Environmental Implications of Energy Sources: A Review on Technologies for Cleaning Oil-Contaminated Ecosystems
Abstract
1. Introduction
2. Characteristics of Petroleum Hydrocarbons
3. Inactivation Methods of Petroleum Hydrocarbons in Environment
3.1. Mechanical Purification from Oil and Petroleum Products
3.2. Chemical Treatment of Wastewater and Lands Contaminated by Oil and Petroleum Products
3.3. Physicochemical Treatment of Ecosystems Contaminated with Oil and Petroleum Products
3.4. Biological and Biotechnological Methods for Cleaning Soil and Water Environments from Oil Pollution
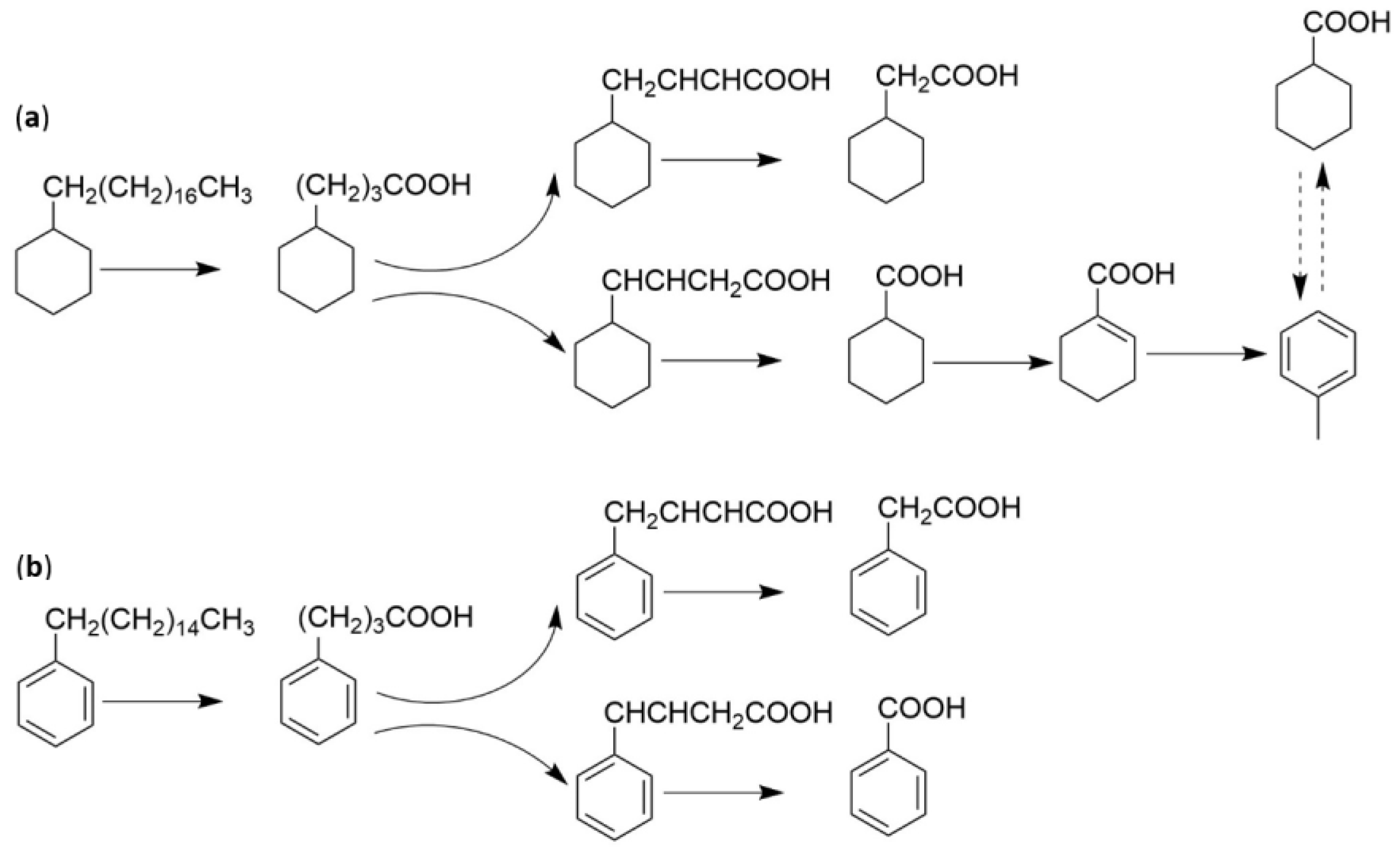
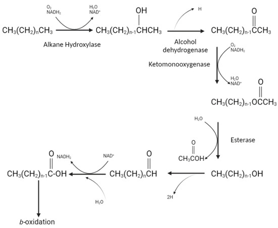
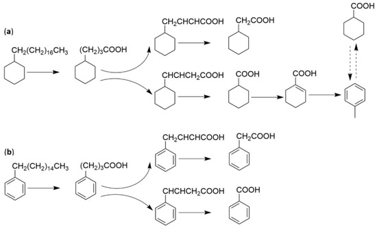
3.5. Biodegradation of Petroleum Hydrocarbons by Microbial Consortia
3.6. Hybrid Biotechnological Methods for Detoxification of Oil-Polluted Ecosystems
4. Conclusions
Author Contributions
Funding
Data Availability Statement
Conflicts of Interest
References
- Oberschelp, C.; Pfister, S.; Hellweg, S. Global site-specific health impacts of fossil energy, steel mills, oil refineries and cement plants. Sci. Rep. 2023, 13, 13708. [Google Scholar] [CrossRef] [PubMed]
- Zoghi, P.; Mafigholami, R. Optimisation of soil washing method for removal of petroleum hydrocarbons from contaminated soil around oil storage tanks using response surface methodology. Sci. Rep. 2023, 13, 15457. [Google Scholar] [CrossRef]
- Sadrara, M.; Khorrami, M.K. Designing an efficient organic–inorganic hybrid nanocomposite for simultaneous oxidative/adsorptive desulfurization of model and real fuel oils. Sci. Rep. 2023, 13, 15134. [Google Scholar] [CrossRef] [PubMed]
- Zhu, G.; Xie, Z.; Xu, H.; Wang, N.; Zhang, L.; Mao, N.; Cheng, J. Oil spill environmental risk assessment and mapping in coastal China using automatic identification system (AIS) data. Sustainability 2022, 14, 5837. [Google Scholar] [CrossRef]
- Neukirchen, F. The Formation of Mountains; Springer Nature: London, UK, 2022. [Google Scholar]
- Vocciante, M.; Reverberi, A.P.; Pietrelli, L.; Dovì, V.G. Improved remediation processes through cost-effective estimation of soil properties from surface measurements. J. Clean. Prod. 2017, 167, 680–686. [Google Scholar] [CrossRef]
- Vocciante, M.; Reverberi, A.P.; Dovì, V.G. Approximate solution of the inverse Richards’ problem. Appl. Math. Model. 2016, 40, 5364–5376. [Google Scholar] [CrossRef]
- Gaurina-Međimurec, N.; Pašić, B.; Mijić, P.; Medved, I. Deep underground injection of waste from drilling activities—An overview. Minerals 2020, 10, 303. [Google Scholar] [CrossRef]
- Michel, J.; Fingas, M. Oil spills: Causes, consequences, prevention, and countermeasures. In Fossil Fuels: Current Status and Future Directions; Crawley, G.M., Ed.; World Scientific: Singapore, 2016; Volume 7, pp. 159–201. [Google Scholar]
- Kazzaz, A.E. Interaction of Lignin Derivatives with Polymers, Ions and Soft Surfaces in Aqueous Systems. Ph.D. Thesis, Faculty of Graduate Studies of Lakehead University, Thunder Bay, ON, Canada, 2021. [Google Scholar]
- Zamparas, M.; Tzivras, D.; Dracopoulos, V.; Ioannides, T. Application of sorbents for oil spill cleanup focusing on natural-based modified materials: A review. Molecules 2020, 25, 4522. [Google Scholar] [CrossRef] [PubMed]
- Yu, Y.; Liu, L.; Yang, C.; Kang, W.; Yan, Z.; Zhu, Y.; Wang, J.; Zhang, H. Removal kinetics of petroleum hydrocarbons from low-permeable soil by sand mixing and thermal enhancement of soil vapor extraction. Chemosphere 2019, 236, 124319. [Google Scholar] [CrossRef]
- Sandifer, P.A.; Ferguson, A.; Finucane, M.L.; Partyka, M.; Solo-Gabriele, H.M.; Walker, A.H.; Wowk, K.; Caffey, R.; Yoskowitz, D. Human health and socioeconomic effects of the Deepwater Horizon oil spill in the Gulf of Mexico. Oceanography 2021, 34, 174–191. [Google Scholar] [CrossRef]
- Yan, K.; Zhao, F.; Pan, L.; Jiang, Y.; Shi, Y.; Yu, G. High-throughput clean-up of viscous oil spills enabled by a gel-coated mesh filter. Nat. Sustain. 2023, 6, 1654–1662. [Google Scholar] [CrossRef]
- Brown, I.; Tari, E. An evaluation of the effects of petroleum exploration and production activities on the social environment in Ogoni Land Nigeria. Int. J. Sci. Technol. Res. 2015, 4, 273–282. [Google Scholar]
- Helle, I.; Mäkinen, J.; Nevalainen, M.; Afenyo, M.; Vanhatalo, J. Impacts of oil spills on arctic marine ecosystems: A quantitative and probabilistic risk assessment perspective. Environ. Sci. Technol. 2020, 54, 2112–2121. [Google Scholar] [CrossRef] [PubMed]
- Little, D.I.; Sheppard, S.R.J.; Hulme, D. A perspective on oil spills: What we should have learned about global warming. Ocean. Coast. Manag. 2021, 202, 105509. [Google Scholar] [CrossRef]
- Kumar, M.; Bolan, N.S.; Hoang, S.A.; Sawarkar, A.D.; Jasemizad, T.; Gao, B.; Keerthanan, S.; Padhye, L.P.; Singh, L.; Kumar, S.; et al. Remediation of soils and sediments polluted with polycyclic aromatic hydrocarbons: To immobilize, mobilize, or degrade? J. Hazard. Mater. 2021, 420, 126534. [Google Scholar] [CrossRef] [PubMed]
- Igalavithana, A.D.; Ok, Y.S.; Usman, A.R.A.; Al-Wabel, M.I.; Oleszczuk, P.; Lee, S.S. The effects of biochar amendment on soil fertility. In Agricultural and Environmental Applications of Biochar: Advances and Barriers; Guo, M., He, Z., Uchimiya, S.M., Eds.; SSSA Special Publications: Fitchburg, WI, USA, 2015; pp. 123–144. [Google Scholar]
- Ahmad, A.A.; Muhammad, I.; Shah, T.; Kalwar, Q.; Zhang, J.; Liang, Z.; Mei, D.; Juanshan, Z.; Yan, P.; Zhi, D.X.; et al. Remediation Methods of Crude Oil Contaminated Soil. World J. Agric. Soil. Sci. 2020, 4, 595. [Google Scholar]
- Michael-Igolima, U.; Abbey, S.J.; Ifelebuegu, A.O. A systematic review on the effectiveness of remediation methods for oil contaminated soils. Environ. Adv. 2022, 9, 100319. [Google Scholar] [CrossRef]
- Sultanova, G.; Abdulaeva, M. Treatment method of the soil, polluted by oil and oil products in climatic conditions of Azerbaijan. Bull. Sci. Pract. 2021, 7, 31–38. (In Russian) [Google Scholar] [CrossRef]
- Azizian, S.; Khosravi, M. Chapter 12—Advanced oil spill decontamination techniques. Interface Sci. Technol. 2019, 30, 283–332. [Google Scholar]
- Loyeh, E.N.; Mohsenpour, R. Investigation of oil pollution on aquatic animals and methods of its prevention. J. Aquac. Mar. Biol. 2020, 9, 160–165. [Google Scholar]
- Ndimele, P.E.; Saba, A.O.; Ojo, D.O.; Ndimele, C.C.; Anetekhai, M.A.; Erondu, E.S. Chapter 24—Remediation of Crude Oil Spillage. In The Political Ecology of Oil and Gas Activities in the Nigerian Aquatic Ecosystem; Ndimele, P.E., Ed.; Academic Press: Cambridge, MA, USA, 2018; pp. 369–384. [Google Scholar]
