Next Article in Journal
Innovative Strategies for Thermal Energy Optimization and Renewable Energy Integration in Net-Zero-Energy Buildings: A Comprehensive Review
Previous Article in Journal
Energy Consumption and Fume Analysis: A Comparative Analysis of the Blasting Technique and Mechanical Excavation in a Polish Gypsum Open-Pit Mine
Previous Article in Special Issue
Experimental Investigation of Fracture Propagation in Clayey Silt Hydrate-Bearing Sediments
 
 
Font Type:
Arial Georgia Verdana
Font Size:
Aa Aa Aa
Line Spacing:
Column Width:
Background:
Article

Well-Test Interpretation Model of Water-Injection Well in a Low-Permeability Reservoir and Its Application

by
Jianxiong Li
1,
Kai Wang
1,
Sheng Su
1,
Kejun Huang
1,
Haoran Feng
2,*,
Ziyi Jin
3,
Cong Peng
2,
Jinbao Liu
2 and
Pin Jia
2
1
The 4th Oil Production Plant of Changqing Oilfield Branch of CNPC, Yinchuan 750005, China
2
College of Petroleum Engineering, China University of Petroleum (Beijing), Beijing 102249, China
3
PetroChina Southwest Oil and Gas Field Company, Sichuan Shale Gas Exploration and Development Co., Ltd., Chengdu 610057, China
*
Author to whom correspondence should be addressed.
Energies 2024, 17(22), 5663; https://doi.org/10.3390/en17225663
Submission received: 1 November 2023 / Revised: 12 March 2024 / Accepted: 28 May 2024 / Published: 13 November 2024
(This article belongs to the Special Issue Advances in Reservoir Simulation)

Abstract

For low-permeability reservoirs, water-flooding development is usually adopted, which leads to induced fractures near the wellbore, increasing reservoir heterogeneity, and making water-flooding development more complex. This paper focuses on low-permeability reservoirs, considering the characteristics of induced fractures and elliptic-flow composite, and the well-test model for injection wells is established. The mathematical model in Laplace space is obtained through dimensionless transformation and Laplace transformation. Subsequently, the Mathieu function is introduced to obtain the bottom hole pressure, and the pressure response curve is drawn. The six flow stages of the curve are defined, and the sensitivity of parameters such as half-length of induced fractures, range of lateral-swept area, permeability in unswept area, and outer boundary distance at constant pressure are analyzed. The results show that the half-length of the fracture mainly affects the linear flow of the fracture, the range of the lateral wave-affected area mainly affects the radial flow of the swept area, the permeability of the unswept area mainly affects the radial flow of the unswept area, and the outer boundary distance at constant pressure mainly affects the boundary flow. Based on the production performance of a certain injection well in J Oilfield, a series of key parameters are obtained through analytical solution model inversion, including the induced-fracture half-length of 10.32 m, the lateral-swept range of elliptic partition flow of 128.95 m, the permeability of the swept area of 6.87 mD, and the mobility ratio of 119.92, which show the superiority of the analytical solution model.

