Efficiency Enhancement in Photovoltaic–Thermoelectric Hybrid Systems through Cooling Strategies
Abstract
1. Introduction
2. Materials and Methods
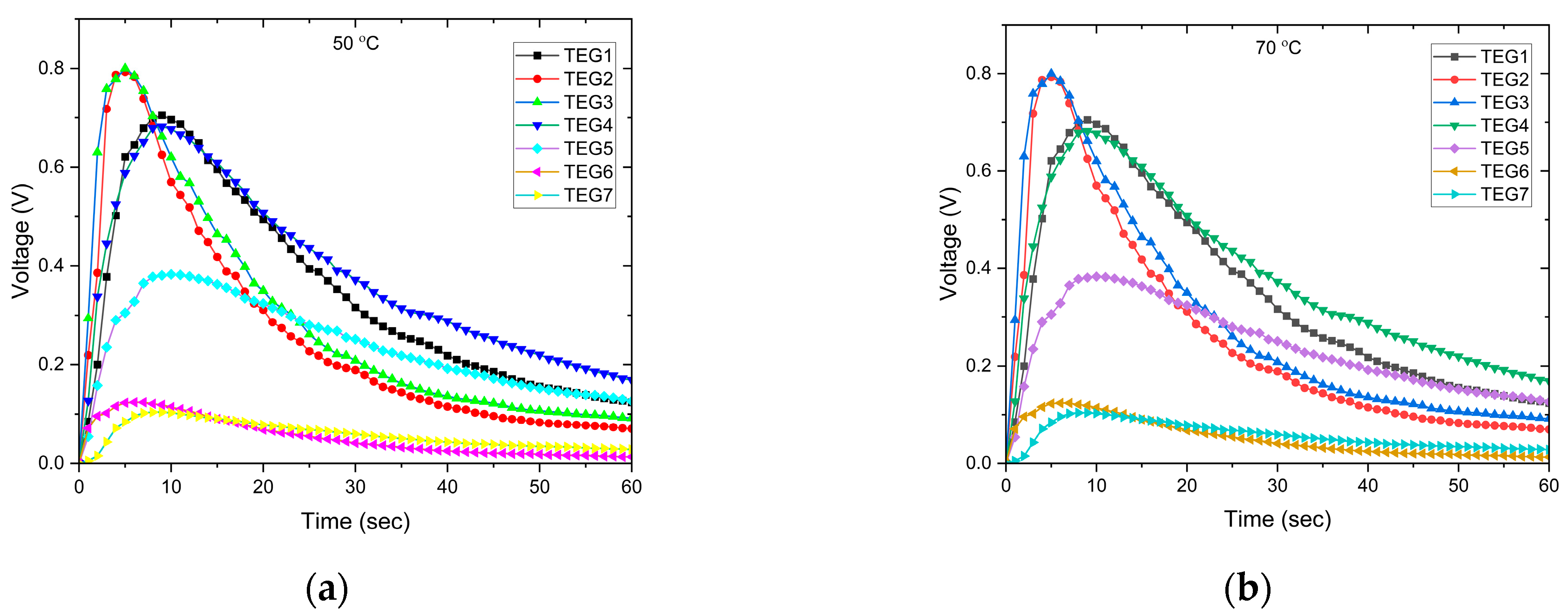
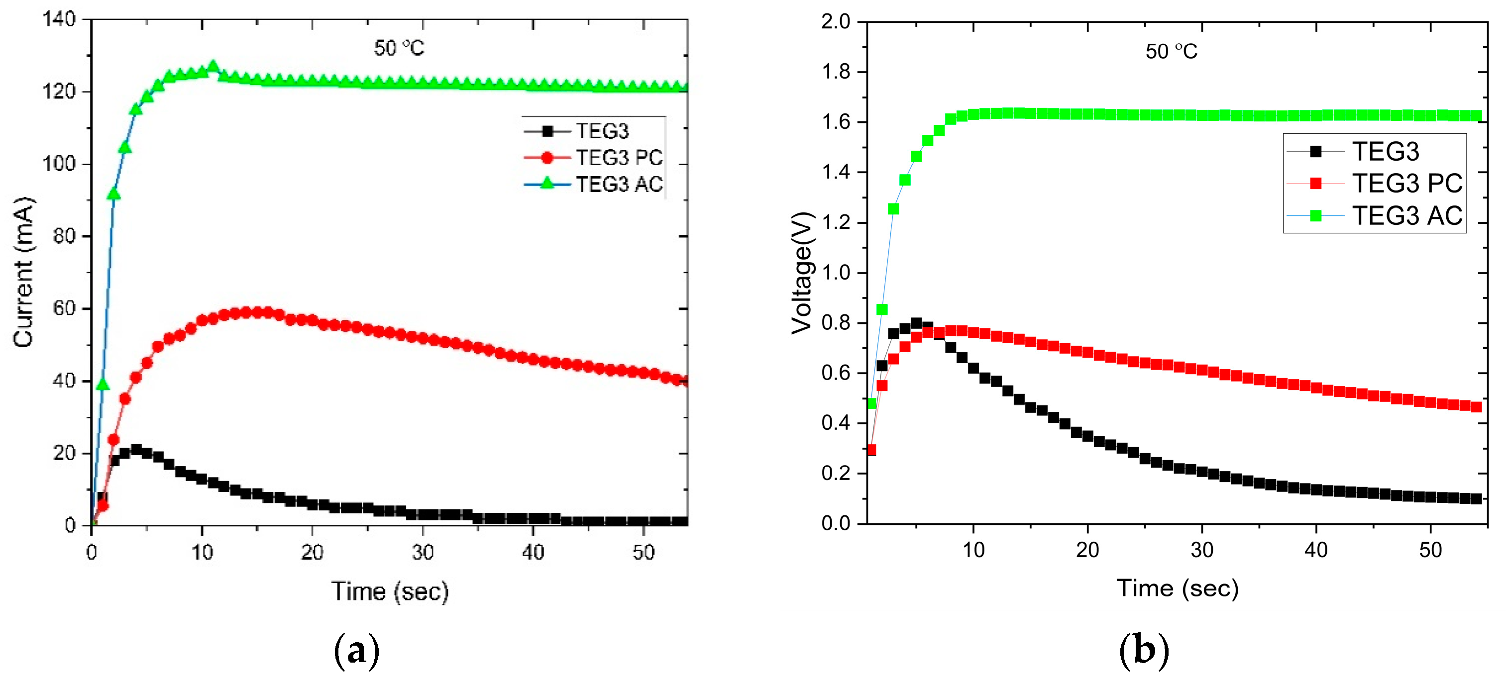
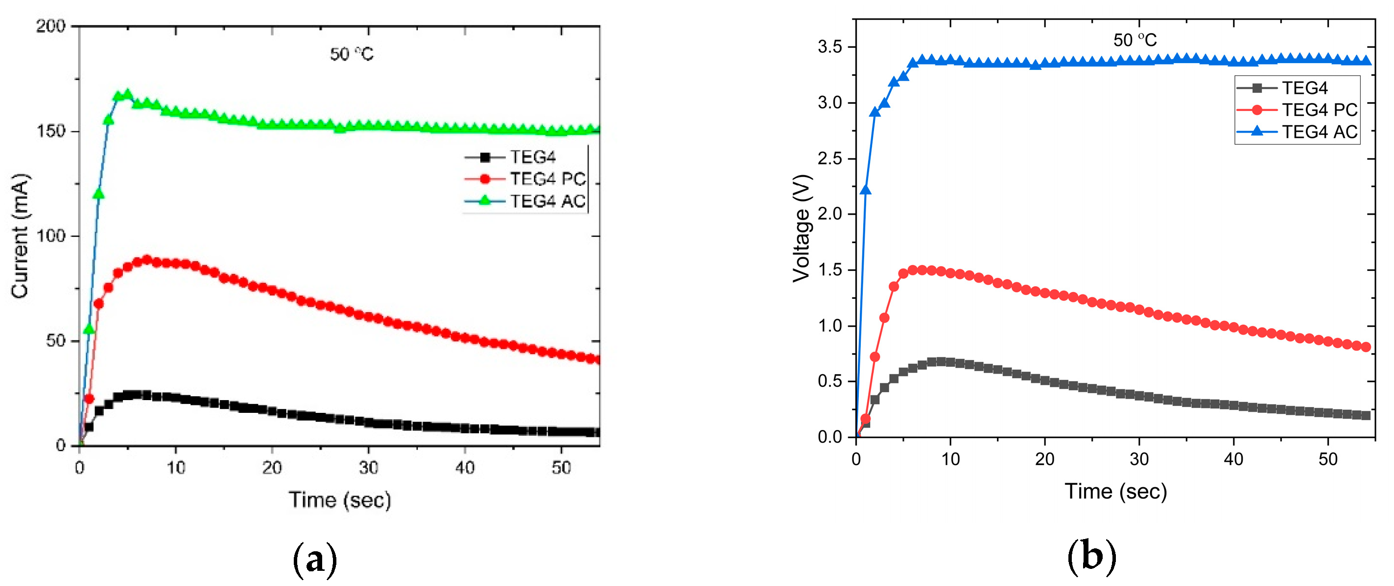
3. Results and Discussion
4. Conclusions
Author Contributions
Funding
Data Availability Statement
Conflicts of Interest
Abbreviations
| PV | Photovoltaic |
| TE | Thermoelectric |
| TEG | Thermoelectric Generator |
| PV-TE | Photovoltaic–Thermoelectric |
| STC | Standard Test Conditions |
| IEC | International Electrotechnical Commission |
| EN | European Norms |
| CO2 | Carbon Dioxide |
| °C | Celsius |
| RPV | Photovoltaic Resistance |
| Th | Hot-Side Temperature |
| TC | Cold-Side Temperature |
| RTEG | Resistance of TEG |
| Ta | Ambient Temperature |
| STC | Standard Test Conditions |
| PC | Passive Cooling |
| P | Positive Material |
| N | Negative Material |
| AC | Active Cooling |
| nAC | Nanofluid Active Cooling |
| Al2O3 | Aluminum Oxide |
| Egap | Bandgap Energy |
| ISO | International Organization for Standardization |
References
- National Renewable Energy Laboratory. Available online: http://www.nrel.gov/ncpv/images/efficiency_chart.png (accessed on 13 September 2023).
- Solar Photovoltaic Panel Prices vs. Cumulative Capacity. Available online: https://ourworldindata.org/ (accessed on 29 September 2023).
- Madeti, S.R.; Singh, S.N. Monitoring system for photovoltaic plants: A review. Renew. Sustain. Energy Rev. 2017, 67, 1180–1207. [Google Scholar] [CrossRef]
- Bilen, K.; Erdoğan, İ. Effects of cooling on performance of photovoltaic/thermal (PV/T) solar panels: A comprehensive review. Sol. Energy 2023, 262, 111829. [Google Scholar] [CrossRef]
- Dada, M.; Popoola, P. Recent advances in solar photovoltaic materials and systems for energy storage applications: A review. Beni-Suef Univ. J. Basic Appl. Sci. 2023, 12, 66. [Google Scholar] [CrossRef]
- Lu, Z.; Huang, Y.; Zhao, Y. Performance investigation of a concentrated photovoltaic-thermoelectric hybrid system for electricity and cooling production. Appl. Therm. Eng. 2023, 231, 120916. [Google Scholar] [CrossRef]
