Chemistry of Ammonia/Hydrogen and Ammonia/n-Heptane Fuels: Reaction Mechanism Updating and Chemical Kinetic Analysis
Abstract
1. Introduction
2. Simulation and Analysis Methods
3. Development of the Chemical Kinetic Models
3.1. Comparisons of Ammonia/Hydrogen Kinetic Models
3.1.1. Ignition Delay Times
3.1.2. Species Concentrations in Oxidation Process
3.1.3. Laminar Burning Velocity
3.2. Development of Ammonia/Hydrogen Kinetic Models
3.3. Development of Ammonia/n-Heptane Kinetic Model
4. Results and Discussion
4.1. Validation of Chemical Kinetic Models
4.1.1. Ignition, Oxidation, and Laminar Burning Velocity of Ammonia/Hydrogen Fuel
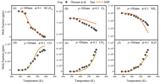
4.1.2. Ignition and Oxidation of Ammonia/n-Heptane Fuel
4.2. Reaction Pathway and Sensitivity Analyses of Ignition for Ammonia/Hydrogen Fuel
4.3. Roles of C3–C7/N Reactions in Ammonia/n-Heptane Models
5. Conclusions
- (1)
- Comprehensive comparisons of modeled results of IDTs, species concentrations, and LBVs from various ammonia/hydrogen mechanisms reveal with the corresponding experimental values that the existing mechanisms exhibit high prediction accuracy only within a limited condition range.
- (2)
- The newly constructed AHY mechanism for ammonia and ammonia/hydrogen combustion incorporates essential reactions from the ammonia combustion process and adjusts the reaction rates accordingly. The consistency of this mechanism with existing IDTs, LBVs, and oxidation experimental data has been validated.
- (3)
- Based on the AHY mechanism, a new ammonia/diesel mechanism was developed by integrating the n-heptane mechanism and C1–C7/N reactions, resulting in a mechanism that includes 1351 species and 6227 reactions. Validation is conducted using experimental data, which demonstrates that the ammonia/diesel mechanism is effective in predicting ignition and oxidation across a broad range.
- (4)
- A reaction pathway and sensitivity analysis for the AHY mechanism concerning ammonia and ammonia/hydrogen fuel were conducted. The result indicates that the main oxidation reaction pathways of the mechanism remain largely consistent, although some pathway fluxes exhibit variations. Additionally, the sensitivity of reactions affecting ignition delay times is generally consistent.
- (5)
- The nC7H16-NH2 reaction was identified as a significant reaction influencing the IDTs through an investigation of the C-N reaction. In contrast, the reactions R + NO2 = RO + NO; RH + NO2 = R + HONO; R + HNO = RH + NO; RO2 + NO = RO + NO2, as well as C3–C6 + NH2, were found to have minimal impacts on IDTs.
Supplementary Materials
Author Contributions
Funding
Institutional Review Board Statement
Data Availability Statement
Conflicts of Interest
References
- Yapicioglu, A.; Dincer, I. A Review on Clean Ammonia as a Potential Fuel for Power Generators. Renew. Sustain. Energy Rev. 2019, 103, 96–108. [Google Scholar] [CrossRef]
- Aziz, M.; Wijayanta, A.T.; Nandiyanto, A.B.D. Ammonia as Effective Hydrogen Storage: A Review on Production, Storage and Utilization. Energies 2020, 13, 3062. [Google Scholar] [CrossRef]
- Valera-Medina, A.; Xiao, H.; Owen-Jones, M.; David, W.I.F.; Bowen, P.J. Ammonia for Power. Prog. Energy Combust. Sci. 2018, 69, 63–102. [Google Scholar] [CrossRef]