- Arjoon, K.K.; Speight, J.G. Petroleum Biodegradation and Oil Spill Bioremediation; CRC Press: Boca Raton, FL, USA, 2022. [Google Scholar]
- Rajbongshi, A.; Gogoi, S.B. A review on anaerobic microorganisms isolated from oil reservoirs. World J. Microbiol. Biotechnol. 2021, 37, 1–19. [Google Scholar] [CrossRef]
- Folino, A.; Karageorgiou, A.; Calabrò, P.S.; Komilis, D. Biodegradation of wasted bioplastics in natural and industrial environments: A review. Sustainability 2020, 12, 6030. [Google Scholar] [CrossRef]
- Bartha, R. Biotechnology of petroleum pollutant biodegradation. Microb. Ecol. 1986, 12, 155–172. [Google Scholar] [CrossRef]
- Adebiyi, F.M. Air quality and management in petroleum refining industry: A review. Environ. Chem. Ecotoxicol. 2022, 4, 89–96. [Google Scholar] [CrossRef]
- Roosen, M.; Mys, N.; Kusenberg, M.; Billen, P.; Dumoulin, A.; Dewulf, J.; Van Geem, K.M.; Ragaert, K.; De Meester, S. Detailed analysis of the composition of selected plastic packaging waste products and its implications for mechanical and thermochemical recycling. Environ. Sci. Technol. 2020, 54, 13282–13293. [Google Scholar] [CrossRef] [PubMed]
- Wehner, M.; Lee, J.; Risser, M.; Ullrich, P.; Gleckler, P.; Collins, W.D. Evaluation of extreme sub-daily precipitation in high-resolution global climate model simulations. Philos. Trans. R. Soc. A 2021, 379, 20190545. [Google Scholar] [CrossRef] [PubMed]
- Rocha e Silva, F.C.P.; Rocha e Silva, N.M.P.; Luna, J.M.; Rufino, R.D.; Santos, V.A.; Sarubbo, L.A. Dissolved air flotation combined to biosurfactants: A clean and efficient alternative to treat industrial oily water. Rev. Environ. Sci. Biotechnol. 2018, 17, 591–602. [Google Scholar] [CrossRef]
- Galdino, C.J.S., Jr.; Maia, A.D.; Meira, H.M.; Souza, T.C.; Amorim, J.D.P.; Almeida, F.C.G.; Costa, A.F.S.; Sarubbo, L.A. Use of a bacterial cellulose filter for the removal of oil from wastewater. Process Biochem. 2020, 91, 288–296. [Google Scholar]
- Lehtonen, J.; Chen, X.; Beaumont, M.; Hassinen, J.; Orelma, H.; Dumée, L.F.; Tardy, B.L.; Rojas, O.J. Impact of incubation conditions and post-treatment on the properties of bacterial cellulose membranes for pressure-driven filtration. Carbohydr. Polym. 2021, 251, 117073. [Google Scholar] [CrossRef]
- Ye-Eun, L.; I-Tae, K.; Yeong-Seok, Y. Stabilization of High-Organic-Content Water Treatment Sludge by Pyrolysis. Energies 2018, 11, 3292. [Google Scholar] [CrossRef]
- Doshi, B.; Sillanpää, M.; Kalliola, S. A review of bio-based materials for oil spill treatment. Water Res. 2018, 135, 262–277. [Google Scholar] [CrossRef] [PubMed]
- Sarbatly, R.; Krishnaiah, D.; Kamin, Z. A review of polymer nanofibres by electrospinning and their application in oil–water separation for cleaning up marine oil spills. Mar. Pollut. Bull. 2016, 106, 8–16. [Google Scholar] [CrossRef] [PubMed]
- Wang, M.; Liu, X. Applications of red mud as an environmental remediation material: A review. J. Hazard. Mater. 2021, 408, 124420. [Google Scholar] [CrossRef] [PubMed]
- Kuppusamy, S.; Thavamani, P.; Venkateswarlu, K.; Lee, Y.B.; Naidu, R.; Megharaj, M. Remediation approaches for polycyclic aromatic hydrocarbons (PAHs) contaminated soils: Technological constraints, emerging trends and future directions. Chemosphere 2017, 168, 944–968. [Google Scholar] [CrossRef]
- Chen, F.; Yang, B.; Ma, J.; Qu, J.; Liu, G. Decontamination of electronic waste-polluted soil by ultrasound-assisted soil washing. Environ. Sci. Pollut. Res. 2016, 23, 20331–20340. [Google Scholar] [CrossRef]
- Mat-Shayuti, M.S.; Tuan Ya, T.M.Y.S.; Abdullah, M.Z.; Megat Khamaruddin, P.N.F.; Othman, N.H. Progress in ultrasonic oil-contaminated sand cleaning: A fundamental review. Environ. Sci. Pollut. Res. 2019, 26, 26419–26438. [Google Scholar] [CrossRef]
- Ossai, I.C.; Ahmed, A.; Hassan, A.; Hamid, F.S. Remediation of soil and water contaminated with petroleum hydrocarbon: A review. Environ. Technol. Innov. 2020, 17, 100526. [Google Scholar] [CrossRef]
- Okeke, E.S.; Okoye, C.O.; Chidike Ezeorba, T.P.; Mao, G.; Chen, Y.; Xu, H.; Song, C.; Feng, W.; Wu, X. Emerging bio-dispersant and bioremediation technologies as environmentally friendly management responses toward marine oil spill: A comprehensive review. J. Environ. Manag. 2022, 322, 116123. [Google Scholar] [CrossRef]
- Karthick, A.; Roy, B.; Chattopadhyay, P. A review on the application of chemical surfactant and surfactant foam for remediation of petroleum oil contaminated soil. J. Environ. Manag. 2019, 243, 187–205. [Google Scholar] [CrossRef]
- Flathman, P.E.; Lanza, G.R. Phytoremediation: Current views on an emerging green technology. J. Soil Contam. 1998, 7, 415–432. [Google Scholar] [CrossRef]
- Sayed, K.; Baloo, L.; Sharma, N.K. Bioremediation of total petroleum hydrocarbons (Tph) by bioaugmentation and biostimulation in water with floating oil spill containment booms as bioreactor basin. Int. J. Environ. Res. Public Health 2021, 18, 2226. [Google Scholar] [CrossRef] [PubMed]
- Zhang, C.; Nedwed, T.; Tidwell, A.; Urbanski, N.; Cooper, D.; Buist, I.; Belore, R. One-step offshore oil skim and burn system for use with vessels of Opportunity. In International Oil Spill Conference Proceedings; American Petroleum Institute: Washington, DC, USA, 2014; Volume 2014, pp. 1834–1845. [Google Scholar]
- Clayson, I.G.; Hewitt, D.; Hutereau, M.; Pope, T.; Slater, B. High throughput methods in the synthesis, characterization, and optimization of porous materials. Adv. Mater. 2020, 32, 1–47. [Google Scholar] [CrossRef] [PubMed]
- Steinhäuser, K.G.; Von Gleich, A.; Große Ophoff, M.; Körner, W. The necessity of a global binding framework for sustainable management of chemicals and materials—Interactions with Climate and Biodiversity. Sustain. Chem. 2022, 3, 205–237. [Google Scholar] [CrossRef]
- Riser-Roberts, E. Remediation of Petroleum Contaminated Soils: Biological, Physical, and Chemical Processes; CRC Press: Boca Raton, FL, USA, 2020. [Google Scholar]
- Silva, A.B.; Bastos, A.S.; Justino, C.I.L.; da Costa, J.P.; Duarte, A.C.; Rocha-Santos, T.A.P. Microplastics in the environment: Challenges in analytical chemistry—A review. Anal. Chim. Acta 2018, 1017, 1–19. [Google Scholar] [CrossRef] [PubMed]
- Jin, J.; Wang, H.; Jing, Y.; Liu, M.; Wang, D.; Li, Y.; Bao, M. An efficient and environmental-friendly dispersant based on the synergy of amphiphilic surfactants for oil spill remediation. Chemosphere 2019, 215, 241–247. [Google Scholar] [CrossRef] [PubMed]
- Iqbal, M.Z.; Abdala, A.A. Oil spill cleanup using graphene. Environ. Sci. Pollut. Res. 2013, 20, 3271–3279. [Google Scholar] [CrossRef] [PubMed]