1. Introduction

For low-permeability reservoirs, although water-injection-induced fractures help to improve the injection capacity, due to the contradiction between the low permeability of the formation and the high conductivity of the induced fractures, the injected water flows along the fractures at high speed, only affecting the narrow and long areas, resulting in a serious imbalance of waterflooding, aggravating the dynamic heterogeneity of low-permeability reservoirs, making the water-flooding process more complicated [1,2,3,4]. The study of water-injection-induced fractures started in the 1980s. Hagoort [5] clearly put forward the concept of water-injection-induced fractures in his doctoral thesis and proposed that induced fractures will be formed when the injection pressure exceeds the formation fracture pressure. Furthermore, he used the numerical simulation method to simulate the fracture extension process caused by water injection. Liu et al. [6] believed that high water-injection volume and injection pressure would lead to the opening, extension, and connection of natural micro-fractures. They produced high-permeability strips in the direction of the connection line between the water-injection well and the oil-production well, resulting in a one-way penetration of injected water, ultimately affecting recovery. Guo et al. [7] took a water-injection well in the WY area as an example to analyze the characteristics of bottom hole pressure response under different test times and found that the cracks induced around the water-injection well were dynamic, reflecting the process of cracks gradually extending under the action of continuous water injection. In the same year, Wang et al. [8] and Xie et al. [9] considered that micro-fractured reservoirs are generally developed in low-permeability conditions, and they are closed in the original formation, which is not easy to identify in the early stage. These closed fractures will continue to open and extend with the increase in water-injection pressure and formation pressure, forming dynamic fractures.
In view of the well-test interpretation model for the formation of induced fractures in water-injection wells, it is believed that due to the absence of proppant in water-injection-induced fractures, when the well is shut down for a pressure test, the fracture will gradually close with the decrease in bottom hole pressure. The water previously stored in the fracture is squeezed into the formation, and the early pressure response after the well shuts down presents a straight line with a pressure derivative unit slope [5]. Spivey and Lee [10] proposed a dual-volume wellbore storage model considering fractures, wellbore storage, and skin effects. The bottom hole pressure solution was given, two reservoir sections were obtained, the pressure derivatives coincided, and the slope was one unit. BinAkresh and Rahman [11,12] analyzed the test data of water-injection wells, verified the law shown by the theoretical model, and clarified the reservoir effect of fractures after shut-in. Koning [13,14] considered fracture closure because of the influence of well storage and considered different fracture shapes under an elliptic coordinate system. The pressure solution before fracture closure and the pressure solution after fracture closure were obtained by partial integration. The mathematical model of fracture closure after the injection-well shut-in was given in the form of a piecewise function.
For water-flooding reservoirs, the fluid in the formation changes from single-phase flow to oil–water two-phase flow due to the injection of water. At this time, well-test data of the injection wells need to be based on the mathematical model of oil–water two-phase flow. The flow theory of composite reservoirs is usually used for well-test analysis. A composite reservoir has the special characteristic that the discontinuity of the reservoir or the fluid’s properties in the radial direction is caused by the injection of fluid so that the reservoir is divided into two or more flow areas in the radial direction. In the 1950s, the water-flooding well-test interpretation of water-injection wells was mainly based on the radial-composite reservoir model. The reservoir was divided into two to three regions in the radial direction. The reservoir and fluid properties were the same in a single region, but the properties between regions were different [15]. Considering the wellbore storage and skin effect, Li et al. [16] established a mathematical model of an oil–water two-phase unsteady flow well test considering the influence of water cut and drew a new typical curve chart of oil–water two-phase flow well test. Liu et al. [17] established a well-test mathematical model of a two-zone composite reservoir with water-injection wells considering the influence of water cut and solved it analytically. The effects of different water cuts, water saturations, permeability ratios, water drive front radii, and other parameters on the well-test curve were analyzed. Jia et al. [18] established a mathematical model of an oil–water two-phase flow well test in dual-media reservoirs. Based on the B-L water-flooding theory, the water-saturation distribution was obtained at any time, and the pressure solution model was divided into multiple ring regions in the radial direction. Then, the model was solved analytically, and the characteristics of the well-test curve of oil–water two-phase flow in water-injection wells were analyzed. According to the one-dimensional B-L water-flooding equation, the position of the oil–water two-phase interface could be obtained at any time, and the water-saturation distribution during the water-injection process could be further solved. In addition, Soliman et al. [19,20] and Craig and Blasingame [21,22] have also performed much research on the well-test interpretation model of water-injection wells in low-permeability reservoirs.
At present, there are two main defects in the research of the well-test interpretation model for water-injection wells in low-permeability reservoirs. Firstly, there is no effective method for characterization and inversion of water-injection-induced fractures. The current research is mainly to analyze the influence of water-injection-induced fractures on the development of low-permeability reservoirs. Although some scholars have proposed mathematical models to characterize this process, it is still impossible to diagnose and interpret the pressure data of most water-injection wells in the field. Secondly, a circular partition is usually considered for the composite partition problem, while the water-injection-induced fractures often form elliptic partitions, and there are no effective diagnostic and discriminant criteria for fracture extension and propagation.
In order to make up for the shortcomings of the existing research, this paper will establish a well-test interpretation model for water-injection wells considering induced fractures and elliptic water-flooding zones on the basis of predecessors; analyze the influence of well-test pressure template curve characteristics and sensitivity parameters; and form a well-test interpretation method for induced fractures and elliptic water-flooding flow characteristics, so as to realize quantitative characterization of fractures and quantitative inversion of dynamic parameters. The key parameters of the reservoir are inverted by the real dynamic data of a water-injection well in a low-permeability reservoir to verify the model results.

2. Physical Model

There is a water-injection well in the center of the heterogeneous reservoir. After long-term water injection, an oil–water two-phase zone is formed in the near-well waterflood-swept area, and a single-phase oil zone is formed in the far-well waterflood-unswept area. Due to the distribution of water saturation, the mobility of the swept area is different from that of the unswept area, and the reservoir shows the characteristics of elliptic zone during the shut-in test. At the same time, considering the dynamic change of fracture induced by water injection, the pressure is conducted from the swept area to the unswept area, and the outer boundary of the unswept area is disturbed by the adjacent injection well.
As shown in Figure 1, the basic assumptions of the model are:
(1)
The formation in the two regions is horizontally homogeneous and isotropic;
(2)
The outer boundary of the reservoir is a finite elliptic constant-pressure outer boundary;
(3)
Vertical fractures with infinite conductivity are developed around the injection well, which connect the reservoir and the wellbore, and the closure of fractures are not considered;
(4)
The formation fluid and rock are slightly compressible, and the compression coefficient is constant. The inner area is oil–water two-phase, and the outer area is single-phase;
(5)
The flow of formation fluid satisfies the linear Darcy’s law;
(6)
The influence of wellbore storage and skin are considered, while the influence of gravity and capillary force are ignored.

