Thin-Film Photovoltaic Modules Characterisation Based on I-V Measurements Under Outdoor Conditions
Abstract
1. Introduction
2. Materials and Methods
2.1. Experimental Setup
2.2. Methods of Data Processing and Analysis
- —current after translation to standard test conditions, STC (in A);
- —voltage after translation to STC (in V);
- —current at real operating conditions (OPC) before the translation to the STC (in A);
- —short circuit current at OPC (in A);
- —irradiance measured during the I-V sweep at OPC (in W/m2);
- —temperature coefficient of short circuit current at OPC (in A/°C);
- —temperature coefficient of open circuit voltage (in V/) at STC (provided by the manufacturer);
- —module temperature during the I-V measurement at OPC (°C);
- —series resistance of the PV module (Ω) at OPC;
- —temperature coefficient of series resistance (Ω/°C).
- —experimental output power corrected to the temperature of 25 °C (in W);
- —experimental peak power at standard test conditions (in W).
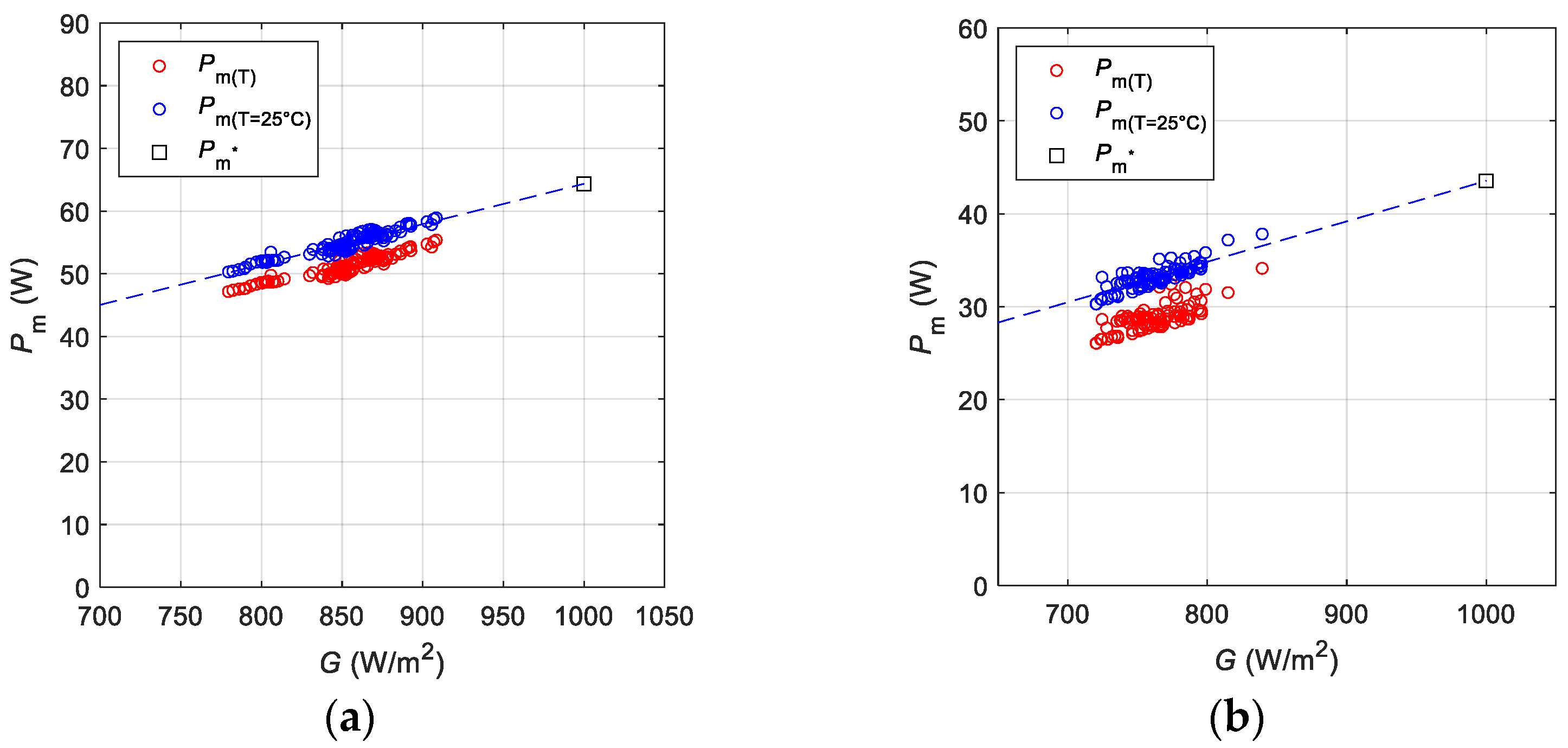
3. Results and Discussion
4. Conclusions
Author Contributions
Funding
Data Availability Statement
Acknowledgments
Conflicts of Interest
Appendix A

References
- IEA. World Energy Outlook 2023; International Energy Agency (IEA): Paris, France, 2024. [Google Scholar]
- Davenport, J.; Wayth, N. Statistical Review of World Energy, 73rd ed.; Energy Institute: London, UK, 2024. [Google Scholar]
- IEA. Renewables 2022. Analysis and Forecast to 2027; International Energy Agency (IEA): Paris, France, 2023; p. 159. [Google Scholar]
- Hysa, B.; Mularczyk, A. PESTEL Analysis of the Photovoltaic Market in Poland—A Systematic Review of Opportunities and Threats. Resources 2024, 13, 136. [Google Scholar] [CrossRef]
- Philipps, D.S.; Ise, F.; Warmuth, W.; GmbH, P.P. Photovoltaics Report 2024; Fraunhofer ISE: Freiburg, Germany, 2024. [Google Scholar]
- Nayak, P.K.; Mahesh, S.; Snaith, H.J.; Cahen, D. Photovoltaic solar cell technologies: Analysing the state of the art. Nat. Rev. Mater. 2019, 4, 269–285. [Google Scholar] [CrossRef]
- Reyes-Belmonte, M.A. Quo Vadis Solar Energy Research? Appl. Sci. 2021, 11, 3015. [Google Scholar] [CrossRef]
- Krawczak, E.; Zdyb, A. The Effect of Electrode Immersion Time and Ageing on N719 Dye-Sensitized Solar Cells Performance. J. Ecol. Eng. 2020, 21, 53–60. [Google Scholar] [CrossRef]
- Ollas, P.; Thiringer, T.; Chen, H.; Markusson, C. Increased photovoltaic utilisation from direct current distribution: Quantification of geographical location impact. Prog. Photovolt. Res. Appl. 2021, 29, 846–856. [Google Scholar] [CrossRef]
- Saglam, S. Meteorological Parameters Effects on Solar Energy Power Generation. WSEAS Trans. Circuits Syst. 2010, 9, 637–649. [Google Scholar]