- IPCC. The Physical Science Basis. Climate Change; Cambridge University Press: Cambridge, UK; New York, NY, USA, 2021. [Google Scholar]
- Park, Y.-K.; Kim, B.-S. Catalytic Removal of Nitrogen Oxides (NO, NO2, N2O) from Ammonia-Fueled Combustion Exhaust: A Review of Applicable Technologies. Chem. Eng. J. 2023, 461, 141958. [Google Scholar] [CrossRef]
- Chen, Z.; Dai, P.; Chen, S. A Model for the Laminar Flame Speed of Binary Fuel Blends and Its Application to Methane/Hydrogen Mixtures. Int. J. Hydrogen Energy 2012, 37, 10390–10396. [Google Scholar] [CrossRef]
- Otomo, J.; Koshi, M.; Mitsumori, T.; Iwasaki, H.; Yamada, K. Chemical Kinetic Modeling of Ammonia Oxidation with Improved Reaction Mechanism for Ammonia/Air and Ammonia/Hydrogen/Air Combustion. Int. J. Hydrogen Energy 2018, 43, 3004–3014. [Google Scholar] [CrossRef]
- Shrestha, K.P.; Lhuillier, C.; Barbosa, A.A.; Brequigny, P.; Contino, F.; Mounaïm-Rousselle, C.; Seidel, L.; Mauss, F. An Experimental and Modeling Study of Ammonia with Enriched Oxygen Content and Ammonia/Hydrogen Laminar Flame Speed at Elevated Pressure and Temperature. Proc. Combust. Inst. 2021, 38, 2163–2174. [Google Scholar] [CrossRef]
- Stagni, A.; Arunthanayothin, S.; Dehue, M.; Herbinet, O.; Battin-Leclerc, F.; Bréquigny, P.; Mounaïm-Rousselle, C.; Faravelli, T. Low- and Intermediate-Temperature Ammonia/Hydrogen Oxidation in a Flow Reactor: Experiments and a Wide-Range Kinetic Modeling. Chem. Eng. J. 2023, 471, 144577. [Google Scholar] [CrossRef]
- Zhang, X.; Moosakutty, S.P.; Rajan, R.P.; Younes, M.; Sarathy, S.M. Combustion Chemistry of Ammonia/Hydrogen Mixtures: Jet-Stirred Reactor Measurements and Comprehensive Kinetic Modeling. Combust. Flame 2021, 234, 111653. [Google Scholar] [CrossRef]
- Bertolino, A.; Fürst, M.; Stagni, A.; Frassoldati, A.; Pelucchi, M.; Cavallotti, C.; Faravelli, T.; Parente, A. An Evolutionary, Data-Driven Approach for Mechanism Optimization: Theory and Application to Ammonia Combustion. Combust. Flame 2021, 229, 111366. [Google Scholar] [CrossRef]
- Stagni, A.; Cavallotti, C.; Arunthanayothin, S.; Song, Y.; Herbinet, O.; Battin-Leclerc, F.; Faravelli, T. An Experimental, Theoretical and Kinetic-Modeling Study of the Gas-Phase Oxidation of Ammonia. React. Chem. Eng. 2020, 5, 696–711. [Google Scholar] [CrossRef]
- Gotama, G.J.; Hayakawa, A.; Okafor, E.C.; Kanoshima, R.; Hayashi, M.; Kudo, T.; Kobayashi, H. Measurement of the Laminar Burning Velocity and Kinetics Study of the Importance of the Hydrogen Recovery Mechanism of Ammonia/Hydrogen/Air Premixed Flames. Combust. Flame 2022, 236, 111753. [Google Scholar] [CrossRef]
- Han, X.; Wang, Z.; He, Y.; Zhu, Y.; Cen, K. Experimental and Kinetic Modeling Study of Laminar Burning Velocities of NH3/Syngas/Air Premixed Flames. Combust. Flame 2020, 213, 1–13. [Google Scholar] [CrossRef]
- Zhou, S.; Cui, B.; Yang, W.; Tan, H.; Wang, J.; Dai, H.; Li, L.; ur Rahman, Z.; Wang, X.; Deng, S.; et al. An Experimental and Kinetic Modeling Study on NH3/Air, NH3/H2/Air, NH3/CO/Air, and NH3/CH4/Air Premixed Laminar Flames at Elevated Temperature. Combust. Flame 2023, 248, 112536. [Google Scholar] [CrossRef]