- Zhao, Q.; Zhang, H.; Hu, Z.; Hou, S. Achieving a broad-spectrum photovoltaic system by hybridizing a two-stage thermoelectric generator. Energy Convers. Manag. 2020, 211, 112778. [Google Scholar] [CrossRef]
- Cristaldi, L.; Faifer, M.; Rossi, M.; Toscani, S. An improved model based maximum power point tracker for photovoltaic panels. IEEE Trans. Instrum. Meas. 2014, 63, 63–71. [Google Scholar] [CrossRef]
- Xuan, X.; Li, D. Optimization of a combined thermionic–thermoelectric generator. J. Power Sources 2003, 115, 167–170. [Google Scholar] [CrossRef]
- Zhang, Z.; Li, W.; Kan, J. Behavior of a thermoelectric power generation device based on solar irradiation and the earth’s surface-air temperature difference. Energy Convers. Manag. 2015, 97, 178–187. [Google Scholar] [CrossRef]
- Dallan, B.; Schumann, J.; Lesage, F.J. Performance evaluation of a photoelectric–thermoelectric cogeneration hybrid system. Solar Energy 2015, 118, 276–285. [Google Scholar] [CrossRef]
- Lin, J.; Liao, T.; Lin, B. Performance analysis and load matching of a photovoltaic–thermoelectric hybrid system. Energy Convers. Manag. 2015, 105, 891–899. [Google Scholar] [CrossRef]
- Cui, T.; Xuan, Y. Design of a novel concentrating photovoltaic–thermoelectric system incorporated with phase change materials. Energy Convers. Manag. 2016, 112, 49–60. [Google Scholar] [CrossRef]
- Chow, T.T.; Li, Q. A review on photovoltaic/thermal hybrid solar technology. Appl. Energy 2010, 87, 365–379. [Google Scholar] [CrossRef]
- Li, Y.; Witharana, S.; Cao, H.; Lasfargues, M.; Huang, Y.; Ding, Y. Wide spectrum solar energy harvesting through an integrated photovoltaic and thermoelectric system. Particuology 2014, 15, 39–44. [Google Scholar] [CrossRef]
- Narducci, D.; Lorenzi, B. Challenges and perspectives in tandem thermoelectricphotovoltaic solar energy conversion. IEEE Trans. Nanotechnol. 2016, 15, 348–355. [Google Scholar] [CrossRef]
- Tohidi, F.; Holagh, S.G.; Chitsaz, A. Thermoelectric Generators: A comprehensive review of characteristics and applications. Appl. Therm. Eng. 2022, 201, 117793. [Google Scholar] [CrossRef]
- Champier, D. Thermoelectric generators: A review of applications. Energy Convers. Manag. 2017, 140, 167–181. [Google Scholar] [CrossRef]
