Next Article in Journal
EhdNet: Efficient Harmonic Detection Network for All-Phase Processing with Channel Attention Mechanism
Previous Article in Journal
Wind Turbine Damage Equivalent Load Assessment Using Gaussian Process Regression Combining Measurement and Synthetic Data
 
 
Font Type:
Arial Georgia Verdana
Font Size:
Aa Aa Aa
Line Spacing:
Column Width:
Background:
Article

Managing BEV Charge to Obtain a Positive Impact on a National Power System

Department of Energy, Systems, Territory and Constructions, University of Pisa, 56122 Pisa, Italy
*
Author to whom correspondence should be addressed.
Energies 2024, 17(2), 348; https://doi.org/10.3390/en17020348
Submission received: 13 December 2023 / Revised: 8 January 2024 / Accepted: 8 January 2024 / Published: 10 January 2024
(This article belongs to the Section F1: Electrical Power System)

Abstract

This paper’s research question is to evaluate the potential impact of large numbers of battery electric vehicles (BEVs) on the future electric grid, and whether the flexibility of BEV charging can induce enough system benefits to remunerate BEV users for the change in their recharging pattern. The considered scenario refers to the Italian situation and what might occur through the year 2040, where a share of BEV stock of 40% can be foreseen, as well as significant increases in PV and wind generation. Although this study is focused on Italy, its results are applicable, with minor differences, to several EU countries. This paper first shows that the future impact of increasing penetration of BEVs appears to be compatible with the expected growth of generation from renewable energy sources (RES) and the corresponding reduction in fossil fuel-based generation. It also gives an estimate of the CO2 emission reduction resulting from these changes, considering an unmanaged BEV charge profile and two different managed profiles that shift the car’s charging period to hours of the day when they have no negative impact on the grid and maximize the utilization of RES. Finally, it shows an evaluation of the economic benefits of displacing private car charging ranging from 4 to 10 cEUR/kWh, which could be used as tariff incentives to stimulate this displacing in recharging time.

1. Introduction

The electric vehicle stock is forecasted to grow continuously over the next decades, contributing to the decarbonization of energy uses [1,2]. Many authors evaluated the transformation of current road mobility from internal combustion engine vehicles (ICEVs) to battery electric vehicles (BEVs) [3,4] focusing on smart charging to maximize the benefits of increasing numbers of EVs connected to the power grid [5] and minimize impacts in distribution networks [6].
In the EU, the goal of net zero greenhouse gases by 2050 (Net Zero Emission scenario—NZE) requires that by that date nearly all vehicles on the road will be decarbonized, a goal that appears compatible with the stated ban on the sale of fossil fuel-based vehicles by 2035.
The International Energy Agency, in its global EV outlook 2023 [7] (p. 109), states that to be compatible with the NZE, the EV stock by 2030 should be over 15%, and considering the already stated policies (Stated Policies Scenario—STEPS), it is expected to be over 10%.
If the trend slope taken in Figure 3.1 of [7] around 2030 is extrapolated (i.e., without considering expected further increases in the speed of adoption), by 2037, the EV stock should reach 40% of the total. Part of this stock may be fed by biofuels or e-fuels, but the amount of this part will probably remain marginal, as is inferable by the very estimate of the EV stock scenario from the IEA, which by 2030 does not include them. In 2022, e-fuel and biofuel vehicles were very marginal, with fuel cell vehicle (FCEV) sales being around 0.3% of BEVs worldwide.
This paper focuses on the Italian situation, which is significantly lagging behind the average world situation, as depicted by the mentioned IEA report (2022 BEV sales accounting for 4.7% of the total [8] versus around 10% globally [7]) and many other studies [9]. However, since the EU plans to stop fossil fuel vehicle sales by 2035, and Italy is in the EU, the Italian market can be foreseen to catch up, progressively reducing the lag with the global trend. Therefore, in this study on the Italian market, the 40% share is foreseen to be reached in the year 2040.
In the same time span, strong increases in the RES generation are foreseen (wind and PV by factors of around 3–4 in 2030 and 5–6 in 2040; details in Table 1), accompanied by small increases in the stationary load, if we exclude green hydrogen production, which is highly debated and is connected with the evolution of the green transport which, for reasons already discussed, we totally exclude from our study.
The 40% total of battery electric vehicle stock will need recharging. This justifies our research questions:
Will the existing grid, with already stated or foreseen increases in generation power, be able to safely feed these BEVs?
Will the BEV owners be left to choose their own timing for charging or be subjected to incentives to reduce the burden of recharging on the grid or even facilitate grid energy balance?
This paper aims to answer these questions, and similar issues about electric grid resilience have been investigated in a previous review paper [10]. Other authors analyzed the impact of smart charging stations on the distribution sector [11], low-voltage grids [12], and advanced charging behavior archetypes different from current “liquid fuel” mental models [13]. Another important subject of research is the vehicle-to-grid (V2G) concept, considering BEVs connected to the grid as virtual power plants [14], even though this bidirectional use of BEVs has to be carefully evaluated in terms of battery degradation [15]. This paper will propose only a power balance, based on the Italian production/load profile, and not include possible difficulties arising on the transmission and distribution grid, as well as system security, which will be addressed in future research.

