Predicting CO2 and H2 Solubility in Pure Water and Various Aqueous Systems: Implication for CO2–EOR, Carbon Capture and Sequestration, Natural Hydrogen Production and Underground Hydrogen Storage
Abstract
1. Introduction
2. Literature Review
2.1. Carbon Dioxide (CO2)
2.1.1. CO2 Solubility–Experimental Works
2.1.2. CO2 Solubility–Equation of State
2.1.3. CO2 Solubility–Empirical Correlations
2.1.4. CO2 Solubility–Molecular Dynamics Studies
2.1.5. CO2 Solubility–Machine Learning Studies
2.2. Hydrogen (H2)
2.2.1. H2 Solubility–Experimental Works
2.2.2. H2 Solubility–Equation of State
2.2.3. H2 Solubility–Empirical Correlations
2.2.4. H2 Solubility–Molecular Dynamics Studies
2.2.5. H2 Solubility–Machine Learning Studies
3. Methodology
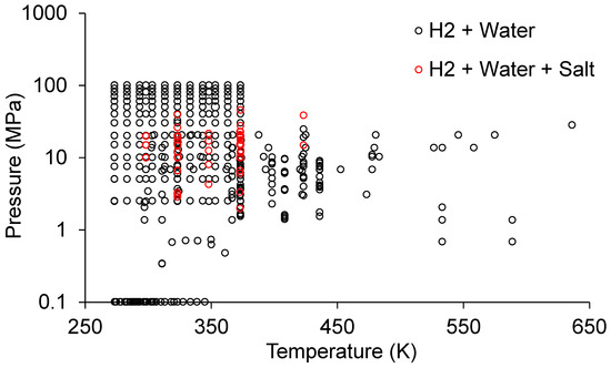
3.1. Data Collection and Characterization
3.2. Development of CO2 Solubility Correlations
3.3. Development of H2 Solubility Correlations
3.4. Model Parameter Determination
4. Results and Discussions
4.1. Validation of the Developed CO2 Solubility Correlations
4.1.1. CO2 + H2O Systems
4.1.2. CO2–Water–Salts
Mixed Salts
4.2. Validation of the Developed H2 Solubility Correlations
4.2.1. H2–H2O
4.2.2. H2 + H2O + Salts (NaCl)
4.3. Salting–Out Effect
4.4. Evaluation of Developed Solubility Models
5. Conclusions and Recommendations
- Available literature data show that there is sufficient data to evaluate CO2 solubility in low to medium–pressure regions. However, for CO2 storage applications in high–pressure and high–temperature regions such as those in deep saline aquifers or gas reservoirs, there is need for more experimental data, especially for mixed salt systems that represent real formation brines.
- For the hydrogen system, there is significant lack of experimental data at higher temperatures (above 400 K) and higher pressures (above 40 MPa). To date, experimental data for mixed salt systems that represent natural formation brine is lacking. These high–temperature and high–pressure region data are critical for understanding H2 solubility under extreme conditions like those encountered in natural hydrogen production. The limited data in these regions suggests that more experimental studies are needed to understand H2 solubility under such conditions.
- Reliable and quick empirical models have been developed to accurately predict the solubility of CO in pure water and various salt systems. The pressure range is between 0.1 and 71 MPa, and the temperature range is between 273.15 and 523.15 K. The CO2 solubility model performs excellently, with an absolute mean error of 7.26 and 8.8% for the pure water and salt systems, respectively, when compared with experimentally measured data.
- Furthermore, the developed simple models can accurately predict the solubility of H2 in pure water and NaCl salt systems. The pressure range is between 0.1 and 101.3 MPa, and the temperature range is between 273.15 and 636.1 K. Comparison with experimental data shows that the H2 solubility model performs excellently, with an absolute mean error of 4.03 and 9.1% for the pure water and NaCl salt systems, respectively.
- The salting–out characteristics of various salt systems on CO2 solubility was accurately captured. Decreasing trend of CO2 solubility observed based on ionic strength follows the order NaHCO3 > KCl > CaCl2 ∼ MgCl2 > NaCl > Na2SO4, and it is consistent with those reported by Zhao et al. [135]. Similarly, the SO characteristics of H2 gas in NaCl brine are consistent with previous studies by Chabab et al. [152].
Supplementary Materials
Author Contributions
Funding
Acknowledgments
Conflicts of Interest
References
- Nagireddi, S.; Agarwal, J.R.; Vedapuri, D. Carbon Dioxide Capture, Utilization, and Sequestration: Current Status, Challenges, and Future Prospects for Global Decarbonization. ACS Eng. Au 2024, 4, 22–48. [Google Scholar] [CrossRef]
- Intergovernmental Panel on Climate Change (IPCC). Global Warming of 1.5 °C: Summary for Policymakers; IPCC: Geneva, Switzerland, 2018. [Google Scholar]
- IEA. World Energy Outlook; IEA: Paris, France, 2023; Available online: https://www.iea.org/reports/world-energy-outlook-2023 (accessed on 18 May 2024).
- Izadpanahi, A.; Blunt, M.J.; Kumar, N.; Ali, M.; Gaeta Tassinari, C.C.; Sampaio, M.A. A Review of Carbon Storage in Saline Aquifers: Mechanisms, Prerequisites, and Key Considerations. Fuel 2024, 369, 131744. [Google Scholar] [CrossRef]
- Longe, P.; Molomjav, S.; Barati, R.; Tsau, J.-S.; Musgrove, S.; Villalobos, J.; D’Erasmo, J.; Alhajeri, M.M. Field-Scale Simulations of Water-Alternating-Gas Injection in Morrowan Fluvial Sandstones of Stewart Field, Kansas, Using Captured CO2 from an Ethanol Plant. In Proceedings of the International Petroleum Technology Conference, Dhahran, Saudi Arabia, 12–14 February 2024; p. D031S098R007. [Google Scholar]
- Raza, A.; Gholami, R.; Rezaee, R.; Bing, C.H.; Nagarajan, R.; Hamid, M.A. Assessment of CO 2 Residual Trapping in Depleted Reservoirs Used for Geosequestration. J. Nat. Gas Sci. Eng. 2017, 43, 137–155. [Google Scholar] [CrossRef]
- Longe, P.; Tsau, J.-S.; Musgrove, S.; Villalobos, J.; D’Erasmo, J.; Alhajeri, M.M.; Barati, R. An Overview of Stewart Field Unit Project: A Field Case Study of CO2 Capture, Utilization, and Storage. In Proceedings of the SPE Energy Transition Symposium, Houston, TX, USA, 12–14 August 2024; p. D011S003R002. [Google Scholar]
- Jiang, L.; Chen, Z.; Farouq Ali, S.M.; Zhang, J.; Chen, Y.; Chen, S. Storing Carbon Dioxide in Deep Unmineable Coal Seams for Centuries Following Underground Coal Gasification. J. Clean. Prod. 2022, 378, 134565. [Google Scholar] [CrossRef]
- Al-Khdheeawi, E.A.; Mahdi, D.S.; Ali, M.; Fauziah, C.A.; Barifcani, A. Impact of Caprock Type on Geochemical Reactivity and Mineral Trapping Efficiency of CO2. In Proceedings of the Offshore Technology Conference Asia, Kuala Lumpur, Malaysia, 2–6 November 2020; p. D012S001R060. [Google Scholar]
- Krevor, S.; Blunt, M.J.; Benson, S.M.; Pentland, C.H.; Reynolds, C.; Al-Menhali, A.; Niu, B. Capillary Trapping for Geologic Carbon Dioxide Storage—From Pore Scale Physics to Field Scale Implications. Int. J. Greenh. Gas Control 2015, 40, 221–237. [Google Scholar] [CrossRef]
- IPCC Special Report on Carbon Dioxide Capture and Storage; Metz, B., Intergovernmental Panel on Climate, Change, Eds.; Cambridge University Press: Cambridge, UK, 2005; ISBN 978-0-521-68551-1. [Google Scholar]
- Massarweh, O.; Abushaikha, A.S. CO2 Sequestration in Subsurface Geological Formations: A Review of Trapping Mechanisms and Monitoring Techniques. Earth-Sci. Rev. 2024, 253, 104793. [Google Scholar] [CrossRef]
- Gyamfi, G.; Danso, D.K.; Li, X. Practical Models for Computing CO2 Solubility in Brines with Complex Ions for Carbon Geo-Sequestration Applications. In Proceedings of the SPE/AAPG/SEG Unconventional Resources Technology Conference, Houston, TX, USA, 13–15 August 2024; p. D011S005R002. [Google Scholar]
- Meng, S.; Liu, C.; Liu, Y.; Rui, Z.; Liu, H.; Jin, X.; Tao, J. CO2 Utilization and Sequestration in Organic-Rich Shale from the Nanoscale Perspective. Appl. Energy 2024, 361, 122907. [Google Scholar] [CrossRef]
- Meng, S.; Fu, Q.; Tao, J.; Liang, L.; Xu, J. Predicting CO2-EOR and Storage in Low-Permeability Reservoirs with Deep Learning-Based Surrogate Flow Models. Geoenergy Sci. Eng. 2024, 233, 212467. [Google Scholar] [CrossRef]
- Tang, J.; Zhang, M.; Guo, X.; Geng, J.; Li, Y. Investigation of Creep and Transport Mechanisms of CO2 Fracturing within Natural Gas Hydrates. Energy 2024, 300, 131214. [Google Scholar] [CrossRef]
- Pi, Y.; Liu, J.; Liu, L.; Guo, X.; Li, C.; Li, Z. The Effect of Formation Water Salinity on the Minimum Miscibility Pressure of CO2-Crude Oil for Y Oilfield. Front. Earth Sci. 2021, 9, 711695. [Google Scholar] [CrossRef]
- Ballentine, C.J.; Burgess, R.; Marty, B. Tracing Fluid Origin, Transport and Interaction in the Crust. Rev Miner. Geochem 2002, 47, 539–614. [Google Scholar] [CrossRef]
- Sun, X.; Li, H.; He, H.; Fu, W.; Wang, Z.; Gao, Y.; Sun, B. Experiments and Modeling of CO2 Solubility in Water-Based and Oil-Based Drilling Fluids. J. Pet. Sci. Eng. 2022, 212, 110336. [Google Scholar] [CrossRef]
- Olawale, S.B.; Longe, P.; Ofesi, S.F. Evaluating the Effect of Drill String Rotation and Change in Drilling Fluid Viscosity on Hole Cleaning. J. Pet. Explor. Prod. Technol. 2021, 11, 2981–2989. [Google Scholar] [CrossRef]
