metrics—the SAIDI, SAIFI, and CAIDI—across states, comparing their performance with and without RPSs under conditions both including and excluding MEDs. Each pair of boxplots compares states with RPS policies (indicated by one) against those without RPS policies (indicated by zero). The boxplots reveal minimal differences in the median values between the RPS and non-RPS states across all of the metrics, suggesting that, on average, RPS policies do not drastically shift the grid reliability indicators at the median level. However, the variability, particularly in the interquartile ranges and outliers, hints at the broader effects on the grid stability, which are further examined through the IVQR results.
The IVQR analysis (not shown in given figure) reveals a more substantial impact of RPS policies on grid reliability, particularly in the higher quantiles. For instance, at the 90th quantile, the coefficient for the SAIDI with MEDs under RPS policies is −0.630, indicating that RPS policy adoption significantly reduces extreme power interruptions. The CAIDI values, both with and without MEDs, also show notable reductions in higher quantiles, suggesting that RPS policies enhance the ability to restore power quickly during major outages. These findings highlight that, while RPS policies may not substantially alter the average reliability metrics (as indicated by the medians), they play a critical role in preventing the most severe disruptions. This impact may be attributed to the diversification of energy sources encouraged by RPS policies, which reduce the reliance on traditional sources and strengthen the grid stability. Additionally, the investments in renewable infrastructure, driven by RPS policies, contribute to improved grid resilience and quicker response times during outages. In summary, the IVQR estimation suggests that RPS policies contribute significantly to grid resilience by reducing the frequency and duration of severe power outages, thereby enhancing the overall grid reliability. These results underscore the importance of RPS policies in states with a higher vulnerability to extreme grid disruptions, where RPS policies have a more pronounced impact in safeguarding against prolonged outages and improving the recovery times.
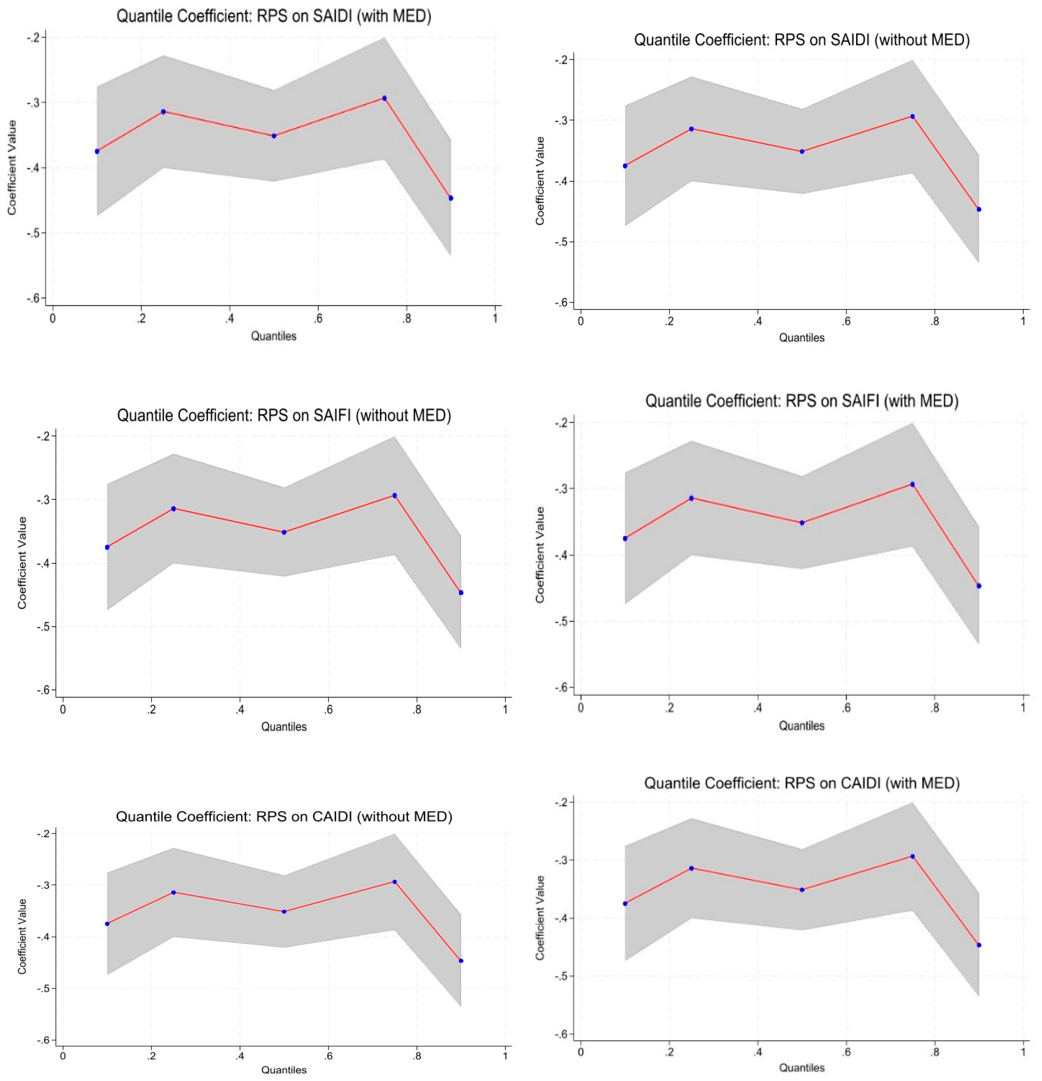
In Figure 2, the study provides compelling evidence that RPS policies significantly enhance the grid reliability by reducing both the frequency and duration of power interruptions. The quantile regression coefficients consistently display negative values across all of the quantiles, confirming the beneficial effects of RPS policies on grid performance metrics such as the SAIDI, SAIFI, and CAIDI. This negative relationship indicates that RPS policies improve the grid reliability universally, but the magnitude of the impact varies significantly across states with differing levels of reliability challenges.
In states with severe grid reliability issues, represented by higher quantiles, the coefficients are more strongly negative. This demonstrates that RPS policies have a pronounced effect in reducing the interruptions and improving the stability in regions where the reliability is most compromised. These findings highlight the critical role of RPS policies in addressing the vulnerabilities of states facing the highest levels of interruptions. Conversely, states with more stable grid performance, represented by lower quantiles, exhibit smaller but still consistently negative coefficients. This suggests that, while RPS policies have a more modest impact in these regions, they still contribute to enhancing the grid reliability by reinforcing already-stable systems.
The confidence intervals surrounding the coefficients provide further insights into the robustness of these findings. The shaded regions, particularly in higher quantiles, consistently exclude zero, underscoring the statistical significance of the observed effects. This highlights the reliability of the results and reinforces the conclusion that RPS policies are the most effective in states with significant reliability challenges. The variation in the coefficient values across quantiles reveals the heterogeneous influence of RPS policies, capturing how their impacts differ across states with varying grid conditions. This underscores the importance of using quantile regression as a methodological tool to uncover these differential effects, which would otherwise be obscured in mean-based analyses.
These findings carry significant policy implications. The pronounced effects of RPS policies in states with severe reliability issues suggest that policymakers should prioritize their implementation in these regions to maximize the impact on grid resilience. At the same time, the consistent improvements in the lower quantiles highlight the broader applicability of RPS policies in enhancing the grid stability across all states, regardless of their baseline reliability. By addressing the disparities in the grid performance and improving the resilience where it is most needed, RPS policies demonstrate their value as a key instrument for achieving reliable and sustainable energy systems. Overall, the quantile coefficient plots demonstrate that RPS policies are especially effective in improving the reliability where the grid stability is most challenged, underscoring the policy’s value in enhancing the resilience in the most vulnerable areas.