2. The Considered Italian Scenario

2.1. Terna Forecasts on PV and Wind Generation by 2030 and 2040

The national energy and climate plans (NECPs) were introduced by the “Regulation on the governance of the energy union and climate action” (EU) 2018/1999, agreed as part of the “Clean energy for all Europeans” package, which was adopted in 2019. By 30 June 2023, Member States were due to submit their draft updated NECPs, in line with Article 14 of the Governance Regulation [16]. Terna and Snam (the Italian TSOs for natural gas) have recently elaborated the official report “Description of Scenarios” [17], an essential content for development plans of transmission and transport networks in the electricity and gas sectors at the national level.
The document contains two scenarios for 2030:
  • Scenario in line with fit-for-55 (FF55) objectives and updated (draft) Italian NECPs;
  • Late transition that is substantially in line with the previous version of the NECP (2019).
And three scenarios for 2040:
  • Late transition, aligned with the 2030 scenario;
  • Global Ambition Italia (GA-IT);
  • Distributed Energy Italia (DE-IT).
GA-IT and DE-IT are both aligned with the scenarios prepared by the ENTSOs, which project alternative paths to reach a net zero target by 2050.
In this study, the FF55 scenario and the average between GA-IT and DE-IT were selected for 2030 and 2040, respectively. In Table 1, photovoltaic and wind generation are reported, together with the multiplying factors with respect to 2019.
Table 1. Photovoltaic/wind generation in 2019–2030–2040 and kPV and kW.
Table 1. Photovoltaic/wind generation in 2019–2030–2040 and kPV and kW.
201920302040
Photovoltaic generation (TWh/y)24 [17]101 [17]148 [17]
Wind generation (TWh/y)20 [17]68 [17]104 [17]
PV multiplying factor with respect to 2019 generation (kPV)14.26.1
Wind multiplying factor with respect to 2019 generation (kW)13.45.2

2.2. The 2019 Generation/Load Profile

This study moves from a baseline scenario corresponding to the 2019 Italian electricity generation and consumption. This particular year was chosen because it was the last year not yet impacted by the COVID-19 global pandemic and the global energy crisis caused by Ukraine’s war. Later years, from 2020 to 2023, have been strongly affected by the unprecedented extreme variability of energy prices.
Data of both national load and generation were extracted from reports of the Italian Transmission System Operator (TSO) Terna [18] with an hourly time scale, which was adopted in this study. In 2019, the Italian electricity generation mix was split, as shown in Table 2.

2.3. The Italian Vehicle Landscape

2019 road transport in Italy can be summarized with data reported in Table 3. Fleet consistency, fuel consumption, and annual mileage are derived from institutional reports [19]; Table 3.22 [20]. CO2 tailpipe emissions are calculated from annual fuel consumption using the conversion factor of gasoline (73.3 MgCO2/TJ [19]; Table 3.21). A remarkable number of Italian vehicles are currently fuelled with diesel (73.6 MgCO2/TJ [19]; Table 3.21), and only a few with LPG (65.6 MgCO2/TJ [19]; Table 3.21) and natural gas (57.6 MgCO2/TJ [19]; Table 3.21), so the use of the gasoline conversion factor for the whole fleet seems like a reasonable assumption. Other GHG and pollutant emissions are not accounted for, while buses and two-wheeler fleet segments were not considered in this study. Annual mileage per vehicle and specific fuel consumption are simply derived from other data.
Given this landscape, we apply the percentage of vehicle stock that can be inferred from [7], as detailed in the introduction. By rounding the numbers, in this study, we assume a PC stock that is equal to:
  • Forty million in 2019;
  • Four million in 2030 (Stated Policies Scenario);
  • Ten million in 2030 (Net Zero Emission IEA scenario).
We decided not to consider the Net Zero emission for 2030, since Italy is not on track for this.

2.4. Hypothetical Future Energy Cost

Estimating future energy prices is always a very challenging task, especially from a long-term perspective. Moreover, the recent price shocks experienced by the European energy system have increased the volatility of electricity markets and the uncertainties associated with many energy investments.
Just to set a realistic reference, the present long-term futures of electricity stand at around 120 EUR/MWh, including only the value of the commodity. This price will be used in Section 5 to properly monetize the overgeneration reduction achieved with the correct management of BEV charging profiles.
The all-inclusive electricity price at a charging station is currently much higher, even up to six times. This is due not only to the unavoidable fees related to the electricity transport and the use of the system, as for any kind of passive customer, but also the case of charging stations due to the huge price markup currently applied by the owners of the infrastructure to obtain a quick return on their investment. In the current development phase of the charging infrastructure, this effect is physiological, considering the novelty of the technology, the significant failure rate of the components, the recurrent vandalism, and the maintenance logistics that are not yet optimized. However, we believe that this markup is likely to fade in the long term, especially for AC charging stations.
Based on the above considerations, for the long-term electricity price at charging stations, we assume a value of 200 EUR/MWh, which is only 10 EUR/MWh higher than the sum of the commodity price, the Italian tariffs for electricity transport and use of the system, and the taxes.