- Sun, B.; Sun, X.; Wang, Z.; Chen, Y. Effects of Phase Transition on Gas Kick Migration in Deepwater Horizontal Drilling. J. Nat. Gas Sci. Eng. 2017, 46, 710–729. [Google Scholar] [CrossRef]
- Iglauer, S. Optimum Geological Storage Depths for Structural H2 Geo-Storage. J. Pet. Sci. Eng. 2022, 212, 109498. [Google Scholar] [CrossRef]
- Iglauer, S.; Al-Yaseri, A.Z.; Rezaee, R.; Lebedev, M. CO2 Wettability of Caprocks: Implications for Structural Storage Capacity and Containment Security. Geophys. Res. Lett. 2015, 42, 9279–9284. [Google Scholar] [CrossRef]
- Raza, A.; Rezaee, R.; Gholami, R.; Rasouli, V.; Bing, C.H.; Nagarajan, R.; Hamid, M.A. Injectivity and Quantification of Capillary Trapping for CO 2 Storage: A Review of Influencing Parameters. J. Nat. Gas Sci. Eng. 2015, 26, 510–517. [Google Scholar] [CrossRef]
- Iglauer, S. Dissolution Trapping of Carbon Dioxide in Reservoir Formation Brine-a Carbon Storage Mechanism; INTECH Open Access Publisher: London, UK, 2011. [Google Scholar]
- Awan, F.U.R.; Arif, M.; Iglauer, S.; Keshavarz, A. Coal Fines Migration: A Holistic Review of Influencing Factors. Adv. Colloid Interface Sci. 2022, 301, 102595. [Google Scholar] [CrossRef]
- Arif, M.; Rasool Abid, H.; Keshavarz, A.; Jones, F.; Iglauer, S. Hydrogen Storage Potential of Coals as a Function of Pressure, Temperature, and Rank. J. Colloid Interface Sci. 2022, 620, 86–93. [Google Scholar] [CrossRef]
- Zhou, J.; Xie, S.; Jiang, Y.; Xian, X.; Liu, Q.; Lu, Z.; Lyu, Q. Influence of Supercritical CO2 Exposure on CH 4 and CO 2 Adsorption Behaviors of Shale: Implications for CO2 Sequestration. Energy Fuels 2018, 32, 6073–6089. [Google Scholar] [CrossRef]
- Hashemi, L.; Blunt, M.; Hajibeygi, H. Pore-Scale Modelling and Sensitivity Analyses of Hydrogen-Brine Multiphase Flow in Geological Porous Media. Sci. Rep. 2021, 11, 8348. [Google Scholar] [CrossRef] [PubMed]
- Muhammed, N.S.; Haq, B.; Al Shehri, D.; Al-Ahmed, A.; Rahman, M.M.; Zaman, E. A Review on Underground Hydrogen Storage: Insight into Geological Sites, Influencing Factors and Future Outlook. Energy Rep. 2022, 8, 461–499. [Google Scholar] [CrossRef]
- Matos, C.R.; Carneiro, J.F.; Silva, P.P. Overview of Large-Scale Underground Energy Storage Technologies for Integration of Renewable Energies and Criteria for Reservoir Identification. J. Energy Storage 2019, 21, 241–258. [Google Scholar] [CrossRef]
- Epelle, E.I.; Obande, W.; Udourioh, G.A.; Afolabi, I.C.; Desongu, K.S.; Orivri, U.; Gunes, B.; Okolie, J.A. Perspectives and Prospects of Underground Hydrogen Storage and Natural Hydrogen. Sustain. Energy Fuels 2022, 6, 3324–3343. [Google Scholar] [CrossRef]
- Raza, A.; Arif, M.; Glatz, G.; Mahmoud, M.; Al Kobaisi, M.; Alafnan, S.; Iglauer, S. A Holistic Overview of Underground Hydrogen Storage: Influencing Factors, Current Understanding, and Outlook. Fuel 2022, 330, 125636. [Google Scholar] [CrossRef]
- Ramesh Kumar, K.; Honorio, H.; Chandra, D.; Lesueur, M.; Hajibeygi, H. Comprehensive Review of Geomechanics of Underground Hydrogen Storage in Depleted Reservoirs and Salt Caverns. J. Energy Storage 2023, 73, 108912. [Google Scholar] [CrossRef]
- Panfilov, M. Underground and Pipeline Hydrogen Storage. In Compendium of Hydrogen Energy; Elsevier: Amsterdam, The Netherlands, 2016; pp. 91–115. ISBN 978-1-78242-362-1. [Google Scholar]
- Zgonnik, V. The Occurrence and Geoscience of Natural Hydrogen: A Comprehensive Review. Earth-Sci. Rev. 2020, 203, 103140. [Google Scholar] [CrossRef]
- Huang, R.; Sun, W.; Ding, X.; Zhao, Y.; Song, M. Effect of Pressure on the Kinetics of Peridotite Serpentinization. Phys. Chem. Miner. 2020, 47, 33. [Google Scholar] [CrossRef]
- Lamadrid, H.M.; Zajacz, Z.; Klein, F.; Bodnar, R.J. Synthetic Fluid Inclusions XXIII. Effect of Temperature and Fluid Composition on Rates of Serpentinization of Olivine. Geochim. Cosmochim. Acta 2021, 292, 285–308. [Google Scholar] [CrossRef]
- Lollar, B.S.; Onstott, T.C.; Lacrampe-Couloume, G.; Ballentine, C.J. The Contribution of the Precambrian Continental Lithosphere to Global H2 Production. Nature 2014, 516, 379–382. [Google Scholar] [CrossRef]
- Bazarkina, E.F.; Chou, I.-M.; Goncharov, A.F.; Akinfiev, N.N. The Behavior of H2 in Aqueous Fluids under High Temperature and Pressure. Elements 2020, 16, 33–38. [Google Scholar] [CrossRef]
- Rahbari, A.; Brenkman, J.; Hens, R.; Ramdin, M.; Van Den Broeke, L.J.P.; Schoon, R.; Henkes, R.; Moultos, O.A.; Vlugt, T.J.H. Solubility of Water in Hydrogen at High Pressures: A Molecular Simulation Study. J. Chem. Eng. Data 2019, 64, 4103–4115. [Google Scholar] [CrossRef]
- Ratnakar, R.R.; Dindoruk, B.; Harvey, A. Thermodynamic Modeling of Hydrogen-Water System for High-Pressure Storage and Mobility Applications. J. Nat. Gas Sci. Eng. 2020, 81, 103463. [Google Scholar] [CrossRef]
- Li, D.; Beyer, C.; Bauer, S. A Unified Phase Equilibrium Model for Hydrogen Solubility and Solution Density. Int. J. Hydrogen Energy 2018, 43, 512–529. [Google Scholar] [CrossRef]
- Lopez-Lazaro, C.; Bachaud, P.; Moretti, I.; Ferrando, N. Predicting the Phase Behavior of Hydrogen in NaCl Brines by Molecular Simulation for Geological Applications. BSGF-Earth Sci. Bull. 2019, 190, 7. [Google Scholar] [CrossRef]
- Sun, R.; Lai, S.; Dubessy, J. Calculations of Vapor–Liquid Equilibria of the H2O-N2 and H2O-H2 Systems with Improved SAFT-LJ EOS. Fluid Phase Equilibria 2015, 390, 23–33. [Google Scholar] [CrossRef]
- Hou, S.-X.; Maitland, G.C.; Trusler, J.P.M. Phase Equilibria of (CO2 + H2O + NaCl) and (CO2 + H2O + KCl): Measurements and Modeling. J. Supercrit. Fluids 2013, 78, 78–88. [Google Scholar] [CrossRef]
- Bahadori, A.; Mokhatab, S. New Correlations Predict Aqueous Solubility and Density of Carbon Dioxide. Int. J. Greenh. Gas Control 2009, 3, 474–480. [Google Scholar] [CrossRef]
- Li, Y.; Nghiem, L.X. Phase Equilibria of Oil, Gas and Water/Brine Mixtures from a Cubic Equation of State and Henry’s Law. Can. J. Chem. Eng. 1986, 64, 486–496. [Google Scholar] [CrossRef]
- Spycher, N.; Pruess, K.; Ennis-King, J. CO2-H2O Mixtures in the Geological Sequestration of CO2. I. Assessment and Calculation of Mutual Solubilities from 12 to 100 °C and up to 600 Bar. Geochim. Cosmochim. Acta 2003, 67, 3015–3031. [Google Scholar] [CrossRef]
- Spycher, N.; Pruess, K. A Phase-Partitioning Model for CO2–Brine Mixtures at Elevated Temperatures and Pressures: Application to CO2-Enhanced Geothermal Systems. Transp. Porous Media 2010, 82, 173–196. [Google Scholar] [CrossRef]
- Yan, Y.; Chen, C.-C. Thermodynamic Modeling of CO2 Solubility in Aqueous Solutions of NaCl and Na2SO4. J. Supercrit. Fluids 2010, 55, 623–634. [Google Scholar] [CrossRef]
- Duan, Z.; Sun, R. An Improved Model Calculating CO2 Solubility in Pure Water and Aqueous NaCl Solutions from 273 to 533 K and from 0 to 2000 Bar. Chem. Geol. 2003, 193, 257–271. [Google Scholar] [CrossRef]
- Duan, Z.; Sun, R.; Zhu, C.; Chou, I.-M. An Improved Model for the Calculation of CO2 Solubility in Aqueous Solutions Containing Na+, K+, Ca2+, Mg2+, Cl−, and SO42−. Mar. Chem. 2006, 98, 131–139. [Google Scholar] [CrossRef]
- Zhu, Z.; Cao, Y.; Zheng, Z.; Chen, D. An Accurate Model for Estimating H2 Solubility in Pure Water and Aqueous NaCl Solutions. Energies 2022, 15, 5021. [Google Scholar] [CrossRef]
- Darwish, N.A.; Hilal, N. A Simple Model for the Prediction of CO2 Solubility in H2O–NaCl System at Geological Sequestration Conditions. Desalination 2010, 260, 114–118. [Google Scholar] [CrossRef]
- Barta, L.; Bradley, D.J. Extension of the Specific Interaction Model to Include Gas Solubilities in High Temperature Brines. Geochim. Cosmochim. Acta 1985, 49, 195–203. [Google Scholar] [CrossRef]
- Sun, X.; Wang, Z.; Li, H.; He, H.; Sun, B. A Simple Model for the Prediction of Mutual Solubility in CO2-Brine System at Geological Conditions. Desalination 2021, 504, 114972. [Google Scholar] [CrossRef]
- Enick, R.M.; Klara, S.M. CO2 Solubility in Water and Brine Under Reservoir Conditions. Chem. Eng. Commun. 1990, 90, 23–33. [Google Scholar] [CrossRef]
- Chabab, S.; Théveneau, P.; Coquelet, C.; Corvisier, J.; Paricaud, P. Measurements and Predictive Models of High-Pressure H2 Solubility in Brine (H2O+NaCl) for Underground Hydrogen Storage Application. Int. J. Hydrogen Energy 2020, 45, 32206–32220. [Google Scholar] [CrossRef]
- Kerkache, H.; Hoang, H.; Cézac, P.; Galliéro, G.; Chabab, S. The Solubility of H2 in NaCl Brine at High Pressures and High Temperatures: Molecular Simulation Study and Thermodynamic Modeling. J. Mol. Liq. 2024, 400, 124497. [Google Scholar] [CrossRef]