- Fard, A.K.; Mckay, G.; Manawi, Y.; Malaibari, Z.; Hussien, M.A. Outstanding adsorption performance of high aspect ratio and super-hydrophobic carbon nanotubes for oil removal. Chemosphere 2016, 164, 142–155. [Google Scholar] [CrossRef] [PubMed]
- Hopman, R.; Siegers, W.G.; Kruithof, J.C. Organic micropollutant removal by activated carbon fiber filtration. Water Supply Int. Water Supply Assoc. 1995, 13, 257–262. [Google Scholar]
- Gui, H.; Zhang, T.; Guo, Q. Nanofibrous, emulsion-templated syndiotactic polystyrenes with superhydrophobicity for oil spill cleanup. ACS Appl. Mater. Interfaces 2019, 11, 36063–36072. [Google Scholar] [CrossRef]
- Albatrni, H.; Qiblawey, H.; Almomani, F.; Adham, S.; Khraisheh, M. Polymeric adsorbents for oil removal from water. Chemosphere 2019, 233, 809–817. [Google Scholar] [CrossRef]
- Qiao, K.; Tian, W.; Bai, J.; Wang, L.; Zhao, J.; Du, Z.; Gong, X. Application of magnetic adsorbents based on iron oxide nanoparticles for oil spill remediation: A review. J. Taiwan Inst. Chem. Eng. 2019, 97, 227–236. [Google Scholar] [CrossRef]
- Adofo, Y.K.; Nyankson, E.; Agyei-Tuffuor, B. Dispersants as an oil spill clean-up technique in the marine environment: A review. Heliyon 2022, 8, e10153. [Google Scholar] [CrossRef] [PubMed]
- Keramea, P.; Spanoudaki, K.; Zodiatis, G.; Gikas, G.; Sylaios, G. Oil spill modeling: A critical review on current trends, perspectives, and challenges. J. Mar. Sci. Eng. 2021, 9, 181. [Google Scholar] [CrossRef]
- Meshalkin, V.P.; Shulaev, N.S.; Kadyrov, R.R.; Pryanichnikova, V.V.; Kulov, N.N.; Garabadzhiu, A.V. Electrochemical remediation of oil-contaminated soils factoring in terrain: Theoretical and experimental studies. Russ. J. Gen. Chem. 2022, 92, 2965–2971. [Google Scholar] [CrossRef]
- Mikryukova, E.M.; Suvorova, E.V. Overcoming problems with waste water treatment from dense emulsions in the oil refining industry. In International Conference on Construction and Development: Life Cycle; Springer: Berlin/Heidelberg, Germany, 2020; pp. 311–318. [Google Scholar] [CrossRef]
- Shulaev, N.; Meshalkin, V.; Pryanichnikova, V.; Kady’rov, R.; By’kovskij, N. E’lektroximicheskaya ochistka neftezagryaznenny’x gruntov s uchetom rel’efa mestnosti. E’kologiya i promy’shlennost’ Rossii. 2022, 26, 9–13. (In Russian) [Google Scholar]
- Shulaev, N.S.; Pryanichnikova, V.V.; Kadyrov, R.R. Regularities of electrochemical cleaning of oil-contaminated soils. J. Min. Inst. 2021, 252, 937–946. [Google Scholar] [CrossRef]
- Santo, C.E.; Vilar, V.J.P.; Botelho, C.M.S.; Bhatnagar, A.; Kumar, E.; Boaventura, R.A.R. Optimization of coagulation–flocculation and flotation parameters for the treatment of a petroleum refinery effluent from a Portuguese plant. Chem. Eng. J. 2012, 183, 117–123. [Google Scholar] [CrossRef]
- Puszkarewicz, A. Removal of petroleum compounds from water in coagulation process. Environ. Prot. Eng. 2008, 34, 5–14. [Google Scholar]
- Li, H. The Roles of Non-Polar Oil in Froth Flotation of Fine Particles. Ph.D. Thesis, University of Alberta, ERA Education and Research Archive, Edmonton, AB, Canada, 2019. [Google Scholar] [CrossRef]
- Zhao, C.; Zhou, J.; Yan, Y.; Yang, L.; Xing, G.; Li, H.; Wu, P.; Wang, M.; Zheng, H. Application of coagulation/flocculation in oily wastewater treatment: A review. Sci. Total Environ. 2021, 765, 142795. [Google Scholar] [CrossRef]
- Sadegh, H.; Mazloumbilandi, M.; Chahardouri, M. Low-cost materials with adsorption performance. In Handbook of Ecomaterials; Torres Martínez, L.M., Kharissova, O.V., Kharisov, B.I., Eds.; Springer Nature: Cham, Switzerland, 2017. [Google Scholar]
- Zaitsev, A.S.; Egorov, R.I.; Strizhak, P.A. Light-induced gasification of the coal-processing waste: Possible products and regimes. Fuel 2018, 212, 347–352. [Google Scholar] [CrossRef]
- Kim, H.; Zhang, G.; Chung, T.C.M.; Nam, C. A role for newly developed sorbents in remediating large-scale oil spills: Reviewing recent advances and beyond. Adv. Sustain. Syst. 2022, 6, 2100211. [Google Scholar] [CrossRef]
- Han, F.; Wu, L. Industrial Solid Waste Recycling in Western China; Springer: Singapore, 2019. [Google Scholar]
- El-Din, G.A.; Amer, A.A.; Malsh, G.; Hussein, M. Study on the use of banana peels for oil spill removal. Alex. Eng. J. 2018, 57, 2061–2068. [Google Scholar] [CrossRef]
- Annunciado, T.R.; Sydenstricker, T.H.D.; Amico, S.C. Experimental investigation of various vegetable fibers as sorbent materials for oil spills. Mar. Pollut. Bull. 2005, 50, 1340–1346. [Google Scholar] [CrossRef] [PubMed]
- Singh, V.; Jinka, S.; Hake, K.; Parameswaran, S.; Kendall, R.J.; Ramkumar, S. Novel natural sorbent for oil spill cleanup. Ind. Eng. Chem. Res. 2014, 53, 11954–11961. [Google Scholar] [CrossRef]
- El Gheriany, I.A.; El Saqa, F.A.; Amer, A.A.E.R.; Hussein, M. Oil spill sorption capacity of raw and thermally modified orange peel waste. Alex. Eng. J. 2020, 59, 925–932. [Google Scholar] [CrossRef]
- Li, D.; Zhu, F.Z.; Li, J.Y.; Na, P.; Wang, N. Preparation and characterization of cellulose fibers from corn straw as natural oil sorbents. Ind. Eng. Chem. Res. 2013, 52, 516–524. [Google Scholar] [CrossRef]
- Lim, T.T.; Huang, X. Evaluation of kapok (Ceiba pentandra (L.) Gaertn.) as a natural hollow hydrophobic–oleophilic fibrous sorbent for oil spill cleanup. Chemosphere 2007, 66, 955–963. [Google Scholar] [CrossRef]
- Kudaybergenov, K.K.; Ongarbayev, E.K.; Mansurov, Z.A. Petroleum sorption by thermally treated rice husks derived from agricultural byproducts. Eurasian Chem. J. 2013, 15, 57–66. [Google Scholar] [CrossRef]
- Asadpour, R.; Sapari, N.B.; Isa, M.H.; Kakooei, S. Acetylation of oil palm empty fruit bunch fiber as an adsorbent for removal of crude oil. Environ. Sci. Pollut. Res. 2016, 23, 11740–11750. [Google Scholar] [CrossRef]
- Kumagai, S.; Noguchi, Y.; Kurimoto, Y.; Takeda, K. Oil adsorbent produced by the carbonization of rice husks. Waste Manag. 2007, 27, 554–561. [Google Scholar] [CrossRef]
- Ratcha, A.; Yoosuk, B.; Kongparakul, S. Grafted methyl methacrylate and butyl methacrylate onto natural rubber foam for oil sorbent. Adv. Mater. Res. 2014, 844, 385–390. [Google Scholar] [CrossRef]
- Abdelwahab, O. Assessment of raw luffa as a natural hollow oleophilic fibrous sorbent for oil spill cleanup. Alex. Eng. J. 2014, 53, 213–218. [Google Scholar] [CrossRef]
- Lin, J.; Shang, Y.; Ding, B.; Yang, J.; Yu, J.; Al-Deyab, S.S. Nanoporous polystyrene fibers for oil spill cleanup. Mar. Pollut. Bull. 2012, 64, 347–352. [Google Scholar] [CrossRef] [PubMed]
- Zhang, N.; Jiang, W.; Wang, T.; Gu, J.; Zhong, S.; Zhou, S.; Xie, T.; Fu, J. Facile preparation of magnetic poly (styrene-divinylbenzene) foam and its application as an oil absorbent. Ind. Eng. Chem. Res. 2015, 54, 11033–11039. [Google Scholar] [CrossRef]