5. Discussion and Conclusions

This research article aimed to examine the impact of RPS policies on the grid reliability across the United States, using the IVQR approach for estimation. Our findings indicate that RPS policies significantly enhance the grid stability across various quantiles, particularly in states with substantial reliability challenges. For example, at the 90th quantile, RPS policy implementation reduces the SAIDI (with MEDs) by approximately 63.0%, indicating the substantial mitigation of severe power interruptions. Additionally, RPS policies reduce other critical indicators of grid reliability across the quantiles, with the CAIDI (with MEDs) dropping by 55.2% and the SAIFI (with MEDs) dropping by 9.7%. These results suggest that RPS policies reduce the frequency of outages and shorten the restoration times. The quantile-specific impact underscores the effectiveness of RPS policies in historically low-reliability states, where RPS policies appear to play a crucial role in stabilizing the grid performance. Accordingly, we advise policymakers to prioritize RPS policy implementation in historically low-grid-reliability states to maximize these improvements [26].
Our findings also reveal a shift from a positive to a negative correlation between RPSs and electricity prices when addressing endogeneity through the IVQR estimator, with electricity price coefficients transitioning from −0.349 at the 25th quantile to −0.182 at the 90th quantile for the SAIDI (with MEDs). This challenges the conventional assumption that RPS policies increase the electricity costs, suggesting instead that RPS policies may help stabilize or even reduce prices. This outcome supports the hypothesis that expanding renewable energy via RPS policies does not necessarily lead to higher electricity prices [12,47,67].
Based on these insights, we advocate for an expansion of RPS policies, particularly in states facing severe grid reliability challenges, as such targeted interventions could yield substantial benefits. Increased energy use, which improves grid reliability by driving investments in maintenance and modernization, further supports the case for optimizing RPS strategies to address specific state needs [26].
While this study provides robust evidence of the impact of RPS policies on grid reliability, certain limitations should be acknowledged. Although the IVQR method effectively addresses endogeneity, potential biases remain due to unobserved variables that may also influence the grid stability but which are not included in the model. Additionally, this study does not include robustness checks, such as alternative model specifications, sensitivity tests, or subsample analyses, which could further validate and strengthen the findings. Discrepancies in reporting standards across states, such as differences in data collection methods or definitions of reliability metrics, could introduce inconsistencies in the dataset, potentially impacting the precision and comparability of our estimates across regions. The use of the IVQR method assumes that the selected instruments, while theoretically justified, capture the necessary exogenous variation to estimate the causal impacts accurately. Future research could refine these findings by exploring a broader array of regional and economic factors, and by applying additional robustness checks across diverse methodological frameworks.
Despite these limitations, the demonstrated benefits of RPS policies point to several key implications for policymakers, which we discuss below.
1.
Grid Reliability Enhancement:
The positive influence of RPS policies on grid reliability demonstrates their potential as tools to address both environmental and infrastructural concerns. To further enhance grid stability, policymakers should prioritize investments in modernizing the energy infrastructure, such as upgrading aging power lines and deploying smart grid technologies. For example, automated switches and sensors can isolate problem areas and quickly reroute power to unaffected regions, reducing the outage frequency and duration. Additionally, states with high renewable energy penetration, such as California and New York, should explore integrating advanced energy storage systems and community microgrids to mitigate the variability in the renewable energy supply and to ensure reliability during peak demand periods. These measures can enhance the energy sector’s resilience and support the expansion of RPS policies to address infrastructure issues [16,47].
2.
Challenging Cost Assumptions:
Our findings challenge the conventional belief that RPS policies inherently increase electricity prices, instead showing their potential to reduce consumer costs. For example, prior studies estimate savings of USD 1.3 to USD 4.9 billion in 2013 due to RPSs [67]. However, recognizing the variability in RPS costs across regions, policymakers should implement detailed cost assessment frameworks, such as lifecycle cost analysis or cost–benefit analysis, to design optimized and cost-effective RPS policies. In deregulated electricity markets, competitive procurement processes could further drive cost reductions. Additionally, targeted subsidies or financial incentives for renewable energy projects could help minimize consumer costs while accelerating renewable adoption. These strategies ensure that RPS policies remain both economically viable and accessible.
3.
Distributional and Heterogeneous Effects:
The use of the IVQR method in this study highlights the heterogeneous impacts of RPS policies on grid reliability, emphasizing the importance of accounting for distributional effects. Policymakers should address disparities by prioritizing infrastructure investments in underserved areas and regions with historically low grid reliability. For instance, allocating resources to economically disadvantaged communities to reinforce the electrical infrastructure or to establish community microgrids can simultaneously improve the reliability and equity. Moreover, targeted programs to support low-income households, such as subsidized backup power systems, can mitigate the socioeconomic impacts of outages. By leveraging the insights provided by the IVQR method, policymakers can refine state-level RPS strategies to achieve both environmental objectives and equitable economic outcomes.
In conclusion, this study highlights the critical role of RPS policies in enhancing the grid reliability across the United States, especially in states facing significant reliability challenges. By utilizing the IVQR approach, we provide evidence that RPS policies not only reduce the frequency and duration of outages but may also help stabilize or lower electricity prices, challenging traditional cost assumptions associated with renewable energy mandates. These findings underscore the value of RPSs as a policy tool for promoting both energy security and environmental sustainability. Future research should consider additional external factors and employ alternative econometric methods to further refine our understanding of RPS impacts across diverse contexts. Such investigations could help policymakers design more tailored interventions that support regional energy needs while advancing broader environmental goals.

