Next Article in Journal
Optimising Flowback Strategies in Unconventional Reservoirs: The Critical Role of Capillary Forces and Fluid Dynamics
Next Article in Special Issue
The Wideband Oscillatory Localization Method Based on Combining Compressed Sensing and Graph Attention Networks
Previous Article in Journal
A Study on the Influence of Different Inflow Conditions on the Output Power and Dynamic Response Characteristics of a Variable Pitch Wind Turbine Structure
Previous Article in Special Issue
A Method for Fault Localization in Distribution Networks with High Proportions of Distributed Generation Based on Graph Convolutional Networks
 
 
Font Type:
Arial Georgia Verdana
Font Size:
Aa Aa Aa
Line Spacing:
Column Width:
Background:
Article

A Multi-Mode Recognition Method for Broadband Oscillation Based on CS-OMP and Adaptive VMD

1
State Grid Gansu Electric Power Research Institute, Lanzhou 730217, China
2
State Grid Gansu Electric Power Company, Lanzhou 730070, China
3
School of Automation and Electrical Engineering, Lanzhou Jiaotong University, Lanzhou 730070, China
4
School of New Energy and Power Engineering, Lanzhou Jiaotong University, Lanzhou 730070, China
*
Authors to whom correspondence should be addressed.
Energies 2024, 17(23), 5821; https://doi.org/10.3390/en17235821
Submission received: 12 October 2024 / Revised: 18 November 2024 / Accepted: 19 November 2024 / Published: 21 November 2024
(This article belongs to the Special Issue Clean and Efficient Use of Energy: 2nd Edition)

Abstract

Due to the application of power electronics and wind power generation equipment in power systems, broadband oscillation events constantly appear, which makes broadband oscillation difficult to detect due to the limitations of communication bandwidth and the sampling theorem. To ensure the safety and stability of the system, and to detect and recognize the broadband oscillation information timely and accurately, this paper presents a multi-mode recognition method of broadband oscillation based on compressed sensing (CS) and the adaptive Variational Mode Decomposition (VMD) algorithm. Firstly, the high-dimensional oscillation signal data collected by the Phasor Measurement Unit (PMU) is compressed and sampled by a Gaussian random matrix, and the obtained low-dimensional data are uploaded to the main station. Secondly, the orthogonal matching pursuit (OMP) algorithm of the master station is used to reconstruct the low-dimension signal, and the original high-dimension signal data are recovered without losing the main features of the signal. Finally, an adaptive VMD algorithm with energy loss minimization as a threshold is used to decompose the reconstructed signal, and the Intrinsic Mode Function (IMF) components with broadband oscillation information are obtained. By constructing oscillating signals with different frequencies, Gaussian white noise with a signal-to-noise ratio of 10 dB to 30 dB is added successively. After the signal is compressed and reconstructed by the proposed method, the signal-to-noise ratio can reach 18.8221 dB to 40.0794 dB, etc., and the oscillation frequency and amplitude under each signal-to-noise ratio can be accurately identified. The results show that the proposed method not only has good robustness to noise, but also has good denoising effect to noise. By using the simulation measurement model, the original oscillation signal is compressed and reconstructed, and the reconstruction error is 0.1263. The basic characteristics of the signal are restored, and the frequency and amplitude of the oscillation mode are accurately identified, which proves that the method is feasible and accurate.