- Wei, Q.F.; Mather, R.R.; Fotheringham, A.F.; Yang, R.D. Evaluation of nonwoven polypropylene oil sorbents in marine oil-spill recovery. Mar. Pollut. Bull. 2003, 46, 780–783. [Google Scholar] [CrossRef] [PubMed]
- Singh, P.; Borthakur, A.; Singh, R.; Bhadouria, R.; Singh, V.K.; Devi, P. A critical review on the research trends and emerging technologies for arsenic decontamination from water. Groundw. Sustain. Dev. 2021, 14, 100607. [Google Scholar] [CrossRef]
- Perelomov, L.; Gertsen, M.; Burachevskaya, M.; Hemalatha, S.; Vijayalakshmi, A.; Perelomova, I.; Atroshchenko, Y. Organoclays Based on Bentonite and Various Types of Surfactants as Heavy Metal Remediants. Sustainability 2024, 16, 4804. [Google Scholar] [CrossRef]
- Gertsen, M.M.; Golysheva, A.N.; Perelomov, L.V. Stabilizaciya neftyany’x i maslyany’x e’mul’sij bioorganicheskimi kompoziciyami na osnove guminovy’x kislot. Vestn. Ross. Univ. Druz. Nar. Seriya E’Kologiya I Bezop. Zhiznedeyatel’Nosti. 2023, 31, 476–493. (In Russian) [Google Scholar] [CrossRef]
- Esfandiar, N.; Suri, R.; McKenzie, E.R. Competitive sorption of Cd, Cr, Cu, Ni, Pb and Zn from stormwater runoff by five low-cost sorbents; Effects of co-contaminants, humic acid, salinity and pH. J. Hazard. Mater. 2022, 423, 126938. [Google Scholar] [CrossRef]
- Ramachandran, V.; Shriram, M.K.; Mathew, E.R.; Ramkumar, K.; Prakash, D.G.; Venkatachalam, C.D. Oil spill remediation and valorization of oil-soaked peat sorbent to biofuel by hydrothermal liquefaction. Biomass Convers. Biorefin. 2023, 13, 9325–9337. [Google Scholar] [CrossRef]
- Saljnikov, E.; Lavrishchev, A.; Römbke, J.; Rinklebe, J.; Scherber, C.; Wilke, B.-M.; Tóth, T.; Blum, W.E.H.; Behrendt, U.; Eulenstein, F.; et al. Understanding and monitoring chemical and biological soil degradation. In Advances in Understanding Soil Degradation; Saljnikov, E., Mueller, L., Lavrishchev, A., Eulenstein, F., Eds.; Springer Nature: Cham, Switzerland, 2023; pp. 75–124. [Google Scholar]
- Lipczynska-Kochany, E. Humic substances, their microbial interactions and effects on biological transformations of organic pollutants in water and soil: A review. Chemosphere 2018, 202, 420–437. [Google Scholar] [CrossRef] [PubMed]
- Chernov, T.I.; Semenov, M.V. Management of soil microbial communities: Opportunities and prospects (a review). Eurasian Soil. Sci. 2021, 54, 1888–1902. [Google Scholar] [CrossRef]
- Gałwa-Widera, M. Plant-based technologies for removal of pharmaceuticals and personal care products. In Pharmaceuticals and Personal Care Products: Waste Management and Treatment Technology; Prasad, M.N.V., Vithanage, M., Kapley, A., Eds.; Elsevier: Amsterdam, The Netherlands, 2019; pp. 297–319. [Google Scholar]
- Mohapatra, B.; Malhotra, H.; Saha, B.K.; Dhamale, T.; Phale, P.S. Microbial metabolism of aromatic pollutants: High-throughput OMICS and metabolic engineering for efficient bioremediation. In Current Developments in Biotechnology and Bioengineering: Designer Microbial Cell Factories: Metabolic Engineering and Applications; Joshi, S., Pandey, A., Sirohi, R., Park, S.H., Eds.; Elsevier: Amsterdam, The Netherlands, 2022; pp. 151–199. [Google Scholar]
- Jethwa, K.; Bajpai, S.; Chaudhari, P.K.; Swankar, A. Wastewater Nutrient Removal Through Phytoremidiation: A Review. In Proceedings of the 49th Annual Convention of IWWA on “Smart Water Management”, Nagpur, India, 19–21 January 2017. [Google Scholar]
- Ansari, A.A.; Naeem, M.; Gill, S.S.; Al-Zuaibr, F.M. Phytoremediation of contaminated waters: An eco-friendly technology based on aquatic macrophytes application. Egypt. J. Aquat. Res. 2020, 46, 371–376. [Google Scholar] [CrossRef]
- Sladkovska, T.; Wolski, K.; Bujak, H.; Radkowski, A.; Sobol, Ł. A review of research on the use of selected grass species in removal of heavy metals. Agronomy 2022, 12, 2587. [Google Scholar] [CrossRef]
- Hazaimeh, M.D.; Ahmed, E.S. Bioremediation perspectives and progress in petroleum pollution in the marine environment: A review. Environ. Sci. Pollut. Res. 2021, 28, 54238–54259. [Google Scholar] [CrossRef] [PubMed]
- Rheay, H.T.; Omondi, E.C.; Brewer, C.E. Potential of hemp (Cannabis sativa L.) for paired phytoremediation and bioenergy production. GCB Bioenergy 2021, 13, 525–536. [Google Scholar] [CrossRef]
- Rezania, S.; Park, J.; Rupani, P.F.; Darajeh, N.; Xu, X.; Shahrokhishahraki, R. Phytoremediation potential and control of Phragmites australis as a green phytomass: An overview. Environ. Sci. Pollut. Res. 2019, 26, 7428–7441. [Google Scholar] [CrossRef]
- Huang, H.; Zhao, Y.; Xu, Z.; Zhang, W.; Jiang, K. Physiological responses of Broussonetia papyrifera to manganese stress, a candidate plant for phytoremediation. Ecotoxicol. Environ. Saf. 2019, 181, 18–25. [Google Scholar] [CrossRef]
- Ali, S.; Abbas, Z.; Rizwan, M.; Zaheer, I.E.; Yavas, I.; Ünay, A.; Abdel-Daim, M.M.; Bin-Jumah, M.; Hasanuzzaman, M.; Kalderis, D. Application of floating aquatic plants in phytoremediation of heavy metals polluted water: A review. Sustainability 2020, 12, 1927. [Google Scholar] [CrossRef]
- Mustafa, H.M.; Hayder, G. Recent studies on applications of aquatic weed plants in phytoremediation of wastewater: A review article. Ain Shams Eng. J. 2021, 12, 355–365. [Google Scholar] [CrossRef]
- Hauwa, I.M.; Adedoyin, V. Phytoextraction potentials of Hyptis suaveolens and Euphorbia hirta weeds for Cd2+ and Co2+. Commun. Phys. Sci. 2020, 6, 869–874. [Google Scholar]
- Shakoor, A.; Abdullah, M.; Sarfraz, R.; Altaf, M.A.; Batool, S. A comprehensive review on phytoremediation of cadmium (Cd) by mustard (Brassica juncea L.) and sunflower (Helianthus annuus L.). J. Biosersity Environ. Sci. 2017, 10, 88–98. [Google Scholar]
- Angelova, V.R.; Ivanova, R.I.; Todorov, J.M.; Ivanov, K.I. Potential of rapeseed (Brassica napus L.) for phytoremediation of soils contaminated with heavy metals. J. Environ. Prot. Ecol. 2017, 18, 468–478. [Google Scholar]
- Belimov, A.A.; Shaposhnikov, A.I.; Azarova, T.S.; Makarova, M.N.; Safronova, V.I.; Litvinskiy, V.A.; Nosikov, V.V.; Zavalin, A.A.; Tichonovich, I.A. Microbial consortium of PGPR, rhizobia and arbuscular mycorrhizal fungus makes pea mutant SGECdt comparable with Indian mustard in cadmium tolerance and accumulation. Plants 2020, 9, 975. [Google Scholar] [CrossRef] [PubMed]
- Sumiahadi, A.; Acar, R. A review of phytoremediation technology: Heavy metals uptake by plants. In IOP Conference Series: Earth and Environmental Science; IOP Publishing: Bristol, UK, 2018; Volume 142, p. 12023. [Google Scholar]
