A Periodic Horizontal Shell-And-Tube Structure as an Efficient Latent Heat Thermal Energy Storage Unit
Abstract
1. Introduction
2. Research Methodology and Computational Domains
3. Methods and Mathematical Description
- The liquid PCM is an incompressible Newtonian fluid, and the Boussinesq approximation is applied to account for natural convection in the liquid PCM phase. The density is treated as a constant value in all solved equations, except for the buoyancy term in the momentum equation. The buoyancy term is linearised according to Equation (3). The Boussinesq model produces faster convergence compared to the evaluation of fluid density as a non-linear function of temperature.
- A two-dimensional temporal analysis is assumed as a compromise to reduce the computation time.
- The volume changes of the PCM during the process are neglected. This assumption is common and allows for a significant simplification of the numerical model without major consequences for the accuracy of the calculations.
| Property | Dimension | Value |
|---|---|---|
| PCM-RT54HC | ||
| Melting/solidification latent heat | kJ/kg | 200/207 |
| Solidus/liquidus temperature for melting | C | 50/60 |
| Solidus/liquidus temperature for solidification | °C | 47/53 |
| Specific heat | J/(kg · K) | 2100 |
| Thermal conductivity | W/(m · K) | |
| Dynamic viscosity | Pa · s | [83] |
| The density of solid–liquid | kg/m3 | |
| Thermal expansion coefficient | 1/K | [83] |
| Shell-stainless steel [77] | ||
| Specific heat | J/(kg · K) | 502 |
| Thermal conductivity | W/(m · K) | 16 |
| Density | kg/m3 | 8030 |
3.1. Governing Equations
3.2. Initial and Boundary Conditions
3.3. Numerical Algorithms and Schemes
3.4. Verification and Validation
4. Calculation Results and Discussion
4.1. Influence of the Shell Design Assumptions on LHTES Behaviour
4.2. Influence of Rectangular Shell Aspect Ratio
5. Conclusions
- The horizontal shell-and-tube, used as a periodic structure is an efficient LHTES unit with short melting and solidification times.
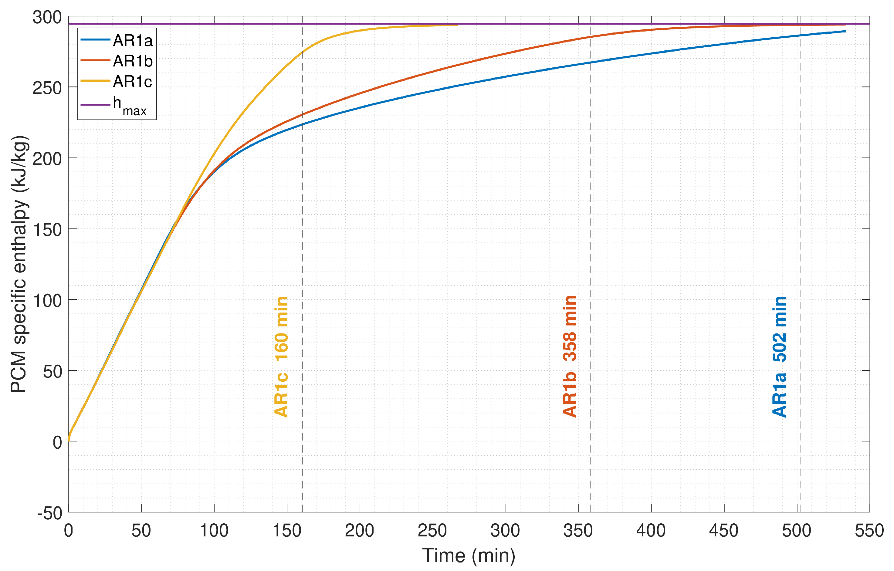
- In the non-periodic case with a highly conductive shell (AR1b), the melting time increases by 123.8% and the solidification time by 8.2%, compared to the periodic unit (AR1c).
- In the non-periodic case with neglected conduction in the shell (AR1a), the melting time increases by 213.8% and the solidification time by 21%, compared to the periodic unit (AR1c).
- For shell materials with good thermal conductivity, accounting for conduction in the shell is crucial, resulting in relative differences in melting and solidification times of 26.7% and 10.6%, respectively.
- In the periodic horizontal shell-and-tube structure, additional convection heat transfer occurs in the lower part of the unit.
