Predictive Analysis of a Building’s Power Consumption Based on Digital Twin Platforms
Abstract
1. Introduction
2. Digital Twins in Building Energy Management
2.1. Definition and Development of the Digital Twin
2.2. Application of Digital Twin Technology
2.3. Building Energy Management Automation
2.4. Digital Twin Platform System Framework
3. Practical Engineering Application
3.1. Building Introduction
3.2. Architecture of the Digital Twin O&M Platform
3.3. Platform Function Analysis
3.3.1. Indoor Environment Monitoring System
3.3.2. Lighting Intelligent Management System
3.3.3. HVAC Intelligent Management System
3.3.4. Building Energy Consumption Monitoring and Management
4. Analysis and Prediction of Factors Affecting Energy Consumption
4.1. Previous Data Collected by the O&M Platform
4.2. Methodology
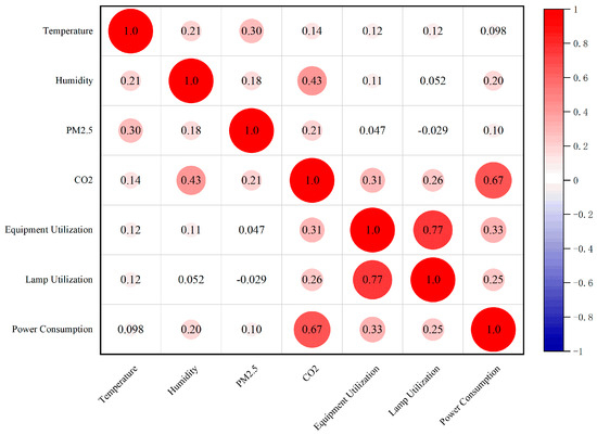
4.2.1. Pearson Correlation Analysis
4.2.2. Multiple Linear Regression
4.2.3. Support Vector Machine
4.2.4. BP Neural Network
4.3. Model Development
4.4. Analysis and Discussion
5. Conclusions
Author Contributions
Funding
Data Availability Statement
Conflicts of Interest
References
- Chung, M.H.; Rhee, E.K. Potential opportunities for energy conservation in existing buildings on university campus: A field survey in Korea. Energy Build. 2014, 78, 176–182. [Google Scholar] [CrossRef]
- Alshuwaikhat, H.M.; Abubakar, I. An integrated approach to achieving campus sustainability: Assessment of the current campus environmental management practices. J. Clean. Prod. 2008, 16, 1777–1785. [Google Scholar] [CrossRef]
- Koester, R.J.; Eflin, J.; Vann, J. Greening of the campus: A whole-systems approach. J. Clean. Prod. 2006, 14, 769–779. [Google Scholar] [CrossRef]
- Liu, C.-L.; Tseng, C.-J.; Huang, T.-H.; Yang, J.-S.; Huang, K.-B. A multi-task learning model for building electrical load prediction. Energy Build. 2023, 278, 112601. [Google Scholar] [CrossRef]
- Tekler, Z.D.; Low, R.; Zhou, Y.; Yuen, C.; Blessing, L.; Spanos, C. Near-real-time plug load identification using low-frequency power data in office spaces: Experiments and applications. Appl. Energy 2020, 275, 115391. [Google Scholar] [CrossRef]
- Wang, Z.; Xia, L.; Yuan, H.; Srinivasan, R.S.; Song, X. Principles, research status, and prospects of feature engineering for data-driven building energy prediction: A comprehensive review. J. Build. Eng. 2022, 58, 105028. [Google Scholar] [CrossRef]
- Wang, Z.; Srinivasan, R.S. A review of artificial intelligence based building energy use prediction: Contrasting the capabilities of single and ensemble prediction models. Renew. Sustain. Energy Rev. 2017, 75, 796–808. [Google Scholar] [CrossRef]
- Bourdeau, M.; Zhai, X.Q.; Nefzaoui, E.; Guo, X.; Chatellier, P. Modeling and forecasting building energy consumption: A review of data-driven techniques. Sustain. Cities Soc. 2019, 48, 101533. [Google Scholar] [CrossRef]
- Seyedzadeh, S.; Rahimian, F.P.; Rastogi, P.; Glesk, I. Tuning machine learning models for prediction of building energy loads. Sustain. Cities Soc. 2019, 47, 101484. [Google Scholar] [CrossRef]
