Study on the Economic Operation of a 1000 MWe Coal-Fired Power Plant with CO2 Capture
Abstract
1. Introduction
2. System and Performance Indicator Characterization
2.1. System Characterization
2.2. Performance Indicators
3. Variable Load Operation Characteristics of the Integration System
4. System Optimization Development
4.1. Objective Function Establishment
4.2. Mathematical Relationship of Key Parameters of the Power Plant
4.3. Constraint Conditions
5. Simulation Results Analysis
5.1. The Influence of Market Price on System Operation Condition
5.2. Result Analysis with the Objective of Tracking the Power Load Demand
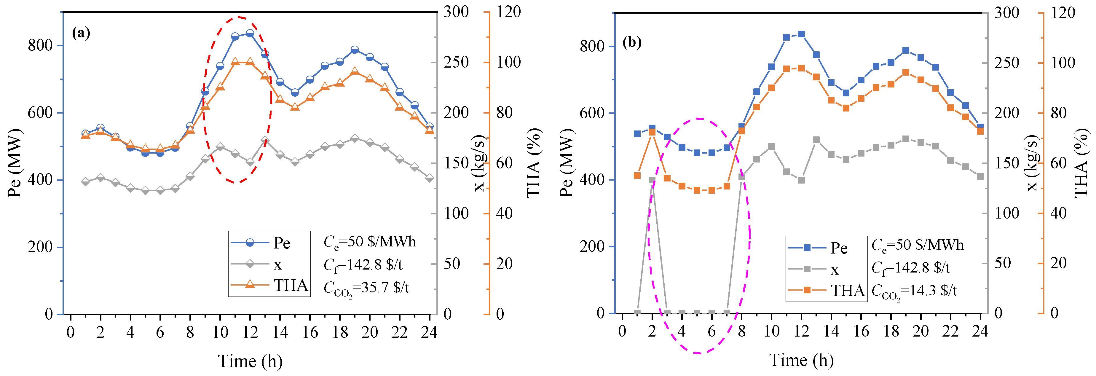
5.3. Result Analysis with the Objective of Maximizing the Plant Revenue
6. Conclusions
- (1)
- The operational range of a 1000 MW coal-fired power plant is determined, based on static simulation results of the coupled power generation and capture system. An optimization model using a particle swarm algorithm is proposed by establishing mathematical relationships between key parameters. This model optimizes the system’s operating conditions across different fuel, CO2, and electricity price scenarios.
- (2)
- Focusing on power load response and maximizing plant revenue, the study provides varied results for operating conditions under different electricity, CO2, and coal prices. The findings indicate the existence of a CO2 boundary price under fixed fuel and electricity prices. When the CO2 price falls below this boundary, the cost of steam extraction for CO2 regeneration exceeds the fuel cost, leading to the shutdown of the capture unit to enhance revenue. Furthermore, as the load decreases, the CO2 boundary price increases due to reduced power generation efficiency at lower loads, resulting in higher steam costs for CO2 capture. Additionally, the CO2 boundary price rises with higher fuel prices.
- (3)
- In scenarios where power load response is the primary objective, the operation of the CO2 capture unit is primarily influenced by CO2 market price. When the objective is to maximize power plant revenue under a constant fuel supply, the operation of both the power generation and capture units depends on the relative prices of electricity and CO2.