- The solidification process is more uniform in the periodic unit AR1c than in non-periodic AR1a and AR1b.
- The shortest melting time (143 min) is recorded for the case with a periodic structure and shell aspect ratio equal to 0.44.
- The shortest solidification time (699 min) is recorded for the case with a periodic structure and a shell aspect ratio equal to 1.
- In the initial stage of the phase change phenomena, as the liquid fraction approaches either 25% for melting or 75% for solidification, the aspect ratio of the shell has no effect on the duration of these processes.
Author Contributions
Funding
Data Availability Statement
Conflicts of Interest
Abbreviations
| AR | Aspect ratio |
| DSC | Differential scanning calorimetry |
| HTF | Heat transfer fluid |
| LF | Liquid fraction |
| LHTES | Latent heat thermal energy storage |
| PCM | Phase-change material |
| RES | Renewable energy source |
| TES | Thermal energy storage |
| Nomenclature | |
| Mushy zone | |
| b | Heat transfer coefficient, W/(m2 · K) |
| Specific heat capacity, J/(kg · K) | |
| g | Gravitational acceleration, m/s2 |
| h | Specific enthalpy, J/kg |
| k | Thermal conductivity, W/(m · K) |
| l | Latent heat, J/kg |
| n | Normal vector |
| Nu | Nusselt number |
| p | Pressure, Pa |
| Pr | Prandtl number |
| r | Radius, m |
| R | Thermal resistance, (m · K)/W |
| Ra | Rayleigh number |
| Re | Reynolds number |
| S | Momentum source term |
| Ste | Stefan number |
| T | Temperature, C |
| t | Time, s |
| v | Fluid flow velocity, m/s |
| Greek symbols | |
| Liquid fraction | |
| Expansion coefficient, 1/K | |
| Dynamic viscosity, Pa · s | |
| Density, kg/m3 | |
| Subscripts | |
| Average | |
| Fluid, heat transfer fluid (HTF) | |
| i | Particular control volume |
| Reference | |
| Shell inner | |
| t | Tube domain |
| Tube inner | |
| Tube outer |
References
- Nasimi, S.; Fakhroleslam, M.; Zarei, G.; Sadrameli, S.M. Passive energy-efficiency optimization in greenhouses using phase change materials; a comprehensive review. J. Energy Storage 2024, 90, 111762. [Google Scholar] [CrossRef]
- Jayathunga, D.; Karunathilake, H.; Narayana, M.; Witharana, S. Phase change material (PCM) candidates for latent heat thermal energy storage (LHTES) in concentrated solar power (CSP) based thermal applications—A review. Renew. Sustain. Energy Rev. 2024, 189, 113904. [Google Scholar] [CrossRef]
- Huang, X.; Li, F.; Li, Y.; Yang, X.; Li, M.J. Solar photothermal utilization of coupled latent heat storage: A numerical and optimization study. Sol. Energy Mater. Sol. Cells 2024, 271, 112864. [Google Scholar] [CrossRef]
- Migla, L.; Bogdanovics, R.; Lebedeva, K. Performance Improvement of a Solar-Assisted Absorption Cooling System Integrated with Latent Heat Thermal Energy Storage. Energies 2023, 16, 5307. [Google Scholar] [CrossRef]
- Bianco, N.; Fragnito, A.; Iasiello, M.; Mauro, G.M. Multiscale analysis of a seasonal latent thermal energy storage with solar collectors for a single-family building. Therm. Sci. Eng. Prog. 2024, 50, 102538. [Google Scholar] [CrossRef]
- Lazaar, M.; Bouadila, S.; Kooli, S.; Farhat, A. Conditioning of the tunnel greenhouse in the north of Tunisia using a calcium chloride hexahydrate integrated in polypropylene heat exchanger. Appl. Therm. Eng. 2014, 68, 62–68. [Google Scholar] [CrossRef]
- Shan, L.; Martin, A.; Chiu, J.N. Techno-economic analysis of latent heat thermal energy storage integrated heat pump for indoor heating. Energy 2024, 298, 131291. [Google Scholar] [CrossRef]