Author Contributions

S.B.S.: Supervision, conceptualization, investigation, data curation, methodology, software, validation, original draft preparation, visualization, preparation, writing-reviewing and editing. T.H.A.: Investigation, methodology, validation, original draft preparation, visualization, preparation, resources, writing-reviewing and editing. R.A.: Data curation, validation, visualization, resources, writing-reviewing and editing. All authors have read and agreed to the published version of the manuscript.

Funding

This research received no external funding.

Data Availability Statement

Data will be made available upon reasonable request.

Acknowledgments

The authors are thankful for the deanship of scientific research at the King Saud University represented by the research center at the College of Business Administration (CBA) for supporting this research.

Conflicts of Interest

The authors declare no conflicts of interest.

References

  1. Wang, K.H.; Wen, C.P.; Long, H.; Moldovan, N.C. Towards sustainable development: Exploring the spillover effects of green technology innovation on energy markets and economic cycles. Technol. Forecast. Soc. Chang. 2024, 203, 123368. [Google Scholar] [CrossRef]
  2. Wang, K.H.; Wen, C.P.; Xu, B.C.; Li, X. Receiver or transmitter? Unlocking the role of green technology innovation in sustainable development, energy, and carbon markets. Technol. Soc. 2024, 79, 102703. [Google Scholar] [CrossRef]
  3. Lund, H. Renewable Energy Systems: The Choice and Modeling of 100% Renewable Solutions; Academic Press: Cambridge, MA, USA, 2020. [Google Scholar]
  4. Carley, S.; Konisky, D.M. The justice and equity implications of the clean energy transition. Nat. Energy 2020, 5, 569–577. [Google Scholar] [CrossRef]
  5. Xu, L.; Zhao, X. The synergistic effect between Renewable Portfolio Standards and carbon emission trading system: A perspective of China. Renew. Energy 2023, 211, 1010–1023. [Google Scholar]
  6. Hashemizadeh, A.; Ju, Y.; Abadi, F.Z.B. Policy design for renewable energy development based on government support: A system dynamics model. Appl. Energy 2024, 376, 124331. [Google Scholar] [CrossRef]
  7. Feldman, R.; Levinson, A. Renewable portfolio standards. Energy J. 2023, 44, 1–20. [Google Scholar] [CrossRef]
  8. Deschenes, O.; Malloy, C.; McDonald, G. Causal effects of Renewable Portfolio Standards on renewable investments and generation: The role of heterogeneity and dynamics. Resour. Energy Econ. 2023, 75, 101393. [Google Scholar] [CrossRef]
  9. Davies, L.; Klass, A.B.; Osofsky, H.M.; Tomain, J.; Wilson, E.J. Energy Law and Policy, 3rd ed.; West Academic Publishing. Location: St. Paul, Minnesota, USA, 2022. [Google Scholar]
  10. Macey, J.C.; Welton, S.; Wiseman, H. Grid reliability in the electric era. Yale J. Regul. 2024. Available online: https://openyls.law.yale.edu/handle/20.500.13051/18384 (accessed on 17 January 2024).
  11. Bakke, G. The grid: The Fraying Wires Between Americans and Our Energy Future, 1st ed.; Bloomsbury Publishing: New York, NY, USA, 2017. [Google Scholar]
  12. Bushnell, J.; Novan, K. Setting with the Sun: The Impacts of Renewable Energy on Wholesale Power Markets; National Bureau of Economic Research: Cambridge, MA, USA, 2018. [Google Scholar]
  13. Galen, L. US Renewables Portfolio Standards: 2019 Annual Status Update; Lawrence Berkely National Laboratory: Berkely, California, 2019. [Google Scholar]
  14. Tomain, J.P. The Democratization of Energy. Vanderbilt J. Transnatl. Law 2015, 48, 1125. [Google Scholar]
  15. Paul, D.; Ela, E.; Kirby, B.; Milligan, M. The Role of Energy Storage with Renewable Electricity Generation; National Renewable Energy Laboratory: Golden, CO, USA, 2010. [Google Scholar]
  16. Bird, L.; Cochran, J.; Wang, X. Wind and Solar Energy Curtailment: Experience and Practices in the United States; National renewable Energy Laboratory: Golden, CO, USA, 2014. [Google Scholar]
  17. Biggar, D.R.; Hesamzadeh, M.R. The Economics of Electricity Markets; Wiley-IEEE Press: Hoboken, NJ, USA, 2014. [Google Scholar]
  18. Denholm, P.; Hand, M. Grid flexibility and storage required to achieve very high penetration of variable renewable electricity. Energy Policy 2011, 39, 1817–1830. [Google Scholar] [CrossRef]
  19. Albadi, M.H.; El-Saadany, E.F. A summary of demand response in electricity markets. Electr. Power Syst. Res. 2008, 78, 1989–1996. [Google Scholar]