Author Contributions
Funding
Data Availability Statement
Acknowledgments
Conflicts of Interest
References
- IPCC. Summary for Policymakers. In Climate Change 2023: Synthesis Report; IPCC: Geneva, Switzerland, 2023. [Google Scholar]
- Wesche, J.; Germán, S.; Gonçalves, L.; Jödicke, I.; López-Asensio, S.; Prades, A.; Preuß, S.; Algado, C.O.; Dütschke, E. CCUS or no CCUS? Societal support for policy frameworks and stakeholder perceptions in France, Spain, and Poland. Greenh. Gases Sci. Technol. 2023, 13, 48–66. [Google Scholar] [CrossRef]
- Wettestad, J.; Inderberg, T.H.J.; Gulbrandsen, L.H. Exploring paths and innovation in Norwegian carbon capture and storage policy. Environ. Policy Gov. 2024, 34, 125–136. [Google Scholar] [CrossRef]
- Yao, J.; Han, H.; Yang, Y.; Song, Y.; Li, G. A Review of Recent Progress of Carbon Capture, Utilization, and Storage (CCUS) in China. Appl. Sci. 2023, 13, 1169. [Google Scholar] [CrossRef]
- Xin-gang, Z.; Ying, Z. Can China’s renewable energy industry policy support the low-carbon energy transition effectively? Environ. Sci. Pollut. Res. 2023, 30, 29525–29549. [Google Scholar] [CrossRef] [PubMed]
- Garcia, J.A.; Villen-Guzman, M.; Rodriguez-Maroto, J.M.; Paz-Garcia, J.M. Comparing CO2 Storage and Utilization: Enhancing Sustainability through Renewable Energy Integration. Sustainability 2024, 16, 6639. [Google Scholar] [CrossRef]
- Liu, S.; Liu, T.; Zheng, S.; Wang, R.; Sang, S. Evaluation of carbon dioxide geological sequestration potential in coal mining area. Int. J. Greenh. Gas Control 2023, 122, 103814. [Google Scholar] [CrossRef]
- Yang, L.; Xu, M.; Yang, Y.; Fan, J.; Zhang, X. Comparison of subsidy schemes for carbon capture utilization and storage (CCUS) investment based on real option approach: Evidence from China. Appl. Energy 2019, 255, 113828. [Google Scholar] [CrossRef]
- Global CCS Institute. Global Status of CCS 2023 Scaling Up through 2030; Global CCS Institute: Melbourne, Australia, 2023. [Google Scholar]
- Liu, Z.; Deng, Z.; He, G.; Wang, H.; Zhang, X.; Lin, J.; Qi, Y.; Liang, X. Challenges and opportunities for carbon neutrality in China. Nat. Rev. Earth Environ. 2022, 3, 141–155. [Google Scholar] [CrossRef]
- Chen, W.; Wang, Y.; Zhang, J.; Dou, W.; Jiao, Y. Planning and Energy–Economy–Environment–Security Evaluation Methods for Municipal Energy Systems in China under Targets of Peak Carbon Emissions and Carbon Neutrality. Energies 2022, 15, 7443. [Google Scholar] [CrossRef]
- Fang, M.; Dong, W.; Zhang, Y.; Zhao, R.; Li, Y.; Lu, S.; Wang, T.; Wang, Q. Study on the chemical absorption main heat exchanger and process modification for 150kt/y CCS demonstration project. Int. J. Greenh. Gas Control 2021, 112, 103470. [Google Scholar] [CrossRef]
- Tapia, J.F.D.; Lee, J.-Y.; Ooi, R.E.H.; Foo, D.C.Y.; Tan, R.R. A review of optimization and decision-making models for the planning of CO2 capture, utilization and storage (CCUS) systems. Sustain. Prod. Consum. 2018, 13, 1–15. [Google Scholar] [CrossRef]
- Goto, K.; Yogo, K.; Higashii, T. A review of efficiency penalty in a coal-fired power plant with post-combustion CO2 capture. Appl. Energy 2013, 111, 710–720. [Google Scholar] [CrossRef]
- Gatti, M.; Martelli, E.; Di Bona, D.; Gabba, M.; Scaccabarozzi, R.; Spinelli, M.; Viganò, F.; Consonni, S. Preliminary Performance and Cost Evaluation of Four Alternative Technologies for Post-Combustion CO2 Capture in Natural Gas-Fired Power Plants. Energies 2020, 13, 543. [Google Scholar] [CrossRef]