- Khan, A.G. In situ phytoremediation of uranium contaminated soils. In Phytoremediation: In-Situ Applications; Shmaefsky, B.R., Ed.; Springer Nature: Cham, Switzerland, 2020; pp. 123–151. [Google Scholar]
- Hou, Y.; Liu, X.; Zhang, X.; Hu, X.; Cao, L. Rhizosphere phytoremediation with Cyperus rotundus for diesel-contaminated wetlands. Water Air Soil Pollut. 2016, 227, 1–8. [Google Scholar] [CrossRef]
- Khandare, R.V.; Watharkar, A.D.; Pawar, P.K.; Jagtap, A.A.; Desai, N.S. Hydrophytic plants Canna indica, Epipremnum aureum, Cyperus alternifolius and Cyperus rotundus for phytoremediation of fluoride from water. Environ. Technol. Innov. 2021, 21, 101234. [Google Scholar] [CrossRef]
- Bordoloi, S.; Basumatary, B. A study on degradation of heavy metals in crude oil-contaminated soil using Cyperus rotundus. In Phytoremediation Management of Environmental Contamination, Volume 4; Ansari, A.A., Gill, S.S., Gill, R., Lanza, G.R., Newman, L., Eds.; Springer: Cham, Switzerland, 2016; pp. 53–60. [Google Scholar]
- Jahan-Nejati, S.; Jowkar-Tangkarami, M.; Taei-Semiromi, J. Cyperus rotundus: A safe forage or hyper phytostabilizer species in copper contaminated soils. Int. J. Phytoremediat. 2021, 23, 1212–1221. [Google Scholar] [CrossRef] [PubMed]
- Iqbal, J.; Khan, A.A.; Aziz, T.; Ali, W.; Ahmad, S.; Rahman, S.U.; Iqbal, Z.; Dablool, A.S.; Alruways, M.W.; Almalki, A.A.; et al. Phytochemical investigation, antioxidant properties and in vivo evaluation of the toxic effects of Parthenium hysterophorus. Molecules 2022, 27, 4189. [Google Scholar] [CrossRef] [PubMed]
- Boruah, T.; Chakravarty, P.; Deka, H. Phytosociology and antioxidant profile study for selecting potent herbs for phytoremediation of crude oil–contaminated soils. Environ. Monit. Assess. 2020, 192, 766. [Google Scholar] [CrossRef]
- Frantsuzova, E.; Bogun, A.; Solomentsev, V.; Vetrova, A.; Streletskii, R.; Solyanikova, I.; Delegan, Y. Whole genome analysis and assessment of the metabolic potential of Gordonia rubripertincta Strain 112, a degrader of aromatic and aliphatic compounds. Biology 2023, 12, 721. [Google Scholar] [CrossRef]
- Panchenko, L.; Muratova, A.; Dubrovskaya, E.; Golubev, S.; Turkovskaya, O. Dynamics of natural revegetation of hydrocarbon-contaminated soil and remediation potential of indigenous plant species in the steppe zone of the southern Volga Uplands. Environ. Sci. Pollut. Res. 2018, 25, 3260–3274. [Google Scholar] [CrossRef]
- Panchenko, L.; Muratova, A.; Biktasheva, L.; Galitskaya, P.; Golubev, S.; Dubrovskaya, E.; Selivanovskaya, S.; Turkovskaya, O. Study of Boraginaceae plants for phytoremediation of oil-contaminated soil. Int. J. Phytoremediat. 2022, 24, 215–223. [Google Scholar] [CrossRef] [PubMed]
- Sasmaz, M.; Sasmaz, A. The accumulation of strontium by native plants grown on Gumuskoy mining soils. J. Geochem. Explor. 2017, 181, 236–242. [Google Scholar] [CrossRef]
- Palutoglu, M.; Akgul, B.; Suyarko, V.; Yakovenko, M.; Kryuchenko, N.; Sasmaz, A. Phytoremediation of cadmium by native plants grown on mining soil. Bull. Environ. Contam. Toxicol. 2018, 100, 293–297. [Google Scholar] [CrossRef] [PubMed]
- Alirzayeva, E.G.; Shirvani, T.S.; Yazici, M.A.; Alverdiyeva, S.M.; Shukurov, E.S.; Ozturk, L.; Ali-Zade, V.M.; Cakmak, I. Heavy metal accumulation in Artemisia and foliaceous lichen species from the Azerbaijan flora. Forest Snow Landsc. Res. 2006, 80, 339–348. [Google Scholar]
- Germida, J.J.; Frick, C.M.; Farrell, R.E. Phytoremediation of oil-contaminated soils. Dev. Soil. Sci. 2002, 28, 169–186. [Google Scholar]
- Nemati, B.; Baneshi, M.M.; Akbari, H.; Dehghani, R.; Mostafaii, G. Phytoremediation of pollutants in oil-contaminated soils by Alhagi camelorum: Evaluation and modeling. Sci. Rep. 2024, 14, 5502. [Google Scholar] [CrossRef] [PubMed]
- Alabresm, A.; Chen, Y.P.; Decho, A.W.; Lead, J. A novel method for the synergistic remediation of oil-water mixtures using nanoparticles and oil-degrading bacteria. Sci. Total Environ. 2018, 630, 1292–1297. [Google Scholar] [CrossRef]
- Bacosa, H.P.; Erdner, D.L.; Rosenheim, B.E.; Shetty, P.; Seitz, K.W.; Baker, B.J.; Liu, Z. Hydrocarbon degradation and response of seafloor sediment bacterial community in the northern Gulf of Mexico to light Louisiana sweet crude oil. ISME J. 2018, 12, 2532–2543. [Google Scholar] [CrossRef]
- Brown, D.M.; Okoro, S.; van Gils, J.; van Spanning, R.; Bonte, M.; Hutchings, T.; Linden, O.; Egbuche, U.; Bruun, K.B.; Smith, J.W.N. Comparison of landfarming amendments to improve bioremediation of petroleum hydrocarbons in Niger Delta soils. Sci. Total Environ. 2017, 596, 284–292. [Google Scholar] [CrossRef]
- Lin, Q.; Mendelssohn, I.A. Evaluation of tolerance limits for restoration and phytoremediation with Spartina alterniflora in crude oil-contaminated coastal salt marshes. IOSC Proc. 2008, 1, 869–873. [Google Scholar]
- Varjani, S.J. Microbial degradation of petroleum hydrocarbons. Bioresour. Technol. 2017, 223, 277–286. [Google Scholar] [CrossRef] [PubMed]
- Varjani, S.J.; Gnansounou, E. Microbial dynamics in petroleum oilfields and their relationship with physiological properties of petroleum oil reservoirs. Bioresour. Technol. 2017, 245, 1258–1265. [Google Scholar] [CrossRef] [PubMed]
- Wanapaisan, P.; Laothamteep, N.; Vejarano, F.; Chakraborty, J.; Shintani, M.; Muangchinda, C.; Morita, T.; Suzuki-Minakuchi, C.; Inoue, K.; Nojiri, H.; et al. Synergistic degradation of pyrene by five culturable bacteria in a mangrove sediment-derived bacterial consortium. J. Hazard. Mater. 2018, 342, 561–570. [Google Scholar] [CrossRef] [PubMed]
- Kumar, A.; Kumar, A.; Singh, R.; Singh, R.; Pandey, S.; Rai, A.; Singh, V.K.; Rahul, B. Genetically engineered bacteria for the degradation of dye and other organic compounds. In Abatement of Environmental Pollutants: Trends and Strategies; Pardeep Singh, P., Kumar, A., Borthakur, A., Eds.; Elsevier: Amsterdam, The Netherlands, 2020; pp. 331–350. [Google Scholar]
- Skinder, B.M.; Uqab, B.; Ganai, B.A. Bioremediation: A sustainable and emerging tool for restoration of polluted aquatic ecosystem. In Fresh Water Pollution Dynamics and Remediation; Qadri, H., Bhat, R.A., Mehmood, M.A., Dar, G., Eds.; Springer: Singapore, 2020; pp. 143–165. [Google Scholar]
- Adeleye, A.O.; Nkereuwem, M.E.; Omokhudu, G.I.; Amoo, A.O.; Shiaka, G.P.; Yerima, M.B. Effect of microorganisms in the bioremediation of spent engine oil and petroleum related environmental pollution. J. Appl. Sci. Environ. Manag. 2018, 22, 157–167. [Google Scholar] [CrossRef][Green Version]
- Singh, R.K.; Tripathi, R.; Ranjan, A.; Srivastava, A.K. Fungi as potential candidates for bioremediation. In Abatement of Environmental Pollutants: Trends and Strategies; Singh, P., Kumar, A., Borthakur, A., Eds.; Elsevier: Amsterdam, The Netherlands, 2020; pp. 177–191. [Google Scholar]