  20. Billinton, R.; Acharya, J. Consideration of multi-state weather models in generating capacity adequacy assessment. In Proceedings of the Canadian Conference on Electrical and Computer Engineering, Saskatoon, SK, Canada, 1–4 May 2005. [Google Scholar]
  21. Hines, P.; Apt, J.; Talukdar, S. Large blackouts in North America: Historical trends and policy implications. Energy Policy 2009, 37, 5249–5259. [Google Scholar] [CrossRef]
  22. Sweeney, J.L. The California electricity crisis: Lessons for the future. Bridge 2002, 32, 23–31. [Google Scholar]
  23. Chernozhukov, V.; Hansen, C. The effects of 401 (k) participation on the wealth distribution: An instrumental quantile regression analysis. Rev. Econoics Stat. 2004, 86, 735–751. [Google Scholar] [CrossRef]
  24. Janiszewski, P.; Sawicki, J.; Kurpas, J.; Mroz, M. Practical Ways to Improve SAIDI and SAIFI Power Supply Reliability Indicators in an MV Grid. Acta Energetica 2018, 1, 45–50. [Google Scholar]
  25. Nkounga, W.M.; Ndiaye, M.F.; Ndiaye, M.L. Management of intermittent solar and wind energy resources: Storage and grid stabilization. In Sustainable Energy Access for Communities: Rethinking The Energy Agenda for Cities; Springer: Cham, Switzerland, 2022; p. 109. [Google Scholar]
  26. Heeter, J.; Barbose, G.; Bird, L.; Weaver, S.; Flores-Espino, F.; Kuskova-Burns, K.; Wiser, R. A Survey of State-Level Cost and Benefit Estimates of Renewable Portfolio Standards; Technical Report Number: NREL/TP-6A20-61042; National Renewable Energy Laboratory (NREL), Colorado and Lawrence Berkeley National Laboratory (LBNL): Berkeley, CA, USA, 2014. [Google Scholar]
  27. Shrimali, G.; Chan, G.; Jenner, S.; Groba, F.; Indvik, J. Evaluating Renewable Portfolio Standards for In-State Renewable Deployment: Accounting for Policy Heterogeneity. Econ. Energy Environ. Policy 2015, 4, 127–142. [Google Scholar] [CrossRef]
  28. Carley, S.; Miller, C. Regulatory stringency and policy drivers: A reassessment of renewable portfolio standards. Policy Stud. J. 2012, 40, 730–756. [Google Scholar] [CrossRef]
  29. Lyon, T.P. Impacts of Renewable Portfolio Standards (USAEE Working Paper No. 16-232; Ross School of Business Paper No. 1303); The University of Michigan Press: Ann Arbor, MI, USA, 2016. [Google Scholar]
  30. Wang, S.; Zhao, W.; Fen, S.; Xue, L.; Huang, Z.; Liu, Z. Is the Renewable Portfolio Standard in China Effective? Research on RPS Allocation Efficiency in Chinese Provinces Based on the Zero-Sum DEA Model. Energies 2022, 15, 3949. [Google Scholar] [CrossRef]
  31. Chen, C.; Wiser, R.; Mills, A.; Bolinger, M. Weighing the costs and benefits of state renewables portfolio standards in the United States: A comparative analysis of state-level policy impact projections. Renew. Sustain. Energy Rev. 2009, 13, 552–566. [Google Scholar] [CrossRef]
  32. Jr, G.U.; Snyder, B. Renewable energy potential and adoption of renewable portfolio standards. Util. Policy 2015, 36, 67–70. [Google Scholar]
  33. Heeter, J.; Speer, B.; Glick, M.B. International Best Practices for Implementing and Designing Renewable Portfolio Standard (RPS) Policies. National Renewable Energy Laboratory (NREL): Golden, CO, USA, 2019. [Google Scholar]
  34. Carley, S. State renewable energy electricity policies: An empirical evaluation of effectiveness. Energy Policy 2009, 37, 3071–3081. [Google Scholar] [CrossRef]
  35. Tra, C.I. Have renewable portfolio standards raised electricity rates? Evidence from US electric utilities. Contemp. Econ. Policy 2016, 34, 184–189. [Google Scholar] [CrossRef]
  36. Bushnell, J.; Chong, H.; Mansur, E. Profiting from regulation: An event study of the EU carbon market. Am. Econ. J. Econ. Policy 2013, 5, 78–106. [Google Scholar] [CrossRef]
  37. Siddique, A.; Tanaka, M.; Chen, Y. Are targets for renewable portfolio standards too low? The impact of market structure on energy policy. J. Oper. Res. 2016, 250, 328–341. [Google Scholar] [CrossRef]
  38. Cullen, J.A. Measuring the environmental benefits of wind-generated electricity. Am. Econ. J. Econ. Policy 2013, 5, 107–133. [Google Scholar] [CrossRef]
  39. Tanaka, M.; Chen, Y. Market power in renewable portfolio standards. Energy Econ. 2013, 39, 187–196. [Google Scholar] [CrossRef]
  40. Gillingham, K.; Huang, P. Market dynamics and the consequences of renewable portfolio standards. J. Environ. Econ. Manag. 2011, 62, 62–77. [Google Scholar]
  41. Worku, M.Y. Recent advances in energy storage systems for renewable source grid integration: A comprehensive review. Sustainability 2022, 14, 5985. [Google Scholar] [CrossRef]
