Research on Reactive Power Optimization of Synchronous Condensers in HVDC Transmission Based on Reactive Power Conversion Factor
Abstract
1. Introduction
2. Reactive Power Output Characteristics of SC
2.1. Reactive Power Regulation and Control of SC
2.2. Relationship between Reactive Power Output Characteristics and Key Performance Parameters of the Unit
3. SC Reactive Power Optimization Strategy for Mitigating DC Commutation Failure
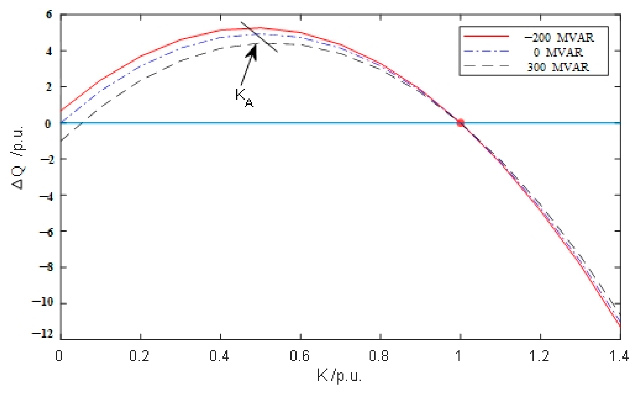
3.1. Reactive Power Conversion Factor Indicator
3.2. Design of System Control Architecture
3.3. SC Reactive Power Optimization Strategy Based on Reactive Power Conversion Factor Indicator
4. Simulation Analysis Study
4.1. Optimization of Initial Reactive Power Output forSC
4.2. SC Reactive Power Optimization Strategy to Avoid DC System Failures
5. Conclusions
- (1)
- The large-capacity synchronous condenser has the effect of supporting low bus voltage. The occurrence of commutation failure on the receiving end of a DC system can be reduced with the application of a synchronous condenser.
- (2)
- When the terminal voltage changes (K < 1 or K > 1), the synchronous condenser can adjust the reactive power output flexibly immediately during the transient process. Additionally, adjusting the initial reactive power output of the SC to a reasonable range can effectively enhance the fast support capability of the SC, thereby improving system stability.
- (3)
- Based on the reactive power conversion factor and the QSCmin-based SC reactive power optimization strategy, the system can more accurately suppress subsequent DC commutation failures during faults by selecting suitable synchronous condensers and optimizing their reactive power output.
Author Contributions
Funding
Data Availability Statement
Conflicts of Interest
References
- Ma, Y.; Geng, G.; Jiang, Q.; Yan, R. Transient Stability Emergency Control for AC/DC Grids Considering Successive Commutation Failures. IET Gener. Trans. Distrib. 2022, 16, 1319–1333. [Google Scholar] [CrossRef]
- Abedin, T.; Lipu, M.S.H.; Hannan, M.A.; Ker, P.J.; Rahman, S.A.; Yaw, C.T.; Tiong, S.K.; Muttaqi, K.M. Dynamic Modeling of HVDC for Power System Stability Assessment: A Review, Issues, and Recommendations. Energies 2021, 14, 4829. [Google Scholar] [CrossRef]
- Dong, X.; Guan, E.; Jing, L.; Wang, H.; Mirsaeidi, S. Simulation and Analysis of Cascading Faults in Hybrid AC/DC Power Grids. Int. J. Electr. Power Energy Syst. 2020, 115, 105492. [Google Scholar] [CrossRef]
- Zhang, Z.; Zeng, Y.; Ma, J.; Qin, C.; Meng, D.; Chen, Q.; Chen, W. Online Correction of the Transient Voltage Security Region Boundary Based on Load Parameter Variations in Power Systems. Front. Energy Res. 2023, 11, 1233515. [Google Scholar] [CrossRef]
- Li, X.; Li, F.; Chen, S.; Li, Y.; Zou, Q.; Wu, Z.; Lin, S. An Improved Commutation Prediction Algorithm to Mitigate Commutation Failure in High Voltage Direct Current. Energies 2017, 10, 1481. [Google Scholar] [CrossRef]
- Samaan, S.; Momeni, M.; Knittel, M.; Murglat, M.; Moser, A. Multi-Criteria Based Steady-State and Dynamic Reactive Power Planning for Transmission Systems. Electr. Power Syst. Res. 2022, 209, 107929. [Google Scholar] [CrossRef]
- Watson, N.R.; Watson, J.D. An Overview of HVDC Technology. Energies 2020, 13, 4342. [Google Scholar] [CrossRef]
- Jing, B.; Ling, Y.; Wang, D.; Zhu, E.; Han, X. Analysis of Transient Electromagnetic Force on End Windings of 300 Mvar Synchronous Condenser during Dynamic Reactive Power Compensation Process. Int. J. Electr. Power Energy Syst. 2024, 155, 109538. [Google Scholar] [CrossRef]
