ISOS-SAB DC/DC Converter for Large-Capacity Offshore Wind Turbine †
Abstract
1. Introduction
2. Grid-Connected DC/DC Converter Based on Phase-Shifting Full Bridge for Wind Turbine
3. Working Mode Analysis of SAB Converter
- -
- Udc1 and Udc2: input voltages of the two basic modules;
- -
- Uo1 and Uo2: output terminal voltages of the two basic modules;
- -
- C1 and C2: input capacitance of the two basic modules;
- -
- Cd1 and Cd2: output capacitance of the two basic modules;
- -
- k: voltage change ratio of the intermediate-frequency isolation transformer;
- -
- n: transformer turns ratio;
- -
- Lf1 and Lf2: leakage inductances of the transformer;
- -
- Ld1 and Ld2: filter inductances of the transformer;
- -
- u1 and u2: primary and secondary voltages of the transformer;
- -
- i1 and i2: primary and secondary currents of the transformer.
3.1. CCM Mode
3.2. DCM Mode
4. The Control Strategy of DC/DC Converter
4.1. Steady-State Period Control Strategy
4.2. Failure Period Control Strategy
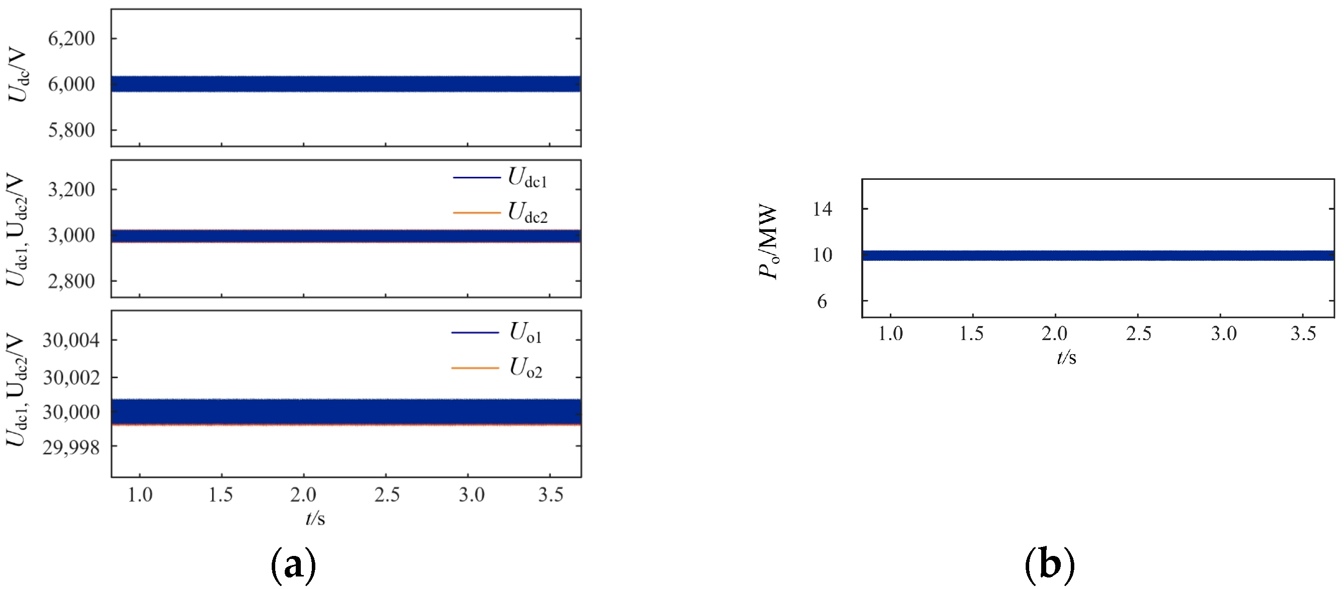
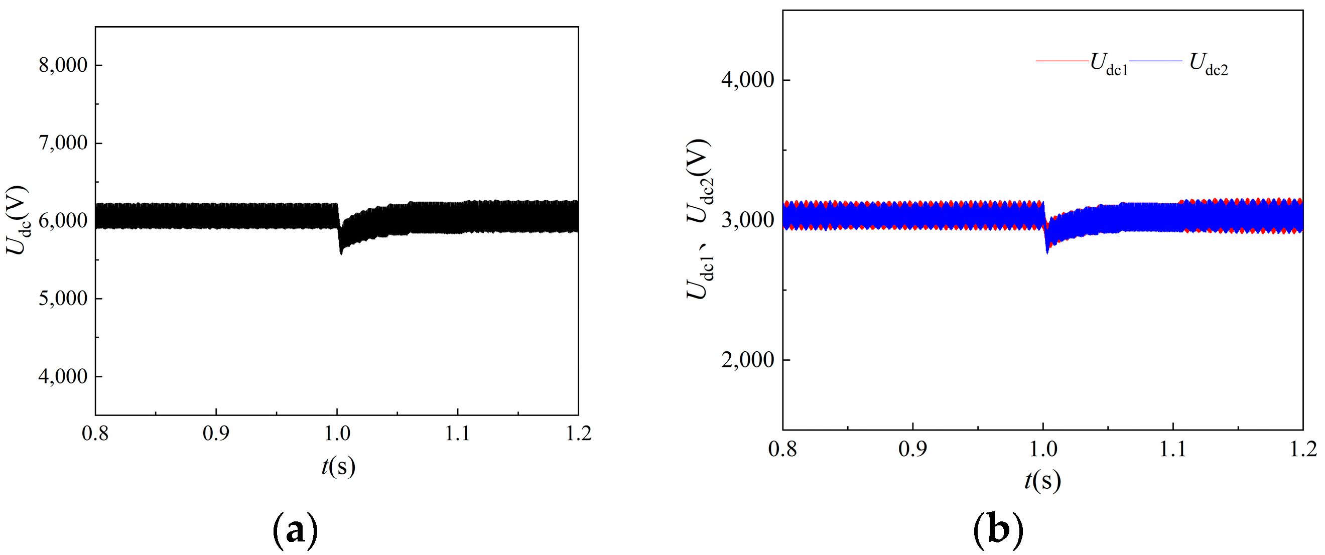
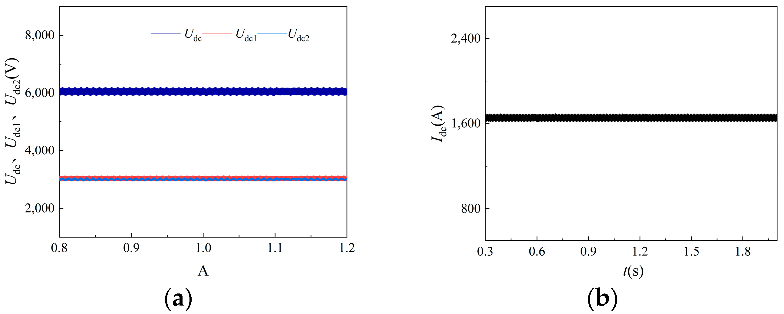
5. Simulation and Experimental Verification
5.1. Simulation Verification
5.2. Experimenal Verification
6. Conclusions
- (1)
- The sub-module topology uses a two-level single active bridge structure, which has a lower switching loss than a three-level structure at a switching frequency of 1 kHz. The DC/DC converter adopts an ISOS modular structure that can effectively reduce the voltage level of the switching devices, making it possible to use low-withstanding voltage switching devices, reduce the medium frequency transformer and sub-module series double boosting, and lower the requirements for transformer insulation. Compared with the three-level structure, there is a low switching loss at a switching frequency of 1 kHz. Additionally, fewer switching devices are used, saving money on device costs;
- (2)
- This study is valuable for optimizing converter performance by analyzing the potential of converter sub-modules in different operating states. It introduces a dual-regulator three-loop control strategy designed to minimize the switching frequency of power-switching devices. This strategy aims to strike a balance between efficient control and rapid response, indicating a potential improvement in the overall converter efficiency and stability;
- (3)
- Finally, a pertinent model with an input voltage, output voltage, and transmission capacity of 6 kV and 60 kV, 10 MW, respectively, was established. A semi-physical experiment on a real-time simulation platform and a simulation on the MATLAB/Simulink platform verified the reliability of the designed ISOS-SAB-type DC/DC converter and its control strategy.