1. Introduction

The proportion of diversified power electronic equipment and wind power generation equipment in the power system is increasing. The oscillation problem has changed from the traditional electromechanical oscillation dominated by synchronous generators to the electromagnetic oscillation dominated by power electronic equipment. The oscillations caused by traditional electromechanical oscillations are mainly low-frequency oscillations, while the oscillations caused by electromagnetic oscillations are mainly broadband oscillations [1]. The main cause of broadband oscillation is the multi-time scale dynamic interaction formed by new energy generator sets, power electronics and their control coupled with the grid, with frequencies ranging from a few Hz to thousands of Hz [2].
With the wide application of wind power generation technology and power electronic equipment, the three parts for the power supply side, the grid side and the load side in the power system have changed [3]. On the power supply side, wind power generation equipment coexists with traditional hydro power and thermal power generation, and the installed capacity is gradually increasing; there are problems such as wind speed and direction randomness and time domain response. On the power grid side, High Voltage Direct Current (HVDC) transmission technology, as the main way of power transmission, has a coupling problem between the power electronic equipment and its control and the power grid. On the load side, the wide access to power electronic loads such as variable-frequency-driven motors and electric vehicles has the problem of load characteristics changing.
Because of the change of “power supply side-grid side-load side” in the power system, system oscillation is no longer limited to low-frequency oscillation, but covers the sub-synchronous oscillation, the super-synchronous oscillation and the middle-high frequency oscillation. The probability of the broadband oscillation phenomenon in power systems is increasing gradually. For example, in 2009, the sub-synchronous oscillation phenomenon occurred for the first time in the Texas wind farm in the United States [4]. In 2014, due to the DC power transmission system, high-frequency oscillation accidents of 250~350 Hz occurred in the European North Sea offshore wind farm [5]. In 2015, a sub-synchronous oscillation (SSO) event occurred in a wind farm in Xinjiang, China [6]. Broadband oscillation has seriously threatened the safety and stability of power systems. Once broadband oscillation occurs, if it cannot be detected, identified and suppressed in time, it will cause equipment damage, new energy grid connection failure and system outage, and will finally lead to the entire power system’s paralysis through chain failures.
Effective and timely identification of the frequency and amplitude of broadband oscillations can provide important characteristic parameters for suppression technology. The signal sources used to identify broadband oscillation in power systems are mainly the sub-stations’ local signals and the main stations’ wide-area signals. The identification of broadband oscillation based on the local signal of the sub-station is to collect data from the sub-station of the power system through the Phasor Measurement Unit (PMU). The broadband oscillation data can be identified through the detection method, and the data upload rate is not required. However, the development and propagation of oscillations cannot be detected from a global perspective [7]. The broadband oscillation identification of the based main station wide-area signal refers to the oscillation identification method of the main station wide-area signal through the synchronous phasor data of the wide-area measurement system (WAMS); that is to say, the WAMS transmits the data collected by PMU in each sub-station to the main station of the dispatching center for analysis through the data communication network. This method provides global real-time detection, analysis and control of the entire power grid system [8]; however, the traditional monitoring system has been unable to meet the measurement requirements of broadband oscillation signals due to the limitation of sampling frequency and communication network bandwidth.
In order to realize the global real-time monitoring for the whole system, we use the improved algorithm to obtain oscillation information from the synchronous phasor data of the WAMS. In [9], the authors propose an improved sampling value adjustment method combined with a recursive least squares frequency estimator to further improve phasor estimation. The magnitude of the sampled value is calculated by cubic spline interpolation, and the accurate estimation of the phasor is realized [10]. Based on the windowed interpolation Discrete Fourier Transform (DFT) algorithm, sub-synchronous oscillations are identified from the synchronous phasor of the complex form of the main station [11].
Because of the time-varying and multi-mode characteristics of broadband oscillations, the cause of broadband oscillations is complex, so the accurate analysis of signals directly affects the accuracy of recognition [12]. At present, the widely used signal processing technologies mainly include Fast Fourier Transform (FFT) [13]. There is Prony’s algorithm [14], the wavelet transform (WT) method [15], Empirical Mode Decomposition (EMD) [16], Variational Mode Decomposition (VMD) [17], etc. FFT is a commonly used signal mode analysis method, which has the advantages of fast calculation speed and a simple principle. Prony’s algorithm can estimate the components of oscillation frequency by exponential functions, but improving the robustness to noise by increasing the order of the model will lead to problems such as excessive dimension and complicated calculation. Although WT has strong robustness to noise, the choice of wavelet function has a great influence on the decomposition results. EMD can detect broadband oscillation according to time scale, but there are some problems in signal decomposition, such as the end effect and mode aliasing, so it can not accurately detect similar frequencies. The VMD algorithm can make up for the defects of EMD, but the choice of decomposition mode number affects the detection result of broadband oscillation.
Aiming at the problems of existing methods in broadband oscillation identification, a multi-mode recognition method for broadband oscillations based on compressed sensing and adaptive VMD is proposed. The method uses a Gaussian random matrix to compress the oscillation signals collected by PMU and upload the low-dimensional data to the main station, where the signals are reconstructed by the orthogonal matching pursuit (OMP) algorithm. The VMD algorithm with the minimum energy loss as the threshold is used to adaptively decompose the reconstructed signal to obtain the IMF component with oscillation information. At last, using FFT, we can calculate the information about oscillation.
This paper is organized as follows: we introduce oscillatory signal analysis based on compressed sensing–orthogonal matching pursuit (CS-OMP) and adaptive VMD in Section 2; Section 3 introduces the process of oscillation information identification. In Section 4, the theoretical construction signal and simulation measurement signal are analyzed and compared. The conclusion is proposed in Section 5.

2. Oscillatory Signal Analysis on CS-OMP and Adaptive VMD

The synchronous phasor data based on the WAMS main station can be used for global detection of multi-mode broadband oscillation. However, due to the Nyquist sampling theorem, the acquisition and data transmission of high-frequency signals are subject to certain limitations. Existing electrical signals cannot meet certain requirements, and to solve the problem of frequency aliasing and data transmission in wide-area detection of broadband oscillation based on WAMS main station’s synchronous phasor data, as well as to transmit broadband oscillation with a small amount of data in detection and identification, they have to be compressed during data transmission.