3. Methodology

In the previous sections, we discussed the data taken as a reference:
  • The Italian 2019 load diagram;
  • The Italian situation and forecasted RES generation for 2030 and 2040;
  • The load diagram, except for BEV charge needs, is kept unchanged in shape and entity.
From this data, an evaluation of future scenarios in 2030 and 2040 is made using the methodology detailed.
The contribution of fossil thermal power plants and imports from abroad are aggregated and named “residual generation” because even though they are dominant today, this study is focused on future scenarios, characterized by increasing quotes of RES and a decrease in fossil fuel generation, which are, therefore, expected to become more and more limited in share.
BEV charging profiles used in this study are reconstructed with a publicly accessible tool prepared by the International Energy Agency (IEA) under the Global E-Mobility Programme funded by the Global Environment Facility [21]. The “EV Charging and Grid Integration Tool” serves as a companion to the policy maker manual and delivers quantitative estimates through an interactive interface, allowing modifications of many settings by the user. The output of the tool is a weekly profile of charging power with a 5 min resolution, which was exported and converted to a 1 h resolution for homogeneity with national load and the generation of available data. For this study, the IEA tool was used with its original presets, tuning only the annual average mileage with data taken from Table 3 to create three BEV fleet segments (104 BEV-PC, 104 BEV-LCV, 103 BEV-HDT) and unmanaged charging strategies, obtaining three weekly charging profiles, as shown in Figure 1.
These weekly profiles are repeated throughout the whole year, obtaining three annual load profiles (BPC, BLCV, BHDT), which are upscaled with corresponding multipliers (kPC, kLCV, kHDT) to reach the desired size of the BEV fleet. The result is an annual profile of BEV-associated load, L b :
L b = k P C B P C + k L C V B L C V + k H D T B H D T
Three different levels of BEV penetration were considered in this study, as shown in Table 4, with corresponding annual consumption. The additional annual electricity load associated with BEV penetration of 10–40% ranges from 10 to 42 TWh, corresponding to 3% and 13% of the 2019 Italian total load.
Looking at the vehicular data [22,23], the WLTC consumption of modern cars is around 150 Wh/km. However, this is expected to reduce; a combined study by JRC-Eucar-Concawe, dated 2020, considers, for the average car in 2030, a WLTP consumption of 130 Wh/km [24]. However, it must be noted that WLTP refers to mild weather conditions, with air conditioning being off. It is a common experience that loss of efficiency during the winter is large. According to a study [25], an average loss of 30% occurs during winter. Considering that air conditioning is not always activated, we assumed a 15% average loss due to air conditioning for our study. So, the resulting a specific consumption of passenger cars considered in this study is 150 Wh/km.
A simple mathematical model (illustrated with a scheme in Figure 2) was created to calculate, hour by hour, the balance between generation (residual generation G r and RES generation G r e s ) and electricity load (stationary load L s , BEV load L b and RES overgeneration G o ):
G r + G r e s = L s + L b + G o
with:
G r e s = G H y + G P V + G W + G B M + G G T
where G H y represent hydroelectric generation, G P V is photovoltaic, G W is wind, G B M is biomass, and G G T is geothermal.
Photovoltaic and wind generation profiles ( G P V + G W ) are upscaled with corresponding multipliers ( k P V , k W in Table 2) to simulate an increase in installed capacity:
G P V = k P V G P V , r e f
G W = k W G W , r e f
where the reference values, as already stated, are the values measured in Italy for 2019. According to both the original and updated (2023 draft) versions of the Italian NECP [16], ambitious targets of RES penetration in the electricity sector will be achieved mainly through these two sources of additional capacity. Other RES addition potential in Italy is limited.
Since the sum of RES generation G r e s and the stationary L s are fixed, hour by hour, a balance is reached with the following simple rules:
-
when G r > 0 , then G o = 0 ( G r > 0   when needed to make up for the lack of energy when G r e s < L s + L b ).
-
when G r e s > L s + L b ,   then G o > 0   and G r = 0 .
The methodology here adopted relies on the following main assumptions:
  • RES generation can be dispatched and consumed without transmission and regulation constraints. Assessments regarding system stability (e.g., rotating inertia reserve) and electricity transportation are completely neglected;
  • Import/export, load modifications induced by the electrification of other sectors (e.g., building HVAC, industry), and electricity storage are not considered. Looking at the Italian TSO forecasts in [17] and subtracting BEV charge and hydrogen electrolysis, future additional demand for electricity will grow very slowly; less than 1% per year;
  • Future installations of photovoltaic and wind power plants will not significantly affect the current generation profile shape. In other words, it is assumed that the geographic locations and performances of future PV panels and wind turbines will be similar to the current ones.
Assumption 1 is justified by the nature of the “generation-load balance” of this paper. This is a typical study that precedes verifications of dynamical stability, e.g., to determine the amount of spinning reserve (while in the future, a different name may be adopted, such as dynamic reserve).
Assumption 2 is made since we want to isolate the impact on the system of only BEV charge, without mixing with other simultaneous changes.
Assumption 3 is reasonable because both PV and onshore wind are expected to be installed in areas comparable to the existing ones (or even in the same locations for wind repowering projects). The only significant change could be caused by largescale offshore wind farms in open water because these sites may have a different wind potential than the existing ones. However, the updated draft of the Italian NECP set the 2030 target to only 2.1 GW of offshore wind capacity with respect to the total wind capacity of 28.1 GW and 79.9 GW for photovoltaic [16,17], so the expected impact at the national level will be very limited.
The following annual indicators can be defined to summarize the main results.
P r = h = 1 8760 G r , h h = 1 8760 L s , h + L b , h
P r e s = 1 P r
I o = h = 1 8760 G o , h h = 1 8760 G r e s , h
These quantities indicate residual generation penetration ( P r ) , RES penetration ( P r e s ) , and the overgeneration index ( I o ).
Estimations regarding CO2 emitted by residual generation are assessed using the emission factor of Italian natural gas power plants in 2019, which is equal to 368.7 gCO2eq/kWhel [26].