- Zhou, C.-W.; Li, Y.; Burke, U.; Banyon, C.; Somers, K.P.; Ding, S.; Khan, S.; Hargis, J.W.; Sikes, T.; Mathieu, O.; et al. An Experimental and Chemical Kinetic Modeling Study of 1,3-Butadiene Combustion: Ignition Delay Time and Laminar Flame Speed Measurements. Combust. Flame 2018, 197, 423–438. [Google Scholar] [CrossRef]
- Glarborg, P.; Miller, J.A.; Ruscic, B.; Klippenstein, S.J. Modeling Nitrogen Chemistry in Combustion. Prog. Energy Combust. Sci. 2018, 67, 31–68. [Google Scholar] [CrossRef]
- Singh, A.S.; Mohapatra, S.; Boyapati, R.; Elbaz, A.M.; Dash, S.K.; Roberts, W.L.; Reddy, V.M. Chemical Kinetic Modeling of the Autoignition Properties of Ammonia at Low–Intermediate Temperature and High Pressure Using a Newly Proposed Reaction Mechanism. Energy Fuels 2021, 35, 13506–13522. [Google Scholar] [CrossRef]
- Singh, A.S.; Dash, S.K.; Reddy, V.M. Chemical Kinetic Analysis on Influence of Hydrogen Enrichment on the Combustion Characteristics of Ammonia Air Using Newly Proposed Reaction Model. Int. J. Energy Res. 2022, 46, 6144–6163. [Google Scholar] [CrossRef]
- Girhe, S.; Snackers, A.; Lehmann, T.; Langer, R.; Loffredo, F.; Glaznev, R.; Beeckmann, J.; Pitsch, H. Ammonia and Ammonia/Hydrogen Combustion: Comprehensive Quantitative Assessment of Kinetic Models and Examination of Critical Parameters. Combust. Flame 2024, 267, 113560. [Google Scholar] [CrossRef]
- Yu, L.; Zhou, W.; Feng, Y.; Wang, W.; Zhu, J.; Qian, Y.; Lu, X. The Effect of Ammonia Addition on the Low-Temperature Autoignition of n-Heptane: An Experimental and Modeling Study. Combust. Flame 2020, 217, 4–11. [Google Scholar] [CrossRef]
- Dong, S.; Wang, B.; Jiang, Z.; Li, Y.; Gao, W.; Wang, Z.; Cheng, X.; Curran, H.J. An Experimental and Kinetic Modeling Study of Ammonia/n-Heptane Blends. Combust. Flame 2022, 246, 112428. [Google Scholar] [CrossRef]
- Thorsen, L.S.; Jensen, M.S.T.; Pullich, M.S.; Christensen, J.M.; Hashemi, H.; Glarborg, P.; Alekseev, V.A.; Nilsson, E.J.K.; Wang, Z.; Mei, B.; et al. High Pressure Oxidation of NH3/n-Heptane Mixtures. Combust. Flame 2023, 254, 112785. [Google Scholar] [CrossRef]
- Pan, J.; Tang, R.; Wang, Z.; Gao, J.; Xu, Q.; Shu, G.; Wei, H. An Experimental and Modeling Study on the Oxidation of Ammonia and N-Heptane with JSR. Proc. Combust. Inst. 2023, 39, 477–485. [Google Scholar] [CrossRef]
- Zhang, K.; Banyon, C.; Bugler, J.; Curran, H.J.; Rodriguez, A.; Herbinet, O.; Battin-Leclerc, F.; B’Chir, C.; Heufer, K.A. An Updated Experimental and Kinetic Modeling Study of N-Heptane Oxidation. Combust. Flame 2016, 172, 116–135. [Google Scholar] [CrossRef]
- Wang, B.; Dong, S.; Jiang, Z.; Gao, W.; Wang, Z.; Li, J.; Yang, C.; Wang, Z.; Cheng, X. Development of a Reduced Chemical Mechanism for Ammonia/n-Heptane Blends. Fuel 2023, 338, 127358. [Google Scholar] [CrossRef]
- Xu, L.; Chang, Y.; Treacy, M.; Zhou, Y.; Jia, M.; Bai, X.-S. A Skeletal Chemical Kinetic Mechanism for Ammonia/n-Heptane Combustion. Fuel 2023, 331, 125830. [Google Scholar] [CrossRef]
- Chang, Y.; Jia, M.; Wang, P.; Niu, B.; Liu, J. Construction and Derivation of a Series of Skeletal Chemical Mechanisms for N-Alkanes with Uniform and Decoupling Structure Based on Reaction Rate Rules. Combust. Flame 2022, 236, 111785. [Google Scholar] [CrossRef]