3. Mathematical Model

For the elliptic partition characteristics, the mobility ratio is introduced to represent the ratio of the flow coefficient between the near-well waterflood-swept zone and the far-well waterflood-unswept zone, which characterizes the difference in physical properties between the two zones. The larger the value, the greater the mobility difference between the inner and outer zones [23,24].
M = k 1 / μ 1 k 2 / μ 2
where k1 and k2 (mD) are the permeabilities of the swept zone and the unswept zone, and μ1 and μ2 (mPa·s) are the viscosities of the fluid in the swept area and the unswept area, respectively.
For the unsteady flow mathematical model of reservoir fluid with water-injection-induced fracture and elliptic partition characteristics, according to the principle of conservation of mass, the establishment of the basic differential equation for the unsteady flow mathematical model needs to be integrated into the following equation [25].
For slightly compressible fluid, the two-dimensional flow equation in the rectangular coordinate system is:
2 p x 2 + 2 p y 2 = ϕ μ C t k p t
By introducing two variables and using the Mathieu function, Equation (2) is transformed into the elliptic coordinate system, which is defined as [26]:
z = x + i y = L cosh ( ξ + i η )
z ¯ = x i y = L cosh ( ξ i η )
The Mathieu function transformation generates the diffusion equation of the slightly compressible fluid in the elliptic coordinate system:
2 p ξ 2 + 2 p η 2 = L 2 2 ( cosh 2 ξ cos 2 η ) ϕ μ C t k p t
where ξ and η are the spatial coordinates in the elliptic-flow geometry as shown in the schematic diagram of the elliptic coordinate system.
In order to obtain the transient pressure characteristics of water-injection wells and reservoirs in a large time range under boundary conditions, the dimensionless solution of the diffusion equation in the swept area and the unswept area is needed. Therefore, the following dimensionless parameters are defined:
t D = 2.634 × 10 4 k 1 t ϕ 1 μ 1 C t 1 L 2
D = k 1 / ( ϕ 1 μ 1 C t 1 ) k 2 / ( ϕ 2 μ 2 C t 2 )
where tD is the dimensionless time; D is the pressure coefficient ratio; Φ1 and Φ2 are the porosities of the swept area and the unswept area, respectively; Ct1 and Ct2 (MPa−1) are the comprehensive compression coefficients of the swept area and the unswept area, respectively; and L is the half-length of the water-injection-induced fracture.
According to the inner boundary conditions, the dimensionless pressure is defined as:
p D j = k 1 h q B 1 μ 1 ( p i p j )
where j = 1 and 2 represent the swept area and the unswept area, respectively.
Then, the dimensional Equation (5) is transformed into the dimensionless form.
The mathematical model of the swept area is given by:
2 p D 1 ξ 2 + 2 p D 1 η 2 = 1 2 ( cosh 2 ξ cos 2 η ) p D 1 t D
The mathematical model of the unswept area is given by:
2 p D 2 ξ 2 + 2 p D 2 η 2 = D 2 ( cosh 2 ξ cos 2 η ) p D 2 t D
The initial condition is given by:
p D 1 ( ξ , η , 0 ) = p D 2 ( ξ , η , 0 ) = 0
The inner boundary condition is given by:
p D 1 ξ ( ξ , η , t D ) | ξ = ξ w = 1
The continuity conditions are given by:
p D 1 ( ξ 0 , η , t D ) = p D 2 ( ξ 0 , η , t D )
p D 2 ξ ( ξ 0 , η , t D ) = M p D 1 ξ ( ξ 0 , η , t D )
The constant-pressure outer boundary condition is given by:
p D 2 ( ξ , η , t D ) | ξ = ξ e = 0

4. Model Solving

Based on the Laplace transform of the above equations, we obtain:
p ¯ ( s ) = 0 p D ( t D ) e s t d t D
Since the pressure is only a function of the elliptic space variable u, the transformed equation is solved by separating the variables:
p ¯ D ( ξ , η ) = X ( ξ ) Y ( η )
The following equations are obtained by this method [27]:
2 Y η 2 + ( a + 2 λ cos 2 η ) Y = 0
2 X ξ 2 ( a + 2 λ cos 2 ξ ) X = 0
Equations (18) and (19) are called Mathieu differential equations [24]. Their solutions are given by the Mathieu function. It should be noted that the solution under actual production conditions should satisfy the following conditions:
(1)
The solution must be periodic, and the period is π;
(2)
The solution should be continuous along the orthogonal interval line:
p ¯ D ( 0 , η ) = p ¯ D ( 0 , η )
At the same time, the pressure gradient should meet the following conditions:
ξ [ p ¯ D ( ξ , η ) ] | ξ 0 = ξ [ p ¯ D ( ξ , - η ) ] | ξ 0
(3)
The solution should be symmetric with respect to the long axis and the short axis of the ellipse;
(4)
The solution should be bounded.
The Mathieu function pairs satisfying these four conditions are:
C e 2 n ( ξ , λ ) c e 2 n ( η , λ ) ,   F e k 2 n ( ξ , λ ) c e 2 n ( η , λ )
Then, the solutions of Equations (18) and (19) are given by this set of linearly independent functions:
Y ( η ) = c e 2 n ( η , λ )
X ( ξ ) = C e 2 n ( ξ , λ ) + F e k 2 n ( ξ , λ )
Next, we substitute (20) and (21) into (17) to obtain:
p ¯ D 1 ( ξ , η ) = C 2 n C e 2 n ( ξ , λ ) c e 2 n ( η , λ ) + F 2 n F e k 2 n ( ξ , λ ) c e 2 n ( η , λ )
For the swept area, C2n and F2n in Equation (22) are two separate Fourier coefficients used to satisfy the internal and external boundary conditions. Due to being replaced, the pressure solutions of the unswept area are slightly different, and the expression is:
p ¯ D 2 ( ξ , η ) = B 2 n C e 2 n ( ξ , q ) c e 2 n ( η , q ) + E 2 n F e k 2 n ( ξ , q ) c e 2 n ( η , q )
Equations (22) and (23) represent the general solutions of the pressure in the swept area and the unswept area, respectively, and then the special solutions are obtained by the boundary condition.
For the internal boundary conditions, according to Darcy’s law, the flow rate from the reservoir into the induced fracture is obtained by the following formula:
q = k h μ 0 2 π ( p ξ ) ξ = ξ w d η
After dimensionless processing and Laplace transform, we obtain:
q ¯ D = 2 π 0 2 π ( p D ξ ) ξ = ξ w d η
Then the derivation of (22) is substituted into (25), and the integration is carried out according to the periodicity of the Mathieu function, and the following results are obtained:
0 2 π c e 2 n ( η , λ ) d η = π 2 A 0 2 n
The following expression of dimensionless yield can be obtained:
q ¯ D = n = 0 A 0 2 n [ C 2 n C e 2 n ( ξ w , λ ) + F 2 n F e k 2 n ( ξ w , λ ) ]
According to Duhamel’s principle:
1 / s 2 = p ¯ w D q ¯ D
In Laplace space:
1 / ( 4 λ ) 2 = p ¯ w D q ¯ D
According to the Laplace transform, the solution of the model is obtained:
p ¯ w D = s 2 n = 0 A 0 2 n [ C 2 n C e 2 n ( ξ w , s / 4 ) + F 2 n F e k 2 n ( ξ w , s / 4 ) ]
Considering wellbore storage and skin effect:
p ¯ w D = s p ¯ w D + S s + C w D s 2 ( s p ¯ w D + S )