- Van Rooijen, W.A.; Habibi, P.; Xu, K.; Dey, P.; Vlugt, T.J.H.; Hajibeygi, H.; Moultos, O.A. Interfacial Tensions, Solubilities, and Transport Properties of the H2/H2O/NaCl System: A Molecular Simulation Study. J. Chem. Eng. Data 2024, 69, 307–319. [Google Scholar] [CrossRef]
- Liu, Y.; Lafitte, T.; Panagiotopoulos, A.Z.; Debenedetti, P.G. Simulations of Vapor–Liquid Phase Equilibrium and Interfacial Tension in the CO2–H2O–NaCl System. AIChE J. 2013, 59, 3514–3522. [Google Scholar] [CrossRef]
- Liu, Y.; Panagiotopoulos, A.Z.; Debenedetti, P.G. Monte Carlo Simulations of High-Pressure Phase Equilibria of CO2–H2O Mixtures. J. Phys. Chem. B 2011, 115, 6629–6635. [Google Scholar] [CrossRef] [PubMed]
- Vorholz, J.; Harismiadis, V.I.; Rumpf, B.; Panagiotopoulos, A.Z.; Maurer, G. Vapor+liquid Equilibrium of Water, Carbon Dioxide, and the Binary System, Water+carbon Dioxide, from Molecular Simulation. Fluid Phase Equilibria 2000, 170, 203–234. [Google Scholar] [CrossRef]
- Hosseinzadeh Dehaghani, Y.; Assareh, M.; Feyzi, F. Simultaneous Prediction of Equilibrium, Interfacial, and Transport Properties of CO2-Brine Systems Using Molecular Dynamics Simulation: Applications to CO2 Storage. Ind. Eng. Chem. Res. 2022, 61, 15390–15406. [Google Scholar] [CrossRef]
- Zhu, Y.; Wang, H.; Vano, K. Applying the Wavelet Neural Network to Estimate Hydrogen Dissolution in Underground Sodium Chloride Solutions. Int. J. Hydrogen Energy 2022, 47, 22720–22730. [Google Scholar] [CrossRef]
- Menad, N.A.; Hemmati-Sarapardeh, A.; Varamesh, A.; Shamshirband, S. Predicting Solubility of CO2 in Brine by Advanced Machine Learning Systems: Application to Carbon Capture and Sequestration. J. CO2 Util. 2019, 33, 83–95. [Google Scholar] [CrossRef]
- Mohammadian, E.; Hadavimoghaddam, F.; Kheirollahi, M.; Jafari, M.; Chenlu, X.; Liu, B. Probing Solubility and pH of CO2 in Aqueous Solutions: Implications for CO2 Injection into Oceans. J. CO2 Util. 2023, 71, 102463. [Google Scholar] [CrossRef]
- Jeon, P.R.; Lee, C.-H. Artificial Neural Network Modelling for Solubility of Carbon Dioxide in Various Aqueous Solutions from Pure Water to Brine. J. CO2 Util. 2021, 47, 101500. [Google Scholar] [CrossRef]
- Mahmoudzadeh, A.; Amiri-Ramsheh, B.; Atashrouz, S.; Abedi, A.; Abuswer, M.A.; Ostadhassan, M.; Mohaddespour, A.; Hemmati-Sarapardeh, A. Modeling CO2 Solubility in Water Using Gradient Boosting and Light Gradient Boosting Machine. Sci. Rep. 2024, 14, 13511. [Google Scholar] [CrossRef] [PubMed]
- Lv, Q.; Zhou, T.; Zheng, H.; Amiri-Ramsheh, B.; Hadavimoghaddam, F.; Hemmati-Sarapardeh, A.; Li, X.; Li, L. Modeling Hydrogen Solubility in Water: Comparison of Adaptive Boosting Support Vector Regression, Gene Expression Programming, and Cubic Equations of State. Int. J. Hydrogen Energy 2024, 57, 637–650. [Google Scholar] [CrossRef]
- Vo Thanh, H.; Zhang, H.; Dai, Z.; Zhang, T.; Tangparitkul, S.; Min, B. Data-Driven Machine Learning Models for the Prediction of Hydrogen Solubility in Aqueous Systems of Varying Salinity: Implications for Underground Hydrogen Storage. Int. J. Hydrogen Energy 2024, 55, 1422–1433. [Google Scholar] [CrossRef]
- Oxburgh, E.R. (W.S.) Fyfe, (N.J.) Price and (A.B.) Thompson Fluids in the Earth’s Crust (Developments in Geochemistry, I). Amsterdam, Oxford, and New York (Elsevier) 1978 Xviii + 383 Pp., 225 Figs., 1 Coloured Pl. Price Dfl 125.00 ($49.75). Mineral. Mag. 1980, 43, 827. [Google Scholar] [CrossRef]
- Pytkowicz, R.M. Riley, J. P., and G. Skirrow [Eds.]. 1975. Chemical Oceanography, v. 1. 2nd Ed. Academic Press, New York and London, Xx + 606 p. $49.00. £18.50. Limnol. Oceanogr. 1976, 21, 345–347. [Google Scholar] [CrossRef]
- Elderfield, H. S. S. Butcher, R. J. Charlson, G. H. Orians & G. V. Wolfe (Eds) 1992. Global Biogeochemical Cycles. Xvi + 379 Pp. London, San Diego, New York, Boston, Sydney, Tokyo, Toronto: Academic Press (Harcourt Brace Jovanovich). Price £24.95, US $59.00 (paperback). ISBN 0 12 147686 3. Geol. Mag. 1993, 130, 408. [Google Scholar] [CrossRef]
- Millero, F.J. Thermodynamics of the Carbon Dioxide System in the Oceans. Geochim. Cosmochim. Acta 1995, 59, 661–677. [Google Scholar] [CrossRef]
- Friedmann, S.J. NETL Carbon Storage Atlas—Fifth Edition—ATLAS-V-2015.Pdf—EDX. Available online: https://edx.netl.doe.gov/dataset/netl-carbon-storage-atlas-fifth-edition/resource/4f44abdf-0976-4251-8838-457c60e638ba (accessed on 21 August 2024).
- Sun, Z.; Li, H. Phase Behavior Modeling for Carbon Dioxide/Brine Mixtures Using PR EOS and Huron-Vidal Mixing Rule. In Proceedings of the ASME 2022 41st International Conference on Ocean, Offshore and Arctic Engineering; American Society of Mechanical Engineers, Hamburg, Germany, 5–10 June 2022; Volume 10, p. V010T11A002. [Google Scholar]
- Wiebe, R.; Gaddy, V.L. The Solubility of Carbon Dioxide in Water at Various Temperatures from 12 to 40° and at Pressures to 500 Atmospheres. Critical Phenomena*. J. Am. Chem. Soc. 1940, 62, 815–817. [Google Scholar] [CrossRef]
- Tödheide, K.; Franck, E. The Two-Phase Region and the Critical Curve in the Carbon Dioxide-Water System up to Pressures of 3500 Bar. J. Phys. Chem. 1963, 37, 387–401. [Google Scholar]
- Takenouchi, S.; Kennedy, G.C. The Solubility of Carbon Dioxide in Nacl Solutions at High Temperatures and Pressures. Am. J. Sci. 1965, 263, 445–454. [Google Scholar] [CrossRef]
- Takenouchi, S.; Kennedy, G.C. The Binary System H2O-CO2 at High Temperatures and Pressures. Am. J. Sci. 1964, 262, 1055–1074. [Google Scholar] [CrossRef]
- King, M.B.; Mubarak, A.; Kim, J.D.; Bott, T.R. The Mutual Solubilities of Water with Supercritical and Liquid Carbon Dioxides. J. Supercrit. Fluids 1992, 5, 296–302. [Google Scholar] [CrossRef]
- Ahmadi, P.; Chapoy, A. CO2 Solubility in Formation Water under Sequestration Conditions. Fluid Phase Equilibria 2018, 463, 80–90. [Google Scholar] [CrossRef]
- Al Ghafri, S.Z.; Forte, E.; Galindo, A.; Maitland, G.C.; Trusler, J.P.M. Experimental and Modeling Study of the Phase Behavior of (Heptane + Carbon Dioxide + Water) Mixtures. J. Chem. Eng. Data 2015, 60, 3670–3681. [Google Scholar] [CrossRef]
- Anderson, G.K. Solubility of Carbon Dioxide in Water under Incipient Clathrate Formation Conditions. J. Chem. Eng. Data 2002, 47, 219–222. [Google Scholar] [CrossRef]
- Bamberger, A.; Sieder, G.; Maurer, G. High-Pressure (Vapor + liquid) Equilibrium in Binary Mixtures of (Carbon Dioxide + water or Acetic Acid) at Temperatures from 313 to 353 K. J. Supercrit. Fluids 2000, 17, 97–110. [Google Scholar] [CrossRef]
- Bando, S.; Takemura, F.; Nishio, M.; Hihara, E.; Akai, M. Solubility of CO2 in Aqueous Solutions of NaCl at (30 to 60) °C and (10 to 20) MPa. J. Chem. Eng. Data 2003, 48, 576–579. [Google Scholar] [CrossRef]
- Bastami, A.; Allahgholi, M.; Pourafshary, P. Experimental and Modelling Study of the Solubility of CO2 in Various CaCl2 Solutions at Different Temperatures and Pressures. Pet. Sci. 2014, 11, 569–577. [Google Scholar] [CrossRef]
- Bermejo, M.D.; Martín, A.; Florusse, L.J.; Peters, C.J.; Cocero, M.J. The Influence of Na2SO4 on the CO2 Solubility in Water at High Pressure. Fluid Phase Equilibria 2005, 238, 220–228. [Google Scholar] [CrossRef]
- Liu, B.; Mahmood, B.S.; Mohammadian, E.; Khaksar Manshad, A.; Rosli, N.R.; Ostadhassan, M. Measurement of Solubility of CO2 in NaCl, CaCl2, MgCl2 and MgCl2 + CaCl2 Brines at Temperatures from 298 to 373 K and Pressures up to 20 MPa Using the Potentiometric Titration Method. Energies 2021, 14, 7222. [Google Scholar] [CrossRef]
- Siqueira Campos, C.E.P.; Villardi, H.G.D.; Pessoa, F.L.P.; Uller, A.M.C. Solubility of Carbon Dioxide in Water and Hexadecane: Experimental Measurement and Thermodynamic Modeling. J. Chem. Eng. Data 2009, 54, 2881–2886. [Google Scholar] [CrossRef]
- Carvalho, P.J.; Pereira, L.M.C.; Gonçalves, N.P.F.; Queimada, A.J.; Coutinho, J.A.P. Carbon Dioxide Solubility in Aqueous Solutions of NaCl: Measurements and Modeling with Electrolyte Equations of State. Fluid Phase Equilibria 2015, 388, 100–106. [Google Scholar] [CrossRef]
- Chapoy, A.; Mohammadi, A.H.; Chareton, A.; Tohidi, B.; Richon, D. Measurement and Modeling of Gas Solubility and Literature Review of the Properties for the Carbon Dioxide−Water System. Ind. Eng. Chem. Res. 2004, 43, 1794–1802. [Google Scholar] [CrossRef]
- Corti, H.R.; Krenzer, M.E.; De Pablo, J.J.; Prausnitz, J.M. Effect of a Dissolved Gas on the Solubility of an Electrolyte in Aqueous Solution. Ind. Eng. Chem. Res. 1990, 29, 1043–1050. [Google Scholar] [CrossRef]