  42. Hirth, L. The market value of variable renewables: The effect of solar wind power variability on their relative price. Energy Econ. 2013, 38, 218–236. [Google Scholar] [CrossRef]
  43. Cole, W.; Gates, N.; Mai, T.; Greer, D. U.S. Renewable Electricity Policies, 2019 Status and Future Outlook; National Renewable Energy Laboratory Report; National Renewable Energy Laboratory: Golden, CO, USA, 2019. [Google Scholar]
  44. Nogee, A.; Deyette, J.; Clemmer, S. The projected impacts of a national renewable portfolio standard. Electr. J. 2007, 20, 33–47. [Google Scholar] [CrossRef]
  45. Zhou, S.; Solomon, B.; Brown, M. The spillover effect of mandatory renewable portfolio standards. Proc. Natl. Acad. Sci. USA 2024, 121, e2313193121. [Google Scholar] [CrossRef] [PubMed]
  46. Novan, K. Valuing the wind: Renewable energy policies and air pollution avoided. Am. Econ. J. Econ. Policy 2015, 7, 291–326. [Google Scholar] [CrossRef]
  47. Fischer, C.; Newell, R.G. Environmental and technology policies for climate mitigation. J. Environ. Manag. 2008, 55, 142–162. [Google Scholar] [CrossRef]
  48. Go, R.S.; Munoz, F.D.; Watson, J.P. Assessing the economic value of co-optimized grid-scale energy storage investments in supporting high renewable portfolio standards. Appl. Energy 2016, 183, 902–913. [Google Scholar] [CrossRef]
  49. Sovacool, B.K.; Watts, C. Going completely renewable: Is it possible (let alone desirable)? Electr. J. 2009, 22, 95–111. [Google Scholar] [CrossRef]
  50. Mamkhezri, J.; Malcyzynski, L.A.; Chermak, J.M. Assessing the economic and environmental impacts of alternative renewable portfolio standards: Winners and losers. Energies 2021, 14, 3319. [Google Scholar] [CrossRef]
  51. Cullen, J.A.; Mansur, E.T. Inferring carbon abatement costs in electricity markets: A revealed preference approach using the shale revolution. Am. Econ. J. Econ. Policy 2017, 9, 106–133. [Google Scholar] [CrossRef]
  52. Moreno, J.; Medina, J.P.; Palma-Behnke, R. Latin America’s renewable energy impact: Climate change and global economic consequences. Energies 2024, 17, 179. [Google Scholar] [CrossRef]
  53. Fowlie, M.; Knittel, C.R.; Wolfram, C. Sacred cars? Cost-effective regulation of stationary and nonstationary pollution sources. Am. Econ. J. Econ. Policy 2012, 4, 98–126. [Google Scholar] [CrossRef]
  54. Koh, L.; Peng, W.; Tseng, K.J.; ZhiYong, G. Reliability evaluation of electric power system with solar photovoltaic & energy storage. In Proceedings of the 2014 International Conference, Durham, UK, 7–10 July 2014. [Google Scholar]
  55. Al-Shetwi, A.; Hannan, M.; Jern, K.; Mansur, M.; Mahalia, T. Grid-connected renewable energy sources: Review of the recent integration requirements and control methods. J. Clean. Prod. 2020, 253, 119831. [Google Scholar] [CrossRef]
  56. Denholm, P.; Margolis, R.M. Evaluating the limits of solar photovoltaics (PV) in traditional electric power systems. Energy Policy 2007, 35, 2852–2861. [Google Scholar] [CrossRef]
  57. Wiser, R.; Barbose, G.; Holt, E. Supporting solar power in renewables portfolio standards: Experience from the United States. Energy Policy 2011, 39, 3894–3905. [Google Scholar] [CrossRef]
  58. Saxena, A.; Shankar, R.; El-Saadany, E.; Kumar, M.; Al Zaabi, O.; Al Hosani, K.; Muduli, U.R. Intelligent Load Forecasting and Renewable Energy Integration for Enhanced Grid Reliability. IEEE Trans. Ind. Appl. 2024, 60, 8403–8417. [Google Scholar] [CrossRef]
  59. Chernozhukov, V.; Hansen, C. An IV model of quantile treatment effects. Econometrica 2005, 73, 245–261. [Google Scholar] [CrossRef]
  60. Hess, D.J. Political Ideology and the Green Energy Transition in the United States. In Environmental Innovation and Societal Transitions; Routledge: London, UK, 2014; Volume 13, pp. 46–59. [Google Scholar]
  61. Mastisoff, D. The adoption of state climate change policies and renewable portfolio standards: Regional diffusion or internal determinants? Rev. Policy Res. 2008, 25, 527–546. [Google Scholar] [CrossRef]
  62. Yin, H.; Powers, N. Do State Renewable Portfolio Standards Promote In-State Renewable Generation? Energy Policy 2010, 38, 1140–1149. [Google Scholar] [CrossRef]
  63. Kato, K.; Galvao, A.F., Jr.; Montes-Rojas, G. Asymptotics for panel quantile regression models with individual effects. J. Econom. 2012, 107, 76–91. [Google Scholar] [CrossRef]
  64. Ajinjeru, C.; Odukomaiya, A.; Omitaomu, O. Development of a modeling framework to forecast power demands in developing regions: Proof of concept using Uganda. In Proceedings of the IEEE PES PowerAfrica, Accra, Ghana, 27–30 June 2017. [Google Scholar]