- Zhai, X.; Lu, S.; He, Z.; Wu, W.; Zhang, H.; Feng, W. Analysis of geo-temperature recovery performance under load redistribution operating strategy of GSHP coupled LHTES device system. Energy Convers. Manag. 2024, 308, 118402. [Google Scholar] [CrossRef]
- Huang, Y.; Deng, Z.; Chen, Y.; Zhang, C. Performance investigation of a biomimetic latent heat thermal energy storage device for waste heat recovery in data centers. Appl. Energy 2023, 335, 120745. [Google Scholar] [CrossRef]
- Hyun, S.W.; Kim, S.; Jeong, H.; Ko, H.S.; Shin, D.H. Development of snow removal system using embedded pipes inside road with solar thermal energy collector and packed bed latent heat thermal energy storage. J. Energy Storage 2024, 83, 110737. [Google Scholar] [CrossRef]
- Jouhara, H.; Żabnieńska Góra, A.; Khordehgah, N.; Ahmad, D.; Lipinski, T. Latent thermal energy storage technologies and applications: A review. Int. J. Thermofluids 2020, 5–6, 100039. [Google Scholar] [CrossRef]
- Punniakodi, B.M.S.; Senthil, R. A review on container geometry and orientations of phase change materials for solar thermal systems. J. Energy Storage 2021, 36, 102452. [Google Scholar] [CrossRef]
- Xie, S.; Wu, W. Effect of aspect ratio on PCM melting behavior in a square cavity. Int. Commun. Heat Mass Transf. 2023, 143, 106708. [Google Scholar] [CrossRef]
- Wan, Y.; Huang, Z.; Soh, A.; Jon Chua, K. On the performance study of a hybrid indirect evaporative cooling and latent-heat thermal energy storage system under commercial operating conditions. Appl. Therm. Eng. 2023, 221, 119902. [Google Scholar] [CrossRef]
- Surya, A.; Prakash, R.; Nallusamy, N. Heat transfer enhancement and performance study on latent heat thermal energy storage system using different configurations of spherical PCM balls. J. Energy Storage 2023, 72, 108643. [Google Scholar] [CrossRef]
- ELSihy, E.S.; Cai, C.; Li, Z.; Du, X.; Wang, Z. Performance investigation on the cascaded packed bed thermal energy storage system with encapsulated nano-enhanced phase change materials for high-temperature applications. Energy 2024, 293, 130554. [Google Scholar] [CrossRef]
- Said, M.A.; Hosseinzadeh, K.; Kaplan, S.; Rahbari, A.; Tiji, M.E.; Mahdi, J.M.; Cairns, A.; Talebizadehsardari, P. Accelerated charging dynamics in shell-and-multi-tube latent heat storage systems for building applications. J. Energy Storage 2024, 81, 110286. [Google Scholar] [CrossRef]
- Ait Laasri, I.; Charai, M.; Mghazli, M.O.; Outzourhit, A. Energy performance assessment of a novel enhanced solar thermal system with topology optimized latent heat thermal energy storage unit for domestic water heating. Renew. Energy 2024, 224, 120189. [Google Scholar] [CrossRef]
- Fornarelli, F.; Dambrosio, L.; Camporeale, S.M.; Terlizzi, L. Novel Multi-Objective Optimal Design of a Shell-and-Tube Latent Heat Thermal Energy Storage Device. Energies 2023, 16, 1882. [Google Scholar] [CrossRef]
- Sheikh, M.I.A.R.; Ahammed, M.E.; Gumtapure, V. Thermal behavior of composite phase change material of polyethylene in a shell and coil-based thermal energy storage: Numerical analysis. J. Energy Storage 2023, 74, 109438. [Google Scholar] [CrossRef]
- Zhao, Y.; Mao, Q. Experimental and numerical analysis of unsteady state conditions on thermal storage performance of a conical spiral shell-tube energy storage system. J. Energy Storage 2024, 88, 111579. [Google Scholar] [CrossRef]
- Punniakodi, B.M.S.; Senthil, R. Enhanced heat transfer in a phase change energy storage with helical tubes. J. Energy Storage 2023, 58, 106352. [Google Scholar] [CrossRef]