- He, W.; Zhang, G.; Zhang, X.; Ji, J.; Li, G.; Zhao, X. Recent development and application of thermoelectric generator and cooler. Appl. Energy 2015, 143, 1–25. [Google Scholar] [CrossRef]
- Kraemer, D.; McEnaney, K.; Chiesa, M.; Chen, G. Modeling and optimization of solar thermoelectric generators for terrestrial applications. Sol. Energy 2012, 86, 1338–1350. [Google Scholar] [CrossRef]
- Deng, Y.; Zhu, W.; Wang, Y.; Shi, Y. Enhanced performance of solar-driven photovoltaic–thermoelectric hybrid system in an integrated design. Sol. Energy 2013, 88, 182–191. [Google Scholar] [CrossRef]
- Zhang, J.; Xuan, Y.; Yang, L. Performance estimation of photovoltaic thermoelectric hybrid systems. Energy 2014, 78, 895–903. [Google Scholar] [CrossRef]
- Dewangan, D.; Ekka, J.P.; Arjunan, T.V. Solar photovoltaic thermal system: A comprehensive review on recent design and development, applications and future prospects in research. Int. J. Ambient. Energy 2022, 43, 7247–7271. [Google Scholar] [CrossRef]
- Lee, J.; Cho, K.; Park, Y.; Park, S.; Song, H.E.; Kim, S. Performance Enhancement of Hybrid Energy Devices Using Cooling Patches. Int. J. Photoenergy 2022, 2022, 364240. [Google Scholar] [CrossRef]
- Tang, J.; Ni, H.; Peng, R.L.; Wang, N.; Zuo, L. A review on energy conversion using hybrid photovoltaic and thermoelectric systems. J. Power Sources 2023, 562, 232785. [Google Scholar] [CrossRef]
- Kohan, H.F.; Eslami, M.; Jafarpur, K. Thermal influence of thermoelectric modules on performance of hybrid PV-TEG systems: Effects of TEG type, arrangement and working condition. Int. Commun. Heat Mass Transf. 2023, 147, 106969. [Google Scholar] [CrossRef]
- Luo, D.; Wu, Z.; Yan, Y.; Cao, J.; Yang, X.; Zhao, Y.; Cao, B. Performance investigation and design optimization of a battery thermal management system with thermoelectric coolers and phase change materials. J. Clean. Prod. 2024, 434, 139834. [Google Scholar] [CrossRef]
- Yang, B.; Wang, J.; Su, S.; Li, Y.; Wu, P.; Yang, Z.; Li, J. Mismatch losses mitigation of PV-TEG hybrid system via improved RIME algorithm: Design and hardware validation. J. Clean. Prod. 2024, 434, 139957. [Google Scholar] [CrossRef]