  65. Nugraha, A.T.; Prayitno, G.; Situmorang, M.E.; Nasution, A. The role of infrastructure in economic growth and income inequality in Indonesia. Econ. Sociol. 2020, 13, 102–115. [Google Scholar] [CrossRef]
  66. Calderón, C.; Servén, L. The Effects of Infrastructure Development on Growth and Income Distribution; World Bank: Washington, DC, USA, 2004. [Google Scholar]
  67. Barbose, G.; Wiser, R.; Heeter, J.; Mai, T.; Bird, L.; Bolinger, M.; Carpenter, A.; Heath, G.; Keyser, D.; Macknick, J.; et al. A retrospective analysis of benefits and impacts of US renewable portfolio standards. Energy Policy 2016, 96, 645–660. [Google Scholar] [CrossRef]
Figure 1. Boxplot of grid reliability measures by the RPS status.
Figure 1. Boxplot of grid reliability measures by the RPS status.
Energies 17 06065 g001
Figure 2. Quantile coefficient plots of the RPS impact on grid reliability measures.
Figure 2. Quantile coefficient plots of the RPS impact on grid reliability measures.
Energies 17 06065 g002
Table 1. Descriptive statistics.
Table 1. Descriptive statistics.
VariableMeanStd. Dev.Min.Max.
Renewable Portfolio Standards (RPSs)0.610.4901
SAIDI w/ MEDs5.470.8908.68
SAIDI w/o MEDs4.750.6006.30
SAIFI w/ MEDs0.880.2201.81
SAIFI w/o MEDs0.740.1801.48
CAIDI w/ MEDs5.150.7007.47
CAIDI w/o MEDs4.660.4805.66
Population8.301.006.3610.58
Total Energy Consumption14.060.9411.7316.48
Electricity Price2.370.291.963.68
Instruments
Democrats’ Participation Rate44.6718.4310.4893.42
Real Average Household Income11.180.1710.5911.60
Total Renewable Energy Capacity8.441.224.3511.55
Observations500500500500
Note: All values are presented logarithmically, except the binary variables ‘RPSs’ and the Democrats’ Participation Rate. Here, ‘w/’ indicates ‘with’ and ‘w/o’ indicates ‘without’.
Table 2. Power correlation matrix with significance levels.
Table 2. Power correlation matrix with significance levels.
VariablesRPSsDMOHHRENSAIDI w/ MEDsSAIDI w/o MEDsSAIFI w/ MEDsSAIFI w/o MEDsCAIDI w/ MEDsCAIDI w/o MEDsPopECEP
RPSs1.000
DMO0.654 ***1.000
HH0.446 ***0.386 ***1.000
REN0.102 **−0.186 ***0.0301.000
SAIDI w/ MEDs−0.138 ***−0.164 ***−0.170 ***0.0121.000
SAIDI w/o MEDs−0.236 ***−0.308 ***−0.316 ***0.0440.729 ***1.000
SAIFI w/ MEDs−0.316 ***−0.235 ***−0.304 ***−0.087 *0.780 ***0.764 ***1.000
SAIFI w/o MEDs−0.367 ***−0.287 ***−0.375 ***−0.127 ***0.553 ***0.817 ***0.879 ***1.000
CAIDI w/ MEDs−0.022−0.115 ***−0.0700.0690.933 ***0.621 ***0.518 ***0.292 ***1.000
CAIDI w/o MEDs−0.057−0.232 ***−0.150 ***0.155 ***0.659 ***0.8510.427 ***0.411 ***0.735 ***1.000
Pop0.211 ***0.098 **−0.0110.511 ***0.087 *−0.007−0.135 ***−0.200 ***0.187 ***0.140 ***1.000
EC−0.007−0.149 ***−0.134 ***0.551 ***0.140 ***0.105 **−0.016−0.055 ***0.200 ***0.192 ***0.920 ***1.000
EP0.378 ***0.642 ***0.457 ***−0.308 ***−0.177 ***−0.347 ***−0.132 ***−0.174 ***−0.204 ***−0.392 ***−0.083 *−0.283 ***1.000
Sources: Authors. Standard errors in parentheses. * p < 0.10, ** p < 0.05, and *** p < 0.01. ‘RPSs’ stands for ‘Renewable Portfolio Standards’; ‘DMO’ stands for ‘Democrats’ Participation Rate’; ‘HH’ refers to the ‘Real Average Household Income’; ‘REN’ refers to the ‘Renewable Energy Capacity’; ‘EC’ refers to the ‘Energy Consumption’; ‘EP’ refers to the ‘Electricity Price’. Here, ‘w/’ indicates ‘with’ and ‘w/o’ indicates ‘without’.
Table 3. First-stage 2SLS estimated table for six grid reliability measures.
Table 3. First-stage 2SLS estimated table for six grid reliability measures.
VariableSAIDI
W/ MEDs
SAIDI
W/o MEDs
SAIFI
W/ MEDs
SAIFI
W/o MEDs
CAIDI
W/ MEDs
CAIDI
W/o MEDs
Instruments:
Democrats’ Participation Rate0.014 ***
(0.001)
0.014 ***
(0.001)
0.014 ***
(0.001)
0.014 ***
(0.001)
0.014 ***
(0.001)
0.014 ***
(0.001)
Real Average HH Income 0.625 ***
(0.010)
0.621 ***
(0.10)
0.606 ***
(0.100)
0.604 ***
(0.101)
0.599 ***
(0.101)
0.562 ***
(0.103)
Total Renewable Energy Capacity0.067 ***
(0.015)
0.067 ***
(0.015)
0.066 ***
(0.015)
0.066 ***
(0.015)
0.069 ***
(0.015)
0.067 ***
(0.015)
Control Variables:
Population 0.273 ***
(0.048)
0.281 ***
(0.049)
0.253 ***
(0.050)
0.254 ***
(0.050)
0.270 ***
(0.048)
0.274 ***
(0.048)
Total Energy Consumption−0.284 ***
(0.053)
−0.293 ***
(0.053)
−0.263 ***
(0.054)
−0.264 ***
(0.055)
−0.286 ***
(0.052)
−0.291 ***
(0.052)
Electricity Price −0.219 ***
(0.075)
−0.214 ***
(0.075)
−0.204 ***
(0.075)
−0.207 ***
(0.076)
−0.209 ***
(0.075)
−0.179 ***
(0.076)
Grid Reliability Measures× Per Capita GDP0.001
(0.004)
0.007
(0.006)
−0.028
(0.018)