- Dalmolin, I.; Skovroinski, E.; Biasi, A.; Corazza, M.L.; Dariva, C.; Oliveira, J.V. Solubility of Carbon Dioxide in Binary and Ternary Mixtures with Ethanol and Water. Fluid Phase Equilibria 2006, 245, 193–200. [Google Scholar] [CrossRef]
- Dell’Era, C.; Uusi-Kyyny, P.; Pokki, J.-P.; Pakkanen, M.; Alopaeus, V. Solubility of Carbon Dioxide in Aqueous Solutions of Diisopropanolamine and Methyldiethanolamine. Fluid Phase Equilibria 2010, 293, 101–109. [Google Scholar] [CrossRef]
- dos Santos, P.F.; André, L.; Ducousso, M.; Contamine, F.; Cézac, P. Experimental Measurements of CO2 Solubility in Aqueous MgCl2 Solution at Temperature between 323.15 and 423.15 K and Pressure up to 20 MPa. J. Chem. Eng. Data 2021, 66, 4166–4173. [Google Scholar] [CrossRef]
- Ellis, A.J.; Golding, R.M. The Solubility of Carbon Dioxide above 100 Degrees C in Water and in Sodium Chloride Solutions. Am. J. Sci. 1963, 261, 47–60. [Google Scholar] [CrossRef]
- Gilbert, K.; Bennett, P.C.; Wolfe, W.; Zhang, T.; Romanak, K.D. CO2 Solubility in Aqueous Solutions Containing Na+, Ca2+, Cl−, SO42− and HCO3−: The Effects of Electrostricted Water and Ion Hydration Thermodynamics. Appl. Geochem. 2016, 67, 59–67. [Google Scholar] [CrossRef]
- Guo, H.; Huang, Y.; Chen, Y.; Zhou, Q. Quantitative Raman Spectroscopic Measurements of CO2 Solubility in NaCl Solution from (273.15 to 473.15) K at p = (10.0, 20.0, 30.0, and 40.0) MPa. J. Chem. Eng. Data 2016, 61, 466–474. [Google Scholar] [CrossRef]
- Han, X.; Yu, Z.; Qu, J.; Qi, T.; Guo, W.; Zhang, G. Measurement and Correlation of Solubility Data for CO2 in NaHCO3 Aqueous Solution. J. Chem. Eng. Data 2011, 56, 1213–1219. [Google Scholar] [CrossRef]
- Han, J.M.; Shin, H.Y.; Min, B.-M.; Han, K.-H.; Cho, A. Measurement and Correlation of High Pressure Phase Behavior of Carbon Dioxide + Water System. J. Ind. Eng. Chem. 2009, 15, 212–216. [Google Scholar] [CrossRef]
- He, S.; Morse, J.W. The Carbonic Acid System and Calcite Solubility in Aqueous Na-K-Ca-Mg-Cl-SO4 Solutions from 0 to 90 °C. Geochim. Cosmochim. Acta 1993, 57, 3533–3554. [Google Scholar] [CrossRef]
- He, H.; Sun, B.; Sun, X.; Wang, Z. Experimental and Theoretical Study on Water Solubility of Carbon Dioxide in Oil and Gas Displacement. J. Pet. Sci. Eng. 2021, 203, 108685. [Google Scholar] [CrossRef]
- Hoballah, R. On the Solubility of Acid and Sour Gases in Water and Brines under Reservoir Conditions. Ph.D. Thesis, Imperial College London, London, UK, 2017. [Google Scholar]
- Hou, S.-X.; Maitland, G.C.; Trusler, J.P.M. Measurement and Modeling of the Phase Behavior of the (Carbon Dioxide + Water) Mixture at Temperatures from 298.15 K to 448.15 K. J. Supercrit. Fluids 2013, 73, 87–96. [Google Scholar] [CrossRef]
- Pérez-Salado Kamps, Á.; Meyer, E.; Rumpf, B.; Maurer, G. Solubility of CO2 in Aqueous Solutions of KCl and in Aqueous Solutions of K2CO3. J. Chem. Eng. Data 2007, 52, 817–832. [Google Scholar] [CrossRef]
- Kiepe, J.; Horstmann, S.; Fischer, K.; Gmehling, J. Experimental Determination and Prediction of Gas Solubility Data for CO2 + H2O Mixtures Containing NaCl or KCl at Temperatures between 313 and 393 K and Pressures up to 10 MPa. Ind. Eng. Chem. Res. 2002, 41, 4393–4398. [Google Scholar] [CrossRef]
- Koschel, D.; Coxam, J.-Y.; Rodier, L.; Majer, V. Enthalpy and Solubility Data of CO2 in Water and NaCl(Aq) at Conditions of Interest for Geological Sequestration. Fluid Phase Equilibria 2006, 247, 107–120. [Google Scholar] [CrossRef]
- Malinin, S.; Kurovskaya, N. Investigation of CO2 Solubility in a Solution of Chlorides at Elevated Temperatures and Pressures of CO2. Geokhimiya 1975, 4, 547–551. [Google Scholar]
- Martín, Á.; Pham, H.M.; Kilzer, A.; Kareth, S.; Weidner, E. Phase Equilibria of Carbon Dioxide + Poly Ethylene Glycol + Water Mixtures at High Pressure: Measurements and Modelling. Fluid Phase Equilibria 2009, 286, 162–169. [Google Scholar] [CrossRef]
- Messabeb, H.; Contamine, F.; Cézac, P.; Serin, J.P.; Pouget, C.; Gaucher, E.C. Experimental Measurement of CO2 Solubility in Aqueous CaCl 2 Solution at Temperature from 323.15 to 423.15 K and Pressure up to 20 MPa Using the Conductometric Titration. J. Chem. Eng. Data 2017, 62, 4228–4234. [Google Scholar] [CrossRef]
- Mohammadian, E.; Hamidi, H.; Asadullah, M.; Azdarpour, A.; Motamedi, S.; Junin, R. Measurement of CO2 Solubility in NaCl Brine Solutions at Different Temperatures and Pressures Using the Potentiometric Titration Method. J. Chem. Eng. Data 2015, 60, 2042–2049. [Google Scholar] [CrossRef]
- Muromachi, S.; Shijima, A.; Miyamoto, H.; Ohmura, R. Experimental Measurements of Carbon Dioxide Solubility in Aqueous Tetra-n-Butylammonium Bromide Solutions. J. Chem. Thermodyn. 2015, 85, 94–100. [Google Scholar] [CrossRef]
- Nighswander, J.A.; Kalogerakis, N.; Mehrotra, A.K. Solubilities of Carbon Dioxide in Water and 1 Wt. % Sodium Chloride Solution at Pressures up to 10 MPa and Temperatures from 80 to 200.Degree.C. J. Chem. Eng. Data 1989, 34, 355–360. [Google Scholar] [CrossRef]
- Portier, S.; Rochelle, C. Modelling CO2 Solubility in Pure Water and NaCl-Type Waters from 0 to 300 °C and from 1 to 300 Bar. Chem. Geol. 2005, 217, 187–199. [Google Scholar] [CrossRef]
- Poulain, M.; Messabeb, H.; Lach, A.; Contamine, F.; Cézac, P.; Serin, J.-P.; Dupin, J.-C.; Martinez, H. Experimental Measurements of Carbon Dioxide Solubility in Na–Ca–K–Cl Solutions at High Temperatures and Pressures up to 20 MPa. J. Chem. Eng. Data 2019, 64, 2497–2503. [Google Scholar] [CrossRef]
- Prutton, C.F.; Savage, R.L. The Solubility of Carbon Dioxide in Calcium Chloride-Water Solutions at 75, 100, 120° and High Pressures1. J. Am. Chem. Soc. 1945, 67, 1550–1554. [Google Scholar] [CrossRef]
- Qin, J.; Rosenbauer, R.J.; Duan, Z. Experimental Measurements of Vapor–Liquid Equilibria of the H2O + CO2 + CH4 Ternary System. J. Chem. Eng. Data 2008, 53, 1246–1249. [Google Scholar] [CrossRef]
- Ruffine, L.; Trusler, J.P.M. Phase Behaviour of Mixed-Gas Hydrate Systems Containing Carbon Dioxide. J. Chem. Thermodyn. 2010, 42, 605–611. [Google Scholar] [CrossRef]
- Rumpf, B.; Maurer, G. An Experimental and Theoretical Investigation on the Solubility of Carbon Dioxide in Aqueous Solutions of Strong Electrolytes. Berichte Bunsenges. Für Phys. Chem. 1993, 97, 85–97. [Google Scholar] [CrossRef]
- Rumpf, B.; Nicolaisen, H.; Öcal, C.; Maurer, G. Solubility of Carbon Dioxide in Aqueous Solutions of Sodium Chloride: Experimental Results and Correlation. J. Solut. Chem. 1994, 23, 431–448. [Google Scholar] [CrossRef]
- Sako, T.; Sugeta, T.; Nakazawa, N.; Okubo, T.; Sato, M.; Taguchi, T.; Hiaki, T. Phase Equilibrium Study of Extraction and Concentration of Furfural Produced in Reactor Using Supercritical Carbon Dioxide. J. Chem. Eng. Jpn. 1991, 24, 449–455. [Google Scholar] [CrossRef]
- Serpa, F.S.; Vidal, R.S.; Filho, J.H.B.A.; do Nascimento, J.F.; Ciambelli, J.R.P.; Figueiredo, C.M.S.; Salazar-Banda, G.R.; Santos, A.F.; Fortuny, M.; Franceschi, E.; et al. Solubility of Carbon Dioxide in Ethane-1,2-Diol–Water Mixtures. J. Chem. Eng. Data 2013, 58, 3464–3469. [Google Scholar] [CrossRef]
- Servio, P.; Englezos, P. Effect of Temperature and Pressure on the Solubility of Carbon Dioxide in Water in the Presence of Gas Hydrate. Fluid Phase Equilibria 2001, 190, 127–134. [Google Scholar] [CrossRef]
- Tang, Y.; Bian, X.; Du, Z.; Wang, C. Measurement and Prediction Model of Carbon Dioxide Solubility in Aqueous Solutions Containing Bicarbonate Anion. Fluid Phase Equilibria 2015, 386, 56–64. [Google Scholar] [CrossRef]
- Tong, D.; Trusler, J.P.M.; Vega-Maza, D. Solubility of CO2 in Aqueous Solutions of CaCl2 or MgCl2 and in a Synthetic Formation Brine at Temperatures up to 423 K and Pressures up to 40 MPa. J. Chem. Eng. Data 2013, 58, 2116–2124. [Google Scholar] [CrossRef]
- Valtz, A.; Chapoy, A.; Coquelet, C.; Paricaud, P.; Richon, D. Vapour–Liquid Equilibria in the Carbon Dioxide–Water System, Measurement and Modelling from 278.2 to 318.2 K. Fluid Phase Equilibria 2004, 226, 333–344. [Google Scholar] [CrossRef]
- Wiebe, R. The Binary System Carbon Dioxide-Water under Pressure. Chem. Rev. 1941, 29, 475–481. [Google Scholar] [CrossRef]
- Wiebe, R.; Gaddy, V. The Solubility in Water of Carbon Dioxide at 50, 75 and 100, at Pressures to 700 Atmospheres. J. Am. Chem. Soc. 1939, 61, 315–318. [Google Scholar] [CrossRef]