- Chen, J.; Jiang, X.; Qin, X.; Huang, Z. Effect of Hydrogen Blending on the High Temperature Auto-Ignition of Ammonia at Elevated Pressure. Fuel 2021, 287, 119563. [Google Scholar] [CrossRef]
- Mei, B.; Zhang, X.; Ma, S.; Cui, M.; Guo, H.; Cao, Z.; Li, Y. Experimental and Kinetic Modeling Investigation on the Laminar Flame Propagation of Ammonia under Oxygen Enrichment and Elevated Pressure Conditions. Combust. Flame 2019, 210, 236–246. [Google Scholar] [CrossRef]
- Han, X.; Wang, Z.; Costa, M.; Sun, Z.; He, Y.; Cen, K. Experimental and Kinetic Modeling Study of Laminar Burning Velocities of NH3/Air, NH3/H2/Air, NH3/CO/Air and NH3/CH4/Air Premixed Flames. Combust. Flame 2019, 206, 214–226. [Google Scholar] [CrossRef]
- Lhuillier, C.; Brequigny, P.; Lamoureux, N.; Contino, F.; Mounaïm-Rousselle, C. Experimental Investigation on Laminar Burning Velocities of Ammonia/Hydrogen/Air Mixtures at Elevated Temperatures. Fuel 2020, 263, 116653. [Google Scholar] [CrossRef]
- Han, X.; Wang, Z.; He, Y.; Liu, Y.; Zhu, Y.; Konnov, A.A. The Temperature Dependence of the Laminar Burning Velocity and Superadiabatic Flame Temperature Phenomenon for NH3/Air Flames. Combust. Flame 2020, 217, 314–320. [Google Scholar] [CrossRef]
- Hayakawa, A.; Goto, T.; Mimoto, R.; Arakawa, Y.; Kudo, T.; Kobayashi, H. Laminar Burning Velocity and Markstein Length of Ammonia/Air Premixed Flames at Various Pressures. Fuel 2015, 159, 98–106. [Google Scholar] [CrossRef]
- Takizawa, K.; Takahashi, A.; Tokuhashi, K.; Kondo, S.; Sekiya, A. Burning Velocity Measurements of Nitrogen-Containing Compounds. J. Hazard. Mater. 2008, 155, 144–152. [Google Scholar] [CrossRef]
- Li, Y.; Bi, M.; Li, B.; Gao, W. Explosion Behaviors of Ammonia–Air Mixtures. Combust. Sci. Technol. 2018, 190, 1804–1816. [Google Scholar] [CrossRef]
- Wang, S.; Wang, Z.; Elbaz, A.M.; Han, X.; He, Y.; Costa, M.; Konnov, A.A.; Roberts, W.L. Experimental Study and Kinetic Analysis of the Laminar Burning Velocity of NH3/Syngas/Air, NH3/CO/Air and NH3/H2/Air Premixed Flames at Elevated Pressures. Combust. Flame 2020, 221, 270–287. [Google Scholar] [CrossRef]
- Octave Levenspiel. Chemical Reaction Engineering. Ind. Eng. Chem. Res. 1999, 38, 4140–4143. [Google Scholar] [CrossRef]








| Mechanisms | Nos. of Species and Reactions | Fuel |
|---|---|---|
| Zhang Mech. | 38/263 | NH3/H2 |
| Stagni Mech. | 31/203 | NH3/H2 |
| Gotama Mech. | 26/119 | NH3/H2 |
| Otomo Mech. | 32/213 | NH3/H2 |
| Shrestha Mech. | 125/1099 | NH3, H3/H2 |
| Han Mech. | 35/177 | NH3, NH3/CO, NH3/CH4, NH3/H2 |
| Zhou Mech. | 169/1268 | NH3, NH3/CO, NH3/CH4, NH3/H2 |
| Bertolino Mech. | 31/203 | NH3 |
| Singh Mech. | 32/259 | NH3/H2 |
| Reactions | A | n | Ea | Comment |
|---|---|---|---|---|
| 1.5 × 1014 | 0.167 | 0 | [23] |
| 1.2 × 1000 | 3.839 | 17,260 | [23] |
| 6.0 × 1018 | −1.9135 | 306 | [23] |
| 5.9 × 107 | 1.592 | −1373 | [23] |
| 1.0 × 1012 | 0.1662 | −938 | [23] |
| 2.2 × 109 | 0.7906 | −1428 | [23] |
| 6.4 × 103 | 2.340 | −3200 | [23] |
| 1.1 × 1012 | 0.110 | −1186 | [23] |
| −4.3 × 1017 | −1.874 | 588 | [23] |
| 4.3 × 1017 | −1.874 | 588 | [23] |
| 8.0 × 1011 | 0.000 | 6000 | [23] |
| 8.0 × 1011 | 0.000 | 6000 | [23] |
| 1.930 × 10−2 | 4.12 | −4960 | [23] |
| 6.410 × 1017 | −1.54 | 8540 | [23] |