4. Simulation Results

4.1. Load Analysis

BEV charging profiles (BPC, BLCV, BHDT) are synchronized to the 2019 national load, day by day and hour by hour, and summed together to obtain yearly profiles of the total electricity load L s + L b . Sorting those 8760 consecutive hourly loads in descending order, so-called “duration curves” can be derived for each case. A duration curve is often used in electric power generation to illustrate the relationship between generating capacity requirements and capacity utilization.
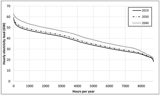
Load duration curves (Figure 3) hide some information regarding the evolution of the load over time but give a clear view of some useful information, such as peak load (top left value) and x-th load percentiles (corresponding to the x-th percentile of hours per year). Table 5 shows some values of different percentile loads. As can be deduced in Figure 3, BEV recharge impacts whole duration curves. When considering the maximum annual peak, it is important to remember that this study is based on the Ls profile of a single year (2019). For this reason, this value should be interpreted with caution, as it could be affected by singularities of that specific year. In contrast, the high percentiles (99th, 95th, 90th) are less susceptible to these singularities.
Analyzing the hourly profiles of Ls and Lb in detail, it is clear that the unmanaged strategy of BEV recharge causes a remarkable increase in the late afternoon load peak (Figure 4 shows a week in January as an example). In particular, BEV-PC recharge (green line in Figure 4) is the main contributor to that spike. Such high demand in those hours is a challenging issue for the electrical system, which is already facing a loss of RES generation in the same hours due to photovoltaic power decrease with sunlight. To cover that load, the system will use all remaining RES, use importation from other countries, and electrical storage if available, as well as calls to operational “peaker” thermal fossil power plants. It is self-evident that in this case, BEV-PC recharge may represent a problem that has to be managed, especially when BEV penetration in the entire fleet reaches a moderate/high percentage.
To help with the management of the electrical system, two opposite approaches can ideally be adopted:
-
Shift BEV-PC recharges to the night hours to reduce the afternoon peak and compensate for the huge overnight downtime. To simulate this strategy, a +7 h shifted BEV charging profile was defined: Lb+7(h):
L b + 7 h = k P C B P C h + 7 + k L C V B L C V h + k H D T B H D T h
-
Shift BEV-PC recharges to the central hours of the day when photovoltaic plants will produce large amounts of electricity and when overgeneration is also statistically likely to occur. In this case, the BEV-PC recharge is anticipated for 7 h: Lb−7(h):
L b 7 h = k P C B P C h 7 + k L C V B L C V h + k H D T B H D T h
It is rather obvious that shifting all personal car recharge times is unreasonable. The idea of this paper is to imagine a scenario in which incentives are given to users to shift their charge, and only a fraction of them will adhere to this policy. However, just to understand the effects of those shifts, for the sake of simplicity, in this analysis, the whole stock of personal cars is imagined to be shifted. On the other hand, LCVs and HDTs are imagined to be much more rigid to shift since nearly all of these vehicles are work tools and are more frequently linked to rigid working hours. This is an approximation as well because some LCV and HDT users would probably be adequate if they received enough incentives to use a shifted charging profile pattern.
The choice of a systematic translation of 7 h is rather arbitrary. The rationale behind the choice of this 7 h time is that it allows transferring of the evening peak into the night (where the stationary load is much lower) or around noon, when PV generation, especially during summers, is much larger. Moving the load to night hours is a common strategy use by current electric systems dominated by thermal power plants (confirmed by lower electricity prices during the night), but the future of highly PV-penetrated systems will require an opposite strategy. This is another deep change that the electrical system has to face in the next few years.
In Figure 5, the effect of these shifts is shown for the same week in January.
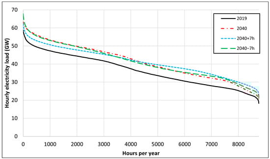
Looking at the corresponding duration curves in Figure 6, the effect of a 7 h time shift is even more evident. A delay (+7 h) in the BEV-PC charge to the night hours led to a remarkable reduction in the highest 3000 h of the year and to a sort of “flattening” of the curve. The effect of an opposite shift to the central hours of the day (−7 h) is less perceptible in terms of the duration of the curve, which is similar to the baseline, apart from the maximum peak, which occurs in a few days of the summer during central day hours, and it is emphasized by this shift.
Table 5 shows some numerical values taken from these curves. Percentiles might be useful to gain sensitivity since the pure peak variation may be a consequence of the year (2019) chosen for comparisons.
Table 5. Electricity national load at the different percentile of the duration curve and the curve’s integral.
Table 5. Electricity national load at the different percentile of the duration curve and the curve’s integral.
Percentile2019 (GW)2030 (GW)2040 (GW)2040 PC + 7 h (GW)2040 PC − 7 h (GW)
1 (peak load)58.859.6 63.4 62.3 67.8
0.9954.055.2 60.2 57.2 61.1
0.9549.851.3 56.5 53.3 56.1
Total energy (TWh)319.6330.1 361.7 361.7 361.7

4.2. Electricity Generation Analysis

The duration curve analysis is used to investigate residual generation (when positive) and overgeneration (negative values). In Figure 7, all cases are plotted showing the deep change with respect to 2019. RES penetration almost doubles, and the residual generation halves. The residual generation peak in 2030 remains similar to 2019 (ca. 40 GW) and increases in 2040 (47.4 GW).
Overgeneration from RES appears in 2030 and 2040 for almost 2000 h/y and 3000 h/y, respectively, with an overgeneration index Io of about 0.1 and 0.2.
Table 6 shows other results of all simulated cases, such as the highest and lowest percentiles of the duration curves and the electricity annual emission factor. The shifting strategy PC − 7 h confirms the best results in terms of RES exploitability pushing up RES penetration by a non-negligible 2% on an annual basis (PRES), with a consequent reduction in the electricity emission factor from 107 to 100 gCO2/kWhel.

4.3. GHG Emissions Evaluation

A balance of GHG emissions for all cases was assessed, considering CO2 emissions from residual generation, and emissions from the substitution of current ICE vehicles with BEVs were avoided.
Just for comparison and a sort of indirect validation, the case with kPV = 1, kW = 1, and BEV 0% (corresponding to 2019 load and generation) totaled 75.9 Tg of CO2 with the adopted methodology of CO2 calculation, while other authors, with more complex methodologies [26], made an estimation of 81.1 Tg of CO2. The underestimation with the methodology proposed is mainly caused by coal power plants (with much higher emission factors) still in operation in 2019, which are only partially compensated by imports of nuclear electricity from abroad. The assumption made in this study of a future residual power generation only from natural gas plants is in accordance with the national target of coal phase-out in this decade.
The increase in CO2 emissions with BEV penetration is due to the larger quantity of electricity to be produced to supply this additional large load. To evaluate the impact in terms of general CO2 emissions, it is necessary to also consider the elimination of tailpipe emissions to the conversion of some vehicles from ICE-based into BEVs.
This was performed, and the results are shown in Figure 8, where the annual emission from residual generation is plotted for increasing BEV penetration and for ±7 h BEV-PC recharge shifts. According to a previous evaluation, a penalty must be paid in terms of CO2 emissions from residual generation when BEVs penetrate the fleet of a system that is not fully dominated by RES electricity generation (see PRES values in Table 6).
However, if the total CO2 emitted and avoided by electricity, and the transport sector is taken into account, the positive balance is clear and undeniable. In Figure 9, CO2 emission variations with respect to the 2019 case are reported. The CO2 benefit comes both from residual generation reduction and ICE vehicle substitution. If a hypothetical 2040 scenario without BEVs (case 2040 BEV0) is calculated, the result is an additional 10 Mt/y CO2 reduction in residual generation. Comparing this hypothetical benefit with the 38 Mt/y CO2 avoided thanks to BEVs in 2040, the advantage is clear.
Moreover, a BEV charging strategy that prioritizes central daytime hours, such as the simple PC − 7 h adopted, could represent an additional improvement of 2–3 Mt/y CO2 due to RES overgeneration recovery (mainly from photovoltaic plants).