- Perin Gasparin, F.; Detzel Kipper, F.; Schuck de Oliveira, F.; Krenzinger, A. Assessment on the variation of temperature coefficients of photovoltaic modules with solar irradiance. Sol. Energy 2022, 244, 126–133. [Google Scholar] [CrossRef]
- Martínez-Deusa, S.J.; Gómez-García, C.A.; Velasco-Medina, J. A Platform for Outdoor Real-Time Characterization of Photovoltaic Technologies. Energies 2023, 16, 2907. [Google Scholar] [CrossRef]
- Gulkowski, S.; Krawczak, E. Long-Term Energy Yield Analysis of the Rooftop PV System in Climate Conditions of Poland. Sustainability 2024, 16, 3348. [Google Scholar] [CrossRef]
- Krawczak, E. A Comparative Analysis of Measured and Simulated Data of PV Rooftop Installations Located in Poland. Energies 2023, 16, 5975. [Google Scholar] [CrossRef]
- Elibol, E.; Özmen, Ö.T.; Tutkun, N.; Köysal, O. Outdoor performance analysis of different PV panel types. Renew. Sustain. Energy Rev. 2017, 67, 651–661. [Google Scholar] [CrossRef]
- Kusznier, J.; Wojtkowski, W. Impact of climatic conditions on PV panels operation in a photovoltaic power plant. In Proceedings of the 2019 15th Selected Issues of Electrical Engineering and Electronics (WZEE), Zakopane, Poland, 8–10 December 2019; pp. 1–6. [Google Scholar]
- Cañete, C.; Carretero, J.; Sidrach-de-Cardona, M. Energy performance of different photovoltaic module technologies under outdoor conditions. Energy 2014, 65, 295–302. [Google Scholar] [CrossRef]
- Visa, I.; Burduhos, B.; Neagoe, M.; Moldovan, M.; Duta, A. Comparative analysis of the infield response of five types of photovoltaic modules. Renew. Energy 2016, 95, 178–190. [Google Scholar] [CrossRef]
- Mehdi, M.; Ammari, N.; Merrouni, A.A.; Dahmani, M.; Benazzouz, A. Outdoor Experimental Investigation of the Temperature Effect on the Performance of Different PV Modules Materials. Key Eng. Mater. 2023, 954, 111–121. [Google Scholar] [CrossRef]
- Xu, W.; Wang, C.; Lu, C.; Sun, H.; Wang, X.; Sun, Y.; Lv, L. Weak Light Characteristic Acquisition and Analysis of Thin-Film Solar Cells. In Proceedings of the Communications, Signal Processing, and Systems; Liang, Q., Wang, W., Liu, X., Na, Z., Li, X., Zhang, B., Eds.; Springer: Singapore, 2021; pp. 1448–1456. [Google Scholar]
- Perraki, V.; Tsolkas, G. Temperature Dependence on the Photovoltaic Properties of Selected Thin-Film Modules. Int. J. Sustain. Green Energy 2013, 2, 140–146. [Google Scholar] [CrossRef][Green Version]
- Zhu, Y.; Xiao, W. A comprehensive review of topologies for photovoltaic I–V curve tracer. Sol. Energy 2020, 196, 346–357. [Google Scholar] [CrossRef]
- The MathWorks Inc. MATLAB Version: 9.14.0 (R2023a); The MathWorks Inc.: Natick, MA, USA, 2023; Available online: https://www.mathworks.com/ (accessed on 30 September 2024).