- Liu, Y.; Hou, M.; Yang, G.; Han, B. Solubility of CO2 in Aqueous Solutions of NaCl, KCl, CaCl2 and Their Mixed Salts at Different Temperatures and Pressures. J. Supercrit. Fluids 2011, 56, 125–129. [Google Scholar] [CrossRef]
- Liu, Y.; Hou, M.; Ning, H.; Yang, D.; Yang, G.; Han, B. Phase Equilibria of CO2 + N2 + H2O and N2 + CO2 + H2O + NaCl + KCl + CaCl2 Systems at Different Temperatures and Pressures. J. Chem. Eng. Data 2012, 57, 1928–1932. [Google Scholar] [CrossRef]
- Yan, W.; Huang, S.; Stenby, E.H. Measurement and Modeling of CO2 Solubility in NaCl Brine and CO2–Saturated NaCl Brine Density. Int. J. Greenh. Gas Control 2011, 5, 1460–1477. [Google Scholar] [CrossRef]
- Zhao, H.; Dilmore, R.M.; Lvov, S.N. Experimental Studies and Modeling of CO2 Solubility in High Temperature Aqueous CaCl2, MgCl2, Na2SO4, and KCl Solutions. AIChE J. 2015, 61, 2286–2297. [Google Scholar] [CrossRef]
- Zhao, H.; Fedkin, M.V.; Dilmore, R.M.; Lvov, S.N. Carbon Dioxide Solubility in Aqueous Solutions of Sodium Chloride at Geological Conditions: Experimental Results at 323.15, 373.15, and 423.15 K and 150 Bar and Modeling up to 573.15 K and 2000 Bar. Geochim. Cosmochim. Acta 2015, 149, 165–189. [Google Scholar] [CrossRef]
- Peng, D.; Robinson, D. A New Two-Constant Equation of State. IndEngChem Fundam. 1976, 15, 59–64. [Google Scholar] [CrossRef]
- Peng, D.; Robinson, D.B. Two- and Three-Phase Equilibrium Calculations for Coal Gasification and Related Processes. In Thermodynamics of Aqueous Systems With Industrial Applications; ACS Symposium Series; American Chemical Society: Washington, DC, USA, 1980; Volume 133, pp. 393–414. ISBN 978-0-8412-0569-7. [Google Scholar]
- Søreide, I.; Whitson, C.H. Peng-Robinson Predictions for Hydrocarbons, CO2, N2, and H2 S with Pure Water and NaCI Brine. Fluid Phase Equilibria 1992, 77, 217–240. [Google Scholar] [CrossRef]
- Ji, Z.; Wang, H.; Wang, M.; Lv, W.; Wang, S.; Kou, Z.; He, C.; Wang, L. Experimental and Modeling Study of CO2 Solubility in Formation Brines at In-Situ Conditions. J. Clean. Prod. 2024, 438, 140840. [Google Scholar] [CrossRef]
- Diamond, L.W.; Akinfiev, N.N. Solubility of CO2 in Water from −1.5 to 100 °C and from 0.1 to 100 MPa: Evaluation of Literature Data and Thermodynamic Modelling. Fluid Phase Equilibria 2003, 208, 265–290. [Google Scholar] [CrossRef]
- Thompson, A.P.; Aktulga, H.M.; Berger, R.; Bolintineanu, D.S.; Brown, W.M.; Crozier, P.S.; in’T Veld, P.J.; Kohlmeyer, A.; Moore, S.G.; Nguyen, T.D.; et al. LAMMPS—A Flexible Simulation Tool for Particle-Based Materials Modeling at the Atomic, Meso, and Continuum Scales. Comput. Phys. Commun. 2022, 271, 108171. [Google Scholar] [CrossRef]
- Frenkel, D. Understanding Molecular Simulation: From Algorithms to Applications; Academic Press: San Diego, CA, USA, 1996; ISBN 978-0-12-267370-2. [Google Scholar]
- Orozco, G.A.; Economou, I.G.; Panagiotopoulos, A.Z. Optimization of Intermolecular Potential Parameters for the CO2/H2O Mixture. J. Phys. Chem. B 2014, 118, 11504–11511. [Google Scholar] [CrossRef]
- Lobanova, O.; Mejía, A.; Jackson, G.; Müller, E.A. SAFT-γ Force Field for the Simulation of Molecular Fluids 6: Binary and Ternary Mixtures Comprising Water, Carbon Dioxide, and n-Alkanes. J. Chem. Thermodyn. 2016, 93, 320–336. [Google Scholar] [CrossRef]
- Jiang, H.; Economou, I.G.; Panagiotopoulos, A.Z. Phase Equilibria of Water/CO2 and Water/n-Alkane Mixtures from Polarizable Models. J. Phys. Chem. B 2017, 121, 1386–1395. [Google Scholar] [CrossRef] [PubMed]
- Hulikal Chakrapani, T.; Hajibeygi, H.; Moultos, O.A.; Vlugt, T.J.H. Mutual Diffusivities of Mixtures of Carbon Dioxide and Hydrogen and Their Solubilities in Brine: Insight from Molecular Simulations. Ind. Eng. Chem. Res. 2024, 63, 10456–10481. [Google Scholar] [CrossRef] [PubMed]
- Adam, A.M.; Bahamon, D.; Al Kobaisi, M.; Vega, L.F. Molecular Dynamics Simulations of the Interfacial Tension and the Solubility of Brine/H2/CO2 Systems: Implications for Underground Hydrogen Storage. Int. J. Hydrogen Energy 2024, 78, 1344–1354. [Google Scholar] [CrossRef]
- Mohammadian, E.; Liu, B.; Riazi, A. Evaluation of Different Machine Learning Frameworks to Estimate CO2 Solubility in NaCl Brines: Implications for CO2 Injection into Low-Salinity Formations. Lithosphere 2022, 2022, 1615832. [Google Scholar] [CrossRef]
- Ratnakar, R.R.; Chaubey, V.; Dindoruk, B. A Novel Computational Strategy to Estimate CO2 Solubility in Brine Solutions for CCUS Applications. Appl. Energy 2023, 342, 121134. [Google Scholar] [CrossRef]
- Zou, X.; Zhu, Y.; Lv, J.; Zhou, Y.; Ding, B.; Liu, W.; Xiao, K.; Zhang, Q. Toward Estimating CO2 Solubility in Pure Water and Brine Using Cascade Forward Neural Network and Generalized Regression Neural Network: Application to CO2 Dissolution Trapping in Saline Aquifers. ACS Omega 2024, 9, 4705–4720. [Google Scholar] [CrossRef]
- Chabab, S.; Kerkache, H.; Bouchkira, I.; Poulain, M.; Baudouin, O.; Moine, É.; Ducousso, M.; Hoang, H.; Galliéro, G.; Cézac, P. Solubility of H2 in Water and NaCl Brine under Subsurface Storage Conditions: Measurements and Thermodynamic Modeling. Int. J. Hydrogen Energy 2024, 50, 648–658. [Google Scholar] [CrossRef]
- Young, C.L. (Ed.) Hydrogen and Deuterium, 1st ed.; Solubility Data Series; Pergamon Press: Oxford, UK, 1981; ISBN 978-0-08-023927-9. [Google Scholar]
- Wiebe, R.; Gaddy, V.L. The Solubility of Hydrogen in Water at 0, 50, 75 and 100° from 25 to 1000 Atmospheres. J. Am. Chem. Soc. 1934, 56, 76–79. [Google Scholar] [CrossRef]
- Crozier, T.E.; Yamamoto, S. Solubility of Hydrogen in Water, Sea Water, and Sodium Chloride Solutions. J. Chem. Eng. Data 1974, 19, 242–244. [Google Scholar] [CrossRef]
- Braun, L. Über die Absorption von Stickstoff und von Wasserstoff in wässerigen Lösungen verschieden dissociierter Stoffe. Z. Für Phys. Chem. 1900, 33, 721–739. [Google Scholar] [CrossRef]
- Torín-Ollarves, G.A.; Trusler, J.P.M. Solubility of Hydrogen in Sodium Chloride Brine at High Pressures. Fluid Phase Equilibria 2021, 539, 113025. [Google Scholar] [CrossRef]
- Bunsen, R. Ueber Das Gesetz Der Gasabsorption. Justus Liebigs Ann. Chem. 1855, 93, 1–50. [Google Scholar] [CrossRef]
- Bohr, C.; Bock, J. Bestimmung Der Absorption Einiger Gase in Wasser Bei Den Temperaturen Zwischen 0 Und 100°. Ann. Phys. 1891, 280, 318–343. [Google Scholar] [CrossRef]
- Winkler, L.W. Die Löslichkeit Der Gase in Wasser. Berichte Dtsch. Chem. Ges. 1891, 24, 89–101. [Google Scholar] [CrossRef]
- Steiner, P. Ueber Die Absorption Des Wasserstoffs Im Wasser Und in Wässerigen Lösungen. Ann. Phys. 1894, 288, 275–299. [Google Scholar] [CrossRef]
- Geffcken, G. Beiträge Zur Kenntnis Der Löslichkeitsbeeinflussung. Z. Für Phys. Chem. 1904, 49U, 257–302. [Google Scholar] [CrossRef]
- Knopp, W. Über Die Löslichkeitsbeeinflussung von Wasserstoff Und Stickoxydul in Wässerigen Lösungen Verschieden Dissoziierter Stoffe. Z. Für Phys. Chem. 1904, 48U, 97–108. [Google Scholar] [CrossRef]
- Huefner, G. Study of the Absorption of Nitrogen and Hydrogen in Aqueous Solutions. Z Phys Chem Stoechiom Verwandtschaftsl 1907, 57, 611–625. [Google Scholar]
- Findlay, A.; Shen, B. CLVI.—The Influence of Colloids and Fine Suspensions on the Solubility of Gases in Water. Part II. Solubility of Carbon Dioxide and of Hydrogen. J Chem Soc Trans 1912, 101, 1459–1468. [Google Scholar] [CrossRef]
- Müller, C. Die Absorption von Sauerstoff, Stickstoff Und Wasserstoff in Wässerigen Lösungen von Nichtelektrolyten. Z. Für Phys. Chem. 1913, 81U, 483–503. [Google Scholar] [CrossRef]
- Ipat’ev, V.; Teodorovich, V. Solubility of Hydrogen in Water under Pressure at Elevated Temperatures. Zh Obshch Khim 1934, 4, 395–397. [Google Scholar]
- Morrison, T.J.; Billett, F. The Salting-out of Non-Electrolytes. Part II. The Effect of Variation in Non-Electrolyte. J. Chem. Soc. 1952, 730, 3819–3822. [Google Scholar] [CrossRef]
- Pray, H.A.; Schweickert, C.; Minnich, B.H. Solubility of Hydrogen, Oxygen, Nitrogen, and Helium in Water at Elevated Temperatures. Ind. Eng. Chem. Res. 1952, 44, 1146–1151. [Google Scholar] [CrossRef]
- Zoss, L. A Study of the Hydrogen and Water and Oxygen and Water Systems at Various Temperatures and Pressures. Ph.D. Thesis, Purdue University, West Lafayette, IN, USA, 1952. [Google Scholar]
- Stephan, E.F.; Hatfield, N.S.; Peoples, R.S.; Pray, H.A. Ignition Reactions in the Hydrogen-Oxygen-Water System at Elevated Temperatures; Springer: Berlin/Heidelberg, Germany, 1956; p. BMI-1138, 4356429. [Google Scholar]