- Belovezhets, L.A.; Makarova, L.E.; Tretyakova, M.S.; Markova, Y.A.; Dudareva, L.V.; Semenova, N.V. Possible pathways for destruction of polyaromatic hydrocarbons by some oil-degrading bacteria isolated from plant endosphere and rhizosphere. Appl. Biochem. Microbiol. 2017, 53, 68–72. [Google Scholar] [CrossRef]
- Ivanova, A.A.; Mullaeva, S.A.; Sazonova, O.I.; Petrikov, K.V.; Vetrova, A.A. Current research on simultaneous oxidation of aliphatic and aromatic hydrocarbons by bacteria of genus Pseudomonas. Folia Microbiol. 2022, 67, 591–604. [Google Scholar] [CrossRef] [PubMed]
- Shimp, R.; Pfaender, F.K. Influence of Naturally Occurring Humic Acids on Biodegradation of Monosubstituted Phenols by Aquatic Bacteria. Appl. Environ. Microbiol. 1985, 49, 402–407. [Google Scholar] [CrossRef] [PubMed]
- Gregson, B.H.; Metodieva, G.; Metodiev, M.V.; Golyshin, P.N.; McKew, B.A. Protein expression in the obligate hydrocarbon-degrading psychrophile Oleispira antarctica RB-8 during alkane degradation and cold tolerance. Environ. Microbiol. 2020, 22, 1870–1883. [Google Scholar] [CrossRef]
- Gorbunova, T.I.; Egorova, D.O.; Pervova, M.G.; Kir’yanova, T.D.; Plotnikova, E.G. Degradability of commercial mixtures of polychlorobiphenyls by three Rhodococcus strains. Arch. Microbiol. 2022, 204, 534. [Google Scholar] [CrossRef]
- Sun, S.; Song, X.; Bian, Y.; Wan, X.; Zhang, J.; Wang, W. Multi-parameter optimization maximizes the performance of genetically engineered Geobacillus for degradation of high-concentration nitroalkanes in wastewater. Bioresour. Technol. 2022, 347, 126690. [Google Scholar] [CrossRef]
- Pandolfo, E.; Barra Caracciolo, A.; Rolando, L. Recent advances in bacterial degradation of hydrocarbons. Water 2023, 15, 375. [Google Scholar] [CrossRef]
- Dell’Anno, F.; Brunet, C.; van Zyl, L.J.; Trindade, M.; Golyshin, P.N.; Dell’Anno, A.; Ianora, A.; Sansone, C. Degradation of hydrocarbons and heavy metal reduction by marine bacteria in highly contaminated sediments. Microorganisms 2020, 8, 1402. [Google Scholar] [CrossRef]
- Syrova, D.S.; Shaposhnikov, A.I.; Yuzikhin, O.S.; Belimov, A.A. Destruction and transformation of phytohormones by microorganisms. Appl. Biochem. Microbiol. 2022, 58, 1–18. [Google Scholar] [CrossRef]
- Rahmati, F.; Lajayer, B.A.; Shadfar, N.; van Bodegom, P.M.; van Hullebusch, E.D. A Review on biotechnological approaches applied for marine hydrocarbon spills remediation. Microorganisms 2022, 10, 1289. [Google Scholar] [CrossRef]
- Godambe, T.; Fulekar, M. Bioremediation of petrochemical hydrocarbons (BTEX)—Review. J. Environ. Sci. Pollut. Res. 2017, 3, 189–199. [Google Scholar]
- Das, D.; Baruah, R.; Roy, A.S.; Singh, A.K.; Deka Boruah, H.P.; Kalita, J.; Bora, T.C. Complete genome sequence analysis of Pseudomonas aeruginosa N002 reveals its genetic adaptation for crude oil degradation. Genomics 2015, 105, 182–190. [Google Scholar] [CrossRef]
- Tazdaït, D.; Salah-Tazdaït, R. Polycyclic aromatic hydrocarbons: Toxicity and bioremediation approaches. In Biotechnology for Sustainable Environment; Joshi, S.J., Deshmukh, A., Sarma, H., Eds.; Springer Nature: Singapore, 2021; pp. 289–316. [Google Scholar]
- Bacosa, H.P.; Inoue, C. Polycyclic aromatic hydrocarbons (PAHs) biodegradation potential and diversity of microbial consortia enriched from tsunami sediments in Miyagi, Japan. J. Hazard. Mater. 2015, 283, 689–697. [Google Scholar] [CrossRef]
- Li, Y.; Liang, J.; Yang, S.; Yao, J.; Chen, K.; Yang, L.; Zheng, W.; Tian, Y. Finding novel chemoreceptors that specifically sense and trigger chemotaxis toward polycyclic aromatic hydrocarbons in Novosphingobium pentaromativorans US6-1. J. Hazard. Mater. 2021, 416, 126246. [Google Scholar] [CrossRef] [PubMed]
- Gao, H.; Zhang, J.; Lai, H.; Xue, Q. Degradation of asphaltenes by two Pseudomonas aeruginosa strains and their effects on physicochemical properties of crude oil. Int. Biodeterior. Biodegrad. 2017, 122, 12–22. [Google Scholar] [CrossRef]
- Verma, S.; Bhargava, R.; Pruthi, V. Oily sludge degradation by bacteria from Ankleshwar, India. Int. Biodeterior. Biodegrad. 2006, 57, 207–213. [Google Scholar] [CrossRef]
- Jahromi, H.; Fazaelipoor, M.H.; Ayatollahi, S.; Niazi, A. Asphaltenes biodegradation under shaking and static conditions. Fuel 2014, 117, 230–235. [Google Scholar] [CrossRef]
- Shahebrahimi, Y.; Fazlali, A.; Motamedi, H.; Kord, S.; Mohammadi, A.H. Effect of various isolated microbial consortiums on the biodegradation process of precipitated asphaltenes from crude oil. ACS Omega 2020, 5, 3131–3143. [Google Scholar] [CrossRef] [PubMed]
- Ying, X.; Yang, X.; Lv, J.; Li, X. Study on a strain of Lysinibacillus sp. with the potential to improve the quality of oil sands. ACS Omega 2022, 7, 11654–11663. [Google Scholar] [CrossRef] [PubMed]
- Lee, Y.; Lee, Y.; Jeon, C.O. Biodegradation of naphthalene, BTEX, and aliphatic hydrocarbons by Paraburkholderia aromaticivorans BN5 isolated from petroleum-contaminated soil. Sci. Rep. 2019, 9, 860. [Google Scholar] [CrossRef] [PubMed]
- Adlan, N.A.; Sabri, S.; Masomian, M.; Ali, M.S.M.; Rahman, R.N.Z.R.A. Microbial biodegradation of paraffin wax in Malaysian crude oil mediated by degradative enzymes. Front. Microbiol. 2020, 11, 565608. [Google Scholar] [CrossRef]
- Novik, G.; Savich, V.; Meerovskaya, O. Geobacillus Bacteria: Potential commercial applications in industry, bioremediation, and bioenergy production. In Growing and Handling of Bacterial Cultures; Mishra, M., Ed.; IntechOpen: London, UK, 2018; pp. 1–36. [Google Scholar]
- Roy, A.; Dutta, A.; Pala, S.; Gupta, A.; Sarkar, J.; Chatterjee, A.; Saha, A.; Sarkar, P.; Sar, P.; Kazy, S.K. Biostimulation and bioaugmentation of native microbial community accelerated bioremediation of oil refinery sludge. Bioresour. Technol. 2018, 253, 22–32. [Google Scholar] [CrossRef] [PubMed]
- Ajona, M.; Vasanthi, P. Bioremediation of petroleum contaminated soils—A review. Mater. Today Proc. 2021, 45, 7117–7122. [Google Scholar] [CrossRef]
- Kour, D.; Kaur, T.; Devi, R.; Yadav, A.; Singh, M.; Joshi, D.; Singh, J.; Suyal, D.C.; Kumar, A.; Rajput, V.D.; et al. Beneficial microbiomes for bioremediation of diverse contaminated environments for environmental sustainability: Present status and future challenges. Environ. Sci. Pollut. Res. 2021, 28, 24917–24939. [Google Scholar] [CrossRef]