- Piliougine, M.; Spagnuolo, G.; Sidrach-de-Cardona, M. Series resistance temperature sensitivity in degraded mono–crystalline silicon modules. Renew. Energy 2020, 162, 677–684. [Google Scholar] [CrossRef]
- Smith, R.M.; Jordan, D.C.; Kurtz, S.R. Outdoor PV Module Degradation of Current-Voltage Parameters; NREL: Denver, CO, USA, 2012; pp. 2547–2554. [Google Scholar]
- Piliougine, M.; Guejia-Burbano, R.A.; Petrone, G.; Sánchez-Pacheco, F.J.; Mora-López, L.; Sidrach-de-Cardona, M. Parameters extraction of single diode model for degraded photovoltaic modules. Renew. Energy 2021, 164, 674–686. [Google Scholar] [CrossRef]
- Montes-Romero, J.; Almonacid, F.; Theristis, M.; de la Casa, J.; Georghiou, G.E.; Fernández, E.F. Comparative analysis of parameter extraction techniques for the electrical characterization of multi-junction CPV and m-Si technologies. Sol. Energy 2018, 160, 275–288. [Google Scholar] [CrossRef]
- IEC 60891:2021—Photovoltaic Devices—Procedures for Temperature and Irradiance Corrections to Measured I-V Characteristics. Available online: https://standards.iteh.ai/catalog/standards/iec/f3c311fd-1810-4281-bb6d-094c2df6e263/iec-60891-2021 (accessed on 28 October 2024).
- Piliougine, M.; Sánchez-Friera, P.; Spagnuolo, G. Comparative of IEC 60891 and Other Procedures for Temperature and Irradiance Corrections to Measured I–V Characteristics of Photovoltaic Devices. Energies 2024, 17, 566. [Google Scholar] [CrossRef]
- Holmgren, W.F.; Hansen, C.W.; Mikofski, M.A. pvlib python: A python package for modeling solar energy systems. J. Open Source Softw. 2018, 3, 884. [Google Scholar] [CrossRef]
- King, D.L.; Kratochvil, J.A.; Boyson, W.E. Temperature coefficients for PV modules and arrays: Measurement methods, difficulties, and results. In Proceedings of the Conference Record of the Twenty Sixth IEEE Photovoltaic Specialists Conference, Anaheim, CA, USA, 29 September–3 October 1997; pp. 1183–1186. [Google Scholar]
- Solís-Alemán, E.M.; de la Casa, J.; Romero-Fiances, I.; Silva, J.P.; Nofuentes, G. A study on the degradation rates and the linearity of the performance decline of various thin film PV technologies. Sol. Energy 2019, 188, 813–824. [Google Scholar] [CrossRef]
- Kichou, S.; Abaslioglu, E.; Silvestre, S.; Nofuentes, G.; Torres-Ramírez, M.; Chouder, A. Study of degradation and evaluation of model parameters of micromorph silicon photovoltaic modules under outdoor long term exposure in Jaén, Spain. Energy Convers. Manag. 2016, 120, 109–119. [Google Scholar] [CrossRef]
- Mikofski, M.A. polyfitZero Version 1.3.0.0. MATLAB Central File Exchange. Available online: https://www.mathworks.com/matlabcentral/fileexchange/35401-polyfitzero (accessed on 15 October 2024).