- Wet, W.J. De Determination of Gas Solubilities in Water and Some Organic Liquids. S. Afr. J. Chem. 1934, 17, 9–13. [Google Scholar]
- Ruetschi, P.; Amlie, R.F. Solubility of Hydrogen in Potassium Hydroxide and Sulfuric Acid. Salting-out and Hydration. J. Phys. Chem. 1966, 70, 718–723. [Google Scholar] [CrossRef]
- Shoor, S.K.; Walker, R.D.; Gubbins, K.E. Salting out of Nonpolar Gases in Aqueous Potassium Hydroxide Solutions. J. Phys. Chem. 1969, 73, 312–317. [Google Scholar] [CrossRef]
- Longo, L.; Delivoria-Papadopoulos, M.; Power, G.; Hill, E. Forster Re Diffusion Equilibration of Inert Gases between Maternal and Fetal Placental Capillaires. Am. J. Physiol.-Leg. Content 1970, 219, 561–569. [Google Scholar] [CrossRef]
- Power, G.G.; Stegall, H. Solubility of Gases in Human Red Blood Cell Ghosts. J. Appl. Physiol. 1970, 29, 145–149. [Google Scholar] [CrossRef]
- Gerecke, J.; Bittrich, H. The Solubility of H2, CO2 and NH3 in an Aqueous Electrolyte Solution. Wiss. Z. Tech. Hochsch. Chem. Carl Shorlemmer Leuna Mersebg. 1971, 13, 115–122. [Google Scholar]
- Jung, J.; Knacke, O.; D, N. Solubility of Carbon Monoxide and Hydrogen in Water at Temperatures up to 300 Degrees C. Chem. Ing. Tech. 1971, 43, 112. [Google Scholar] [CrossRef]
- Schröder, W. Untersuchungen Über Die Temperaturabhängigkeit Der Gaslöslichkeit in Wasser. Chem. Ing. Tech. 1973, 45, 603–608. [Google Scholar] [CrossRef]
- Gordon, L.I.; Cohen, Y.; Standley, D.R. The Solubility of Molecular Hydrogen in Seawater. Deep Sea Res. 1977, 24, 937–941. [Google Scholar] [CrossRef]
- Devaney, W. High Temperature VLE Measurements for Substitute GAS Components; Gas Processors Association: San Antonio, TX, USA, 1978. [Google Scholar]
- Cargill, R.W. Solubility of Helium and Hydrogen in Some Water + Alcohol Systems. J. Chem. Soc. Faraday Trans. 1 Phys. Chem. Condens. Phases 1978, 74, 1444. [Google Scholar] [CrossRef]
- Meyer, M.; Tebbe, U.; Piiper, J. Solubility of Inert Gases in Dog Blood and Skeletal Muscle. Pflüg. Arch. 1980, 384, 131–134. [Google Scholar] [CrossRef]
- Gillespie, P.C.; Wilson, G.M. Vapor-Liquid and Liquid-Liquid Equilibria: Water-Methane, Water-Carbon Dioxide, Water-Hydrogen Sulfide, Water-Npentane, Water-Methane-Npentane; Gas Processors Association: San Antonio, TX, USA, 1982. [Google Scholar]
- Choudhary, V.R.; Parande, M.G.; Brahme, P.H. Simple Apparatus for Measuring Solubility of Gases at High Pressures. Ind. Eng. Chem. Fundam. 1982, 21, 472–474. [Google Scholar] [CrossRef]
- Dohrn, R.; Brunner, G. Phase Equilibria in Ternary and Quaternary Systems of Hydrogen, Water and Hydrocarbons at Elevated Temperatures and Pressures. Fluid Phase Equilibria 1986, 29, 535–544. [Google Scholar] [CrossRef]
- Alvarez, J.; Crovetto, R.; Fernandez-Prini, R. The Dissolution of N2 and of H2 in Water from Room Temperature to 640 K. Ber. Bunsenges. Phys. Chem. 1988, 92, 935–940. [Google Scholar] [CrossRef]
- Kling, G.; Maurer, G. The Solubility of Hydrogen in Water and in 2-Aminoethanol at Temperatures between 323 K and 423 K and Pressures up to 16 MPa. J. Chem. Therm. 1991, 23, 531–541. [Google Scholar] [CrossRef]
- Jáuregui-Haza, U.J.; Pardillo-Fontdevila, E.; Wilhelm, A.M.; Delmas, H. Solubility of Hidrogen and Carbon Monoxide in Water and Some Organic Solvents. Lat. Am. Appl. Res. 2004, 34, 71–74. [Google Scholar]
- Harvey, A.H. Semiempirical Correlation for Henry’s Constants over Large Temperature Ranges. AIChE J. 1996, 42, 1491–1494. [Google Scholar] [CrossRef]
- Fernández-Prini, R.; Alvarez, J.L.; Harvey, A.H. Henry’s Constants and Vapor–Liquid Distribution Constants for Gaseous Solutes in H2O and D2O at High Temperatures. J. Phys. Chem. Ref. Data 2003, 32, 903–916. [Google Scholar] [CrossRef]
- Trinh, T.-K.-H.; De Hemptinne, J.-C.; Lugo, R.; Ferrando, N.; Passarello, J.-P. Hydrogen Solubility in Hydrocarbon and Oxygenated Organic Compounds. J. Chem. Eng. Data 2016, 61, 19–34. [Google Scholar] [CrossRef]
- Akinfiev, N.N.; Diamond, L.W. Thermodynamic Description of Aqueous Nonelectrolytes at Infinite Dilution over a Wide Range of State Parameters. Geochim. Cosmochim. Acta 2003, 67, 613–629. [Google Scholar] [CrossRef]
- Khoshraftar, Z.; Ghaemi, A. Prediction of CO2 Solubility in Water at High Pressure and Temperature via Deep Learning and Response Surface Methodology. Case Stud. Chem. Environ. Eng. 2023, 7, 100338. [Google Scholar] [CrossRef]
- Zhang, H.; Thanh, H.V.; Rahimi, M.; Al-Mudhafar, W.J.; Tangparitkul, S.; Zhang, T.; Dai, Z.; Ashraf, U. Improving Predictions of Shale Wettability Using Advanced Machine Learning Techniques and Nature-Inspired Methods: Implications for Carbon Capture Utilization and Storage. Sci. Total Environ. 2023, 877, 162944. [Google Scholar] [CrossRef]
- Nagulapati, V.M.; Raza Ur Rehman, H.M.; Haider, J.; Abdul Qyyum, M.; Choi, G.S.; Lim, H. Hybrid Machine Learning-Based Model for Solubilities Prediction of Various Gases in Deep Eutectic Solvent for Rigorous Process Design of Hydrogen Purification. Sep. Purif. Technol. 2022, 298, 121651. [Google Scholar] [CrossRef]
- Xie, J.; Liu, X.; Lao, X.; Vaferi, B. Hydrogen Solubility in Furfural and Furfuryl Bio-Alcohol: Comparison between the Reliability of Intelligent and Thermodynamic Models. Int. J. Hydrogen Energy 2021, 46, 36056–36068. [Google Scholar] [CrossRef]
- Hadavimoghaddam, F.; Ansari, S.; Atashrouz, S.; Abedi, A.; Hemmati-Sarapardeh, A.; Mohaddespour, A. Application of Advanced Correlative Approaches to Modeling Hydrogen Solubility in Hydrocarbon Fuels. Int. J. Hydrogen Energy 2023, 48, 19564–19579. [Google Scholar] [CrossRef]
- Longe, P.O.; Davoodi, S.; Mehrad, M.; Wood, D.A. Combined Deep Learning and Optimization for Hydrogen-Solubility Prediction in Aqueous Systems Appropriate for Underground Hydrogen Storage Reservoirs. Energy Fuels 2024. [Google Scholar] [CrossRef]
- Dehghani, M.R.; Nikravesh, H.; Aghel, M.; Kafi, M.; Kazemzadeh, Y.; Ranjbar, A. Estimation of Hydrogen Solubility in Aqueous Solutions Using Machine Learning Techniques for Hydrogen Storage in Deep Saline Aquifers. Sci. Rep. 2024, 14, 25890. [Google Scholar] [CrossRef] [PubMed]
- Ansari, S.; Safaei-Farouji, M.; Atashrouz, S.; Abedi, A.; Hemmati-Sarapardeh, A.; Mohaddespour, A. Prediction of Hydrogen Solubility in Aqueous Solutions: Comparison of Equations of State and Advanced Machine Learning-Metaheuristic Approaches. Int. J. Hydrogen Energy 2022, 47, 37724–37741. [Google Scholar] [CrossRef]
- Cao, Y.; Ayed, H.; Dahari, M.; Sene, N.; Bouallegue, B. Using Artificial Neural Network to Optimize Hydrogen Solubility and Evaluation of Environmental Condition Effects. Int. J. Low-Carbon Technol. 2022, 17, 80–89. [Google Scholar] [CrossRef]
- Debye, P.; Hückel, E. The Theory of Electrolytes. I. Freezing Point Depres Sion and Related Phenomena [Zur Theorie Der Elektrolyte. I. Gefrierpunktserniedrigung Und Verwandte Erscheinungen]. Translated and Typeset by Michael J. Braus (2020). Phys. Z. 1923, 24, 85–206. [Google Scholar]
- Langelier, W.F. The Analytical Control of Anti-Corrosion Water Treatment. J. AWWA 1936, 28, 1500–1521. [Google Scholar] [CrossRef]
- Chabab, S.; Cruz, J.L.; Poulain, M.; Ducousso, M.; Contamine, F.; Serin, J.P.; Cézac, P. Thermodynamic Modeling of Mutual Solubilities in Gas-Laden Brines Systems Containing CO2, CH4, N2, O2, H2, H2O, NaCl, CaCl2, and KCl: Application to Degassing in Geothermal Processes. Energies 2021, 14, 5239. [Google Scholar] [CrossRef]
- Truche, L.; Bazarkina, E.F.; Berger, G.; Caumon, M.-C.; Bessaque, G.; Dubessy, J. Direct Measurement of CO2 Solubility and pH in NaCl Hydrothermal Solutions by Combining In-Situ Potentiometry and Raman Spectroscopy up to 280 C and 150 Bar. Geochim. Cosmochim. Acta 2016, 177, 238–253. [Google Scholar] [CrossRef]
- Guo, H.; Chen, Y.; Hu, Q.; Lu, W.; Ou, W.; Geng, L. Quantitative Raman Spectroscopic Investigation of Geo-Fluids High-Pressure Phase Equilibria: Part I. Accurate Calibration and Determination of CO2 Solubility in Water from 273.15 to 573.15 K and from 10 to 120 MPa. Fluid Phase Equilibria 2014, 382, 70–79. [Google Scholar] [CrossRef]
- Pruess, K.; Oldenburg, C.M.; Moridis, G. TOUGH2 User’s Guide Version 2, Lawrence Berkeley National Laboratory: Berkeley, CA, USA, 1999.
- Reagan, M.T.; Moridis, G.J.; Seim, K.S. Fast Parametric Relationships for the Large-Scale Reservoir Simulation of Mixed CH4-CO2 Gas Hydrate Systems. Comput. Geosci. 2017, 103, 191–203. [Google Scholar] [CrossRef]