- Liao, P.; Li, Y.; Wu, X.; Wang, M.; Oko, E. Flexible operation of large-scale coal-fired power plant integrated with solvent-based post-combustion CO2 capture based on neural network inverse control. Int. J. Greenh. Gas Control 2020, 95, 102985. [Google Scholar] [CrossRef]
- Liu, J.; Chen, H.; Zhao, S.; Pan, P.; Wu, L.; Xu, G. Evaluation and improvements on the flexibility and economic performance of a thermal power plant while applying carbon capture, utilization & storage. Energy Convers. Manag. 2023, 290, 117219. [Google Scholar] [CrossRef]
- Gong, D.-w.; Zhang, Y.; Qi, C.-l. Environmental/economic power dispatch using a hybrid multi-objective optimization algorithm. Int. J. Electr. Power Energy Syst. 2010, 32, 607–614. [Google Scholar] [CrossRef]
- Lu, Z.-g.; Feng, T.; Li, X.-p. Low-carbon emission/economic power dispatch using the multi-objective bacterial colony chemotaxis optimization algorithm considering carbon capture power plant. Int. J. Electr. Power Energy Syst. 2013, 53, 106–112. [Google Scholar] [CrossRef]
- Yu, X.; Zhang, S.; Liu, L.; Du, J. Optimal design and scheduling of carbon capture power plant based on uncertainty decision-making methods. J. Clean. Prod. 2022, 380, 134852. [Google Scholar] [CrossRef]
- Abdilahi, A.M.; Mustafa, M.W. Carbon capture power plants: Decoupled emission and generation outputs for economic dispatch. Int. J. Greenh. Gas Control 2017, 63, 12–19. [Google Scholar] [CrossRef]
- Abdul Manaf, N.; Qadir, A.; Abbas, A. Temporal multiscalar decision support framework for flexible operation of carbon capture plants targeting low-carbon management of power plant emissions. Appl. Energy 2016, 169, 912–926. [Google Scholar] [CrossRef]
- Abdul Manaf, N.; Qadir, A.; Abbas, A. Efficient energy management of CO2 capture plant using control-based optimization approach under plant and market uncertainties. J. Process Control 2019, 74, 2–12. [Google Scholar] [CrossRef]
- Braakhuis, L.; Høisæter, K.K.; Knuutila, H.K. Modeling the Formation of Degradation Compounds during Thermal Degradation of MEA. Ind. Eng. Chem. Res. 2022, 61, 2867–2881. [Google Scholar] [CrossRef]
- Wetenhall, B.; Aghajani, H.; Chalmers, H.; Benson, S.D.; Ferrari, M.C.; Li, J.; Race, J.M.; Singh, P.; Davison, J. Impact of CO2 impurity on CO2 compression, liquefaction and transportation. Energy Procedia 2014, 63, 2764–2778. [Google Scholar] [CrossRef]
- Lin, X.; Liu, Y.; Song, H.; Guan, Y.; Wang, R. Concept design, parameter analysis, and thermodynamic evaluation of a novel integrated gasification chemical-looping combustion combined cycle power generation system. Energy Convers. Manag. 2023, 279, 116768. [Google Scholar] [CrossRef]
- Feng, H.; Wang, M.; Wang, N.; Xu, Y.; He, S.; Gao, M. Influence of environmental parameters on the cold-end and thermal system of coal-fired power plant based on Ebsilon simulation. Therm. Sci. Eng. Prog. 2022, 32, 101340. [Google Scholar] [CrossRef]
- Li, Y.; Wang, N.; Guan, H.; Jia, Z.; Zhang, Y.; Zhao, G.; Gao, M. Optimization study of CO2 capture unit for subcritical coal-fired power generation unit based on Ebsilon and Aspen plus. Energy Convers. Manag. 2022, 269, 116111. [Google Scholar] [CrossRef]