- Al-Shuwaili, H.; Kakhki, M.S.; Al-Aridhee, S.; Ghorbani, A.; Entezari, S.; Sardarabadi, M. Performance enhancement of triplex-tube heat storage unit using branched fins during solidification and melting processes: A 2D numerical parametric investigation. Therm. Sci. Eng. Prog. 2023, 38, 101653. [Google Scholar] [CrossRef]
- Wołoszyn, J.; Szopa, K.; Czerwiński, G. Enhanced heat transfer in a PCM shell-and-tube thermal energy storage system. Appl. Therm. Eng. 2021, 196, 117332. [Google Scholar] [CrossRef]
- Mousavi Ajarostaghi, S.S.; Amirsoleymani, A.; Arıcı, M.; Dolati, A.; Amiri, L. Thermal energy storage with PCMs: A comprehensive study of horizontal shell and multi-tube systems with finned design. J. Energy Storage 2023, 72, 108762. [Google Scholar] [CrossRef]
- Rogowski, M.; Andrzejczyk, R. Recent advances of selected passive heat transfer intensification methods for phase change material-based latent heat energy storage units: A review. Int. Commun. Heat Mass Transf. 2023, 144, 106795. [Google Scholar] [CrossRef]
- Czerwiński, G.; Wołoszyn, J. Partitions influence on rectangular latent heat thermal energy storage unit performance during melting and solidification. Int. Commun. Heat Mass Transf. 2024, 159, 108047. [Google Scholar] [CrossRef]
- Low, Z.H.; Qin, Z.; Duan, F. A review of fin application for latent heat thermal energy storage enhancement. J. Energy Storage 2024, 85, 111157. [Google Scholar] [CrossRef]
- Kaboré, A.; Simo Tala, J.V.; Younsi, Z.; Bougeard, D. Natural convection and field synergy principle analysis of the influence of fins redistribution on the performance of a latent heat storage unit in a successive charge and discharge. J. Energy Storage 2024, 89, 111855. [Google Scholar] [CrossRef]
- Hosseini, A.; Banakar, A.; Gorjian, S.; Jafari, A. Experimental and numerical investigation of the melting behavior of a phase change material in a horizontal latent heat accumulator with longitudinal and annular fins. J. Energy Storage 2024, 82, 110563. [Google Scholar] [CrossRef]
- Ao, C.; Yan, S.; Zhao, X.; Zhang, N.; Wu, Y. Enhanced heat transfer in a latent heat thermal energy storage unit using a longitudinal fin with different structural parameters. Therm. Sci. Eng. Prog. 2023, 43, 101975. [Google Scholar] [CrossRef]
- Li, H.; Hu, C.; Tang, D.; Rao, Z. Improving heat storage performance of shell-and-tube unit by using structural-optimized spiral fins. J. Energy Storage 2024, 79, 110212. [Google Scholar] [CrossRef]
- Li, J.; Abdulghani, Z.R.; Alghamdi, M.N.; Sharma, K.; Niyas, H.; Moria, H.; Arsalanloo, A. Effect of twisted fins on the melting performance of PCM in a latent heat thermal energy storage system in vertical and horizontal orientations: Energy and exergy analysis. Appl. Therm. Eng. 2023, 219, 119489. [Google Scholar] [CrossRef]
- Guedri, K.; Singh, P.; Riaz, F.; Inayat, A.; Shah, N.A.; Fadhl, B.M.; Makhdoum, B.M.; Arsalanloo, A. Solidification acceleration of phase change material in a horizontal latent heat thermal energy storage system by using spiral fins. Case Stud. Therm. Eng. 2023, 48, 103157. [Google Scholar] [CrossRef]
- Sarani, I.; Payan, S.; Nada, S.; Payan, A. Numerical investigation of an innovative discontinuous distribution of fins for solidification rate enhancement in PCM with and without nanoparticles. Appl. Therm. Eng. 2020, 176, 115017. [Google Scholar] [CrossRef]
- Luo, M.; Zhang, Y.; Niu, Y.; Lu, B.; Wang, Z.; Zhang, J.; Wang, K.; Zhu, J. Experimental and numerical investigations on the thermal performance enhancement of a latent heat thermal energy storage unit with several novel snowflake fins. Renew. Energy 2023, 217, 119158. [Google Scholar] [CrossRef]