- Gulkowski, S. Modeling and Experimental Studies of the Photovoltaic System Performance in Climate Conditions of Poland. Energies 2023, 16, 7017. [Google Scholar] [CrossRef]
- Eke, R.; Demircan, H. Performance analysis of a multi crystalline Si photovoltaic module under Mugla climatic conditions in Turkey. Energy Convers. Manag. 2013, 65, 580–586. [Google Scholar] [CrossRef]
- Drouiche, I.; Harrouni, S.; Arab, A.H. A new approach for modelling the aging PV module upon experimental I–V curves by combining translation method and five-parameters model. Electr. Power Syst. Res. 2018, 163, 231–241. [Google Scholar] [CrossRef]
- Senturk, A. Investigation of datasheet provided temperature coefficients of photovoltaic modules under various sky profiles at the field by applying a new validation procedure. Renew. Energy 2020, 152, 644–652. [Google Scholar] [CrossRef]
- Osterwald, C.R. Translation of device performance measurements to reference conditions. Solar Cells 1986, 18, 269–279. [Google Scholar] [CrossRef]
- Muñoz-García, M.A.; Marin, O.; Alonso-García, M.C.; Chenlo, F. Characterization of thin film PV modules under standard test conditions: Results of indoor and outdoor measurements and the effects of sunlight exposure. Sol. Energy 2012, 86, 3049–3056. [Google Scholar] [CrossRef]
- Dolara, A.; Cabrera-Tobar, A.; Ogliari, E.; Leva, S.; Hanne, L. Design of an Embedded Test Bench for Organic Photovoltaic Module Testing. Electronics 2024, 13, 3104. [Google Scholar] [CrossRef]
- Gulkowski, S.; Muñoz Diez, J.V.; Aguilera Tejero, J.; Nofuentes, G. Computational modeling and experimental analysis of heterojunction with intrinsic thin-layer photovoltaic module under different environmental conditions. Energy 2019, 172, 380–390. [Google Scholar] [CrossRef]
- Adigüzel, E.; Gürkan, K.; Ersoy, A. Design and development of data acquisition system (DAS) for panel characterization in PV energy systems. Measurement 2023, 221, 113425. [Google Scholar] [CrossRef]










| PV Module Characteristics | CdTe | CIGS |
|---|---|---|
| Maximum power under STC Pm,ref (Wp) | 75 (+/−5%) | 55.0 |
| Open-circuit voltage Voc,ref (V) | 62.0 | 21.0 |
| Nominal voltage Vmpp,ref (V) | 46.3 | 17.0 |
| Short-circuit current Isc,ref (A) | 1.95 | 3.7 |
| Nominal current Impp,ref (A) | 1.65 | 3.2 |
| Efficiency (%) | 10.6 | 14 |
| Temperature coefficient of Voc (%/°C) | −0.24 | −0.28 |
| Temperature coefficient of Isc (%/°C) | 0.02 | 0.008 |
| Temperature coefficient of power (%/°C) | −0.25 | −0.38 |
| PV panel area (m2) | 0.72 | 0.39 |
| Reference Cell Characteristics | SOZ-03 |
|---|---|
| Cell technology | mono-crystalline silicon |
| Radiation range (W/m2) | 100–1200 |
| Calibration coefficient (mV/kW/m2) | 93.8 |
| Uncertainty (%) | ±2 (<5%) |
| Temperature coefficient (%/°C) | 0.06 |
| Size of the cell (cm2) | 5 × 5 |
| I-V Tracer Characteristics | PVPM 2540C |
|---|---|
| Sweep speed (s) | 0.02–2.0 |
| Voltage measurement range (V) | 25–250 |
| Current measurement range (A) | 2–40 |
| Voltage resolution (V) | 0.01–0.25 |
| Current resolution (A) | 0.005–0.01 |
| I-V curve measurement uncertainty (%) | ±1.0 |
| Peak power measurement uncertainty (%) | ±5.0 |
| Operating temperature conditions (°C) | 0–50 |
Disclaimer/Publisher’s Note: The statements, opinions and data contained in all publications are solely those of the individual author(s) and contributor(s) and not of MDPI and/or the editor(s). MDPI and/or the editor(s) disclaim responsibility for any injury to people or property resulting from any ideas, methods, instructions or products referred to in the content. |
© 2024 by the authors. Licensee MDPI, Basel, Switzerland. This article is an open access article distributed under the terms and conditions of the Creative Commons Attribution (CC BY) license (https://creativecommons.org/licenses/by/4.0/).
Share and Cite
Gulkowski, S.; Krawczak, E. Thin-Film Photovoltaic Modules Characterisation Based on I-V Measurements Under Outdoor Conditions. Energies 2024, 17, 5853. https://doi.org/10.3390/en17235853
Gulkowski S, Krawczak E. Thin-Film Photovoltaic Modules Characterisation Based on I-V Measurements Under Outdoor Conditions. Energies. 2024; 17(23):5853. https://doi.org/10.3390/en17235853
Chicago/Turabian StyleGulkowski, Slawomir, and Ewelina Krawczak. 2024. "Thin-Film Photovoltaic Modules Characterisation Based on I-V Measurements Under Outdoor Conditions" Energies 17, no. 23: 5853. https://doi.org/10.3390/en17235853
APA StyleGulkowski, S., & Krawczak, E. (2024). Thin-Film Photovoltaic Modules Characterisation Based on I-V Measurements Under Outdoor Conditions. Energies, 17(23), 5853. https://doi.org/10.3390/en17235853