| 1.1 × 1014 | −0.300 | 0 | [23] |
| 2.0 × 106 | 2.040 | 566 | [23] |
| 7.260 × 1014 | −0.235 | 15,928.7 | [23] |
| 2.5052 × 103 | 4.80 | 7.0340 × 103 | [22] |
| 2.8424 × 1014 | 0.00 | 1.3194 × 104 | [22] |
| 4.06 × 104 | 2.58 | 6540.0 | [15] (A × 2) |
| 5.31 × 1013 | 0.0 | 295.0 | [15] (A × 0.75) |
| 9.9 × 1014 | −0.5 | 0.0 | [15] (A × 1.5) |
| 9.64 × 108 | 1.76 | 739.2384 | [15] (A × 2) |
| 1.4 × 1013 | 1.2 | 7.01 × 104 | [15] (A × 0.5) |
| 5.0 × 1010 | 0.5 | 2.16 × 104 | [15] (A × 0.5) |
| 221.5 | 3.18 | 6739.9 | [15] (A × 0.5) |
| 1.3 × 1011 | 0.4872 | 2.905 × 104 | [15] (A × 0.5) |
| 3.4 × 108 | 1.62 | 1.1783 × 104 | [15] (A × 2) |
| 3.5 × 1012 | 0.0 | 0.0 | [15] (A × 0.5) |
| 2.8 | 3.53 | 552.0 | [15] A × 0.5) |
| 2.8 × 1014 | −0.414 | 66.0 | [15] (A × 0.5) |
| 2.25 × 108 | 0.79 | 1190.0 | [15] (A × 0.5) |
| 4.0 × 1013 | 0.0 | 1.6 × 104 | [15] (A × 2) |
| 1.84 × 1014 | 0.0 | 0.0 | [15] (A × 2) |
| 6.06 × 104 | 2.52 | −616.032 | [15] (A × 1.5) |
| 1.09 × 1014 | 0.0 | 4.95 × 104 | [15] (A × 0.5) |
| 1.6 × 1014 | −0.376 | −46.0 | [15] (A × 0.5) |
| 3.3 × 1011 | 0.71 | 931.0 | [15] (A × 2) |
| Categories | Species |
|---|---|
| R | C7H15-1, C7H15-2, C7H15-3, C7H15-4, C6H13-1, C6H13-2, C6H13-3, C5H11-1, C5H11-2, C5H11-3, nC3H7, IC3H7, PC4H9, SC4H9, C2H5 |
| RH | nC7H16, C7H14-1, C7H14-2, C7H14-3, NC6H14, C6H12-1, C6H12-2, C6H12-3, nC5H12, C5H10-1, C5H10-2, C4H10, C4H8-1, C4H8-2, C3H8, C3H6, C4H10, IC4H10 |
| RO2 | C5H11O2-1, C5H11O2-2, C5H11O2-3, C2H5O2, IC3H7O2, NC3H7O2, PC4H9O2, SC4H9O2, C6H13O2-1, C6H13O2-2, C6H13O2-3, C7H15-1O2, C7H15-2O2, C7H15-3O2, C7H15-4O2 |
Disclaimer/Publisher’s Note: The statements, opinions and data contained in all publications are solely those of the individual author(s) and contributor(s) and not of MDPI and/or the editor(s). MDPI and/or the editor(s) disclaim responsibility for any injury to people or property resulting from any ideas, methods, instructions or products referred to in the content. |
© 2024 by the authors. Licensee MDPI, Basel, Switzerland. This article is an open access article distributed under the terms and conditions of the Creative Commons Attribution (CC BY) license (https://creativecommons.org/licenses/by/4.0/).
Share and Cite
Chen, Q.; Lyu, L.; Huang, Y.; Yang, H.; Liang, J.; Zhu, N. Chemistry of Ammonia/Hydrogen and Ammonia/n-Heptane Fuels: Reaction Mechanism Updating and Chemical Kinetic Analysis. Energies 2024, 17, 5956. https://doi.org/10.3390/en17235956
Chen Q, Lyu L, Huang Y, Yang H, Liang J, Zhu N. Chemistry of Ammonia/Hydrogen and Ammonia/n-Heptane Fuels: Reaction Mechanism Updating and Chemical Kinetic Analysis. Energies. 2024; 17(23):5956. https://doi.org/10.3390/en17235956
Chicago/Turabian StyleChen, Qihang, Lin Lyu, Yongzhong Huang, He Yang, Junjie Liang, and Neng Zhu. 2024. "Chemistry of Ammonia/Hydrogen and Ammonia/n-Heptane Fuels: Reaction Mechanism Updating and Chemical Kinetic Analysis" Energies 17, no. 23: 5956. https://doi.org/10.3390/en17235956
APA StyleChen, Q., Lyu, L., Huang, Y., Yang, H., Liang, J., & Zhu, N. (2024). Chemistry of Ammonia/Hydrogen and Ammonia/n-Heptane Fuels: Reaction Mechanism Updating and Chemical Kinetic Analysis. Energies, 17(23), 5956. https://doi.org/10.3390/en17235956