- Qasem, N.A.; Abderrahmane, A.; Belazreg, A.; Younis, O.; Homod, R.Z.; Oreijah, M.; Guedri, K. Influence of tree-shaped fins to enhance thermal storage units. Int. Commun. Heat Mass Transf. 2024, 151, 107220. [Google Scholar] [CrossRef]
- Czerwiński, G.; Wołoszyn, J. Influence of the Longitudinal and Tree-Shaped Fin Parameters on the Shell-and-Tube LHTES Energy Efficiency. Energies 2022, 16, 268. [Google Scholar] [CrossRef]
- Triki, R.; Chtourou, S.; Baccar, M. Heat transfer enhancement of phase change materials PCMs using innovative fractal H-shaped fin configurations. J. Energy Storage 2023, 73, 109020. [Google Scholar] [CrossRef]
- Wang, Y.; Zadeh, P.G.; Duong, X.Q.; Chung, J.D. Optimizing fin design for enhanced melting performance in latent heat thermal energy storage systems. J. Energy Storage 2023, 73, 109108. [Google Scholar] [CrossRef]
- Wołoszyn, J.; Wyciszkiewicz, G. Modelowanie przemiany fazowej w potrójnym systemie rurowym wzmocnionym żebrami. Przemysł Chem. 2021, 1, 101–104. [Google Scholar] [CrossRef]
- Sundriyal, A.; Verma, P.; Varshney, L. Numerical study of the melting rate enhancement of nano phase change material in a modified shell and tube heat exchanger. J. Energy Storage 2024, 84, 110859. [Google Scholar] [CrossRef]
- Li, Z.R.; Zhang, Z.K.; Wang, X.R.; Ni, S.S.; Fan, L.W. Synergistic enhancement strategy on the heat charging process of a shell-and-tube thermal storage device based on close-contact melting mechanism and nano-enhanced phase change material. J. Energy Storage 2023, 72, 108529. [Google Scholar] [CrossRef]
- Buonomo, B.; Golia, M.R.; Manca, O.; Nardini, S.; Plomitallo, R.E. External heat losses effect on shell and tube latent heat thermal energy storages partially filled with metal foam. J. Energy Storage 2024, 85, 111096. [Google Scholar] [CrossRef]
- Zhang, Z.; Zhu, Z. Thermodynamic performance improvement of the horizontal shell-and-tube latent heat thermal storage unit by splitter plates and upper-and-lower cascade PCMs. J. Energy Storage 2024, 83, 110802. [Google Scholar] [CrossRef]
- Yang, X.; Li, Y.; Ma, Y.; Cui, J.; Xie, J. Optimization of thermal storage performance of cascaded multi-PCMs and carbon foam energy storage system based on GPR-PSO algorithm. J. Energy Storage 2024, 83, 110626. [Google Scholar] [CrossRef]
- Sayoud, N.; Laouer, A.; Brihi, N.; Teggar, M.; Arıcı, M. Melting process enhancement in double pipe storage with multiple latent heat storage materials and oriented fins. J. Energy Storage 2024, 85, 111095. [Google Scholar] [CrossRef]
- Zhou, S.; Dai, H.; Gao, M.; He, S.; Niu, P.; Shi, Y.; Qi, J.; Sun, F. Influence of inner tube shapes on the charging and discharging performance for the latent heat thermal storage exchangers. Int. Commun. Heat Mass Transf. 2024, 154, 107466. [Google Scholar] [CrossRef]
- Alnakeeb, M.A.; Galal, W.M.; Youssef, M.E.; Sorour, M.M. Melting characteristics of concentric and eccentric inner elliptic tube in double tube latent heat energy storage unit. Alex. Eng. J. 2023, 73, 443–460. [Google Scholar] [CrossRef]
- Peng, L.; Wu, H.; Cao, W.; Mao, Q. Exergy Analysis of a Shell and Tube Energy Storage Unit with Different Inclination Angles. Energies 2023, 16, 4297. [Google Scholar] [CrossRef]
- Togun, H.; Sultan, H.S.; Mohammed, H.I.; Sadeq, A.M.; Biswas, N.; Hasan, H.A.; Homod, R.Z.; Abdulkadhim, A.H.; Yaseen, Z.M.; Talebizadehsardari, P. A critical review on phase change materials (PCM) based heat exchanger: Different hybrid techniques for the enhancement. J. Energy Storage 2024, 79, 109840. [Google Scholar] [CrossRef]