- Tabinda, A.B.; Tahir, A.; Dogar, M.; Yasar, A.; Rasheed, R.; Mahnoor, F. Role of microorganisms in the remediation of toxic metals from contaminated soil. In Phytoremediation: Management of Environmental Contaminants; Newman, L., Ansari, A.A., Gill, S.S., Naeem, M., Gill, R., Eds.; Springer: Berlin/Heidelberg, Germany, 2023; Volume 7, pp. 231–259. [Google Scholar]
- Thapa, B.; Kc, A.K.; Ghimire, A. A review on bioremediation of petroleum hydrocarbon contaminants in soil. Kathmandu Univ. J. Sci. Eng. Technol. 2012, 8, 164–170. [Google Scholar] [CrossRef]
- Malik, S.; Kishore, S.; Kumar, S.A.; Dhasmana, A. Role of bacteria in biological removal of environmental pollutants. In Emerging Technologies in Applied and Environmental Microbiology; Academic Press: Cambridge, MA, USA; Elsevier: Amsterdam, The Netherlands, 2023; Volume 12, pp. 205–225. [Google Scholar]
- Belahmadi, M.S.O.; Charchar, N.; Abdessemed, A.; Gherib, A. Impact of petroleum refinery on aquatic ecosystem of Skikda Bay (Algeria): Diversity and abundance of viable bacterial strains. Mar. Pollut. Bull. 2023, 188, 114704. [Google Scholar] [CrossRef] [PubMed]
- Myazin, V.A.; Korneykova, M.V.; Chaporgina, A.A.; Fokina, N.V.; Vasilyeva, G.K. The effectiveness of biostimulation, bioaugmentation and sorption-biological treatment of soil contaminated with petroleum products in the Russian subarctic. Microorganisms 2021, 9, 1722. [Google Scholar] [CrossRef] [PubMed]
- Cunningham, E.M.; Ehlers, S.M.; Dick, J.T.A.; Sigwart, J.D.; Linse, K.; Dick, J.J.; Kiriakoulakis, K. High abundances of microplastic pollution in deep-sea sediments: Evidence from Antarctica and the Southern Ocean. Environ. Sci. Technol. 2020, 54, 13661–13671. [Google Scholar] [CrossRef] [PubMed]
- Zhang, X.; Fan, X.; Solaiman, D.K.Y.; Ashby, R.D.; Liu, Z.; Mukhopadhyay, S.; Yan, R. Inactivation of Escherichia coli O157: H7 in vitro and on the surface of spinach leaves by biobased antimicrobial surfactants. Food Control 2016, 60, 158–165. [Google Scholar] [CrossRef]
- Wang, D.; Lin, J.; Lin, J.; Wang, W.; Li, S. Biodegradation of petroleum hydrocarbons by Bacillus subtilis BL-27, a strain with weak hydrophobicity. Molecules 2019, 24, 3021. [Google Scholar] [CrossRef] [PubMed]
- Travkin, V.M.; Solyanikova, I.P. Salicylate or phthalate: The main intermediates in the bacterial degradation of naphthalene. Processes 2021, 9, 1862. [Google Scholar] [CrossRef]
- Zabolotskikh, V.V.; Vasilyev, A.V.; Tankikh, S.N. Development of bioactive composition for effective bioremediation of oil-contaminated soil. In Proceedings of the Seventh International Environmental Congress (Ninth International Scientific-Technical Conference) “Ecology and Life Protection of Industrial-Transport Complexes” ELPIT 2019, Samara, Russia, 25–28 September 2019; pp. 173–190. [Google Scholar]
- Cova, C.M.; Rincón, E.; Espinosa, E.; Serrano, L.; Zuliani, A. Paving the way for a green transition in the design of sensors and biosensors for the detection of volatile organic compounds (VOCs). Biosensors 2022, 12, 51. [Google Scholar] [CrossRef] [PubMed]
- Imam, A.; Kanaujia, P.K.; Ray, A.; Suman, S.K. Removal of petroleum contaminants through bioremediation with integrated concepts of resource recovery: A review. Indian J. Microbiol. 2021, 61, 250–261. [Google Scholar] [CrossRef]
- Mnif, I.; Ellouz-Chaabouni, S.; Ghribi, D. Glycolipid biosurfactants, main classes, functional properties and related potential applications in environmental biotechnology. J. Polym. Environ. 2018, 26, 2192–2206. [Google Scholar] [CrossRef]
- Xu, X.; Liu, W.; Tian, S.; Wang, W.; Qi, Q.; Jiang, P.; Gao, X.; Li, F.; Yu, H. Petroleum hydrocarbon-degrading bacteria for the remediation of oil pollution under aerobic conditions: A perspective analysis. Front. Microbiol. 2018, 9, 2885. [Google Scholar] [CrossRef]
- Ruengvisesh, S.; Kerth, C.R.; Taylor, T.M. Inhibition of Escherichia coli O157: H7 and Salmonella enterica isolates on spinach leaf surfaces using eugenol-loaded surfactant micelles. Foods 2019, 8, 575. [Google Scholar] [CrossRef] [PubMed]
- Kotake, T.; Matsuzawa, J.; Suzuki-Minakuchi, C.; Okada, K.; Nojiri, H.; Iwata, K. Purification and partial characterization of the extradiol dioxygenase, 2′-carboxy-2, 3-dihydroxybiphenyl 1,2-dioxygenase, in the fluorene degradation pathway from Rhodococcus sp. strain DFA3. Biosci. Biotechnol. Biochem. 2016, 80, 719–725. [Google Scholar] [CrossRef] [PubMed]
- Ghosal, D.; Ghosh, S.; Dutta, T.K.; Ahn, Y. Current state of knowledge in microbial degradation of polycyclic aromatic hydrocarbons (PAHs): A review. Front. Microbiol. 2016, 7, 1369. [Google Scholar] [CrossRef] [PubMed]
- Işıldar, A.; van Hullebusch, E.D.; Lenz, M.; Du Laing, G.; Marra, A.; Cesaro, A.; Panda, S.; Akcil, A.; Kucuker, M.A.; Kuchta, K. Biotechnological strategies for the recovery of valuable and critical raw materials from waste electrical and electronic equipment (WEEE)–A review. J. Hazard. Mater. 2019, 362, 467–481. [Google Scholar] [CrossRef] [PubMed]
- Kenes, K.; Yerdos, O.; Zulkhair, M.; Yerlan, D. Study on the effectiveness of thermally treated rice husks for petroleum adsorption. J. Non. Cryst. Solids 2012, 358, 2964–2969. [Google Scholar] [CrossRef]
- Abdolali, A.; Guo, W.S.; Ngo, H.H.; Chen, S.S.; Nguyen, N.C.; Tung, K.L. Typical lignocellulosic wastes and by-products for biosorption process in water and wastewater treatment: A critical review. Bioresour. Technol. 2014, 160, 57–66. [Google Scholar] [CrossRef] [PubMed]
- Luis-Zarate, V.H.; Rodriguez-Hernandez, M.C.; Alatriste-Mondragon, F.; Chazaro-Ruiz, L.F.; Rangel-Mendez, J.R. Coconut endocarp and mesocarp as both biosorbents of dissolved hydrocarbons in fuel spills and as a power source when exhausted. J. Environ. Manag. 2018, 211, 103–111. [Google Scholar] [CrossRef] [PubMed]
- Nassar, H.N.; El-Azab, W.I.M.; El-Gendy, N.S. Sustainable ecofriendly recruitment of bioethanol fermentation lignocellulosic spent waste biomass for the safe reuse and discharge of petroleum production produced water via biosorption and solid biofuel production. J. Hazard. Mater. 2022, 422, 126845. [Google Scholar] [CrossRef] [PubMed]
- Wang, H.; Xu, J.; Liu, X.; Sheng, L. Preparation of straw activated carbon and its application in wastewater treatment: A review. J. Clean. Prod. 2021, 283, 124671. [Google Scholar] [CrossRef]
- Kaur, S.; Sodhi, A.K. A study on removal of cutting oil from wastewater by using agricultural wastes. Mater. Today Proc. 2020, 32, 719–727. [Google Scholar] [CrossRef]
- Rizaev, A. Enhancement of aqua scourings technology from petrochemical. Turk. J. Comput. Math. Educ. 2021, 12, 1987–1992. [Google Scholar]
- Jesubunmi, C.O.; Phil, E.K.; Chigbu, C.C. Isolation and optimization of hydrocarbon–degrading bacteria. Asian J. Biotechnol. Bioresour. Technol. 2022, 8, 46–54. [Google Scholar] [CrossRef]