2.1. Signal Compression Sampling and Reconstruction

Compressed sensing (CS) theory [18] is also known as sparse sampling. This theory overcomes the limitation of Nyquist sampling theorem; that is, a small number of samples containing important characteristics of electrical signals can be collected with a sampling rate lower than Nyquist frequency, and the data collection and compression can be synchronized, thus greatly reducing the cost of sampling, storage and transmission [19].
According to the CS theory, the high-dimensional broadband oscillation signal is converted into low-dimensional data representation by the observation matrix. In terms of data transmission, the transmission amount of broadband oscillation data is reduced. After receiving the simplified data representing broadband oscillation information, the main station solves an optimization problem to reconstruct the original broadband oscillation signal from the low-dimensional data. The process of compressed sampling and data reconstruction of broadband oscillation data is as follows:
(1) Sparse representation of broadband signal. Assuming that the broadband signal of length N is compressible, then under the sparse matrix Ψ , the coefficient vector θ represents the broadband signal x.
x = i = 1 N θ i Ψ i = θ Ψ
where θ represents coefficient vector and Ψ represents sparse matrix.
(2) Compress the signal. Assuming that the sparsity of the coefficient vector θ is K (K << N), then the measurement matrix Φ is used to compress the broadband signal, and the compressed signal is expressed as follows:
y = Φ x
where y indicates that the compressed signal length is M (M << N) and Φ is the measurement matrix (M × N) and is unrelated to the sparse matrix Ψ .
(3) Calculate the sensing matrix. The sensing matrix Θ is obtained by inserting Equation (1) into Equation (2).
y = Φ Ψ θ = Θ θ
According to Equation (3), the sensing matrix Θ is determined by Φ and Ψ . The frequency domain coefficient of the broadband oscillation signal is not 0 only at the oscillation point, so it has certain sparsity in the frequency domain. The discrete data points are transformed into the frequency domain using Discrete Cosine Transform (DCT) basis. DCT is expressed as follows:
X ( 0 ) = 1 N X ( k ) = 2 N n = 0 N 1 x ( n ) cos ( n + 0.5 ) π N   ( k = 1 , 2 , , N 1 )
In the reconstruction process of the compressed signal y, a Gaussian random matrix unrelated to the sparse matrix Ψ is selected as the measurement matrix Φ which follows a Gaussian normal distribution.
(4) Reconstruct the signal based on orthogonal matching pursuit (OMP) algorithm. The OMP process is as follows:
① Input: compressed signal y, sensing matrix Θ and residual threshold r t h .
② Initialization: residual initial value r 0 = y , support base Θ 0 = ϕ , index set F = ϕ , step initial value l = l 0 , iteration initial value i = 1 and step multiple initial value j = 1 .
③ Calculate the sensing matrix Θ and residual inner product q = Θ r i 1 . The largest s values among them are taken to form the atomic support set Θ i , and the corresponding column index support set is T i .
④ Merge set T i with the previous index set F i 1 to get a new index set F i .
⑤ Calculate the least squares solution of y = Θ i θ i and update the sparse coefficient:
θ ^ i = Θ i T Θ i 1 Θ i T y
⑥ Update residual:
r = y Θ i s T Θ i s 1 Θ i s T y
where Θ i s indicates the s column in Θ i .
⑦ Repeat the above steps until the residual is less than r t h , make x ^ = x i and stop iteration. Otherwise, if the number of iterations t = t + 1, return to step ③. Finally, the reconstructed estimate x ^ of the broadband oscillation signal x is obtained.

2.2. Adaptive VMD Algorithm Based on Energy Loss

VMD algorithm is a signal multi-mode decomposition method. The Intrinsic Mode Functions (IMFs) and center frequency are iteratively updated through Alternate Direction Method of Multipliers (ADMM), which adaptively determines the bandwidth of the IMF component and finally decomposes the multi-oscillation mode signal into multiple single-oscillation mode components [20]. When decomposing multi-oscillation mode signals, VMD does not need the stationarity assumption and the choice of decomposition basis; it retains the essential characteristics of the original signal, avoids the end effect and mode aliasing problem and has strong robustness to noise [21]. However, since the broadband oscillation signal is a multi-mode signal, the decomposition number K of the broadband oscillation signal is related to the number of modes. When the value of K is not correct, the signal will over-decompose or under-decompose, and the decomposed modes cannot contain all of the modes of the signal. Therefore, it is necessary to distinguish the number of modes generated after VMD so that the algorithm can decompose the signal adaptively.
The decomposition process of multi-mode oscillation signal by adaptive VMD algorithm based on energy loss is as follows:
(1) Decompose a multi-mode oscillation signal f ( t ) into K IMFs with limited bandwidth. With the bandwidth and estimated minimum of each component as targets, a constrained variational model in the VMD process is constructed:
min { u k } , { ω k } k = 1 K 𝜕 t [ ( δ ( t ) + j π t ) × u k ( t ) ] e j ω t t 2 2 s . t . k K u k = f ( t )
where u k indicates the kth IMF component after signal decomposition, ω k represents the kth IMF central angular frequency, f ( t ) represents the original signal and δ ( t ) represents the impulse function.
(2) To solve the Equation (7) constrained variational model, the constrained variational model is transformed into an unconstrained variational problem by the augmented Lagrange function. The expression of the augmented Lagrange function is as follows:
L u k , ω k , λ = α k = 1 K 𝜕 t [ ( δ ( t ) + j π t ) × u k ( t ) ] e j ω t t 2 2 + f ( t ) k = 1 K u k ( t ) 2 + λ ( t ) , f ( t ) k = 1 K u k ( t )
where α is a quadratic penalty factor to ensure the decomposition accuracy of the signal in the case of noise and λ ( t ) is a Lagrange multiplier to guarantees the strictest constraints.
(3) Calculate the Lagrange function addle points of Equation (8) by alternating iteration of ADMM algorithm; that is, the optimal solution is obtained by alternating solution. u k n + 1 can be calculated using the following equation:
u k n + 1 = arg min u k X α 𝜕 t [ ( δ ( t ) + j π t ) × u k ( t ) ] e j ω t t 2 2 + f ( t ) i k u i ( t ) + λ ( t ) 2 2 2
(4) Transform the iterative update formula of u k n + 1 into the frequency domain, expressed as follows:
u ^ k n + 1 ( ω ) = f ^ ( ω ) i < k u ^ i n + 1 ( ω ) i > k u ^ i n + 1 ( ω ) + λ ^ ( ω ) 2 1 + 2 α ( ω ω k ) 2
where u ^ k n + 1 ( ω ) is the Wiener filter of the margin in the n + 1 iteration.
(5) Similarly, to solve the minimum ω k n + 1 , the update solution of the central angular frequency is transferred to the frequency domain, as follows:
ω k n + 1 = arg min ω k 𝜕 t [ ( δ ( t ) + j π t ) × u k ( t ) ] e j ω t t 2 2
where ω k n + 1 is the current IMF central angular frequency.
(6) The center angular frequency is iterated as follows:
ω k n + 1 = 0 ω u ^ k n + 1 ( ω ) 2 d ω 0 u ^ k n + 1 ( ω ) 2 d ω
(7) Update the Lagrange multiplier according to Equation (13).
λ ^ n + 1 ( ω ) = λ ^ n ( ω ) + τ f ^ ( ω ) k u ^ k n + 1 ( ω )
τ is the noise tolerance coefficient. When there is strong noise in the signal, the effect of filtering noise can be achieved by setting τ to 0.
(8) Set the convergence criterion. Stop iteration when the alternating iteration process satisfies Equation (14).
k u k n + 1 u k n 2 2 u k n 2 2 < ε
where ε indicates convergence accuracy.
(9) Assume that K IMF components are generated after the decomposition of the broadband oscillation signal f ( t ) by VMD. The signal f ( t ) spectral energy is E t o l , and each IMF component spectral energy is E k .
E t o l = i = 0 N f 2 ( i )
E k = i = 0 N I M F 2 ( i )
where i indicates the sequence, N stands for the spectrum length, E t o l expresses the original signal spectral energy and E k represents the spectral energy for each IMF after the original signal decomposition.
(10) According to the law of conservation of energy, in the frequency domain, the original signal energy is equal to the sum of the energies of all frequency components, including the following:
E t o l = k = 1 P E k
where P represents the number of IMF after signal decomposition.
(11) The mode number after VMD is measured by the energy loss in the signal decomposition process. The expression of energy loss is as follows:
η = E t o l k = 1 P E k E t o l
When k value increases, η gradually decreases, and when η is close to 0, k value is the adaptive optimal mode number.