- Saini, P.; Dhar, A.; Powar, S.; Doddamani, M. Cesaro fins parametric optimization for enhancement in the solidification performance of a latent heat storage system with combined fins, foam, and nanoparticle. Energy Rep. 2023, 9, 5670–5687. [Google Scholar] [CrossRef]
- Shank, K.; Tiari, S. A Review on Active Heat Transfer Enhancement Techniques within Latent Heat Thermal Energy Storage Systems. Energies 2023, 16, 4165. [Google Scholar] [CrossRef]
- Kumar, A.; Verma, P.; Varshney, L. An experimental and numerical study on phase change material melting rate enhancement for a horizontal semi-circular shell and tube thermal energy storage system. J. Energy Storage 2022, 45, 103734. [Google Scholar] [CrossRef]
- Faghani, M.; Hosseini, M.; Bahrampoury, R. Numerical simulation of melting between two elliptical cylinders. Alex. Eng. J. 2018, 57, 577–586. [Google Scholar] [CrossRef]
- Rabienataj Darzi, A.A.; Jourabian, M.; Farhadi, M. Melting and solidification of PCM enhanced by radial conductive fins and nanoparticles in cylindrical annulus. Energy Convers. Manag. 2016, 118, 253–263. [Google Scholar] [CrossRef]
- Khillarkar, D.; Gong, Z.; Mujumdar, A. Melting of a phase change material in concentric horizontal annuli of arbitrary cross-section. Appl. Therm. Eng. 2000, 20, 893–912. [Google Scholar] [CrossRef]
- Mao, Q.; Chen, K.; Li, T. Heat transfer performance of a phase-change material in a rectangular shell-tube energy storage tank. Appl. Therm. Eng. 2022, 215, 118937. [Google Scholar] [CrossRef]
- Li, J.; Huang, Y.; Zhang, C.; Liu, X. Numerical study on the solidification performance of a latent heat storage unit with Koch-fractal fin. Fractals 2019, 27, 1950108. [Google Scholar] [CrossRef]
- Alizadeh, M.; Haq, R.; Hamid, M.; Nguyen, V.; Truong, T.; Ganji, D.; Tian, Z. An analysis of latent heat thermal energy storage in a hexagonal triplex-tube unit with curve shape fin and CNTs. Case Stud. Therm. Eng. 2022, 36, 102241. [Google Scholar] [CrossRef]
- Maneengam, A.; Ahmed, S.E.; Saeed, A.M.; Abderrahmane, A.; Younis, O.; Guedri, K.; Alhazmi, M.; Weera, W. Numerical Study of Heat Transfer Enhancement within Confined Shell and Tube Latent Heat Thermal Storage Microsystem Using Hexagonal PCMs. Micromachines 2022, 13, 1062. [Google Scholar] [CrossRef]
- Shahsavar, A.; Al-Rashed, A.A.; Entezari, S.; Sardari, P.T. Melting and solidification characteristics of a double-pipe latent heat storage system with sinusoidal wavy channels embedded in a porous medium. Energy 2019, 171, 751–769. [Google Scholar] [CrossRef]
- Shahsavar, A.; Shaham, A.; Yıldız, Ç.; Arıcı, M. Entropy generation characteristics of phase change material in a variable wavy walled triplex tube latent heat storage unit for battery thermal management system. J. Energy Storage 2022, 51, 104374. [Google Scholar] [CrossRef]
- Alizadeh, M.; Nabizadeh, A.; Fazlollahtabar, A.; Ganji, D. An optimization study of solidification procedure in a wavy- wall storage unit considering the impacts of NEPCM and curved fin. Int. Commun. Heat Mass Transf. 2021, 124, 105249. [Google Scholar] [CrossRef]
- Wołoszyn, J.; Szopa, K. A combined heat transfer enhancement technique for shell-and-tube latent heat thermal energy storage. Renew. Energy 2023, 202, 1342–1356. [Google Scholar] [CrossRef]
- Qaiser, R.; Khan, M.M.; Khan, L.A.; Irfan, M. Melting performance enhancement of PCM based thermal energy storage system using multiple tubes and modified shell designs. J. Energy Storage 2021, 33, 102161. [Google Scholar] [CrossRef]
- Hekmat, M.H.; Haghani, M.H.K.; Izadpanah, E.; Sadeghi, H. The influence of energy storage container geometry on the melting and solidification of PCM. Int. Commun. Heat Mass Transf. 2022, 137, 106237. [Google Scholar] [CrossRef]