5. Discussion

5.1. General

We have seen significant qualitative advantages, especially in synchronizing PV generation with BEV recharging through time-shifting of the charging profiles. As detailed earlier, we imagine a time shift for passenger cars only.
It is very important to find a way to make them quantitative and understand the economic benefits of these strategies, which, in turn, could be used to incentivize BEV users to perform, when possible, shift toward times of the day in which charging is beneficial for the grid.
It is felt that a lot of personal car users can charge their cars at home or work around noon. It is slightly less convenient than charging during evenings and nights and, therefore, they will need to obtain incentives to make this shift.
We quantify three advantages, which can be summed up to find a global evaluation of the charging time shift. They are quantitatively evaluated considering the 2040 scenario, in which we expect to have a BEV stock of 40% of the total cars. The evaluation has only a first orientation value, just to have a broad idea of the cost–benefit relationship.
The kinds of savings obtained by time shifting the vehicle charge are the following:
  • National power peak reduction;
  • Overgeneration reduction;
  • GHG emissions reduction.
Even though we provide incentives to time-shift charges, it is expected that only a fraction of PC users will adhere to the incentive. If the incentive is significant, however, significant proportions will shift. We have numerically evaluated these three benefits at different percentages of vehicles in the target year: 33%, 66%, and 100%. Our numerical results show that for these percentages, all the three numerical values are proportional to the percentage itself. Therefore, it is acceptable to make computations imagining that 100% of all the future vehicles in the years 2030 and 2040 will time shift. In case of a smaller percentage, the per-vehicle advantage, and, therefore, incentives, will stay constant.
Below, we will show computations in detail for the 2040 scenario; in Table 7 and Table 8, numbers are shown for the 2030 case.
The time-shifted energy per year is the total energy charged by the expected 16 million vehicles in 2040, which corresponds to 10,400   k m / y × 150   W h / k m × 16 × 10 6 = 25   T W h / y .
Regarding point 1 above, the capital and running cost of peak (turbo gas) units could be accounted for. We can assume 300 EUR/kW for capital and discounted running costs globally. In Table 6, we see that we have a residual generation peak reduction of 47.4 40.3 = 7.1 GW, which will translate into a total benefit of 7.1 × 10 6   k W × 300   E U R / k W = 2.1   G E U R . This advantage is to be applied throughout the life of the considered turbo gas units; if we consider, for simplicity’s sake, a 20-year timespan, the yearly advantage is 2100/20 = 105 MEUR/y. Then, the benefit per time-shifted kWh becomes as follows:
105   MEUR / y 25   TWh / y = 0.42   cEUR / kWh   ( National   Power   Peak   reduction   advantage )
Regarding point 2 above, we can consider that the avoided overgeneration becomes energy that can be supplied to load at market price. According to what is stated in Section 2.4, at 2019 money value, we count energy at 120 EUR/MWh, i.e., 12 cEUR/kWh.
In Table 6, we see that we have an overgeneration reduction of 64.4 − 57.66 = 6.74 TWh, which corresponds to yearly and per kWh savings S y and S k W h :
S y = 0.12 EUR kWh × 6.74 TWh y = 0.809 GEUR y ;   thus
S k W h = 0.809   GEUR / y 25   TWh / y = 3.2   cEUR / kWh   ( overgeneration   reduction   advantage )
The discussion of point 3 is more complex and will be performed in the next section.

5.2. Incentive for GHG Emissions Reduction

To reach an economic estimate of GHG emissions reduction due to BEV charging time shifting, we could use two different approaches:
a.
The Emission Trading System UE (ETS) market. In this market, the CO2eq price has grown dramatically since January 2020 from 20 EUR/tonne to 80–100 EUR/tonne in 2023 [27]. It is difficult to forecast future evolutions of this price, but it appears likely that it will further grow as soon as the pressure on climate concerns evolves. Here, a value of 100 EUR/Mg has been used.
b.
The penalty of CO2eq emissions on vehicles in the EU. The EU requires some monetary penalties from car manufacturers in case their fleet of GHG emissions exceed an ever-reducing cap [22]. For the years 2020 to 2024, the cap for cars is 95 g/km, while for the years 2030 to 2034, which is the farthest period with stated caps for cars, the cap value is 49.5 g/km. The set penalty for excess emissions is EUR95 per g/km of target exceedance.
The economic advantage of a time-shifting BEV charge according to point (a) is straightforward. In this scenario, we have 16 million passenger cars that time shift their charge (Table 3). This will imply a reduction in CO2 emissions of 2.5 Tg/y (2.5 million tonnes, Figure 9), which corresponds to an ETS benefit in B y and B k W h per year and per kWh, respectively:
B y = 2.5   Tg / y × 100   EUR / Mg = 250   MEUR / y
B k W h = 250   MEUR / y 25   TWh / y = 1.0   cEUR / kWh
Translating the cap in point (b) in a value per time-shifted kWh requires some reasoning. The average yearly mileage of a passenger car in Italy is 10,400 km (Table 3). Assuming a useful life of 15 years, for each extra g/km of CO2, each car will emit 156 kg of CO2eq throughout its life
For those exceeding emissions, the manufacturer will pay 95 EUR, which corresponds to 95/0.156 = 609 EUR per tonne of CO2. In principle, the same mechanism could be used to reward virtuous behavior from users, i.e., time shifting their recharge to allow system benefits.
The total emission reduction, as already said, is equal to 2.5 Mt/y, with the incentive mechanism corresponding to 2.5 × 10 6 × 609 = 1.52   G E U R /y or, considering that the shifted energy is 25 TWh/y, to 6.1 c E U R / k W h . In Table 7 are reported also 2030 results.
Table 7. Economic evaluation of charging time shifting by BEVs using incentives similar to disincentives in [27].
Table 7. Economic evaluation of charging time shifting by BEVs using incentives similar to disincentives in [27].
YearNumber of
Time-Shifting BEVs
CO2 Reduction
(Mt/y)
Potential Incentive
(GEUR/y)
Yearly Shift
(TWh/y)
Potential Charge Shift Incentive
(cEUR/kWh)
20304 × 1060.50.306.34.8
204016 × 1062.51.5225.06.1