- Rattan, P.; Penrice, D.D.; Simonetto, D.A. Artificial intelligence and machine learning: What you always wanted to know but were afraid to ask. Gastro Hep Adv. 2022, 1, 70–78. [Google Scholar] [CrossRef]
- Soori, M.; Arezoo, B.; Dastres, R. Artificial intelligence, machine learning and deep learning in advanced robotics, a review. Cogn. Robot. 2023, 3, 54–70. [Google Scholar] [CrossRef]
- Liu, M.; Fang, S.; Dong, H.; Xu, C. Review of digital twin about concepts, technologies, and industrial applications. J. Manuf. Syst. 2021, 58, 346–361. [Google Scholar] [CrossRef]
- Glaessgen, E.; Stargel, D. The digital twin paradigm for future NASA and US Air Force vehicles. In Proceedings of the 53rd AIAA/ASME/ASCE/AHS/ASC Structures, Structural Dynamics and Materials Conference 20th AIAA/ASME/AHS Adaptive Structures Conference 14th AIAA, Honolulu, HI, USA, 23–26 April 2012; p. 1818. [Google Scholar]
- Tao, F.; Xiao, B.; Qi, Q.; Cheng, J.; Ji, P. Digital twin modeling. J. Manuf. Syst. 2022, 64, 372–389. [Google Scholar] [CrossRef]
- Opoku, D.-G.J.; Perera, S.; Osei-Kyei, R.; Rashidi, M. Digital twin application in the construction industry: A literature review. J. Build. Eng. 2021, 40, 102726. [Google Scholar] [CrossRef]
- Qi, Q.; Tao, F.; Hu, T.; Anwer, N.; Liu, A.; Wei, Y.; Wang, L.; Nee, A.Y. Enabling technologies and tools for digital twin. J. Manuf. Syst. 2021, 58, 3–21. [Google Scholar] [CrossRef]
- Wang, W.; Guo, H.; Li, X.; Tang, S.; Xia, J.; Lv, Z. Deep learning for assessment of environmental satisfaction using BIM big data in energy efficient building digital twins. Sustain. Energy Technol. Assess. 2021, 50, 101897. [Google Scholar] [CrossRef]
- Singh, M.; Fuenmayor, E.; Hinchy, E.P.; Qiao, Y.; Murray, N.; Devine, D. Digital twin: Origin to future. Appl. Syst. Innov. 2021, 4, 36. [Google Scholar] [CrossRef]
- Arowoiya, V.A.; Moehler, R.C.; Fang, Y. Digital twin technology for thermal comfort and energy efficiency in buildings: A state-of-the-art and future directions. Energy Built Environ. 2024, 5, 641–656. [Google Scholar] [CrossRef]
- Halmetoja, E. The role of digital twins and their application for the built environment. In Industry 4.0 for the Built Environment: Methodologies, Technologies and Skills; Springer: Cham, Switzerland, 2022; pp. 415–442. [Google Scholar]
- Fuller, A.; Fan, Z.; Day, C.; Barlow, C. Digital twin: Enabling technologies, challenges and open research. IEEE Access 2020, 8, 108952–108971. [Google Scholar] [CrossRef]
- Begić, H.; Galić, M. A Systematic Review of Construction 4.0 in the Context of the BIM 4.0 Premise. Buildings 2021, 11, 337. [Google Scholar] [CrossRef]
- Ahmed, E.; Farag, M.; Darwish, A.; Hassanien, A.E. Digital Twin Technology for Energy Management Systems to Tackle Climate Change Challenges. In The Power of Data: Driving Climate Change with Data Science and Artificial Intelligence Innovations; Springer: Cham, Switzerland, 2023; pp. 137–156. [Google Scholar]
- Wang, Y.; Kang, X.; Chen, Z. A survey of digital twin techniques in smart manufacturing and management of energy applications. Green Energy Intell. Transp. 2022, 1, 100014. [Google Scholar] [CrossRef]