- Li, C.; Gu, W.; Xia, C.; Li, H.; He, F. Analysis on Mechanism and Characteristic of Vibration Fault on New Large Capacity Synchronous Condenser. J. Phys. Conf. Ser. 2024, 2731, 012002. [Google Scholar] [CrossRef]
- Soleimani, H.; Habibi, D.; Ghahramani, M.; Aziz, A. Strengthening Power Systems for Net Zero: A Review of the Role of Synchronous Condensers and Emerging Challenges. Energies 2024, 17, 3291. [Google Scholar] [CrossRef]
- Wang, Z.; Xiao, F. Calculation Method of DC Limit Power Considering Influence of New-Generation Synchronous Condensers. J. Phys. Conf. Ser. 2021, 2022, 012004. [Google Scholar] [CrossRef]
- Guo, Z.; Hao, L.; Wu, J. Application of the New Generation Large Capacity Synchronous Condenser in HVDC System. IOP Conf. Ser. Earth Environ. Sci. 2019, 342, 012007. [Google Scholar] [CrossRef]
- Mo, J.; Yan, W.; Chen, X.; Zhang, Z. Parameter Setting Method of Coordinated Control between Synchronous Condenser and DC System Based on Dynamic Reactive Power Optimization. IET Gener. Transm. Distrib. 2022, 16, 2298–2308. [Google Scholar] [CrossRef]
- Bao, L.; Fan, L.; Miao, Z. Maximizing Synchronous Condensers’ Capability to Stabilize Inverter-Based-Resource-Penetrated Grids. IEEE Trans. Energy Convers. 2024, 1–13. [Google Scholar] [CrossRef]
- Xie, H.; Huang, T.; Zhao, W.; Sun, K.; Lin, D.; Huang, Q.; Yang, M. Modeling of Large Capacity Condenser Based on Electromagnetic Transient Simulation and Its Impacts on East China Power Grid. IOP Conf. Ser. Earth Environ. Sci. 2022, 983, 012033. [Google Scholar] [CrossRef]
- Jiang, M.; Ma, H.; Zhu, H.; Zhang, Y. Fault Indicator Based on Stator Current under Early Stage SISC in Synchronous Condensers. Eng. Fail. Anal. 2023, 145, 107044. [Google Scholar] [CrossRef]
- Qu, G.; Yuan, H. Automatic Voltage Control of Large-Scale Synchronous Condensers in UHV-DC Converter Station. E3S Web Conf. 2021, 236, 01001. [Google Scholar] [CrossRef]
- Wu, M.; Wang, T.; Li, P.; Wang, Y.; Cai, Y.; Zhou, J.; Huang, W. Improvement of Dynamic Reactive Power Characteristics of New-Type Condenser by Excitation Parameters. J. Phys. Conf. Ser. 2022, 2276, 012039. [Google Scholar] [CrossRef]
- De Marco, F.; Gómez, J.; Bolz, V.; Fernández, F. Identifying Optimal Combinations of Synchronous Condensers for Minimum Grid Strength Compliance. Int. J. Electr. Power Energy Syst. 2024, 156, 109756. [Google Scholar] [CrossRef]
- Li, H.; Wang, Z.; Liu, P.; Wang, W.; Zhou, T.; Mao, W.; Liu, H.; Wang, X. Dynamic Reactive Power Coordination Control Method for UHVDC Converter Station. IOP Conf. Ser. Mater. Sci. Eng. 2019, 631, 042043. [Google Scholar] [CrossRef]
- Mo, J.; Yan, W.; Ren, Z.; Xiao, F.; Wang, T. Dynamic Reactive Power Optimisation of UHVDC Converter Station Considering Coordination of Synchronous Condenser and System Filtering Requirements. IET Gener. Transm. Distrib. 2020, 14, 4563–4570. [Google Scholar] [CrossRef]
- Zhang, J.; Hu, R.; Chen, P.; Sun, M.; Cheng, L.; Li, P. Research on Voltage Coordinated and Stability Control of Condensers Based on Reactive Power Replacement. J. Phys. Conf. Ser. 2024, 2800, 012032. [Google Scholar] [CrossRef]
- Hadavi, S.; Saunderson, J.; Mehrizi-Sani, A.; Bahrani, B. A Planning Method for Synchronous Condensers in Weak Grids Using Semi-Definite Optimization. IEEE Trans. Power Syst. 2023, 38, 1632–1641. [Google Scholar] [CrossRef]
- Jiménez, R.P.; Platero, C.A.; Sánchez, M.E.; Barneto, E.R. Synchronous Condenser for European Grid Code Compliance: A Case Study of a PV Power Plant in Spain. IEEE Access 2023, 11, 54713–54723. [Google Scholar] [CrossRef]