3. Process of Broadband Oscillation Mode Identification Method

Due to the limitations of communication bandwidth and Nyquist sampling theorem in existing data sampling and transmission, it is difficult to detect and identify the global broadband oscillation of power system. This paper proposes a broadband oscillation recognition method based on compressed sensing and adaptive VMD. Figure 1 shows the main process of broadband oscillation signal recognition.
Firstly, Gaussian random matrix is used to compress and sample the high-dimensional oscillation signal data collected by PMU, and the obtained low-dimensional data are uploaded to the main station. Secondly, the low dimension signal is reconstructed by the OMP algorithm in the main station, and the original high-dimension signal data are restored without losing the main features of the electrical signal. Finally, an adaptive VMD algorithm with energy loss minimization as a threshold to decompose the reconstructed signal is implemented, and the IMFs with broadband oscillation information are obtained. The multi-mode information of oscillation is calculated by FFT.

4. Results

4.1. Verification Analysis and Comparison Based on Constructed Signals

In order to verify the compression and reconstruction of multi-mode broadband oscillation and the decomposition effect of adaptive VMD based on energy loss and the accuracy of parameter identification, a broadband oscillation signal composed of two low-frequency oscillations, one sub-synchronous oscillation, one super-synchronous oscillation and two mid-high frequency oscillations in addition to the fundamental frequency signal is constructed through MATLAB 2021 in this paper. The sampling frequency is 500 Hz, the detection data time length is 2 s, and the sampling number is 1000. The constructed signal model is as follows:
x ( t ) = 0.45 sin ( 2 π × 0.5 t ) + 0.6 sin ( 2 π × 1.5 t )   + 0.8 sin ( 2 π × 30 t ) + sin ( 2 π × 50 t ) + 0.35 sin ( 2 π × 85 t )   + 0.5 sin ( 2 π × 120 t ) + 1.2 sin ( 2 π × 230 t )
A compressed sensing method based on OMP was used to sample and reconstruct the broadband oscillation signal. The measurement number M = 64 and the sparsity K = 7 was set. The compression effect for the compression algorithm on the original data is measured by the minimum reconstruction error (MRE). The smaller the MRE, the more similar the reconstructed data and the original data, and the better the compression or dimensionality reduction effect. According to the satisfaction condition M C K log ( N / K ) of the measured number, N represents the length of the signal, K represents the sparsity, K = 7 is set by the oscillation mode number and C is a constant related to the signal characteristics and the performance of the reconstruction algorithm. The size of M is determined according to the minimization of the reconstruction error between the original signal and the reconstructed signal, and the measurement number M = 64 corresponding to the smallest reconstruction error is experimentally determined. As shown in Figure 2, when the reconstruction error is the smallest, the compressed reconstructed signal is basically the same as the original signal.
When the power system broadband oscillation signal is decomposed, if there is a small interference in the signal, it may affect the position of the signal extreme point and then change the shape of the envelope, resulting in the instability of IMFs obtained by EMD decomposition. On the other hand, VMD has relatively low sensitivity to multi-mode oscillation signals with small interference and can maintain relatively stable decomposition results. The adaptive VMD algorithm based on energy loss was used to decompose the reconstructed signal. Parameter settings were as follows: α = 2000, tau = 1.5, tol = 1 × 10−7 and the energy loss threshold value was 0.01. The energy loss is calculated through the adaptive VMD algorithm in each decomposition process. When the energy loss threshold is reached, the decomposition stops, and the model number at this time is the optimal model number of the optimal decomposition model. And then, through calculation, we find that the decomposition model number of VMD is 6. The VMD adaptive decomposition results of the broadband oscillation signal and FFT analysis for obtained IMFs are shown in Figure 3.
The VMD adaptive decomposition of the reconstructed signal shows that there are no false IMF components, and the FFT calculation shows that all of the decomposed IMFs contain the mode information of the broadband oscillation signal. The test results indicate that the proposed compression reconstruction and signal decomposition method is feasible.
To prove the robustness on the mentioned way to noise, Gaussian white noise with signal-to-noise ratios (SNR) of 30 dB, 25 dB, 20 dB, 15 dB and 10 dB is added to the constructed signal. According to the method proposed, the broadband oscillation signals with different SNRs are compressed and reconstructed, and the reconstruction errors are calculated. The smallest reconstruction error indicates that the reconstructed signal restores the original signal with the most essential information. Table 1 shows the reconstruction errors and the corresponding reconstructed signal SNRs.
As the SNR decreases, the noise component in the broadband oscillation signal increases, the reconstruction error after compression and reconstruction gradually increases and the SNR after reconstruction also increases. Figure 4 shows the comparison between the original and the reconstructed signal. When the SNR is 10 dB, the reconstruction error is 0.3089, and the reconstructed SNR is 18.8221 dB (>10 dB), indicating that the proposed OMP-based compressed sensing algorithm not only has good robustness to noise, but also has a good denoising effect.
The reconstructed signals with different SNRs were decomposed by the adaptive VMD algorithm, the oscillation information of each IMF was calculated by FFT and the oscillation information results of seven modes of each datum were presented. Table 2 shows the recognition results of broadband oscillation signals with different SNRs. As shown in Table 2, when the SNR is different, the proposed methods can accurately identify the oscillation frequency of each oscillation mode and basically maintain the amplitude of the original signal when identifying the amplitude. It shows that the proposed method can not only collect useful information on the basis of a small amount of sampling, but also recover the original signal in the process of reconstruction and has a good denoising effect.