- Li, C.; Lu, P.; Zhu, W.; Zhu, H.; Zhang, X. Intelligent Monitoring Platform and Application for Building Energy Using Information Based on Digital Twin. Energies 2023, 16, 6839. [Google Scholar] [CrossRef]
- Biswas, P.; Samanta, T. A method for fault detection in wireless sensor network based on pearson’s correlation coefficient and support vector machine classification. Wirel. Pers. Commun. 2022, 123, 2649–2664. [Google Scholar] [CrossRef]
- Navid, M.; Niloy, N. Multiple linear regressions for predicting rainfall for Bangladesh. Communications 2018, 6, 1–4. [Google Scholar] [CrossRef]
- Villegas, M.A.; Pedregal, D.J.; Trapero, J.R. A support vector machine for model selection in demand forecasting applications. Comput. Ind. Eng. 2018, 121, 1–7. [Google Scholar] [CrossRef]
- Zhang, B.; Chen, M.; Ma, Z.; Zhang, Z.; Yue, S.; Xiao, D.; Zhu, Z.; Wen, Y.; Lü, G. An online participatory system for SWMM-based flood modeling and simulation. Environ. Sci. Pollut. Res. 2022, 29, 7322–7343. [Google Scholar] [CrossRef]
- Serikov, T.; Zhetpisbayeva, A.; Mirzakulova, S.; Zhetpisbayev, K.; Ibrayeva, Z.; Tolegenova, A.; Soboleva, L.; Zhumazhanov, B. Application of the NARX neural network for predicting a one-dimensional time series. East.-Eur. J. Enterp. Technol. 2021, 5, 113. [Google Scholar] [CrossRef]













| Usage | Equipment | Lighting | Others | 
|---|---|---|---|
| Usage Time (h) | 1152 | 1536 | 144 | 
| Utilization Rate (%) | 85 | 95 | 15 | 
| Method | Max Prediction Error (%) | Min Prediction Error (%) | Average Prediction Error (%) | RMSE | R2 | 
|---|---|---|---|---|---|
| MLR | 53.52 | 0.26 | 14.31 | 0.62 | 0.74 | 
| SVM | 23.14 | 0.17 | 3.75 | 0.61 | 0.77 | 
| BP | 12.31 | 0.11 | 2.46 | 0.77 | 0.88 | 
| Disclaimer/Publisher’s Note: The statements, opinions and data contained in all publications are solely those of the individual author(s) and contributor(s) and not of MDPI and/or the editor(s). MDPI and/or the editor(s) disclaim responsibility for any injury to people or property resulting from any ideas, methods, instructions or products referred to in the content. | 
© 2024 by the authors. Licensee MDPI, Basel, Switzerland. This article is an open access article distributed under the terms and conditions of the Creative Commons Attribution (CC BY) license (https://creativecommons.org/licenses/by/4.0/).
Share and Cite
Han, F.; Du, F.; Jiao, S.; Zou, K. Predictive Analysis of a Building’s Power Consumption Based on Digital Twin Platforms. Energies 2024, 17, 3692. https://doi.org/10.3390/en17153692
Han F, Du F, Jiao S, Zou K. Predictive Analysis of a Building’s Power Consumption Based on Digital Twin Platforms. Energies. 2024; 17(15):3692. https://doi.org/10.3390/en17153692
Chicago/Turabian StyleHan, Fengyi, Fei Du, Shuo Jiao, and Kaifang Zou. 2024. "Predictive Analysis of a Building’s Power Consumption Based on Digital Twin Platforms" Energies 17, no. 15: 3692. https://doi.org/10.3390/en17153692
APA StyleHan, F., Du, F., Jiao, S., & Zou, K. (2024). Predictive Analysis of a Building’s Power Consumption Based on Digital Twin Platforms. Energies, 17(15), 3692. https://doi.org/10.3390/en17153692
 
        

 
       