- Jiang, M.; Ma, H.; Zhang, Y.; Chen, X.; Zhao, X. Reactive Power Characteristics and Vibration Properties under SISC in Synchronous Condensers. Int. J. Electr. Power Energy Syst. 2021, 133, 107318. [Google Scholar] [CrossRef]
- Dimitropoulos, D.; Bakhshizadeh, M.K.; Kocewiak, L.; Wang, X.; Blaabjerg, F. Impact of Synchronous Condensers’ Ratings on Mitigating Subsynchronous Oscillations in Wind Farms. Energies 2024, 17, 1730. [Google Scholar] [CrossRef]









| Grounding Inductance (H) | SC Are Not Involved | Initial Reactive Power Output of the SC | |||||||
|---|---|---|---|---|---|---|---|---|---|
| −50 Mvar | 0 Mvar | 50 Mvar | 100 Mvar | ||||||
| Converter Station Bus Voltage (p.u.) | Transient Reactive Power Peak Value (Mvar) | Converter Station Bus Voltage (p.u.) | Transient Reactive Power Peak Value (Mvar) | Converter Station Bus Voltage (p.u.) | Transient Reactive Power Peak Value (Mvar) | Converter Station Bus Voltage (p.u.) | Transient Reactive Power Peak Value (Mvar) | ||
| 0.12 | —— | —— | 0.737 | 243 | —— | —— | |||
| 0.13 | 0.751 | —— | 0.761 | —— | 0.744 | 302 | |||
| 0.14 | 0.729 | —— | —— | —— | 0.757 | 293 | |||
| 0.15 | 0.774 | 0.782 | 153.55 | —— | 0.738 | 277 | 0.771 | 289 | |
| 0.16 | —— | 0.788 | 153.9 | —— | 0.777 | 245 | —— | ||
| 0.17 | 0.769 | 0.791 | 142.3 | —— | 0.787 | —— | |||
| 0.18 | 0.793 | 0.794 | 138.8 | 0.798 | 182 | 0.788 | 233 | —— | |
| 0.19 | 0.791 | —— | 0.797 | 180 | —— | —— | |||
| 0.20 | 0.796 | —— | —— | —— | —— | ||||
| The Transient Reactive Power Response Capability of SC/p.u. | Key Performance Parameters/p.u. | Converter Station Bus Voltage/p.u. | Voltage-Supported Amplitude/p.u. | The Occurrence of Subsequent Commutation Failure |
|---|---|---|---|---|
| 5.036 | 0.065 | 0.78536 | 0.01501 | N |
| 3.533 | 0.15 | 0.78260 | 0.01225 | N |
| 3.010 | 0.2 | 0.78095 | 0.01060 | N |
| 2.584 | 0.25 | 0.77865 | 0.00830 | Y |
| 2.011 | 0.35 | 0.77673 | 0.00638 | Y |
| 1.534 | 0.48 | 0.77506 | 0.00471 | Y |
Disclaimer/Publisher’s Note: The statements, opinions and data contained in all publications are solely those of the individual author(s) and contributor(s) and not of MDPI and/or the editor(s). MDPI and/or the editor(s) disclaim responsibility for any injury to people or property resulting from any ideas, methods, instructions or products referred to in the content. |
© 2024 by the authors. Licensee MDPI, Basel, Switzerland. This article is an open access article distributed under the terms and conditions of the Creative Commons Attribution (CC BY) license (https://creativecommons.org/licenses/by/4.0/).
Share and Cite
Tao, Z.; Wang, T.; Cai, D.; Chen, R. Research on Reactive Power Optimization of Synchronous Condensers in HVDC Transmission Based on Reactive Power Conversion Factor. Energies 2024, 17, 4294. https://doi.org/10.3390/en17174294
Tao Z, Wang T, Cai D, Chen R. Research on Reactive Power Optimization of Synchronous Condensers in HVDC Transmission Based on Reactive Power Conversion Factor. Energies. 2024; 17(17):4294. https://doi.org/10.3390/en17174294
Chicago/Turabian StyleTao, Zican, Tao Wang, Defu Cai, and Rusi Chen. 2024. "Research on Reactive Power Optimization of Synchronous Condensers in HVDC Transmission Based on Reactive Power Conversion Factor" Energies 17, no. 17: 4294. https://doi.org/10.3390/en17174294
APA StyleTao, Z., Wang, T., Cai, D., & Chen, R. (2024). Research on Reactive Power Optimization of Synchronous Condensers in HVDC Transmission Based on Reactive Power Conversion Factor. Energies, 17(17), 4294. https://doi.org/10.3390/en17174294