−0.028
(0.023)
0.007
(0.005)
0.019 **
(0.008)
F-Statistic for Instruments84.9285.2585.6585.3585.3886.70
R-Squared0.54710.54810.54930.54840.54850.5523
Observations500500500500500500
Sources: Authors. Standard errors in parentheses. ** p < 0.05, and *** p < 0.01. ‘RPSs’ stands for ‘Renewable Portfolio Standards’. Here, ‘w/’ indicates ‘with’ and ‘w/o’ indicates ‘without’.
Table 4. IV quantile regression: RPS impact on grid reliability (2013–2022).
Table 4. IV quantile regression: RPS impact on grid reliability (2013–2022).
Dependent Variableτ = 0.10τ = 0.25τ = 0.50τ = 0.75τ = 0.90
SAIDI w/ MEDs
Predicted RPS−0.438 ***
(0.072)
−0.430 ***
(0.052)
−0.473 ***
(0.045)
−0.552 ***
(0.050)
−0.630 ***
(0.053)
Population 0.329 ***
(0.64)
0.371 ***
(0.045)
0.328 ***
(0.049)
0.257 **
(0.044)
0.257 ***
(0.047)
Energy Consumption −0.249 ***
(0.067)
−0.339 ***
(0.048)
−0.395 ***
(0.041)
−0.334 ***
(0.047)
−0.367 ***
(0.049)
Electricity Price −0.287 ***
(0.071)
−0.349 ***
(0.051)
−0.359 ***
(0.044)
−0.186 ***
(0.049)
−0.182 ***
(0.052)
SAIDI w/ *Per Capita GDP0.220 ***
(0.005)
0.232 ***
(0.030)
0.238 ***
(0.003)
0.245 ***
(0.003)
0.247 ***
(0.03)
SAIDI w/o MEDs
Predicted RPS0.414 ***
(0.053)
−0.336 ***
(0.101)
−0.500 ***
(0.129)
−0.622 ***
(0.197)
−0.507 ***
(0.051)
Population 0.330 ***
(0.047)
0.408 ***
(0.090)
0.450 ***
(0.115)
0.783 ***
(0.176)
0.218 ***
(0.046)
Energy Consumption−0.265 ***
(0.050)
−0.332 ***
(0.095)
−0.418 ***
(0.121)
−0.758 ***
(0.185)
−0.311 ***
(0.048)
Electricity Price −0.400 ***
(0.052)
−0.258 **
(0.010)
−0.183
(0.127)
−0.030
(0.194)
−0.194 ***
(0.050)
SAIDI w/o *Per Capita GDP0.207 ***
(0.005)
0.244 ***
(0.010)
0.264 ***
(0.013)
0.302 ***
(0.020)
0.247 ***
(0.005)
SAIFI w/ MEDs
Predicted RPS−0.078 ***
(0.011)
−0.070 ***
(0.009)
−0.066 ***
(0.008)
−0.082 ***
(0.009)
−0.097 ***
(0.013)
Population 0.056 ***
(0.010)
0.059 ***
(0.007)
0.059 ***
(0.007)
0.053 ***
(0.008)
0.041 ***
(0.011)
Energy Consumption−0.044 ***
(0.010)
−0.054 ***
(0.008)
−0.069 ***
(0.008)
−0.067 ***
(0.008)
−0.060 ***
(0.011)
Electricity Price−0.054 ***
(0.011)
−0.051 ***
(0.008)
−0.073 ***
(0.008)
−0.049 ***
(0.009)
−0.024 ***
(0.013)
SAIFI w/ *Per Capita GDP0.229 ***
(0.003)
0.240 ***
(0.002)
0.252 ***
(0.002)
0.258 ***
(0.002)
0.256 ***
(0.004)
SAIFI w/o MEDs
Predicted RPS−0.065 ***
(0.010)
−0.057 ***
(0.006)
−0.055 ***
(0.007)
−0.067 ***
(0.008)
−0.076 ***
(0.009)
Population0.043 ***
(0.009)
0.050 ***
(0.006)
0.053 ***
(0.006)
0.046 ***
(0.007)
0.030 ***
(0.008)
Energy Consumption−0.032 ***
(0.009)
−0.047 ***
(0.006)
−0.061 *
(0.006)
−0.058 ***
(0.007)
−0.047 ***
(0.009)
Electricity Price −0.038 ***
(0.010)
−0.043 ***
(0.006)
−0.063 ***
(0.007)
−0.044 ***
(0.007)
−0.016 *
(0.069)
SAIFI w/o *Per Capita GDP0.229 ***
(0.003)
0.240 ***
(0.002)
0.254 ***
(0.002)
0.259 ***
(0.003)
0.256 ***
(0.003)
CAIDI w/ MEDs
Predicted RPS−0.397 ***
(0.068)
−0.361 ***
(0.048)
−0.432 ***
(0.042)
−0.478 ***
(0.050)
−0.552 ***
(0.047)
Population 0.313 ***
(0.059)
0.319 ***
(0.041)
0.305 ***
(0.036)
0.254 ***
(0.043)
0.252 ***
(0.040)
Energy Consumption−0.246 ***
(0.062)
−0.296 ***
(0.044)
−0.361 ***
(0.038)
−0.330 ***
(0.046)
−0.351 ***
(0.043)
Electricity Price −0.262 ***
(0.066)
−0.334 ***
(0.046)
−0.333 ***
(0.041)
−0.263 ***
(0.048)
−0.222 ***
(0.045)
CAIDI w/ *Per Capita GDP0.218 ***
(0.005)
0.222 ***
(0.004)
0.231 ***
(0.003)
0.240 ***
(0.004)
0.247 ***
(0.004)
CAIDI w/o MEDs
Predicted RPS−0.375 ***
(0.051)
−0.314 ***
(0.044)
−0.351 ***
(0.036)
−0.293 ***
(0.048)
−0.447 ***
(0.045)
Population 0.315 ***
(0.043)
0.289 ***
(0.036)
0.249 ***
(0.030)
0.143 ***
(0.041)
0.214 ***
(0.039)
Energy Consumption−0.255 ***
(0.045)
−0.268 **
(0.040)
−0.295 ***
(0.032)
−0.210 ***
(0.043)
−0.312 ***
(0.041)
Electricity Price −0.442 ***
(0.049)
−0.334 ***
(0.042)
−0.340 ***
(0.034)
−0.252 ***
(0.046)
−0.252 ***
(0.044)
CAIDI w/o *Per Capita GDP0.208 ***
(0.006)
0.213 ***
(0.005)
0.200 ***
(0.004)
0.200 ***
(0.006)
0.248 ***
(0.005)
Sources: Authors. Standard errors in parentheses. * p < 0.10, ** p < 0.05, and *** p < 0.01. ‘RPSs’ stands for ‘Renewable Portfolio Standards’. Here, ‘w/’ indicates ‘with’ and ‘w/o’ indicates ‘without’.
Disclaimer/Publisher’s Note: The statements, opinions and data contained in all publications are solely those of the individual author(s) and contributor(s) and not of MDPI and/or the editor(s). MDPI and/or the editor(s) disclaim responsibility for any injury to people or property resulting from any ideas, methods, instructions or products referred to in the content.