- Wang, C.; He, S.; Liu, L.; Li, X.; Gao, L. Tradeoff between the efficiency penalty and load depth in a coal-fired power plant with CO2 capture under partial load conditions. Energy Convers. Manag. 2023, 278, 116608. [Google Scholar] [CrossRef]
- Akinola, T.E.; Oko, E.; Wang, M. Study of CO2 removal in natural gas process using mixture of ionic liquid and MEA through process simulation. Fuel 2019, 236, 135–146. [Google Scholar] [CrossRef]
- Amann, J.-M.; Descamp, C.; Kanniche, M.; Bouallou, C. Modeling of the CO2 capture in post-combustion. Sci. Study Res. 2006, III, 77–90. [Google Scholar]
- Garcia, M.; Knuutila, H.K.; Gu, S. ASPEN PLUS simulation model for CO2 removal with MEA: Validation of desorption model with experimental data. J. Environ. Chem. Eng. 2017, 5, 4693–4701. [Google Scholar] [CrossRef]
- Hanak, D.P.; Biliyok, C.; Manovic, V. Evaluation and Modeling of Part-Load Performance of Coal-Fired Power Plant with Postcombustion CO2 Capture. Energy Fuels 2015, 29, 3833–3844. [Google Scholar] [CrossRef]
- Gazzani, M.; Macchi, E.; Manzolini, G. CO2 capture in integrated gasification combined cycle with SEWGS—Part A: Thermodynamic performances. Fuel 2013, 105, 206–219. [Google Scholar] [CrossRef]
- Oh, S.-Y.; Yun, S.; Kim, J.-K. Process integration and design for maximizing energy efficiency of a coal-fired power plant integrated with amine-based CO2 capture process. Appl. Energy 2018, 216, 311–322. [Google Scholar] [CrossRef]
- de Groot, M.; Crijns-Graus, W.; Harmsen, R. The effects of variable renewable electricity on energy efficiency and full load hours of fossil-fired power plants in the European Union. Energy 2017, 138, 575–589. [Google Scholar] [CrossRef]
- Adibhatla, S.; Kaushik, S.C. Energy and exergy analysis of a super critical thermal power plant at various load conditions under constant and pure sliding pressure operation. Appl. Therm. Eng. 2014, 73, 51–65. [Google Scholar] [CrossRef]
- Habibollahzade, A.; Houshfar, E.; Ashjaee, M.; Ekradi, K. Continuous power generation through a novel solar/geothermal chimney system: Technical/cost analyses and multi-objective particle swarm optimization. J. Clean. Prod. 2021, 283, 124666. [Google Scholar] [CrossRef]
- Liu, M.; Wang, S.; Yan, J. Operation scheduling of a coal-fired CHP station integrated with power-to-heat devices with detail CHP unit models by particle swarm optimization algorithm. Energy 2021, 214, 119022. [Google Scholar] [CrossRef]
- Viet, D.T.; Phuong, V.V.; Duong, M.Q.; Tran, Q.T. Models for Short-Term Wind Power Forecasting Based on Improved Artificial Neural Network Using Particle Swarm Optimization and Genetic Algorithms. Energies 2020, 13, 2873. [Google Scholar] [CrossRef]
- Wang, D.; Tan, D.; Liu, L. Particle swarm optimization algorithm: An overview. Soft Comput. 2018, 22, 387–408. [Google Scholar] [CrossRef]












| Proximate Analysis (wt%) | Ultimate Analysis (wt%) | Heat Value (MJ/kg, LHV) | |||||||
|---|---|---|---|---|---|---|---|---|---|
| Mt | Mad | Aar | Var | C | H | N | O | S | |
| 15.55 | 8.43 | 8.8 | 34.73 | 61.7 | 3.67 | 1.12 | 8.56 | 0.6 | 23.44 |
| Unit | Parameters | Value |
|---|---|---|
| Power generation | Main steam | 30 MPa/600 °C |
| Reheat steam 1 | 10 MPa/610 °C | |
| Reheat steam 2 | 3.1 MPa/610 °C | |
| Inlet water temperature of boiler | 361 °C | |