- Khanalizadeh, A.; Astaraei, F.R.; Heyhat, M.M.; Rad, M.A.V. Experimental investigation of a PV/T system containing a TEG section between water-based heat exchanger and air-based heat sink. Therm. Sci. Eng. Prog. 2023, 42, 101909. [Google Scholar] [CrossRef]
- Gao, Y.; Wu, D.; Dai, Z.; Wang, C.; Zhu, L.; Zhang, J.; Xu, G.; Zhang, X. A passive evaporative cooling strategy to enhance the electricity production of hybrid PV-STEG system. Appl. Energy 2023, 349, 121689. [Google Scholar] [CrossRef]
- Attivissimo, F.; Di Nisio, A. Feasibility of a photovoltaicthermoelectric generator: Performance analysis and simulation results. IEEE Trans. Instrum. Meas. 2015, 64, 1158–1169. [Google Scholar] [CrossRef]
- Khan, N.M.; Ahmed, A.; Haider, S.K.; Zafar, M.H.; Mansoor, M.; Akhtar, N. Hybrid General Regression NN Model for Efficient Operation of Centralized TEG System under Non-Uniform Thermal Gradients. Electronics 2023, 12, 1688. [Google Scholar] [CrossRef]
- Herez, A.; El Hage, H.; Lemenand, T.; Ramadan, M.; Khaled, M. Review on photovoltaic/thermal hybrid solar collectors: Classifications, applications and new systems. Sol. Energy 2020, 207, 1321–1347. [Google Scholar] [CrossRef]
- Li, G.; Shittu, S.; Zhou, K.; Zhao, X.; Ma, X. Preliminary experiment on a novel photovoltaic-thermoelectric system in summer. Energy 2019, 188, 116041. [Google Scholar] [CrossRef]
- Wen, X.; Ji, J.; Li, Z. Evaluation of the phase change material in regulating all-day electrical performance in the PV-MCHP-TE system in winter. Energy 2023, 263, 125919. [Google Scholar] [CrossRef]
- Enayatollahi, R.; Farid, M.M. An integrated cooling mechanism for photovoltaic systems. Numer. Heat Transf. Part A Appl. 2023, 1–12. [Google Scholar] [CrossRef]
- Abou Akrouch, M.; Chahine, K.; Faraj, J.; Hachem, F.; Castelain, C.; Khaled, M. Advancements in Cooling Techniques for Enhanced Efficiency of Solar Photovoltaic Panels: A Detailed Comprehensive Review and Innovative Classification. Energy Built Environ. 2023, in press. [CrossRef]
- Indira, S.S.; Vaithilingam, C.A.; Chong, K.K.; Saidur, R.; Faizal, M.; Abubakar, S.; Paiman, S. A review on various configurations of hybrid concentrator photovoltaic and thermoelectric generator system. Sol. Energy 2020, 201, 122–148. [Google Scholar] [CrossRef]