5.3. Summary

The results of the above discussion are summarized in Table 8.
Table 8. Summary of economic benefits of time-shifting BEV recharge (cEUR/kWh).
Table 8. Summary of economic benefits of time-shifting BEV recharge (cEUR/kWh).
YearYearly Peak ReductionOver Generation ReductionETS-Based
Emission Reduction
Incentive-Based
Emission Reduction
TOTAL
20300.42.70.84.83.9–7.9
20400.43.21.06.14.6–9.7
The evaluation of ETS-based emission reduction somehow computes the benefit “commercially”, while the incentive-based evaluation is more “political” since it gives CO2 a larger value to push politically toward stronger reductions.
Given the final fork of 4–10 cEUR/kWh, we can say that there is enough room to incentivize time shifting, considering that the total energy value (Section 2.4) is around 20 cEUR/kWh. So, the incentive can reach a discount over a purchase price between 20 and 50%.
Based on this result, the hypothesis of being able to convince a large share of personal car users to operate time shifting, for instance by rewarding them in well-tailored flexibility markets, appears realistic. This “ad hoc” remuneration is crucial since it is not obvious that the energy market, even when the abundance of PV generation will reduce the electricity price in the solar hours of the day, will provide enough economic signals to synchronize a significant share of the recharging demand with PV production profiles.
It could be finally envisaged that part of the monetary value of the benefits be used to feed the capacity markets, helping them to constantly foster the needed PV investments, even in market scenarios characterized by a strong reduction in energy revenues in solar hours.

6. Conclusions

This paper’s research question was to evaluate the potential impact of large numbers of BEVs on the future electric grid and whether exploiting the partial flexibility that loads have in the choice of the time of the day for recharging can induce enough system benefits to remunerate BEV users for the change in recharging pattern they are requested to adopt.
The considered scenario refers to the Italian context and what might occur in a 15-year time, with increases in PV and wind generation of factors of around four and three, respectively, in comparison to the 2019 values. Although this study is made taking as reference the Italian load diagram, its results can be applicable, with minor differences, to several EU countries.
This paper has first shown that the future impact of increasing the penetration of battery electric vehicles is compatible with the expected growth of generation from renewable energy sources. It has also given an estimate of CO2 emission reduction, considering an unmanaged charge profile, and two different managed profiles, with the displacement of the car’s charging period toward hours of the day where they not only do not negatively impact the grid but even favor effective RES exploitation.
Then, we evaluated the economic benefits of displacing private car charging toward the times of the day when the grid obtains its maximum advantages; these benefits range from 4 to 10 cEUR/kWh and could be used as tariff incentives (discounts between 20 and 50% of energy price) to obtain this displacing in recharging time. The results obtained show that the benefits of time-shifting BEV recharge create enough economic advantages to fund incentives able to drive large shares of users to time shift.

Author Contributions

Conceptualization, S.B., M.C., G.P. and D.P.; methodology, S.B., M.C. and G.P.; investigation, S.B., M.C., G.P. and D.P.; writing—original draft preparation, M.C. and G.P.; writing—review and editing, S.B., M.C., G.P. and D.P.; supervision, S.B., M.C. and D.P.; funding acquisition, M.C. All authors have read and agreed to the published version of the manuscript.

Funding

This study was carried out within the MOST—Sustainable Mobility Center and received funding from the European Union Next-GenerationEU (PIANO NAZIONALE DI RIPRESA E RESILIENZA (PNRR)—MISSIONE 4 COMPONENTE 2, INVESTIMENTO 1.4—D.D. 1033 17/06/2022, CN00000023). This manuscript reflects only the authors’ views and opinions; neither the European Union nor the European Commission can be considered responsible for them.

Data Availability Statement

Data is contained within the article and references.

Conflicts of Interest

The authors declare no conflicts of interest.

Nomenclature

BEVsBattery Electric Vehicles
BHDTBEV heavy duty truck load
BLCVBEV light commercial vehicle load
BPCBEV passenger car load
DEDistributed Energy Scenario
EVElectric Vehicle
FCEVsFuel Cell Vehicles
FF55Fit For 55
GAGlobal Ambition Scenario
GHGsGreenhouse Gases
GrResidual electricity generation
GresRenewable electricity generation
GoOvergeneration from renewables
HDTsHeavy Duty Trucks
HVACHeating Ventilation and Air Conditioning
ICEVInternal Combustion Engine Vehicle
IEAInternational Energy Agency
kHDTBEV heavy duty truck fleet multiplier
kLCVBEV light commercial vehicle fleet multiplier
kPCBEV passenger car fleet multiplier
kPVPhotovoltaic generation multiplying factor respect 2019
kWWind generation multiplying factor respect 2019
LbElectricity load from battery electric vehicle recharge
LCVsLight Commercial Vehicles
LsStationary electricity load
NZENet Zero Emission Scenario
NECPNational Energy and Climate Plan
PCsPassenger Cars
PVPhotovoltaic
RESRenewable Energy Sources
STEPSStated Policies Scenario
TSOTransmission System Operator
V2GVehicle to Grid