5. Model Verification

In order to verify the accuracy of the established model, the numerical well-test module of the commercial software Saphir 5.10® was used to establish a constant-injection production model of a water-injection well in the center of a circular formation with a constant-pressure boundary. The formation was homogeneous and of equal thickness, with induced fractures near the well; a radial-composite zonal flow was formed, and the fluid was single-phase oil and slightly compressible. The relevant parameters of the reservoir and fluid are shown in Table 1.
By changing the influence parameters, the log–log theoretical curves of pressure and derivative under the analytical solution model are drawn and then compared with those of the commercial software.
As can be seen from Figure 2, the analytical solution model fits well with the theoretical curve drawn by the commercial software, and the log–log curve shows typical induced-fracture and radial-composite characteristics, which verifies the reliability of the analytical solution model. The analytical solution model can also explain the range of lateral sweep of elliptic partition flow which cannot be obtained by commercial software, which shows the superiority of the analytical solution model.

6. Curve Analysis

6.1. Flow Regimes

For the analytical solution in Laplace space, the Stehfest numerical algorithm is used for numerical inversion, and the solution in real space can be obtained. Thus, the dimensionless well-test pressure pattern curve is drawn by programming. Finally, the dimensionless time and dimensionless bottom hole pressure PwD of the water-injection-well induced-fracture elliptic composite partition model and the double logarithmic curve of the corresponding pressure derivative under dimensionless time are obtained, as shown in Figure 2.
It can be seen from Figure 3 that there are six typical stages in the well-test pressure pattern curve of the water-injection-well-induced fracture with elliptic composite system model:
Section I is the wellbore storage stage; the curve is two straight lines with a slope of 1. The well-storage effect is expressed by the well-storage coefficient C, with the unit m3/MPa, which reflects the volume change of the wellbore fluid affected by the elastic compressibility with the increase or decrease in the pressure of the wellbore fluid;
Section II is the stage of induced-fracture linear flow. At this stage, the pressure derivative curve presents a straight line with a one-half slope;
Section III is the radial flow stage of the swept area. The pressure wave spreads outward in a circle, and the pressure derivative curve on the well-test pressure pattern curve is a horizontal line, which is the characteristic response of the radial flow in the swept area;
Section IV is the transition flow stage. The pressure wave spreads from the swept area to the unswept area, and the degree of change of the pressure curve depends on the mobility ratio between the swept area and unswept area;
Section V is the radial flow stage of the unswept area. As the pressure wave in the unswept area gradually spreads outward, the fluid of the matrix system in the unswept area flows radially into the swept area. The pressure derivative curve on the well-test pressure pattern curve is a horizontal line, which is the characteristic response of the radial flow in the unswept area. The height of the two horizontal lines depends on the mobility ratio between the swept area and unswept area.
Section VI is the constant-pressure boundary response stage. After the pressure wave is transmitted to the adjacent water-injection well, the flow will eventually reach a stable flow state due to the constant pressure. The pressure derivative curve on the well-test pressure pattern curve drops sharply, which is the characteristic response of the constant-pressure outer boundary.
The schematic diagram of each flow stage of the model is shown in Figure 4. The arrows represent the direction of flow.