- Cotfas, D.T.; Cotfas, P.A.; Mahmoudinezhad, S.; Louzazni, M. Critical factors and parameters for hybrid photovoltaic-thermoelectric systems; review. Appl. Therm. Eng. 2022, 215, 118977. [Google Scholar] [CrossRef]
- Kumar, S.; Mandal, S.K.; Singh, P.K.; Mishra, S.K.; Das, A.K. Performance Analysis of a Thermoelectric Generation System with Different Flow Configurations. J. Electron. Mater. 2019, 48, 4607–4617. [Google Scholar] [CrossRef]
- Available online: https://www.energy.gov/sites/prod/files/2014/01/f7/pvmrw13_ps1_univljub_janovec.pdf (accessed on 27 December 2023).
- Nandihalli, N.; Liu, C.J.; Mori, T. Polymer based thermoelectric nanocomposite materials and devices: Fabrication and characteristics. Nano Energy 2020, 78, 105186. [Google Scholar] [CrossRef]
- Sundarraj, P.; Maity, D.; Roy, S.S.; Taylor, R.A. Recent advances in thermoelectric materials and solar thermoelectric generators—A critical review. RSC Adv. 2014, 87, 46860–46874. [Google Scholar] [CrossRef]
- Xu, X.; Zhou, S.; Meyers, M.M.; Sammakia, B.G.; Murray, B.T. Performance analysis of a combination system of concentrating photovoltaic/thermal collector and thermoelectric generators. J. Electron. Packag. 2014, 136, 41004–41010. [Google Scholar] [CrossRef]
- Haidar, J.G.; Ghogel, J.I. Waste heat recovery from the exhaust of low-power diesel engine using thermal electric generators. In Proceedings of the ICT2001. 20 International Conference on Thermoelectrics, Beijing, China, 8–11 June 2001; pp. 413–417. [Google Scholar] [CrossRef]
- ISO/IEC 17025; Testing and Calibration Laboratories. International Standards Organisation: Geneva, Switzerland, 2017. Available online: https://www.iso.org/ISO-IEC-17025-testing-and-calibration-laboratories.html (accessed on 13 September 2023).
- IEC 61215-1:2021; Terrestrial photovoltaic (PV) Modules—Design Qualification and Type Approval—Part 1: Test Requirements. International Electrotechnical Commission (IEC): Geneva, Switzerland, 2021. Available online: https://webstore.iec.ch/publication/61345 (accessed on 13 September 2023).