| Exhaust steam pressure of turbine | 0.0045 MPa | |
| CO2 capture | Solvent | 30%wt MEA |
| CO2 capture ratio | 90% | |
| Temperature of the reboiler | 125 °C |
| Unit | Parameter | Value |
|---|---|---|
| Absorber 1 and 2 | The height of packing | 25 m |
| The diameter of the absorber | 18 m | |
| Bottom pressure of the absorber | 0.1 MPa | |
| Pressure drop of the absorber | 0.001 MPa | |
| Packing material | 250 Y | |
| Stripper | The height of packing in the stripper | 20 m |
| The diameter of the stripper | 22 m | |
| Bottom pressure of the stripper | 0.219 MPa | |
| Pressure drop of the stripper | 0.001 MPa | |
| Packing material | 250 Y |
| Load | 100% THA | 75% THA | 50% THA | 30% THA |
|---|---|---|---|---|
| Coal input/kg/s | 89.30 | 68.09 | 47.05 | 30.53 |
| Energy input/MW | 2093.29 | 1596.03 | 1102.92 | 715.69 |
| Power output/MW | 1005.73 | 747.70 | 497.18 | 307.75 |
| /% | 48.05 | 46.85 | 45.08 | 43.00 |
| Parameters | 100% THA | 75% THA | 50% THA | 30% THA | |
|---|---|---|---|---|---|
| Mole fractions of flue gas (%) | H2O | 8.31 | 7.63 | 7.07 | 6.44 |
| CO2 | 12.85 | 11.55 | 10.44 | 9.23 | |
| N2 | 75.48 | 75.89 | 76.23 | 76.61 | |
| O2 | 3.36 | 4.93 | 6.26 | 7.72 | |
| Flue gas flow (kg/s) | 1047.92 | 886.63 | 676.19 | 495.16 | |
| Flow of CO2 (kg/s) | 197.63 | 153.84 | 106.30 | 68.99 | |
| Target capture flow (kg/s) | 177.87 | 139.00 | 95.67 | 62.09 | |
| Parameters | 100% | 75% | 50% | 30% |
|---|---|---|---|---|
| Reboiler heating load (kW) | 665,338.91 | 520,773.07 | 360,506.37 | 234,205.90 |
| Flow of CO2 captured (kg/s) | 177.87 | 138.46 | 95.67 | 62.09 |
| CCR (%) | 90.00 | 90.00 | 90.00 | 89.99 |
| Specific heat consumption (GJ/tCO2) | 3.74 | 3.76 | 3.77 | 3.77 |
| Electricity consumption (kW) | 349.23 | 274.65 | 190.15 | 123.46 |
| L/G | 2.40 | 2.22 | 2.02 | 1.80 |
Disclaimer/Publisher’s Note: The statements, opinions and data contained in all publications are solely those of the individual author(s) and contributor(s) and not of MDPI and/or the editor(s). MDPI and/or the editor(s) disclaim responsibility for any injury to people or property resulting from any ideas, methods, instructions or products referred to in the content. |
© 2024 by the authors. Licensee MDPI, Basel, Switzerland. This article is an open access article distributed under the terms and conditions of the Creative Commons Attribution (CC BY) license (https://creativecommons.org/licenses/by/4.0/).
Share and Cite
Yang, J.; Wang, C.; Xu, D.; Yu, X.; Yang, Y.; Wang, Z.; Wu, X. Study on the Economic Operation of a 1000 MWe Coal-Fired Power Plant with CO2 Capture. Energies 2024, 17, 4986. https://doi.org/10.3390/en17194986
Yang J, Wang C, Xu D, Yu X, Yang Y, Wang Z, Wu X. Study on the Economic Operation of a 1000 MWe Coal-Fired Power Plant with CO2 Capture. Energies. 2024; 17(19):4986. https://doi.org/10.3390/en17194986
Chicago/Turabian StyleYang, Jinning, Chaowei Wang, Dong Xu, Xuehai Yu, Yang Yang, Zhiyong Wang, and Xiao Wu. 2024. "Study on the Economic Operation of a 1000 MWe Coal-Fired Power Plant with CO2 Capture" Energies 17, no. 19: 4986. https://doi.org/10.3390/en17194986
APA StyleYang, J., Wang, C., Xu, D., Yu, X., Yang, Y., Wang, Z., & Wu, X. (2024). Study on the Economic Operation of a 1000 MWe Coal-Fired Power Plant with CO2 Capture. Energies, 17(19), 4986. https://doi.org/10.3390/en17194986