6.2. Analysis of Influencing Factors

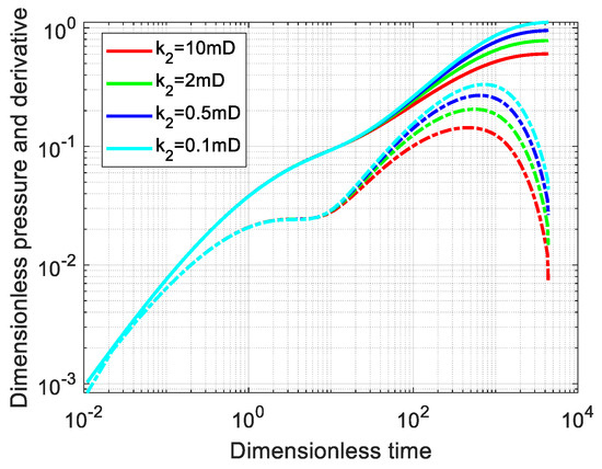
The well-test pressure response characteristics of the induced fractures and elliptic-flow model mainly consider four influencing factors: the half-length of the induced fracture, the range of the lateral-swept area, the permeability of the unswept area, and the outer boundary distance of constant pressure. Figure 5, Figure 6, Figure 7 and Figure 8 show the well-test pressure pattern curves of each influencing factor. The lines refer to the dimensionless pressure curves and the dashed lines refer to the pressure derivative curves.
(1)
The half-length of induced fracture Lf
The half-length of the induced fracture mainly affects phase II of the fracture linear flow, indicating that a fractured flow channel has been formed around the injection well, injected water has been following unidirectional displacement along the fracture, and the pressure wave has gradually propagated outward. As can be seen from Figure 5, the larger the half-length of the induced fracture, the more obvious the fracture linear flow characteristics, and the shorter the radial-flow phase III duration in the corresponding swept area.
(2)
The range of lateral-swept area Ri
The range of a lateral-swept area mainly affects the radial-flow phase III in the sweep area. The pressure wave propagates outward in a circle, and radial flow occurs in the near-well area. As can be seen from Figure 6, the larger the range of lateral sweep, the longer the duration of the radial-flow phase in the sweep region, and the earlier the occurrence of the pressure derivative warping up.
(3)
The permeability of the unswept area k2
The permeability of the unswept area mainly affects the radial-flow phase V in the unswept region. As the pressure wave in the unswept region gradually diffuses outward, the matrix system fluid in the unswept region flows radially into the swept region. As can be seen from Figure 7, the greater the permeability in the unswept region, the lower the pressure derivative of the radial flow in phase V in the unswept region.
(4)
The outer boundary distance of constant pressure Re
The outer boundary distance of constant pressure mainly affects phase VI of boundary flow. With the increase in time, after the pressure wave is transmitted to the nearby water-injection well, the seepage will eventually reach a stable flow state. As can be seen from Figure 8, the smaller the outer boundary distance is, the earlier the boundary-flow phase VI appears, and the less obvious the characteristics of the corresponding radial-flow phase V in the unswept region.

7. Application Analysis

A low-permeability reservoir in J Oilfield in northwest China was selected as the research object. The buried depth of the reservoir in J Oilfield is 1500–1800 m, the average effective thickness of the main reservoir formation is 15.6 m, the average porosity is 11.5%, and the average permeability is 0.46 mD. It is a typical low-permeability reservoir with poor reservoir physical properties, strong heterogeneity, and fracture. After the pressure data points obtained from the production field are preprocessed, the pressure derivative is solved by the Bourdet algorithm, and the actual curve is drawn. Finally, the theoretical curve and the actual curve are fitted to perform parameter inversion by the least square method and other algorithms.
After 351.3 h of performing the pressure drop test, the formation pressure of well L28-38 decreased by 0.63 MPa. The basic data from the model are shown in Table 2, the production performance of the test section of well L28-38 is shown in Figure 9 and Figure 10, and the fitting results of the analytical solution model are shown in Figure 11.
From Figure 11 and Table 3, it can be seen that the L28-38 well shows slight fracture characteristics, the half-length of the induced fracture is 10.32 m, and the distance of the lateral-swept area is 128.95 m. The reservoir permeability of the swept area is 34.65 mD, and the mobility ratio of the inner and outer zones reaches 119.92. The physical properties of the inner and outer zones are very different, indicating that waterflooding significantly improves the reservoir’s physical properties near the wellbore. At the end, the pressure derivative curve began to fall, indicating that the constant-pressure boundary was reached. This boundary effect may be due to the pressure-wave effect of the surrounding water-injection wells, resulting in water overflow between the water-injection wells, and the effective displacement between the injection and production wells could not be formed, which had a great impact on the later development of the oilfield.