- Chen, Q.; Tian, Y.; Li, P.; Yan, C.; Pang, Y.; Zheng, L.; Deng, H.; Zhou, W.; Meng, X. Study on Shale Adsorption Equation Based on Monolayer Adsorption, Multilayer Adsorption, and Capillary Condensation. J. Chem. 2017, 2017, 1–11. [Google Scholar] [CrossRef]
- Longe, P.; Sanni, K.; Okotie, S. New Production Rate Model of Wellhead Choke for Niger Delta Oil Wells. J. Pet. Sci. Technol. 2020. [Google Scholar] [CrossRef]
- Marcus, Y. Effect of Ions on the Structure of Water: Structure Making and Breaking. Chem. Rev. 2009, 109, 1346–1370. [Google Scholar] [CrossRef] [PubMed]
- Ben-Naim, A.Y. Hydrophobic Interactions, An Overview. In Solution Behavior of Surfactants; Mittal, K.L., Fendler, E.J., Eds.; Springer: Boston, MA, USA, 1982; pp. 27–40. ISBN 978-1-4613-3493-4. [Google Scholar]
- Springer, R.D.; Wang, Z.; Anderko, A.; Wang, P.; Felmy, A.R. A Thermodynamic Model for Predicting Mineral Reactivity in Supercritical Carbon Dioxide: I. Phase Behavior of Carbon Dioxide–Water–Chloride Salt Systems across the H2O-Rich to the CO2-Rich Regions. Chem. Geol. 2012, 322, 151–171. [Google Scholar] [CrossRef]
- Sander, R. Compilation of Henry’s Law Constants (Version 4.0) for Water as Solvent. Atmos. Chem. Phys. 2015, 15, 4399–4981. [Google Scholar] [CrossRef]
- Carroll, J.J.; Slupsky, J.D.; Mather, A.E. The Solubility of Carbon Dioxide in Water at Low Pressure. J. Phys. Chem. Ref. Data 1991, 20, 1201–1209. [Google Scholar] [CrossRef]
- Kaur, H.; Abedi, S.; Chen, C.-C. Estimating CO2 Solubility in Aqueous Na+–K+–Mg2+–Ca2+–Cl––SO42– Solutions with Electrolyte NRTL–PC-SAFT Model. J. Chem. Eng. Data 2022, 67, 1932–1950. [Google Scholar] [CrossRef]
- O’Sullivan, T.D.; Smith, N.O. Solubility and Partial Molar Volume of Nitrogen and Methane in Water and in Aqueous Sodium Chloride from 50 to 125.Deg. and 100 to 600 Atm. J. Phys. Chem. 1970, 74, 1460–1466. [Google Scholar] [CrossRef]
- Prausnitz, J.M.; Lichtenthaler, R.N.; de Azevedo, E.G. Molecular Thermodynamics of Fluid-Phase Equilibria, 3rd ed.; Prentice-Hall International Series in the Physical and Chemical Engineering Sciences; Prentice Hall PTR: Upper Saddle River, NJ, USA, 1999; ISBN 978-0-13-977745-5. [Google Scholar]

























| References | Data Points | Tmin (K) | Tmax (K) | Pmin (MPa) | Pmax (MPa) | Smin (mol/kg) | Smax (mol/kg) | Systems |
|---|---|---|---|---|---|---|---|---|
| Hou et al. (b) [46] * | 71 | 323.15 | 423.15 | 2.6 | 18.2 | 2.50 | 4.00 | KCl, NaCl |
| Todheide and Franck [80] * | 104 | 323.15 | 623.15 | 10.0 | 350.0 | 0.00 | 0.00 | H2O |
| Takenouchi and Kennedy (b) [81] * | 21 | 423.15 | 723.15 | 10.0 | 140.0 | 0.00 | 4.28 | H2O, NaCl |
| Takenouchi and Kennedy (a) [82] * | 116 | 383.15 | 573.15 | 10.0 | 150.0 | 0.00 | 0.00 | H2O |
| King et al. [83]* | 28 | 288.15 | 298.15 | 6.1 | 24.3 | 0.00 | 0.00 | H2O |
| Ahmandi and Chapoy [84] * | 29 | 300.95 | 423.48 | 1.3 | 42.1 | 0.00 | 0.00 | H2O |
| Al Ghafri, S.Z.S. [85] * | 8 | 323.15 | 323.15 | 2.1 | 18.7 | 0.00 | 0.00 | H2O |
| Anderson, G.K. [86] * | 54 | 274.15 | 288.15 | 0.1 | 2.2 | 0.00 | 0.00 | H2O |
| Bamberger et al. [87] * | 29 | 323.20 | 353.10 | 4.1 | 14.1 | 0.00 | 0.00 | H2O |
| Bando et al. [88] * | 45 | 303.15 | 333.15 | 10.0 | 20.0 | 0.00 | 0.55 | H2O, NaCl |
| Bastami et al. [89] * | 32 | 328.15 | 375.15 | 6.9 | 20.7 | 0.00 | 4.80 | H2O, CaCl2 |
| Bermejo et al. [90] * | 92 | 286.97 | 368.81 | 2.0 | 13.1 | 0.25 | 0.99 | Na2SO4 |
| Bo liu et al. [91] * | 538 | 298.00 | 373.00 | 0.1 | 20.3 | 0.00 | 0.26 | CaCl2, H2O, MgCl2, (MgCl2 + CaCl2) |
| Campos et al. [92] | 50 | 298.20 | 323.20 | 0.1 | 0.5 | 0.00 | 0.00 | H2O |
| Carvalho et al. [93] | 107 | 283.24 | 363.42 | 0.3 | 40.0 | 0.00 | 2.00 | H2O, NaCl |
| Chapoy et al. [94] | 27 | 274.14 | 351.31 | 0.2 | 9.3 | 0.00 | 0.00 | H2O |
| Corti et al. [95] | 10 | 323.15 | 348.15 | 3.8 | 14.5 | 0.96 | 2.72 | Na2SO4 |
| Dalmolin et al. [96] | 49 | 288.00 | 323.00 | 0.1 | 0.5 | 0.00 | 0.00 | H2O |
| Dell’Era, C. et al. [97] | 7 | 298.48 | 298.63 | 0.3 | 0.7 | 0.00 | 0.00 | H2O |
| dos Santos et al. [98] | 62 | 303.15 | 423.15 | 1.5 | 20.3 | 1.00 | 6.00 | MgCl2, NaCl, (NaCl + Na2SO4) |
| Ellis and Golding [99] | 54 | 445.15 | 607.15 | 1.6 | 9.3 | 0.00 | 2.00 | H2O, NaCl |
| Gilbert et al. [100] | 35 | 308.15 | 413.15 | 1.9 | 35.8 | 0.00 | 3.40 | CaCl2, H2O, Na2SO4, NaCl, NaHCO3 |
| Guo et al. [101] * | 168 | 273.15 | 453.15 | 10.0 | 40.0 | 1.00 | 5.00 | NaCl |
| Han et al. [102] * | 75 | 313.00 | 333.00 | 0.3 | 2.0 | 0.00 | 1.00 | NaHCO3 |
| Han Ji et al. [103] * | 28 | 313.20 | 343.20 | 4.3 | 18.3 | 0.00 | 0.00 | H2O |
| He and Morse [104] | 157 | 298.15 | 363.18 | 0.0 | 0.1 | 0.02 | 6.14 | CaCl2, K2SO4, KCl, MgCl2, MgSO4, Na2SO4, NaCl |
| He et al. [105] | 35 | 293.15 | 348.15 | 5.2 | 38.3 | 0.00 | 2.70 | H2O, NaCl |
| Hoballah [106] * | 12 | 348.15 | 398.15 | 5.0 | 50.0 | 0.80 | 0.80 | NaHCO3 |
| Hou et al. (a) [107] * | 41 | 298.15 | 448.15 | 1.1 | 17.6 | 0.00 | 0.00 | H2O |
| Kamps et al. [108] * | 138 | 313.10 | 433.10 | 0.3 | 9.4 | 0.43 | 4.05 | K2CO3, KCl |
| Kiepe et al. [109] * | 190 | 313.16 | 393.17 | 0.1 | 10.5 | 0.00 | 4.34 | H2O, KCl, NaCl |
| Koschel et al. [110] * | 49 | 323.00 | 423.00 | 5.0 | 20.2 | 0.33 | 4.50 | KCl, MgCl2, NaCl |
| Malinin and Kurovskaya [111] | 25 | 298.15 | 348.15 | 4.8 | 4.8 | 0.36 | 5.21 | CaCl2 |
| Malinin and Kurovskaya [111] | 27 | 298.15 | 423.15 | 4.8 | 4.8 | 0.32 | 1.91 | NaCl |
| Martin et al. [112] * | 5 | 353.00 | 393.00 | 10.0 | 30.0 | 0.00 | 0.00 | H2O |
| Messabeb et al. [113] * | 40 | 323.15 | 423.15 | 5.0 | 20.2 | 0.00 | 6.00 | H2O, NaCl |
| Mohammadian et al. [114] * | 68 | 333.15 | 353.15 | 0.1 | 21.3 | 0.00 | 0.26 | H2O, NaCl |
| Muromachi et al. [115] * | 17 | 286.15 | 298.15 | 0.2 | 4.0 | 0.00 | 0.00 | H2O |
| Nighswander et al. [116] | 33 | 353.00 | 473.65 | 4.1 | 100.3 | 0.17 | 0.17 | NaCl |
| Portier and Rochelle [117] * | 35 | 291.15 | 353.15 | 8.0 | 12.0 | 0.38 | 0.38 | NaCl, KCl, MgCl2, CaCl2, NaHCO3 |
| Poulain et al. [118] * | 48 | 323.00 | 423.00 | 1.0 | 20.0 | 1.40 | 1.50 | NaCl, CaCl2, KCl |
| Prutton and Savage [119] | 139 | 348.65 | 394.15 | 1.5 | 71.2 | 0.00 | 3.90 | CaCl2, H2O |
| Qin et al. [120] * | 7 | 323.60 | 375.80 | 10.6 | 49.9 | 0.00 | 0.00 | H2O |
| Ruffine and Trusler [121] * | 3 | 333.00 | 333.00 | 4.9 | 11.5 | 0.00 | 0.00 | H2O |
| Rumpf and Maurer [122] | 111 | 313.11 | 433.16 | 0.0 | 9.7 | 0.99 | 2.01 | Na2SO4 |
| Rumpf et al. [123] | 63 | 313.14 | 433.08 | 0.5 | 9.6 | 4.00 | 6.00 | NaCl |
| Sako et al. [124] | 7 | 348.30 | 421.40 | 10.2 | 19.7 | 0.00 | 0.00 | H2O |
| Serpa et al. [125] * | 9 | 298.00 | 323.00 | 0.1 | 0.4 | 0.00 | 0.00 | H2O |
| Servio and Englezos [126] * | 6 | 278.05 | 283.15 | 2.0 | 3.7 | 0.00 | 0.00 | H2O |
| Tang et al. [127] * | 70 | 308.15 | 408.15 | 8.0 | 40.0 | 0.00 | 1.41 | H2O, NaCl, CaCl2, MgCl2, NaHCO3 |
| Tong et al. [128] * | 94 | 308.00 | 424.68 | 1.1 | 38.0 | 0.00 | 5.00 | CaCl2, H2O, MgCl2, NaCl, KCl |
| Valtz et al. [129] * | 47 | 278.22 | 318.23 | 0.5 | 8.0 | 0.00 | 0.00 | H2O |
| Wiebe [130] * | 73 | 273.15 | 373.15 | 2.5 | 70.9 | 0.00 | 0.00 | H2O |
| Wiebe and Gaddy [131]* | 29 | 323.15 | 373.15 | 2.5 | 70.9 | 0.00 | 0.00 | H2O |
| Y. Liu et al. (a) [132] * | 154 | 308.15 | 328.15 | 1.3 | 16.0 | 0.00 | 1.90 | CaCl2, KCl, NaCl, |
| Y. Liu et al. (b) [133] * | 6 | 308.15 | 318.15 | 8.0 | 16.0 | 0.00 | 0.00 | H2O |
| Yan et al. [134] * | 54 | 323.20 | 413.20 | 5.0 | 40.0 | 0.00 | 5.00 | H2O, NaCl |
| Zhao et al. (b) [135] * | 70 | 323.00 | 423.00 | 15.0 | 15.0 | 0.33 | 4.50 | CaCl2, KCl, MgCl2, Na2SO4 |
| Zhao et al. (a) [136] * | 21 | 323.15 | 423.15 | 15.0 | 15.0 | 0.00 | 6.00 | H2O, NaCl |
| Authors | Year | Min. Temp (K) | Max. Temp (K) | Min. Press (MPa) | Max. Press (MPa) | Max. Molality (mol/kg) | Systems |
|---|---|---|---|---|---|---|---|
| Chabab et al. [59] * | 2020 | 323.00 | 372.00 | 2.00 | 20.00 | 5.0 | NaCl |
| Chabab et al. [152]. * | 2023 | 298.15 | 373.15 | 10.00 | 20.00 | 4.0 | NaCl |
| Wiebe and Gaddy [154] | 1934 | 273.15 | 373.15 | 2.53 | 101.33 | 0.0 | H2O |
| Crozier and Yamamoto [155] * | 1974 | 274.60 | 302.47 | 0.10 | 0.10 | 0.0 | H2O |
| Crozier and Yamamoto [155] * | 1974 | 274.03 | 301.51 | 0.10 | 0.10 | 0.5 | NaCl |
| Braun [156] | 1900 | 278.15 | 298.15 | 1.022 | 1.045 | 0.0 | H2O |
| Braun [156] | 1900 | 278.15 | 298.15 | 1.022 | 1.045 | 1.1 | NaCl |
| Torin–Oilarves and Trusler [157] * | 2021 | 323.00 | 323.00 | 12.00 | 39.40 | 2.5 | NaCl |
| Bunsen [158] | 1855 | 277.15 | 296.75 | 0.10 | 0.10 | 0.0 | H2O |