Share and Cite

MDPI and ACS Style

Singh, S.B.; Alsabhan, T.H.; Alshagri, R. Evaluating the Policy Implications of Renewable Portfolio Standards on Grid Reliability in the United States: An Instrumental Variable Quantile Analysis. Energies 2024, 17, 6065. https://doi.org/10.3390/en17236065

AMA Style

Singh SB, Alsabhan TH, Alshagri R. Evaluating the Policy Implications of Renewable Portfolio Standards on Grid Reliability in the United States: An Instrumental Variable Quantile Analysis. Energies. 2024; 17(23):6065. https://doi.org/10.3390/en17236065

Chicago/Turabian Style

Singh, Sanjay B., Talal H. Alsabhan, and Reem Alshagri. 2024. "Evaluating the Policy Implications of Renewable Portfolio Standards on Grid Reliability in the United States: An Instrumental Variable Quantile Analysis" Energies 17, no. 23: 6065. https://doi.org/10.3390/en17236065

APA Style

Singh, S. B., Alsabhan, T. H., & Alshagri, R. (2024). Evaluating the Policy Implications of Renewable Portfolio Standards on Grid Reliability in the United States: An Instrumental Variable Quantile Analysis. Energies, 17(23), 6065. https://doi.org/10.3390/en17236065

Note that from the first issue of 2016, this journal uses article numbers instead of page numbers. See further details here.

Article Metrics

Back to TopTop