Author Contributions
Funding
Data Availability Statement
Conflicts of Interest
References
- Cai, X.; Shi, G.; Chi, Y.-N. Research status and future development of offshore full DC type wind farms. Chin. J. Electr. Eng. 2016, 36, 2036–2048. [Google Scholar]
- Jiang, D.-Z.; Gu, H.-J.; Yi, R. Research status and development prospect of offshore DC current wind farm. Power Grid Tech. 2015, 39, 2424–2431. [Google Scholar]
- Ying, W.-X.; Tang, G.-F.; He, Z.-Y. Topological study of DC/DC converters for DC convergence in offshore wind farms. Proc. CSEE 2017, 37, 837–847. [Google Scholar]
- Singh, B.; Murshid, S. A Grid-Interactive Permanent-Magnet Synchronous Motor-Driven Solar Water-Pumping System. IEEE Trans. Ind. Appl. 2018, 54, 5549–5561. [Google Scholar] [CrossRef]
- Li, W. Design of DC Converter for Permanent Magnet Wind Turbine Based on DC/DC. Master’s Thesis, Hunan University, Changsha, China, 2014. [Google Scholar]
- Zhao, B.; Song, Q.; Li, J.; Liu, W.; Liu, G.; Zhao, Y. High-frequency-link dc transformer based on switched capacitor for medium-voltage dc power distribution application. IEEE Trans. Power Electr. 2016, 31, 4766–4777. [Google Scholar] [CrossRef]
- Jovcic, D. Step-up DC-DC converter for megawatt size applications. IET Power Electr. 2009, 2, 675–685. [Google Scholar] [CrossRef]
- Jovcic, D.; Ooi, B.T. High-power, resonant DC/DC converter for integration of renewable source. In Proceedings of the 2009 IEEE Bucharest PowerTech, Bucharest, Romania, 28 June–2 July 2009. [Google Scholar]
- Robinson, J.; Jovcic, D.; Joós, G. Analysis and design of an offshore wind farm using a MVDC grid. IEEE Trans. Power Deliv. 2010, 25, 2164–2173. [Google Scholar] [CrossRef]
- Chen, W.; Huang, A.; Li, C. A high efficiency high power step-up resonant switched-capacitor converter for offshore wind energy systems. In Proceedings of the 2012 IEEE Energy Conversion Congress and Exposition (ECCE), Raleigh, NC, USA, 15–20 September 2012; pp. 235–239. [Google Scholar]
- Chen, W.; Huang, A.Q.; Li, C. Analysis and comparison of medium voltage high power DC/DC converters for offshore wind energy systems. IEEE Trans. Power Electr. 2013, 28, 2014–2023. [Google Scholar] [CrossRef]
- Khalid, H.; Mekhilef, S.; Siddique, M.D.; Mubin, M.B.; Seyedmahmoudian, M.; Stojcevski, A.; Ahmed, M. A High Voltage Gain Multi-Stage DC-DC Boost Converter with Reduced Voltage Stress. IETE J. Res. 2022, 70, 2032–2046. [Google Scholar] [CrossRef]
- Yi, R.; Jiang, D.-Z.; Tang, W.-J. Grid connection scheme of offshore DC wind farm based on modular isolated DC/DC converter. Automation. Electr. Power. Syst. 2016, 40, 190–196. [Google Scholar]
- Chen, L.-S.; Lin, W.-Q.; Pan, S.-Z.; Gong, J.-W.; Zha, X.-M. Research on the voltage warping control strategy of ISOS-DAB system. J. Beijing Jiaotong Univ. 2021, 45, 22–31. [Google Scholar]
- Koo, G.-B.; Moon, G.-W.; Youn, M.-J. Analysis and design of phase shift full bridge converter with series-connected two transformers. IEEE Trans. Power Electr. 2004, 19, 411–419. [Google Scholar] [CrossRef]
- Yao, G.; Yang, H.-M.; Zhou, L.-D.; Li, D.-D.; Li, C.-B.; Wang, J. Development status and key technologies of large-capacity offshore wind turbines. Autom. Electr. Power. Syst. 2021, 45, 33–47. [Google Scholar]