| Bohr and Bock [159] | 1891 | 273.20 | 373.15 | 0.10 | 0.20 | 0.0 | H2O |
| Winkler [160] | 1891 | 273.65 | 323.25 | 0.10 | 0.11 | 0.0 | H2O |
| Steiner [161] * | 1894 | 288.20 | 288.20 | 0.10 | 0.10 | 0.0 | H2O |
| Steiner [161] * | 1894 | 286.32 | 286.95 | 0.10 | 0.10 | 5.3 | NaCl |
| Steiner [161] | 1894 | 291.77 | 292.38 | 0.10 | 0.10 | 4.0 | KCl |
| Steiner [161] | 1894 | 290.83 | 291.67 | 0.10 | 0.10 | 3.2 | CaCl2 |
| Steiner [161] | 1894 | 291.56 | 291.72 | 0.10 | 0.10 | 1.4 | Na2SO4 |
| Steiner [161] | 1894 | 290.25 | 291.41 | 0.10 | 0.10 | 2.6 | MgSO4 |
| Geffcken [162] * | 1904 | 288.15 | 298.15 | 0.10 | 0.10 | 0.0 | H2O |
| Knopp [163] * | 1904 | 293.15 | 293.15 | 0.10 | 0.10 | 0.0 | H2O |
| Knopp [163] | 1904 | 293.15 | 293.15 | 0.10 | 0.10 | 2.1 | KCl |
| Huefner [164] * | 1907 | 293.15 | 293.34 | 0.10 | 0.10 | 0.0 | H2O |
| Findlay and Shen [165] | 1912 | 298.15 | 298.15 | 0.10 | 0.18 | 0.0 | H2O |
| Muller [166] | 1913 | 289.35 | 290.35 | 0.10 | 0.10 | 0.0 | H2O |
| Ipatiew et al. [167] | 1932 | 273.65 | 318.15 | 2.03 | 14.19 | 0.0 | H2O |
| Morrison and Billett [168] * | 1952 | 285.65 | 345.65 | 0.10 | 0.14 | 0.0 | H2O |
| Pray et al. [169] * | 1952 | 324.82 | 588.71 | 0.69 | 2.42 | 0.0 | H2O |
| Zoss [170] * | 1952 | 273.15 | 606.48 | 3.45 | 20.70 | 0.0 | H2O |
| Stephan et al. [171] | 1953 | 373.15 | 435.93 | 1.41 | 10.03 | 0.0 | H2O |
| Wet [172] * | 1964 | 291.65 | 304.55 | 0.10 | 0.11 | 0.0 | H2O |
| Ruetschi and Amlie [173] * | 1966 | 303.15 | 303.15 | 0.11 | 0.11 | 0.0 | H2O |
| Shoor et al. [174] | 1969 | 298.15 | 333.15 | 0.10 | 0.12 | 0.0 | H2O |
| Longo et al. [175] * | 1970 | 310.15 | 310.15 | 0.11 | 0.11 | 0.0 | H2O |
| Power and Stegall [176] | 1970 | 310.15 | 310.15 | 0.11 | 0.11 | 0.0 | H2O |
| Gerecke and Bittrich [177] * | 1971 | 298.15 | 298.15 | 0.10 | 0.10 | 0.0 | H2O |
| Gerecke and Bittrich [177] * | 1971 | 288.15 | 298.15 | 0.10 | 0.10 | 4.3 | NaCl |
| Gerecke and Bittrich [177] * | 1971 | 288.15 | 288.15 | 0.10 | 0.10 | 1.0 | KCl |
| Jung et al. [178]* | 1971 | 373.15 | 423.15 | 1.00 | 8.58 | 0.0 | H2O |
| Schroder [179] | 1973 | 298.15 | 373.15 | 10.13 | 10.13 | 0.0 | H2O |
| Gordon et al. [180] * | 1977 | 273.29 | 302.40 | 0.10 | 0.10 | 0.0 | H2O |
| Devaney [181] * | 1978 | 366.48 | 588.7 | 1.38 | 11.03 | 0.0 | H2O |
| Cargill [182] | 1978 | 277.70 | 344.83 | 0.10 | 0.14 | 0.0 | H2O |
| Meyer et al. [183] * | 1980 | 310.15 | 310.15 | 0.10 | 0.10 | 0.0 | H2O |
| Gillespie and Wilson [184] * | 1980 | 310.93 | 588.71 | 0.35 | 13.80 | 0.0 | H2O |
| Choudhary et al. [185] | 1982 | 323.15 | 373.15 | 2.53 | 10.13 | 0.0 | H2O |
| Dohrn and Brunner [186] | 1986 | 473.15 | 623.15 | 10.00 | 30.00 | 0.0 | H2O |
| Alvarez et al. [187] * | 1988 | 318.90 | 497.50 | 0.44 | 4.59 | 0.0 | H2O |
| Kling and Maurer [188] * | 1991 | 323.15 | 423.15 | 3.18 | 15.37 | 0.0 | H2O |
| Jauregui–Hazaetal. [189] | 2004 | 353.00 | 373.00 | 0.15 | 0.20 | 0.0 | H2O |
| Correlation | Systems | Data Points | T Min (K) | T Max (K) | P Min (MPa) | P Max (MPa) | IS Min mol/kg) | IS Max (mol/kg) |
|---|---|---|---|---|---|---|---|---|
| CO2–Water | — | 926 | 274.14 | 523.15 | 0.10 | 71 | – | – |
| CO2–Water– Salt | Mixed Salts (K+, Na+, Ca2+, Mg2+) | 391 | 291.15 | 424.67 | 0.10 | 40.0 | 0.024 | 6.00 |
| KCl | 260 | 313.1 | 433.1 | 0.13 | 18.22 | 0.427 | 4.50 | |
| NaCl | 766 | 273.15 | 523.15 | 0.10 | 40.0 | 0.017 | 6.00 | |
| Na2SO4 | 226 | 286.97 | 433.16 | 0.42 | 15.0 | 0.300 | 8.16 | |
| NaHCO3 | 75 | 313 | 398.15 | 0.31 | 50.0 | 0.050 | 1.00 | |
| CaCl2 | 355 | 298 | 424.64 | 0.10 | 67.4 | 0.027 | 15.63 | |
| MgCl2 | 223 | 298 | 424.68 | 0.10 | 34.9 | 0.031 | 15 | |
| H2–Water | — | 360 | 273.15 | 636.1 | 0.629 | 101.35 | – | – |
| H2–Water– Salt | NaCl | 78 | 298.05 | 423.155 | 1.9884 | 45.81 | 1.00 | 5.00 |
| Constants | CO2 Solubility Correlations | H2 Solubility Correlations | ||||||||
|---|---|---|---|---|---|---|---|---|---|---|
| CO2–H2O | Mixed Salts | NaCl | KCl | CaCl2 | MgCl2 | Na2SO4 | NaHCO3 | H2–Water | H2–Water–Salts (NaCl) | |
| A | 0.284888 | – | – | – | – | – | – | – | 0.101466 | – |
| B | −5.02511 | – | – | – | – | – | – | – | −5.632826 | – |
| C | 4.094051 | – | – | – | – | – | – | – | 3.732906 | – |
| D | 0.507286 | – | – | – | – | – | – | – | −0.113223 | – |
| E | 0.006187 | – | – | – | – | – | – | – | 0.543337 | – |
| F | −4.164112 | – | – | – | – | – | – | – | −4.379279 | – |
| G | 4.939346 | – | – | – | – | – | – | – | 4.570177 | – |
| H | 0.340918 | – | – | – | – | – | – | – | 0.136001 | – |
| a1 | 0.756798 | 0.52944 | 0.26827 | 0.287342 | 1.008286 | 1.801932 | −0.11701 | 1.565179 | 1.036691 | −0.180909 |
| a2 | −0.328316 | −0.72297 | −0.49775 | −0.43852 | −1.16212 | −1.94698 | −0.20067 | −1.69733 | −0.731073 | −0.066281 |
| a3 | 0.144697 | 0.998793 | 0.922111 | 0.926434 | 0.987298 | 0.99382 | 0.283081 | 0.961564 | −0.003084 | −7.126735 |
| a4 | −0.182119 | – | – | – | – | – | – | – | −0.069526 | – |
| a5 | 0.208901 | – | – | – | – | – | – | – | −0.001675 | – |
| a6 | −0.200669 | – | – | – | – | – | – | – | 0.010505 | – |
| a7 | 0.573537 | – | – | – | – | – | – | – | 0.60633 | – |
| a8 | −0.097774 | – | – | – | – | – | – | – | −0.429898 | – |
| a9 | 0.043382 | – | – | – | – | – | – | – | −0.187142 | – |
| a10 | −0.205101 | – | – | – | – | – | – | – | 0.110585 | – |
| a11 | 0.059729 | – | – | – | – | – | – | – | −0.192603 | – |
| a12 | −0.287825 | – | – | – | – | – | – | – | 0.102827 | – |
| NaCl Molality (mol/kg) | ||
|---|---|---|
| SO (%) at 323.15 K | 1 | 4 |
| Chabab et al. [59] | 24.28 | 60.09 |
| Torín–Ollarves and Trusler r [157] | 13.10 | 42.98 |
| Chabab et al. [152] | 16.23 | 50.70 |
| This study | 17.60 | 53.67 |
| Correlation | Systems | Parameter Ranges | Correlations Performance Metrics | |||
|---|---|---|---|---|---|---|
| No. of Data Points | R2 | APE (%) | AAPE (%) | |||
| CO2–Water | — | 926 | 0.993 | 2.34 | 7.62 | |
| CO2–Water– Salt | Mixed Salts (K+, Na+, Ca2+, Mg2+) | 391 | 0.971 | −0.7585 | 8.1914 | |
| KCl | 260 | 0.958 | −4.89 | 12.04 | ||
| NaCl | 766 | 0.983 | −3.87 | 10.01 | ||
| Na2SO4 | 226 | 0.945 | 0.46 | 9.13 | ||
| NaHCO3 | 75 | 0.992 | −5.15 | 8.52 | ||
| CaCl2 | 355 | 0.989 | 1.81 | 6.91 | ||
| MgCl2 | 223 | 0.988 | −0.49 | 6.81 | ||
| H2–Water | — | 360 | 0.999 | −0.90 | 4.03 | |
| H2–Water– Salt | NaCl | 78 | 0.965 | −4.94 | 9.91 | |
Disclaimer/Publisher’s Note: The statements, opinions and data contained in all publications are solely those of the individual author(s) and contributor(s) and not of MDPI and/or the editor(s). MDPI and/or the editor(s) disclaim responsibility for any injury to people or property resulting from any ideas, methods, instructions or products referred to in the content. |
© 2024 by the authors. Licensee MDPI, Basel, Switzerland. This article is an open access article distributed under the terms and conditions of the Creative Commons Attribution (CC BY) license (https://creativecommons.org/licenses/by/4.0/).
Share and Cite
Longe, P.O.; Danso, D.K.; Gyamfi, G.; Tsau, J.S.; Alhajeri, M.M.; Rasoulzadeh, M.; Li, X.; Barati, R.G. Predicting CO2 and H2 Solubility in Pure Water and Various Aqueous Systems: Implication for CO2–EOR, Carbon Capture and Sequestration, Natural Hydrogen Production and Underground Hydrogen Storage. Energies 2024, 17, 5723. https://doi.org/10.3390/en17225723
Longe PO, Danso DK, Gyamfi G, Tsau JS, Alhajeri MM, Rasoulzadeh M, Li X, Barati RG. Predicting CO2 and H2 Solubility in Pure Water and Various Aqueous Systems: Implication for CO2–EOR, Carbon Capture and Sequestration, Natural Hydrogen Production and Underground Hydrogen Storage. Energies. 2024; 17(22):5723. https://doi.org/10.3390/en17225723
Chicago/Turabian StyleLonge, Promise O., David Kwaku Danso, Gideon Gyamfi, Jyun Syung Tsau, Mubarak M. Alhajeri, Mojdeh Rasoulzadeh, Xiaoli Li, and Reza Ghahfarokhi Barati. 2024. "Predicting CO2 and H2 Solubility in Pure Water and Various Aqueous Systems: Implication for CO2–EOR, Carbon Capture and Sequestration, Natural Hydrogen Production and Underground Hydrogen Storage" Energies 17, no. 22: 5723. https://doi.org/10.3390/en17225723
APA StyleLonge, P. O., Danso, D. K., Gyamfi, G., Tsau, J. S., Alhajeri, M. M., Rasoulzadeh, M., Li, X., & Barati, R. G. (2024). Predicting CO2 and H2 Solubility in Pure Water and Various Aqueous Systems: Implication for CO2–EOR, Carbon Capture and Sequestration, Natural Hydrogen Production and Underground Hydrogen Storage. Energies, 17(22), 5723. https://doi.org/10.3390/en17225723