- Wołoszyn, J.; Szopa, K. Shell Shape Influence on Latent Heat Thermal Energy Storage Performance during Melting and Solidification. Energies 2023, 16, 7822. [Google Scholar] [CrossRef]
- Chen, D.; Riaz, A.; Aute, V.C.; Radermacher, R. Comprehensive performance analysis and structural improvement of latent heat thermal energy storage (LHTES) unit using a novel parallel enthalpy-based lattice Boltzmann model. J. Energy Storage 2023, 73, 108902. [Google Scholar] [CrossRef]
- Modi, N.; Wang, X.; Negnevitsky, M. Numerical investigation into selecting the most suitable shell-to-tube diameter ratio for horizontal latent heat thermal energy storage. Energy Sustain. Dev. 2023, 73, 188–204. [Google Scholar] [CrossRef]
- Kalapala, L.; Devanuri, J.K. Influence of operational and design parameters on the performance of a PCM based heat exchanger for thermal energy storage – A review. J. Energy Storage 2018, 20, 497–519. [Google Scholar] [CrossRef]
- Parsa, N.; Kamkari, B.; Abolghasemi, H. Experimental study on the influence of shell geometry and tube eccentricity on phase change material melting in shell and tube heat exchangers. Int. J. Heat Mass Transf. 2024, 227, 125571. [Google Scholar] [CrossRef]
- Su, Q.; Xiong, X.; Zhu, C.; Li, J.; Duan, J.; Jin, W.; Wang, Y. Experimental and numerical investigation on the melting behavior of paraffin in a shell and tube latent heat storage unit. Appl. Therm. Eng. 2024, 236, 121374. [Google Scholar] [CrossRef]
- Chen, L.; Fan, A. Effects of shell modifications and operational parameters on melting uniformity of a vertical multi-section shell-and-tube latent heat thermal energy storage unit. J. Energy Storage 2022, 55, 105593. [Google Scholar] [CrossRef]
- Ding, P.; Liu, Z. Numerical investigation of natural convection enhancement in latent heat energy storage units with punched-fin and slit-fin. Int. J. Therm. Sci. 2021, 163, 106834. [Google Scholar] [CrossRef]
- Bergman, T.L.; Lavine, A.S.; Incropera, F.P.; Dewitt, D.P. Fundamentals of Heat and Mass Transfer, 8th ed.; Wiley: Hoboken, NJ, USA, 2017; p. 1046. [Google Scholar]
- ANSYS. ANSYS Fluent Theory Guide 2020; ANSYS, Inc.: Canonsburg, PA, USA, 2020. [Google Scholar]
- Voller, V.R.; Prakash, C. A fixed grid numerical modelling methodology for convection-diffusion mushy region phase-change problems. Int. J. Heat Mass Transf. 1987, 30, 1709–1719. [Google Scholar] [CrossRef]
- Anderson, D.; Tannehill, J.C.; Pletcher, R.H. Computational Fluid Mechanics and Heat Transfer, 3rd ed.; CRC Press: Boca Raton, FL, USA, 2016; pp. 1–740. [Google Scholar]
- Kousha, N.; Hosseini, M.J.; Aligoodarz, M.R.; Pakrouh, R.; Bahrampoury, R. Effect of inclination angle on the performance of a shell and tube heat storage unit – An experimental study. Appl. Therm. Eng. 2017, 112, 1497–1509. [Google Scholar] [CrossRef]
- Tiari, S.; Qiu, S.; Mahdavi, M. Numerical study of finned heat pipe-assisted thermal energy storage system with high temperature phase change material. Energy Convers. Manag. 2015, 89, 833–842. [Google Scholar] [CrossRef]
- Karami, R.; Kamkari, B. Investigation of the effect of inclination angle on the melting enhancement of phase change material in finned latent heat thermal storage units. Appl. Therm. Eng. 2019, 146, 45–60. [Google Scholar] [CrossRef]
- Sardari, P.T.; Babaei-Mahani, R.; Giddings, D.; Yasseri, S.; Moghimi, M.A.; Bahai, H. Energy recovery from domestic radiators using a compact composite metal Foam/PCM latent heat storage. J. Clean. Prod. 2020, 257, 120504. [Google Scholar] [CrossRef]