8. Conclusions

In this paper, aimed at the well-test model of water-injection wells in low-permeability reservoirs and considering the characteristics of the induced fractures and elliptic composite partitions, respectively, we obtained the mathematical model in Laplace space by dimensionless and Laplace transform. Then, the Mathieu function was introduced to obtain the analytical solution of bottom hole pressure, and the reservoir parameters inversion were realized by least square fitting.
There are six typical stages in the well-test pressure pattern curve of the model: wellbore storage stage, induced-fracture linear flow stage, radial-flow stage of the swept area, transition flow stage, radial-flow stage of the unswept area, and constant-pressure outer boundary response stage.
The larger the fracture half-length is, the more obvious the linear flow is, and the shorter the radial flow duration in the swept area is. The farther the range of the lateral sweep is, the longer the duration of the radial flow is, and the earlier the pressure derivative is upturned. The higher the permeability of the unswept area is, the lower the pressure derivative is. The smaller the distance of constant-pressure outer boundary is, the earlier the boundary flow appears, and the less obvious the radial flow in the unswept area is.
Based on a case study from J Oilfield, the dynamic production of a water-injection well was inversely calculated by analytical model. The obtained key parameters include a half-length of the induced fracture of 10.32 m, a range of the lateral-swept area of the elliptic partition flow of 128.95 m, permeability in the water-flooding swept area of 34.65 mD, and a mobility ratio of 119.92. Further validation of the application analysis demonstrates the accuracy and superiority of the analytical model.

Author Contributions

Conceptualization, J.L. (Jianxiong Li) and K.W.; Software, K.W., S.S., H.F. and C.P.; Validation, K.H. and Z.J.; Formal analysis, S.S. and H.F.; Investigation, K.W., K.H. and C.P.; Resources, J.L. (Jianxiong Li); Data curation, Z.J. and J.L. (Jinbao Liu); Writing—original draft, J.L. (Jianxiong Li) and K.W.; Writing—review and editing, S.S. and H.F.; Visualization, J.L. (Jinbao Liu); Supervision, J.L. (Jianxiong Li), S.S. and P.J.; Project administration, K.H. and P.J.; Funding acquisition, K.H. All authors have read and agreed to the published version of the manuscript.

Funding

The authors declare that this study received funding from CNPC Major Technology Project “Theory and Key Technologies of Exploration and Development of Daqing Gulong Shale Oil”, Topic 2 “Theory and Key Technologies of Beneficial Development of Gulong Shale Oil”. The funder was not involved in the study design, collection, analysis, interpretation of data, the writing of this article or the decision to submit it for publication.

Data Availability Statement

The original contributions presented in the study are included in the article, further inquiries can be directed to the corresponding author.

Conflicts of Interest

Authors Jianxiong Li, Kai Wang, Sheng Su, Kejun Huang were employed by the company the 4th Oil Production Plant of Changqing Oilfield Branch of CNPC. Author Ziyi Jin was employed by the company PetroChina Southwest Oil and Gas Field Company, Sichuan Shale Gas Exploration and Development Co., Ltd. The remaining authors declare that the research was conducted in the absence of any commercial or financial relationships that could be construed as a potential conflict of interest.