4.2. Analysis Method of Measurement Signal

To prove the superiority and feasibility of the mentioned method, a wind farm model consisting of six wind turbines was built on the MATLAB simulation platform; each wind turbine was connected to a 25 kV distribution system through the corresponding transformer and outputted power to a 120 kV grid through a 30 km 25 kV feeder line. The simplified model is shown in Figure 5.
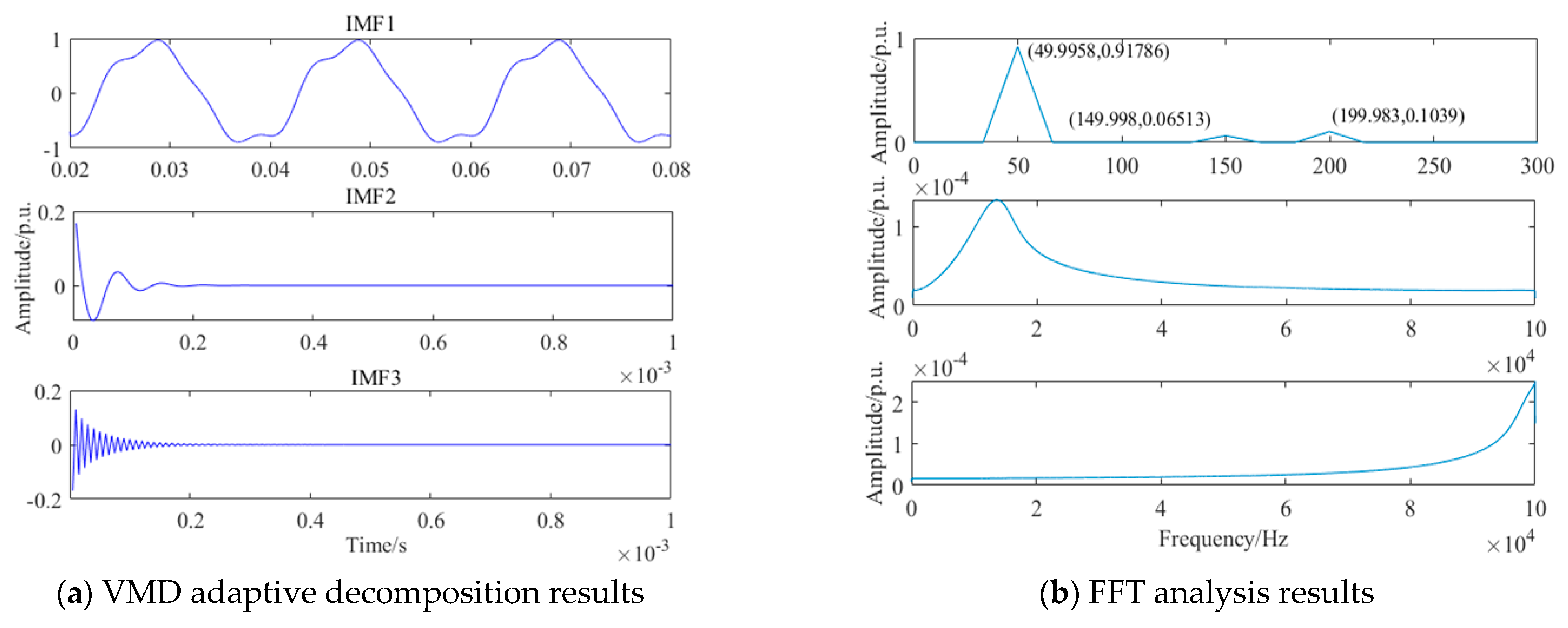
The model runs in discrete mode, with a sampling time of 1 × 10−5 s and running time of 0.2 s. The voltage waveform of broadband oscillation for 0.02–0.06 s (12,000 points in total) was collected. The FFT analysis results are shown in Figure 6. According to FFT analysis, besides the fundamental frequency, there are two main oscillation components of the system, which are 149 Hz and 199 Hz.
Using the method proposed, the compressed sensing theory is used in the broadband oscillation signal, the Gaussian random matrix is used for compression sampling and finally the data after compression sampling are reconstructed according to the OMP algorithm. The sparsity K = 3 was set according to the number of oscillation modes, and the measurement number M = 600 was determined by minimizing the reconstruction error. At this time, the minimum reconstruction error was 0.1263. The reconstructed signal, as shown in Figure 7, basically restored the basic shape of the original signal.
The reconstructed data were decomposed using adaptive VMD based on energy loss minimization; when the energy loss of the IMFs was 0.0147, the decomposition stopped and the mode number at this time was 3. And the information of oscillation frequency band was obtained according to the IMFs obtained by FFT calculation and decomposition, as shown in Figure 8. The first IMF already contains the full information of the oscillation band, and since the amplitude of the second and third IMF is too small to match the system, this possibility can be ruled out. Therefore, the oscillation information in the original signal can be obtained by compressed sampling and reconstruction and adaptive VMD, indicating the accuracy and effectiveness of the proposed method.