References

  1. Zhou, W.; Cleaver, C.J.; Dunant, C.F.; Allwood, J.M.; Lin, J. Cost, range anxiety and future electricity supply: A review of how today’s technology trends may influence the future uptake of BEVs. Renew. Sustain. Energy Rev. 2023, 173, 113074. [Google Scholar] [CrossRef]
  2. Pasini, G.; Lutzemberger, G.; Ferrari, L. Renewable Electricity for Decarbonisation of Road Transport: Batteries or E-Fuels? Batteries 2023, 9, 135. [Google Scholar] [CrossRef]
  3. Rey, J.; Cremades, L.V. Evaluation of the Power Generation Impact for the Mobility of Battery Electric Vehicles. Energies 2023, 16, 5006. [Google Scholar] [CrossRef]
  4. MOTUS-E; CESI; Polimi; RSE. Integration of Vehicles and Electricity Networks: Challenges and Opportunities Leading Up to 2030. 2023. Available online: https://www.motus-e.org/studi_e_ricerche/integrazione-tra-veicoli-e-reti-elettriche-sfide-e-opportunita-al-2030/ (accessed on 9 November 2023).
  5. Hildermeier, J.; Burger, J.; Jahn, A.; Rosenow, J. A Review of Tariffs and Services for Smart Charging of Electric Vehicles in Europe. Energies 2023, 16, 88. [Google Scholar] [CrossRef]
  6. Ray, S.; Kasturi, K.; Patnaik, S.; Nayak, M.R. Review of electric vehicles integration impacts in distribution networks: Placement, charging/discharging strategies, objectives and optimisation models. J. Energy Storage 2023, 72 Pt D, 108672. [Google Scholar] [CrossRef]
  7. Agency, I.E. Global EV Outlook. 2023. Available online: https://www.iea.org/reports/global-ev-outlook-2023 (accessed on 12 December 2023).
  8. Motus-e BEV Sales. 2022. Available online: https://www.motus-e.org/analisi-di-mercato/dicembre-2022-lanomalia-italiana-tra-i-big-deuropa-ma-recuperare-si-puo/ (accessed on 12 December 2023).
  9. Scorrano, M.; Mathisen, T.A.; Danielis, R.; Simsekoglu, O.; Marinelli, G. Car choice determinants in Italy and Norway: A comparison based on revealed and stated choices. Res. Transp. Bus. Manag. 2023, 51, 101041. [Google Scholar] [CrossRef]
  10. Saldarini, A.; Longo, M.; Zaninelli, D.; Consolo, V.; Crisostomi, E.; Ceraolo, M.; Dudkina, E.; Miraftabzadeh, S.M. Literature Review on Electric Grid Resilience: Electric Vehicles as a possible support? In Proceedings of the 2023 AEIT International Conference on Electrical and Electronic Technologies for Automotive (AEIT AUTOMOTIVE), Modena, Italy, 17–19 July 2023. [Google Scholar] [CrossRef]
  11. Chadha, S.; Jain, V.; Singh, H.R. A review on Smart Charging impacts of Electric Vehicles on Grid. Mater. Today Proc. 2022, 63, 751–755. [Google Scholar] [CrossRef]
  12. Hartvigsson, E.; Taljegard, M.; Odenberger, M.; Chen, P. A large-scale high-resolution geographic analysis of impacts of electric vehicle charging on low-voltage grids. Energy 2022, 261 Pt A, 125180. [Google Scholar] [CrossRef]
  13. Liao, Y.; Tozluoğlu, Ç.; Sprei, F.; Yeh, S.; Dhamal, S. Impacts of charging behavior on BEV charging infrastructure needs and energy use. Transp. Res. Part D Transp. Environ. 2023, 116, 103645. [Google Scholar] [CrossRef]
  14. İnci, M.; Savrun, M.M.; Çelik, Ö. Integrating electric vehicles as virtual power plants: A comprehensive review on vehicle-to-grid (V2G) concepts, interface topologies, marketing and future prospects. J. Energy Storage 2022, 55 Pt B, 105579. [Google Scholar] [CrossRef]
  15. Fioriti, D.; Scarpelli, C.; Pellegrino, L.; Lutzemberger, G.; Micolano, E.; Salamone, S. Battery lifetime of electric vehicles by novel rainflow-counting algorithm with temperature and C-rate dynamics: Effects of fast charging, user habits, vehicle-to-grid and climate zones. J. Energy Storage 2023, 59, 106458. [Google Scholar] [CrossRef]
  16. European Union. National Energy and Climate Plans (NECPs) Platform. Available online: https://energy.ec.europa.eu/topics/energy-strategy/national-energy-and-climate-plans-necps_en (accessed on 9 November 2023).
  17. Terna, SNAM. Documento di Descrizione degli Scenari. 2022. Available online: https://www.terna.it/it/sistema-elettrico/rete/piano-sviluppo-rete/scenari (accessed on 12 December 2023).
  18. Terna Transparency Center. 2023. Available online: https://www.terna.it/en/electric-system/transparency-report/download-center (accessed on 9 November 2023).
  19. Institute for Environmental Protection and Research. Italian Greenhouse Gas Inventory 1990–2019. National Inventory Report 2021; ISPRA Report 341/2021; ISPRA: Rome, Italy, 2021; ISBN 978-88-448-1046-7. [Google Scholar]
  20. Automobile Club d’Italia, Statistical Yearbook 2023, ACI Report. Available online: https://www.aci.it/laci/studi-e-ricerche/dati-e-statistiche/annuario-statistico.html (accessed on 12 December 2023).
  21. IEA. Electric Vehicle Charging and Grid Integration Tool, IEA, Paris. 2023. Available online: https://www.iea.org/data-and-statistics/data-tools/electric-vehicle-charging-and-grid-integration-tool (accessed on 12 December 2023).
  22. European Commission, CO2 Emission Performance Standards for Cars and Vans. Available online: https://climate.ec.europa.eu/eu-action/transport/road-transport-reducing-co2-emissions-vehicles/co2-emission-performance-standards-cars-and-vans_en#:~:text=If%20the%20average%20CO%202%20emissions%20of%20a,premium%20of%20%E2%82%AC95%20per%20g%2Fkm%20of%20target%20exceedance (accessed on 12 December 2023).
  23. BEV Homologation Data. Available online: http://ev-database.org (accessed on 12 December 2023).
  24. Prussi, M.; Yugo, M.; De Prada, L.; Padella, M.; Edwards, J.E.C. Well-To-Wheels Report v5; E.J.E. 30284 EN; JRC121213; Publications Office of the European Union: Luxembourg, 2020. [Google Scholar] [CrossRef]