References

  1. Jansen, J.D.; Van den Hoek, P.J.; Zwarts, P.J.; Al-Masfry, R.; Hustedt, B.; van Schijndel, L. Behavior and Impact of Dynamic Induced Fractures in Waterflooding and EOR. Presented at the 42nd U.S. Rock Mechanics Symposium (USRMS), San Francisco, CA, USA, 29 June–2 July 2008. ARMA-08-135. [Google Scholar]
  2. Van den Hoek, P.J.; Mahani, H.; Husedt, B.; Zwarts, D.; Sobera, M. Dynamic Induced Fractures in Waterflooding and EOR. Presented at the SPE Russian Oil and Gas Technical Conference and Exhibition, Moscow, Russia, 28–30 October 2008. SPE-115204-MS. [Google Scholar]
  3. Aniskin, A.; Chmuzh, I.; Sakhibgareev, R.R. Waterflood Induced Fracture Modeling in West Salym Field. Presented at the SPE Russian Oil and Gas Conference and Exhibition, Moscow, Russia, 26–28 October 2010. SPE-136560-MS. [Google Scholar]
  4. Bhardwaj, P.; Hwang, J.; Manchanda, R.; Sharma, M.M. Injection Induced Fracture Propagation and Stress Reorientation in Waterflooded Reservoirs. Presented at the SPE Annual Technical Conference and Exhibition, Dubai, United Arab Emirates, 26–28 September 2016. SPE-181883-MS. [Google Scholar]
  5. Hagoort, J. Waterflood-Induced Hydraulic Fracturing. Ph.D. Thesis, Delft Technical University, Delft, The Netherlands, 1981. [Google Scholar]
  6. Liu, H.; Zhang, S.; Zhong, S.; Gu, J.; Lu, J.; Deng, W. Research on hydraulic mechanism of water flooding in fractured reservoir. Drill. Prod. Technol. 2006, 29, 57–60. [Google Scholar]
  7. Guo, F.; Wang, H.; An, M.; Zhang, H.; Hu, X. Dynamic fracture variation characteristics and its influence in Ansai ultra-low permeability oilfield. J. Yangtze Univ. (Nat. Sci. Ed.) 2015, 12, 77–79. [Google Scholar]
  8. Wang, Y.; Song, X.; Tian, C.; Shi, C.; Li, J.; Hui, G.; Hou, J.; Gao, C.; Wang, X.; Liu, P. Dynamic fracture is a new development geological attribute in water flooding of ultra-low permeability reservoirs. Pet. Explor. Dev. 2015, 42, 222–228. [Google Scholar] [CrossRef]
  9. Xie, J.; Long, G.; Tian, C.; Hou, J.; Li, J.; Wang, Y. Genesis of dynamic fracture in ultra-low permeability sandstone reservoir and its influence on waterflood development: A case study of Chang6 Oil Formation in Wangyao Area, Ansai Oilfield. Pet. Geol. Recovery Effic. 2015, 22, 106–110. [Google Scholar]
  10. Spivey, J.P.; Lee, W.J. Variable Wellbore Storage Models for a Dual-Volume Wellbore. Presented at the SPE Annual Technical Conference and Exhibition, Houston, TX, USA, 3–6 October 1999. SPE-56615-MS. [Google Scholar]
  11. BinAkresh, S.A.; Rahman, N.M.A. Challenges in Interpreting Well Testing Data from Fractured Water Injection Wells with a Dual Storage Phenomenon. Presented at the SPE Middle East Oil and Gas Show and Conference, Manama, Bahrain, 25–28 September 2011. SPE-139587-MSS. [Google Scholar]
  12. BinAkresh, S.A.; Rahman, N.M.A. Modeling Pressure-Transient Data for Characterizing the Formation Damage in Water Injection Wells Operating above the Fracturing Pressure. Presented at the SPE European Formation Damage Conference and Exhibition, Budapest, Hungary, 3–5 June 2015. SPE-174278-MS. [Google Scholar]
  13. Koning, E.J.L.; Niko, H. Fractured water-injection wells: A pressure falloff test for determining fracture dimensions. Presented at the SPE Annual Technical Conference and Exhibition, Las Vegas, NV, USA, 22–26 September 1985. SPE-14458-MS. [Google Scholar]
  14. Koning, E.J.L. Waterflooding under Fracturing Conditions. Ph.D. Thesis, Technical University of Delft, Delft, The Netherlands, 1988. [Google Scholar]
  15. Williams, J.L. The Influence of Induced Vertical Fractures on Overall Reservoir Performance. Presented at the SPE Permian Basin Oil and Gas Recovery Conference, Midland, TX, USA, 10–11 March 1977. SPE-6381-MS. [Google Scholar]
  16. Li, X.; Liu, Q. Typical analysis curve and application of new unstable well test in oil-water two-phase Wells. Oil Gas Well Test 2003, 12, 5–9. [Google Scholar]
  17. Liu, J.; Meng, Y.; Li, G.; Wei, N.; Bi, B.; Li, W. Well test model of formation fluid complex injection well based on oil-water two-phase seepage. J. Oil Gas Technol. 2014, 36, 128–132. [Google Scholar]
  18. Jia, P.; Cheng, L.; Huang, S.; Cao, R.; Xue, Y. Analysis model of unsteady pressure in finite conductivity fractured directional well. Acta Pet. Sin. 2015, 36, 496–503. [Google Scholar]
  19. Soliman, M.Y.; Azari, M.; Ansah, J.; Kabir, C.S. Design, Interpretation, and Assessment of Short-Term Pressure-Transient Tests. Presented at the SPE Annual Technical Conference and Exhibition, Houston, TX, USA, 26–29 September 2004. SPE-90837-MS. [Google Scholar]
  20. Soliman, M.Y.; Kabir, C.S. Testing Unconventional Formations. J. Pet. Sci. Eng. 2012, 92–93, 102–109. [Google Scholar] [CrossRef]
  21. Craig, D.P.; Blasingame, T.A. A New Refracture-Candidate Diagnostic Test Determines Reservoir Properties and Identifies Existing Conductive or Damaged Fractures. Presented at the SPE Annual Technical Conference and Exhibition, Dallas, TX, USA, 9–12 October 2005. SPE-96785-MS. [Google Scholar]
  22. Craig, D.P.; Blasingame, T.A. Application of a New Fracture-Injection/Falloff Model Accounting for Propagating, Dilated, and Closing Hydraulic Fractures. Presented at the SPE Gas Technology Symposium, Calgary, AB, Canada, 15–17 May 2006. SPE-100578-MS. [Google Scholar]
  23. Abbaszadeh, M.; Kamal, M. Pressure-Transient Testing of Water-Injection Wells. SPE Res. Eng. 1989, 4, 115–124. [Google Scholar] [CrossRef]
  24. Barua, J.; Horne, R.N. Computerized Analysis of Thermal Recovery Well Test Data. SPE Form Eval. 1987, 2, 560–566. [Google Scholar] [CrossRef]
  25. Liu, N. Practical Modern Well Test Interpretation Method; Petroleum Industry Press: Beijing, China, 2008. [Google Scholar]
  26. McLachlan, N.W. Theory and Application of Mathieu Functions; Oxford University Press: London, UK, 1947. [Google Scholar]
  27. Obut, T. Determination of the Front Position with the Pressure Transient Analysis in the Presence of an Infinite Conductivity Vertical Fracture. Master’s Thesis, Pennsylvania State U., University Park, PA, USA, 1983. [Google Scholar]
Figure 1. Schematic diagram of physical model of induced fracture by injection-well and elliptic-flow composite.
Figure 1. Schematic diagram of physical model of induced fracture by injection-well and elliptic-flow composite.
Energies 17 05663 g001
Figure 2. Analytical solution model and commercial software log–log curve fitting results.
Figure 2. Analytical solution model and commercial software log–log curve fitting results.
Energies 17 05663 g002
Figure 3. Well-test pressure curve of induced fracture by injection well and elliptic-flow composite.
Figure 3. Well-test pressure curve of induced fracture by injection well and elliptic-flow composite.
Energies 17 05663 g003
Figure 4. Schematic diagram of flow stage of induced fracture by injection well and elliptic-flow composite model. (a) Induced-fracture linear flow; (b) Radial flow; (c) Transition flow; (d) Boundary-dominated flow.
Figure 4. Schematic diagram of flow stage of induced fracture by injection well and elliptic-flow composite model. (a) Induced-fracture linear flow; (b) Radial flow; (c) Transition flow; (d) Boundary-dominated flow.
Energies 17 05663 g004
Figure 5. The influence of half-length of induced fracture on well-test pressure curve.
Figure 5. The influence of half-length of induced fracture on well-test pressure curve.
Energies 17 05663 g005
Figure 6. The influence of the range of lateral-swept area on well-test pressure curve.
Figure 6. The influence of the range of lateral-swept area on well-test pressure curve.
Energies 17 05663 g006
Figure 7. The influence of the permeability of the unswept area on well-test pressure curve.
Figure 7. The influence of the permeability of the unswept area on well-test pressure curve.
Energies 17 05663 g007
Figure 8. The influence of the outer boundary distance of constant pressure on well-test pressure curve.
Figure 8. The influence of the outer boundary distance of constant pressure on well-test pressure curve.
Energies 17 05663 g008
Figure 9. Production curve of test interval on case well.
Figure 9. Production curve of test interval on case well.
Energies 17 05663 g009
Figure 10. Pressure curve of test interval on case well.
Figure 10. Pressure curve of test interval on case well.
Energies 17 05663 g010
Figure 11. Pressure drop log–log fitting curve of analytical solution.
Figure 11. Pressure drop log–log fitting curve of analytical solution.
Energies 17 05663 g011
Table 1. Model input parameters.
Table 1. Model input parameters.
ParameterValue
Initial pressure/MPa25
Wellbore radius/m0.15
Porosity0.1
Oil viscosity/(mPa·s)0.8
Half-length of induced fracture/m20
Composite radius/m120
Mobility80
Distance of constant-pressure boundary/m1000
Injection duration before shut-in/h800
Injection rate before shut-in/(m3·d−1)25
Table 2. Parameters input in model.
Table 2. Parameters input in model.
ParameterValue
Effective thickness/m23.4
Initial pressure/MPa21.86
Wellbore radius/m0.108
Porosity0.12
Viscosity/(mPa·s)1.00
Crude oil density/(g·cm−3)0.74
Volumetric coefficient/(m3·m−3)1.00
Composite compressibility/MPa−11.05 × 10−3
Injection rate before shut-in/(m3·d−1)27.8
Table 3. Inversion results of analytical solution.
Table 3. Inversion results of analytical solution.
ParameterInversion Results
Wellbore storage constant/(m3·MPa−1)0.72
Permeability of the swept area/mD34.65
Half-length of induced fracture/m10.32
Distance of lateral-swept area/m128.95
Area of lateral-swept area/m25.22 × 104
Mobility ratio119.92
Distance of constant-pressure boundary/m1180.22
Current formation pressure/MPa23.51
Disclaimer/Publisher’s Note: The statements, opinions and data contained in all publications are solely those of the individual author(s) and contributor(s) and not of MDPI and/or the editor(s). MDPI and/or the editor(s) disclaim responsibility for any injury to people or property resulting from any ideas, methods, instructions or products referred to in the content.