5. Conclusions

Due to the limitation of the communication bandwidth and Nyquist sampling theorem in data sampling and transmission, it is difficult to detect and identify the global broadband oscillation of power systems. This paper presents a broadband oscillation recognition method based on CS and adaptive VMD. This paper focuses on the broadband oscillation signal compression sampling and reconstruction, and the VMD adaptive decomposition of the reconstructed signal. The results are as follows:
(1)
In the sub-station, due to the limitation of the communication bandwidth and transmission rate, the collected high-dimensional broadband oscillation signal cannot be transmitted to the main station. The high-dimensional data can be converted to low-dimensional data through compressed sampling, and then transmitted to the main station to reconstruct the compressed signal through OMP algorithm. The analysis of the reconstructed signal by the main station can identify the original signal oscillation information.
(2)
In the process of signal decomposition of VMD, improper selection of the number of modes will cause false IMF components in the broadband oscillation signal, which will affect the identification results. The energy values of all IMFs after each decomposition can be compared with those of the original signal, and the difference is taken as energy loss, and the minimization of energy loss is taken as the threshold for stopping VMD. Setting a threshold can effectively solve the difficult problem of mode number selection.
In this paper, the mentioned method is proved by constructing a signal and simulating the measurement signal. Under different SNRs (10 dB, 15 dB, 20 dB, 25 dB and 30 dB), the broadband oscillation signal can be compressed, sampled and reconstructed effectively, and the original signal oscillation information can be retained. After reconstruction, the signal-to-noise ratio is improved, which are 18.8221 dB, 26.8622 dB, 27.8835 dB, 33.1489 dB and 40.0794 dB, respectively, and the oscillation frequency and amplitude of different SNRs can be accurately identified. It is shown that the proposed method not only has good robustness to noise, but also has good denoising effect to noise. Through the simulation measurement model, the original oscillation signal is compressed and reconstructed on the basis of the measurement data of 600. When the reconstruction error is 0.1263, the basic shape and information of the original signal can be recovered, and the frequency and amplitude of the three modes can be accurately identified, which shows the feasibility and accuracy of the method.
In the process of vibration detection and identification of power systems, in addition to accurate identification of oscillation information, fast computing speed also plays a very critical role, which can ensure that the power system can make an immediate response to the oscillation and effectively curb the risk of worsening the instability caused by the delay of response. On the other hand, if the calculation speed is slow, then by the time the oscillation is detected and the alarm is triggered, the instability may have already spread, and it is difficult to achieve the desired effect since the subsequent response measures are greatly reduced. Therefore, in-depth research and optimization of computing-speed-related issues are of critical significance for improving the power system’s ability to cope with oscillation problems, which will be an important part to be improved and supplemented in subsequent research.

Author Contributions

Conceptualization, J.G. and H.D.; methodology, H.X.; software, Y.Y.; validation, X.M. and X.Z.; formal analysis, J.G. and X.Z.; investigation, Y.Y.; resources, J.G.; data curation, J.G. and X.Z.; writing—original draft preparation, X.M.; writing—review and editing, X.M.; visualization, J.G.; supervision, H.X.; project administration, H.D.; funding acquisition, H.D. All authors have read and agreed to the published version of the manuscript.

Funding

This research was funded by the Management Technology Project of State Grid Co., Ltd. technology project, Gansu Province, China, grant number 522722240004.

Data Availability Statement

The original contributions presented in the study are included in the article; further inquiries can be directed to the corresponding author.

Conflicts of Interest

Author Honglei Xu was employed by the company State Grid Gansu Electric Power Company. The remaining authors declare that the research was conducted in the absence of any commercial or financial relationships that could be construed as a potential conflict of interest. The authors declare that this study received funding from Management Technology Project of State Grid Co., Ltd. The funder was not involved in the study design, collection, analysis, interpretation of data, the writing of this article or the decision to submit it for publication.