  25. Kothari, S. Tesla, Audi, And Nissan EVs Have Minimal Winter Range Loss. Available online: https://insideevs.com/news/696918/ev-range-loss-in-winter/ (accessed on 12 December 2023).
  26. Institute for Environmental Protection and Research. Indicatori di Efficienza e Decarbonizzazione del Sistema Energetico Nazionale e del Settore Elettrico; ISPRA Report 343/2021; ISPRA: Rome, Italy, 2021; ISBN 978-88-448-1049-8. [Google Scholar]
  27. EU-ETS Price Trend. Available online: https://ember-climate.org/data/data-tools/carbon-price-viewer/ (accessed on 12 December 2023).
Figure 1. Weekly unmanaged BEV charging profiles, BPC, BLCV, BHDT, using the IEA tool [21] (MW).
Figure 1. Weekly unmanaged BEV charging profiles, BPC, BLCV, BHDT, using the IEA tool [21] (MW).
Energies 17 00348 g001
Figure 2. Conceptual model representation, energy flow, and balance.
Figure 2. Conceptual model representation, energy flow, and balance.
Energies 17 00348 g002
Figure 3. Italian national load duration curves, Ls + Lb, 2019–2030–2040 cases.
Figure 3. Italian national load duration curves, Ls + Lb, 2019–2030–2040 cases.
Energies 17 00348 g003
Figure 4. Weekly load profiles in the middle of January, 2040 case.
Figure 4. Weekly load profiles in the middle of January, 2040 case.
Energies 17 00348 g004
Figure 5. Weekly load profiles in the middle January, the 40% BEV 40% case with BEV-PC shifts.
Figure 5. Weekly load profiles in the middle January, the 40% BEV 40% case with BEV-PC shifts.
Energies 17 00348 g005
Figure 6. National load duration curves, Ls + Lb, 2019, 2040, 2040 cases with PC + 7 h and PC − 7 h in 2040.
Figure 6. National load duration curves, Ls + Lb, 2019, 2040, 2040 cases with PC + 7 h and PC − 7 h in 2040.
Energies 17 00348 g006
Figure 7. Residual generation and overgeneration duration curves, all cases.
Figure 7. Residual generation and overgeneration duration curves, all cases.
Energies 17 00348 g007
Figure 8. Annual emission of CO2 from residual generation.
Figure 8. Annual emission of CO2 from residual generation.
Energies 17 00348 g008
Figure 9. Annual balance of CO2 emission variation in 2019.
Figure 9. Annual balance of CO2 emission variation in 2019.
Energies 17 00348 g009
Table 2. Electricity load and generation, Italy 2019.
Table 2. Electricity load and generation, Italy 2019.
Annual Electricity (TWh)Annual Share (%)
Italian Total Load (2019)319.6-
Biomass16.95.3%
Geothermal5.71.8%
Hydroelectric47.114.7%
Photovoltaic24.17.6%
Wind20.06.3%
RES, total113.835.6%
Residual generation205.864.4%
Table 3. Italy road transport fleet consumption, mileage, and emissions, in 2019.
Table 3. Italy road transport fleet consumption, mileage, and emissions, in 2019.
Vehicle TypeVehicles (106) [20]Annual Fuel Consumption (TWh) [19]Annual CO2 Direct Emission (Tg)Annual Mileage (109 km) [19]Annual Mileage per Vehicle (103 km)Specific Fuel Consumption (Wh/km)Specific CO2 Emission (g/km)
Passenger Cars (PCs)39.5264.669.8410.910.4644170
Light Commercial Vehicles (LCVs)3.638.410.241.711.6920244
Heavy Duty Trucks (HDTs)0.359.015.623.584.52512666
Buses0.111.73.14.242.02781737
Two-Wheelers6.910.52.828.04.137799
Table 4. BEV fleet composition and annual consumption, case studies.
Table 4. BEV fleet composition and annual consumption, case studies.
Penetration—Year10%—2030
(STEPS)
40%—2040
(NZE)
BEV Type
Number of vehicles (106)PC3.9515.80
LCV0.361.44
HDT0.0270.108
Annual consumption (TWh)PC6.2725.09
LCV2.7511.00
HDT1.526.08
Total10.5442.16
Table 6. Main results of all cases.
Table 6. Main results of all cases.
2019203020402040 PC +7 h2040 PC − 7 h
Total load (TWh/y)319.6330.1361.7361.7361.7
Pr0.6440.3460.2910.3020.272
PRES0.3560.6540.7090.6980.728
Io00.0960.2010.2120.180
Overgeneration (h/y)01938297429202880
Overgeneration (TWh/y)023.164.468.257.66
Residual generation (h/y)87606822578658405880
Residual generation (TWh/y)205.8114.2105.4109.198.6
Annual electricity emission
intensity (gCO2/kWhel)
237128107111100
Residual generation peak (GW)40.240.147.441.540.3
0.99 percentile (GW)36.634.540.335.934.0
0.95 percentile (GW)33.429.633.632.029.6
0.05 percentile (GW)13.2−18.2−39.3−41.2−35.8
0.01 percentile (GW)10.2−28.2−52.1−54.3−49.2
Overgeneration peak (GW)0−39.9−66.6−69.2−64.1
Disclaimer/Publisher’s Note: The statements, opinions and data contained in all publications are solely those of the individual author(s) and contributor(s) and not of MDPI and/or the editor(s). MDPI and/or the editor(s) disclaim responsibility for any injury to people or property resulting from any ideas, methods, instructions or products referred to in the content.

Share and Cite

MDPI and ACS Style

Barsali, S.; Ceraolo, M.; Pasini, G.; Poli, D. Managing BEV Charge to Obtain a Positive Impact on a National Power System. Energies 2024, 17, 348. https://doi.org/10.3390/en17020348

AMA Style

Barsali S, Ceraolo M, Pasini G, Poli D. Managing BEV Charge to Obtain a Positive Impact on a National Power System. Energies. 2024; 17(2):348. https://doi.org/10.3390/en17020348

Chicago/Turabian Style

Barsali, Stefano, Massimo Ceraolo, Gianluca Pasini, and Davide Poli. 2024. "Managing BEV Charge to Obtain a Positive Impact on a National Power System" Energies 17, no. 2: 348. https://doi.org/10.3390/en17020348

APA Style

Barsali, S., Ceraolo, M., Pasini, G., & Poli, D. (2024). Managing BEV Charge to Obtain a Positive Impact on a National Power System. Energies, 17(2), 348. https://doi.org/10.3390/en17020348

Note that from the first issue of 2016, this journal uses article numbers instead of page numbers. See further details here.

Article Metrics

Back to TopTop