- Shmueli, H.; Ziskind, G.; Letan, R. Melting in a vertical cylindrical tube: Numerical investigation and comparison with experiments. Int. J. Heat Mass Transf. 2010, 53, 4082–4091. [Google Scholar] [CrossRef]
- Fadl, M.; Eames, P.C. Numerical investigation of the influence of mushy zone parameter Amush on heat transfer characteristics in vertically and horizontally oriented thermal energy storage systems. Appl. Therm. Eng. 2019, 151, 90–99. [Google Scholar] [CrossRef]
- Ye, W.B.; Arıcı, M. Exploring mushy zone constant in enthalpy-porosity methodology for accurate modeling convection-diffusion solid-liquid phase change of calcium chloride hexahydrate. Int. Commun. Heat Mass Transf. 2024, 152, 107294. [Google Scholar] [CrossRef]
- Sutheesh, P.; Jose, J.; Hotta, T.K.; Rohinikumar, B. Numerical investigations on thermal performance of PCM-based lithium-ion battery thermal management system equipped with advanced honeycomb structures. Int. Commun. Heat Mass Transf. 2024, 158, 107937. [Google Scholar] [CrossRef]



























| Case | AR025 | AR033 | AR044 | AR064 | AR1 (Ref.) | AR226 | AR4 | |
|---|---|---|---|---|---|---|---|---|
| a | mm | 160 | 140 | 120 | 100 | 80 | 53 | 40 |
| b | mm | 40 | 46 | 53 | 64 | 80 | 120 | 160 |
| AR | - | 0.25 | 0.33 | 0.44 | 0.64 | 1 | 2.26 | 4 |
| Model | Melting | Solidification | ||||
|---|---|---|---|---|---|---|
| Time | Time | |||||
| for | for t = 160 min | for | for t = 699 min | |||
| min | °C | kJ/kg | min | °C | kJ/kg | |
| AR1a | 502 | 71.12 | 223.48 | 846 | 35.68 | 262.13 |
| AR1b | 358 | 70.75 | 231.16 | 756 | 38.74 | 264.53 |
| AR1c | 160 | 65.43 | 274.42 | 699 | 41.39 | 267.09 |
| Model | Melting | Solidification | ||||
|---|---|---|---|---|---|---|
| Time | Time | |||||
| for | for t = 143 min | for | for t = 699 min | |||
| min | °C | kJ/kg | min | °C | kJ/kg | |
| AR025 | 150 | 63.66 | 261.52 | 928 | 39.96 | 240.07 |
| AR033 | 145 | 64.00 | 268.39 | 865 | 40.10 | 246.73 |
| AR044 | 143 | 64.40 | 272.32 | 786 | 40.29 | 256.42 |
| AR064 | 148 | 64.79 | 268.50 | 732 | 40.84 | 263.01 |
| AR1 | 160 | 65.40 | 258.09 | 699 | 41.39 | 267.09 |
| AR266 | 199 | 66.17 | 233.47 | 807 | 40.26 | 253.15 |
| AR4 | 244 | 66.59 | 213.07 | 958 | 39.62 | 236.00 |
Disclaimer/Publisher’s Note: The statements, opinions and data contained in all publications are solely those of the individual author(s) and contributor(s) and not of MDPI and/or the editor(s). MDPI and/or the editor(s) disclaim responsibility for any injury to people or property resulting from any ideas, methods, instructions or products referred to in the content. |
© 2024 by the authors. Licensee MDPI, Basel, Switzerland. This article is an open access article distributed under the terms and conditions of the Creative Commons Attribution (CC BY) license (https://creativecommons.org/licenses/by/4.0/).
Share and Cite
Wołoszyn, J.; Szopa, K. A Periodic Horizontal Shell-And-Tube Structure as an Efficient Latent Heat Thermal Energy Storage Unit. Energies 2024, 17, 5760. https://doi.org/10.3390/en17225760
Wołoszyn J, Szopa K. A Periodic Horizontal Shell-And-Tube Structure as an Efficient Latent Heat Thermal Energy Storage Unit. Energies. 2024; 17(22):5760. https://doi.org/10.3390/en17225760
Chicago/Turabian StyleWołoszyn, Jerzy, and Krystian Szopa. 2024. "A Periodic Horizontal Shell-And-Tube Structure as an Efficient Latent Heat Thermal Energy Storage Unit" Energies 17, no. 22: 5760. https://doi.org/10.3390/en17225760
APA StyleWołoszyn, J., & Szopa, K. (2024). A Periodic Horizontal Shell-And-Tube Structure as an Efficient Latent Heat Thermal Energy Storage Unit. Energies, 17(22), 5760. https://doi.org/10.3390/en17225760