References

  1. Liu, Z.; Li, D.; Wang, W.; Wang, J.; Gong, D. A Review of the research on the wide-band oscillation analysis and suppression of renewable energy grid-connected systems. Energies 2024, 17, 1809. [Google Scholar] [CrossRef]
  2. Xie, X.; Zhang, X.; Liu, H.; Liu, H.; Li, Y.; Zhang, C. Characteristic analysis of subsynchronous resonance in practical wind farms connected to series-compensated transmissions. IEEE Trans. Energy Convers. 2017, 32, 1117–1126. [Google Scholar] [CrossRef]
  3. Xie, X.; He, J.; Mao, H.; Li, H. New issues and classification of power system stability with high shares of renewables and power electronics. Proc. CSEE 2021, 41, 461–475. [Google Scholar]
  4. Adams, J.; Carter, C.; Huang, S.H. ERCOT experience with sub-synchronous control interaction and proposed remediation. In Proceedings of the PES T&D 2012, Orlando, FL, USA, 7–10 May 2012; IEEE: Piscataway, NJ, USA, 2012; pp. 1–5. [Google Scholar]
  5. Buchhagen, C.; Rauscher, C.; Menze, A.; Jung, J. BorWin1—First experiences with harmonic interactions in converter dominated grids. In Proceedings of the International ETG Congress 2015; Die Energiewende-Blueprints for the New Energy Age, Bonn, Germany, 17–18 November 2015; VDE: Frankfurt am Main, Germany, 2015; pp. 1–7. [Google Scholar]
  6. Wang, L.; Xie, X.; Jiang, Q.; Liu, H.; Li, Y.; Liu, H. Investigation of SSR in practical DFIG-based wind farms connected to a series-compensated power system. IEEE Trans. Power Syst. 2015, 30, 2772–2779. [Google Scholar] [CrossRef]
  7. Xie, X.; Liu, H.; He, J.; Liu, H.; Liu, W. On new oscillation issues of power systems. Proc. CSEE 2018, 38, 2821–2828+3133. [Google Scholar]
  8. Maheswari, M.; Vanitha, N.S.; Loganathan, N. Wide-area measurement systems and phasor measurement units. In Wide Area Power Systems Stability, Protection, and Security; Springer: Cham, Switzerland, 2021; pp. 105–126. [Google Scholar]
  9. Maharjan, S.; Peng, J.; Martinez, J. Improved sample value adjustment for synchrophasor estimation at off-nominal power system conditions. IEEE Trans. Power Deliv. 2017, 32, 33–44. [Google Scholar] [CrossRef]
  10. Ghafari, C.; Almasalma, H.; Raison, B.; Hadjsaid, N.; Caire, R.; Martin, E. Phasors estimation at offnominal frequencies through an enhanced-SVA method with a fixed sampling clock. IEEE Trans. Power Deliv. 2017, 32, 1766–1775. [Google Scholar] [CrossRef]
  11. Yang, X.; Zhang, J.; Xie, X.; Xiao, X.; Gao, B.; Wang, Y. Interpolated DFT-based identification of sub-synchronous oscillation parameters using synchro phasor data. IEEE Trans. Smart Grid 2020, 11, 2662–2675. [Google Scholar] [CrossRef]
  12. Zhang, F.; Cheng, L.; Gao, W.; Huang, R. Synchro phasors-based identification for sub synchronous oscillations in power systems. IEEE Trans. Smart Grid 2018, 10, 2224–2233. [Google Scholar] [CrossRef]
  13. Liu, M.S.; Sun, Z.Y.; Li, M.P. Application of improved wavelet denoising method in low-frequency oscillation analysis of power system. Electr. Ind. Eng. 2020, 1633, 012115. [Google Scholar] [CrossRef]
  14. Chen, C.I.; Chang, G.W. Virtual instrumentation and educational platform for time-varying harmonics and inter harmonics detection. IEEE Trans. Ind. Electron. 2010, 57, 3334–3342. [Google Scholar] [CrossRef]
  15. Yu, Y.; Zhao, W.; Li, S.; Huang, S. A Two-Stage Wavelet Decomposition Method for Instantaneous Power Quality Indices Estimation Considering Inter harmonics and Transient Disturbances. IEEE Trans. Instrum. Meas. 2021, 70, 9001813. [Google Scholar] [CrossRef]
  16. Yang, G.; Liu, Y.; Wang, Y.; Zhu, Z. EMD interval thresholding denoising based on similarity measure to select relevant modes. Signal Process. 2015, 109, 95–109. [Google Scholar] [CrossRef]
  17. Guo, C.; Yang, L.; Dai, J.; Chen, B.; Yin, K.; Dai, J. A new method for the analysis of broadband oscillation mode of new energy stations. Symmetry 2024, 16, 278. [Google Scholar] [CrossRef]
  18. Lal, B.; Gravina, R.; Spagnolo, F.; Corsonello, P. Compressed sensing approach for physiological signals: A review. IEEE Sens. J. 2023, 23, 5513–5534. [Google Scholar] [CrossRef]
  19. Li, L.; Fang, Y.; Liu, L.; Peng, H.; Kurths, J.; Yang, Y. Overview of compressed sensing: Sensing Model, Reconstruction Algorithm, and Its Applications. Appl. Sci. 2020, 10, 5909. [Google Scholar] [CrossRef]
  20. Zhong, T.; Yang, H.; Sun, C.; Liu, C.; Chen, J. Adaptive band-pass filter and VMD-esprit based multi-mode monitoring method for broadband electromagnetic oscillation in “Double High” power systems. Energies 2023, 16, 3110. [Google Scholar] [CrossRef]
  21. Liu, F.; Lin, S.; Chen, C.; Liu, K.; Zou, R.; Sidorov, D. Identification of mode shapes based on ambient signals and the IA-VMD method. Appl. Sci. 2021, 11, 530. [Google Scholar] [CrossRef]
Figure 1. The process of broadband oscillation signal recognition.
Figure 1. The process of broadband oscillation signal recognition.
Energies 17 05821 g001
Figure 2. Reconstructed signal and original signal.
Figure 2. Reconstructed signal and original signal.
Energies 17 05821 g002
Figure 3. VMD adaptive decomposition results and FFT analysis.
Figure 3. VMD adaptive decomposition results and FFT analysis.
Energies 17 05821 g003
Figure 4. Comparison between the original and reconstructed signal (SNR = 10 dB, SNR = 30 dB).
Figure 4. Comparison between the original and reconstructed signal (SNR = 10 dB, SNR = 30 dB).
Energies 17 05821 g004
Figure 5. Simplified model for power generation system composed of six wind turbines.
Figure 5. Simplified model for power generation system composed of six wind turbines.
Energies 17 05821 g005
Figure 6. Broadband oscillation signal and FFT analysis.
Figure 6. Broadband oscillation signal and FFT analysis.
Energies 17 05821 g006
Figure 7. Comparison of a broadband oscillation signal with a reconstructed signal.
Figure 7. Comparison of a broadband oscillation signal with a reconstructed signal.
Energies 17 05821 g007
Figure 8. VMD and information recognition of oscillation signal.
Figure 8. VMD and information recognition of oscillation signal.
Energies 17 05821 g008
Table 1. Reconstruction errors and SNR after signal reconstruction with different SNRs.
Table 1. Reconstruction errors and SNR after signal reconstruction with different SNRs.
SNR (dB)Noiseless10 15 20 25 30
Reconstruction Errors8.10 × 10−140.30890.18060.1040.05930.0334
Reconstructed Signal SNR (dB)---18.822126.862227.883533.148940.0794
Table 2. Recognition results of broadband oscillation signals with different SNRs.
Table 2. Recognition results of broadband oscillation signals with different SNRs.
Oscillation ModeOscillation InformationTheoretical ValueIdentification Result
(10 dB/15 dB/20 dB/25 dB/30 dB)
Mode 1Frequency/Hz0.50.5/0.5/0.5/0.5/0.5
Amplitude/p.u.0.450.417/0.4011/0.4296/0.4571/0.4446
Mode 2Frequency/Hz1.51.5/1.5/1.5/1.5/1.5
Amplitude/p.u.0.60.6086/0.6405/0.6256/0.6156/0.6064
Mode 3Frequency/Hz3030/30/30/30/30
Amplitude/p.u.0.80.7679/0.7979/0.7588/0.7851/0.7969
Mode 4Frequency/Hz5050/50/50/50/50
Amplitude/p.u.10.9943/0.9974/1.0327/0.9865/0.9845
Mode 5Frequency/Hz8585/85/85/85/85
Amplitude/p.u.0.350.3681/0.3207/0.3445/0.3418/0.3491
Mode 6Frequency/Hz120120/120/120/120/120
Amplitude/p.u.0.50.6001/0.5091/0.4994/0.4872/0.5012
Mode 7Frequency/Hz230230/230/230/230/230
Amplitude/p.u.1.21.2465/1.1955/1.1886/1.1806/1.2099
Disclaimer/Publisher’s Note: The statements, opinions and data contained in all publications are solely those of the individual author(s) and contributor(s) and not of MDPI and/or the editor(s). MDPI and/or the editor(s) disclaim responsibility for any injury to people or property resulting from any ideas, methods, instructions or products referred to in the content.