Share and Cite

MDPI and ACS Style

Li, J.; Wang, K.; Su, S.; Huang, K.; Feng, H.; Jin, Z.; Peng, C.; Liu, J.; Jia, P. Well-Test Interpretation Model of Water-Injection Well in a Low-Permeability Reservoir and Its Application. Energies 2024, 17, 5663. https://doi.org/10.3390/en17225663

AMA Style

Li J, Wang K, Su S, Huang K, Feng H, Jin Z, Peng C, Liu J, Jia P. Well-Test Interpretation Model of Water-Injection Well in a Low-Permeability Reservoir and Its Application. Energies. 2024; 17(22):5663. https://doi.org/10.3390/en17225663

Chicago/Turabian Style

Li, Jianxiong, Kai Wang, Sheng Su, Kejun Huang, Haoran Feng, Ziyi Jin, Cong Peng, Jinbao Liu, and Pin Jia. 2024. "Well-Test Interpretation Model of Water-Injection Well in a Low-Permeability Reservoir and Its Application" Energies 17, no. 22: 5663. https://doi.org/10.3390/en17225663

APA Style

Li, J., Wang, K., Su, S., Huang, K., Feng, H., Jin, Z., Peng, C., Liu, J., & Jia, P. (2024). Well-Test Interpretation Model of Water-Injection Well in a Low-Permeability Reservoir and Its Application. Energies, 17(22), 5663. https://doi.org/10.3390/en17225663

Note that from the first issue of 2016, this journal uses article numbers instead of page numbers. See further details here.

Article Metrics

Back to TopTop