- Liu, Q.-H.; Hong, C.-C.; Fan, S.-J.; Yuan, Z.-H.; Tian, X. A large-capacity offshore DC wind turbine and control technology based on dual phase-shift transformation. Chin. J. Electr. Eng. 2023, 43, 507–519. [Google Scholar]
- Guo, L.-Y.; Yao, G.; Zhou, L.-D. Review of high boost ratio DC/DC conversion technology for full DC offshore wind power plant. Power. Syst. Prot. Control. 2018, 46, 158–169. [Google Scholar]
- Abarzadeh, M.; Khan, W.A.; Weise, N.; Al-Haddad, K.; EL-Refaie, A.M. A New Configuration of Paralleled Modular ANPC Multilevel Converter Controlled by an Improved Modulation Method for 1 MHz, 1 MW EV Charger. IEEE Trans. Ind. Appl. 2021, 57, 3164–3178. [Google Scholar] [CrossRef]
- Alonge, F.; Busacca, A.; Calabretta, M.; D’Ippolito, F.; Fagiolini, A.; Garraffa, G.; Messina, A.A.; Sferlazza, A.; Stivala, S. Nonlinear Robust Control of a Quadratic Boost Converter in a Wide Operation Range, Based on Extended Linearization Method. Electronics 2022, 11, 2336. [Google Scholar] [CrossRef]
- Zhu, L.; Song, X.-F.; Li, Y.-G.; Geng, Y.-W. Calculation and analysis of loss in T-type three-level and two-level power switching devices. Microtronics 2019, 47, 35–39 + 51. [Google Scholar] [CrossRef] [PubMed]
- Chen, W. Research on Series-Parallel Combined System of Multi-Converter Modules. Ph.D. Thesis, Nanjing University of Aeronautics and Astronautics, Nanjing, China, 2009. [Google Scholar]
- Liu, Y.-X.; Hong, C.-C.; Liu, Q.-H.; Guo, X.-J.; Tang, H.-Y.; Shen, X.-H. An ISOS-SAB DC/DC Converter for Large Capacity Offshore Wind Turbine. In Proceedings of the 4th International Conference on Smart Power and Internet Energy Systems (SPIES), Beijing, China, 9–12 December 2022; pp. 768–773. [Google Scholar]

















| Equipment | Parameter |
|---|---|
| Rated voltage/kV | 6/60 |
| Rated capacity/MW | 10 |
| Input capacitance/mF | 10 |
| Leakage inductance/μH | 20 |
| Filter capacitor/mF | 2 |
| Filter inductor/mH | 3 |
| Transformer frequency/Hz | 1000 |
| Transformer ratio | 12 |
Disclaimer/Publisher’s Note: The statements, opinions and data contained in all publications are solely those of the individual author(s) and contributor(s) and not of MDPI and/or the editor(s). MDPI and/or the editor(s) disclaim responsibility for any injury to people or property resulting from any ideas, methods, instructions or products referred to in the content. |
© 2024 by the authors. Licensee MDPI, Basel, Switzerland. This article is an open access article distributed under the terms and conditions of the Creative Commons Attribution (CC BY) license (https://creativecommons.org/licenses/by/4.0/).
Share and Cite
Cai, X.; Liu, Y.; Zhu, Y.; Zhou, Y.; Luo, C.; Liu, Q. ISOS-SAB DC/DC Converter for Large-Capacity Offshore Wind Turbine. Energies 2024, 17, 5071. https://doi.org/10.3390/en17205071
Cai X, Liu Y, Zhu Y, Zhou Y, Luo C, Liu Q. ISOS-SAB DC/DC Converter for Large-Capacity Offshore Wind Turbine. Energies. 2024; 17(20):5071. https://doi.org/10.3390/en17205071
Chicago/Turabian StyleCai, Xipeng, Yixin Liu, Yihua Zhu, Yanbing Zhou, Chao Luo, and Qihui Liu. 2024. "ISOS-SAB DC/DC Converter for Large-Capacity Offshore Wind Turbine" Energies 17, no. 20: 5071. https://doi.org/10.3390/en17205071
APA StyleCai, X., Liu, Y., Zhu, Y., Zhou, Y., Luo, C., & Liu, Q. (2024). ISOS-SAB DC/DC Converter for Large-Capacity Offshore Wind Turbine. Energies, 17(20), 5071. https://doi.org/10.3390/en17205071