Share and Cite

MDPI and ACS Style

Gao, J.; Xu, H.; Yang, Y.; Zhang, X.; Mao, X.; Dong, H. A Multi-Mode Recognition Method for Broadband Oscillation Based on CS-OMP and Adaptive VMD. Energies 2024, 17, 5821. https://doi.org/10.3390/en17235821

AMA Style

Gao J, Xu H, Yang Y, Zhang X, Mao X, Dong H. A Multi-Mode Recognition Method for Broadband Oscillation Based on CS-OMP and Adaptive VMD. Energies. 2024; 17(23):5821. https://doi.org/10.3390/en17235821

Chicago/Turabian Style

Gao, Jinggeng, Honglei Xu, Yong Yang, Xujun Zhang, Xiangde Mao, and Haiying Dong. 2024. "A Multi-Mode Recognition Method for Broadband Oscillation Based on CS-OMP and Adaptive VMD" Energies 17, no. 23: 5821. https://doi.org/10.3390/en17235821

APA Style

Gao, J., Xu, H., Yang, Y., Zhang, X., Mao, X., & Dong, H. (2024). A Multi-Mode Recognition Method for Broadband Oscillation Based on CS-OMP and Adaptive VMD. Energies, 17(23), 5821. https://doi.org/10.3390/en17235821

Note that from the first issue of 2016, this journal uses article numbers instead of page numbers. See further details here.

Article Metrics

Back to TopTop