- Xu, Z.; Kleinstreuer, C. Concentration Photovoltaic–Thermal Energy Co-Generation System Using Nanofluids for Cooling and heating. Energy Convers. Manag. 2014, 87, 504–512. [Google Scholar] [CrossRef]
- Wu, Y.; Wu, S.; Xiao, L. Performance analysis of photovoltaic–thermoelectric hybrid system with and without glass cover. Energy Convers. Manag. 2015, 93, 151–159. [Google Scholar] [CrossRef]








| Name | Manufacturer | Thickness of TEG in mm | Thickness of Surface in mm | Thickness of PN Junction Area in mm | Model | TE Material | Plate Material |
|---|---|---|---|---|---|---|---|
| TEG1 | Hebei, Shanghai, China | 3.87 | 0.71 | 2.45 | TEC1-12706 | Bi2Te3 | Ceramic Al2O3 |
| TEG2 | Euroquartz, Shanghai, China | 3.71 | 0.73 | 2.25 | SP1848 27145 SA | Bi2Te3 | Ceramic Al2O3 |
| TEG3 | Kuongshun, Shenzhen, China | 3.77 | 0.71 | 2.35 | SP1848 27145 SA | Bi2Te3 | Ceramic Al2O3 |
| TEG4 | Adaptive, Leicestershire, UK | 3.59 | 0.89 | 1.81 | ETH-127-10-13-S-RS | Bi2Te3 | Ceramic Al2O3 |
| TEG5 | Marlow, Dallas, TX, USA | 3.9 | 0.7 | 2.5 | RC12 91826 | Bi2Te3 | Ceramic Al2O3 |
| TEG6 | TEC, Calgary, AB, Canada | 3.56 | 0.86 | 1.84 | TEG2-07025HT-SS | Bi2Te3 | Ceramic, graphite |
| TEG7 | TEC | 4.81 | 0.99 | 2.83 | TEG1-PB-12611 | Pb, Bi2Te3 | Ceramic, graphite |
| Product Test in 50 °C Ta | Power in W | Performance Increase |
|---|---|---|
| PV | 5.48 | |
| PV-TE TEG3 | 5.480107 | 0.00% |
| PV-TE TEG3 PC | 5.504732 | 0.45% |
| PV-TE TEG3 AC | 5.676746 | 3.59% |
| PV-TE TEG3 nAC | 5.682654 | 3.69% |
| Product Test in 50 °C Ta | Power in W | Performance Increase |
|---|---|---|
| PV | 5.48 | |
| PV-TE TEG4 | 5.480149 | 0.00% |
| PV-TE TEG4 PC | 5.503771 | 0.43% |
| PV-TE TEG4 AC | 5.987822 | 9.26% |
| PV-TE TEG4 nAC | 5.997978 | 9.45% |
Disclaimer/Publisher’s Note: The statements, opinions and data contained in all publications are solely those of the individual author(s) and contributor(s) and not of MDPI and/or the editor(s). MDPI and/or the editor(s) disclaim responsibility for any injury to people or property resulting from any ideas, methods, instructions or products referred to in the content. |
© 2024 by the authors. Licensee MDPI, Basel, Switzerland. This article is an open access article distributed under the terms and conditions of the Creative Commons Attribution (CC BY) license (https://creativecommons.org/licenses/by/4.0/).
Share and Cite
Bulat, S.; Büyükbicakci, E.; Erkovan, M. Efficiency Enhancement in Photovoltaic–Thermoelectric Hybrid Systems through Cooling Strategies. Energies 2024, 17, 430. https://doi.org/10.3390/en17020430
Bulat S, Büyükbicakci E, Erkovan M. Efficiency Enhancement in Photovoltaic–Thermoelectric Hybrid Systems through Cooling Strategies. Energies. 2024; 17(2):430. https://doi.org/10.3390/en17020430
Chicago/Turabian StyleBulat, Selcuk, Erdal Büyükbicakci, and Mustafa Erkovan. 2024. "Efficiency Enhancement in Photovoltaic–Thermoelectric Hybrid Systems through Cooling Strategies" Energies 17, no. 2: 430. https://doi.org/10.3390/en17020430
APA StyleBulat, S., Büyükbicakci, E., & Erkovan, M. (2024). Efficiency Enhancement in Photovoltaic–Thermoelectric Hybrid Systems through Cooling Strategies. Energies, 17(2), 430. https://doi.org/10.3390/en17020430