- Elgarahy, A.M.; Elwakeel, K.Z.; Mohammad, S.H.; Elshoubaky, G.A. A critical review of biosorption of dyes, heavy metals and metalloids from wastewater as an efficient and green process. Clean. Eng. Technol. 2021, 4, 100209. [Google Scholar] [CrossRef]
- Mishra, P.K.; Mukherji, S. Biosorption of diesel and lubricating oil on algal biomass. 3 Biotech 2012, 2, 301–310. [Google Scholar] [CrossRef]
- Ali, N.; Eliyas, M.; Al-Sarawi, H.; Radwan, S.S. Hydrocarbon-utilizing microorganisms naturally associated with sawdust. Chemosphere 2011, 83, 1268–1272. [Google Scholar] [CrossRef] [PubMed]
- Kolotova, O.V.; Mogilevskaya, I.V.; Vladimtseva, I.V.; Arzamasova, T.D.; Kuznetsova, V.A. Biosorbents for oil-containing wastewater treatment. In IOP Conference Series: Earth and Environmental Science; IOP Publishing: Bristol, UK, 2020; Volume 421, p. 62044. [Google Scholar]
- Archegova, I.B.; Khabibullina, F.M.; Shubakov, A.A. Optimization of the purification of soil and water objects from oil using biosorbents. Contemp. Probl. Ecol. 2012, 5, 548–553. [Google Scholar] [CrossRef]
- Dashti, N.; Ali, N.; Khanafer, M.; Radwan, S.S. Oil uptake by plant-based sorbents and its biodegradation by their naturally associated microorganisms. Environ. Pollut. 2017, 227, 468–475. [Google Scholar] [CrossRef] [PubMed]
- Ismail, A.S.; El-Sheshtawy, H.S.; Khalil, N.M. Bioremediation process of oil spill using fatty-lignocellulose sawdust and its enhancement effect. Egypt. J. Pet. 2019, 28, 205–211. [Google Scholar] [CrossRef]
- Nwankwegu, A.S. Sawdust assisted bioremediation of PMS hydrocarbon impacted agricultural soil in NigerDelta Nigeria. Int. J. Pharma Biosci. 2016, 7, 47–57. [Google Scholar]
- Amajuoyi, C.A.; Wemedo, S.A. Effect of oil palm bunch ash (Elaeis guineensis) on the bioremediation of diesel oil polluted soil. Am. J. Microbiol. Biotechnol. 2015, 2, 6–14. [Google Scholar]
- Akpe, A.R.; Ekundayo, A.O.; Aigere, S.P.; Okwu, G.I. Bacterial degradation of petroleum hydrocarbons in crude oil polluted soil amended with cassava peels. Am. J. Res. Commun. 2015, 3, 99–118. [Google Scholar]
- Omoni, V.T.; Aguoru, C.U.; Edoh, E.O.; Makinde, O. Biostimulation of hydrocarbon utilizing bacteria in soil contaminated with spent engine oil using banana and plantain agro-wastes. J. Soil Sci. Environ. Manag. 2015, 6, 225–233. [Google Scholar]
- Hamzah, A.; Phan, C.-W.; Yong, P.-H.; Mohd Ridzuan, N.H. Oil palm empty fruit bunch and sugarcane bagasse enhance the bioremediation of soil artificially polluted by crude oil. Soil. Sediment. Contam. An. Int. J. 2014, 23, 751–762. [Google Scholar] [CrossRef]
- Kadim, M.K.; Risjani, Y. Biomarker for monitoring heavy metal pollution in aquatic environment: An overview toward molecular perspectives. Emerg. Contam. 2022, 8, 195–205. [Google Scholar] [CrossRef]
- Somu, P.; Narayanasamy, S.; Gomez, L.A.; Rajendran, S.; Lee, Y.R.; Balakrishnan, D. Immobilization of enzymes for bioremediation: A future remedial and mitigating strategy. Environ. Res. 2022, 212, 113411. [Google Scholar] [CrossRef]
- Gertsen, M.M.; Perelomov, L.V.; Arlyapov, V.A.; Atroshchenko, Y.M.; Meshalkin, V.P.; Chistyakova, T.B.; Reverberi, A.P. Degradation of oil and petroleum products in water by bioorganic compositions based on humic acids. Energies 2023, 16, 5320. [Google Scholar] [CrossRef]
- Arlyapov, V.A.; Plekhanova, Y.V.; Kamanina, O.A.; Nakamura, H.; Reshetilov, A.N. Microbial Biosensors for Rapid Determination of Biochemical Oxygen Demand: Approaches, Tendencies and Development Prospects. Biosensors 2022, 12, 842. [Google Scholar] [CrossRef] [PubMed]
- Kharkova, A.S.; Medvedeva, A.S.; Kuznetsova, L.S.; Gertsen, M.M.; Kolesov, V.V.; Arlyapov, V.A.; Reshetilov, A.N. A “2-in-1” Bioanalytical System Based on Nanocomposite Conductive Polymers for Early Detection of Surface Water Pollution. Polymers 2024, 16, 1431. [Google Scholar] [CrossRef] [PubMed]
- Kharkova, A.S.; Arlyapov, V.A.; Turovskaya, A.D.; Shvets, V.I.; Reshetilov, A.N. A mediator microbial biosensor for assaying general toxicity. Enzym. Microbial. Technol. 2020, 132, 109435. [Google Scholar] [CrossRef]
- Kurbanalieva, S.K.; Arlyapov, V.A.; Kharkova, A.S.; Perchikov, R.N.; Kamanina, O.A.; Melnikov, P.A.; Popova, N.M.; Machulin, A.V.; Tarasov, S.G.; Saverina, E.A.; et al. Electroactive Biofilms of Activated Sludge Microorganisms on a Nanostructured Surface as the Basis for a Highly Sensitive Biochemical Oxygen Demand Biosensor. Sensors 2020, 22, 6049. [Google Scholar] [CrossRef]
- Arlyapov, V.A.; Yudina, N.Y.; Asulyan, L.D.; Kamanina, O.A.; Alferov, S.V.; Shumsky, A.N.; Machulin, A.V.; Alferov, V.A.; Reshetilov, A.N. Registration of BOD using Paracoccus yeei bacteria isolated from activated sludge. 3 Biotech 2020, 10, 207. [Google Scholar] [CrossRef] [PubMed]
- Anielak, A.M.; Styszko, K.; Kłeczek, A.; Łomińska-Płatek, D. Humic Substances—Common Carriers of Micropollutants in Municipal Engineering. Energies 2022, 15, 8496. [Google Scholar] [CrossRef]














| Sorbent | Type of Oil | References |
|---|---|---|
| Banana peel | Crude oil | [74] |
| Sawdust | Crude oil | [75] |
| Luffa | Diesel oil, crude oil | [75,76] |
| Orange peel | Crude, diesel, and used engine oil | [77] |
| Cotton | Used lube oil, motor oil | [78,79] |
| Kapok | Diesel, crude oil, engine oil, used engine oil and hydraulic oil | [80] |
| Rice husk | Diesel oil, gasoline, light crude, motor oil, heavy, crude oil, marine oil | [80,81,82] |
| Pomelo peel | Castor oil, crude oil | [83,84] |
| Nanoporous polystyrene (PS) fibers | Oil | [85] |
| Polystyrene (PS) film | Oil | [85] |
| Magnetic poly (styrene-divinylbenzene) foam | Oil | [86] |
| Nonwoven polypropylene oil sorbents | Oil | [87] |
| Toxicants | Plants | References |
|---|---|---|
| Co and Cd | Hyptis suaveolens | [107] |
| Co and Cd | Euphorbia hirta | |
| Cd, Cu, Zn, Pb | Brassica juncea L. (Indian mustard) | [108,109,110,111,112] |
| Oil pollution | Axonopus compressus | [113,114,115,116] |
| Cyperus brevifolius | ||
| Cyperus rotundus | ||
| DPPH | Parthenium hysterophorus | [117] |
| Oil pollution | Torenia flava | [118] |
| Lithospermum arvense | [119] | |
| Nonea pulla | [119,120] | |
| Asperugo procumbens | [119] | |
| Lappula myosotis | [119,121] | |
| Heavy metals | Cynoglossum officinale | [122,123] |
| Argusia sibirica | [124] |
| Petroleum Hydrocarbon Components | Main Degradation Profile | Bacteria Strains | References |
|---|---|---|---|
| Aliphatic | n—alkanes (C6-C40) | Dietzia sp. [115] | [139] |
| n—alkanes (C14–C30) | Pseudomonas sp. | [140] | |
| n—alkanes (C10–C18) | Oleispira antarctica | [141] | |
| n—alkanes (C13–C17) | Rhodococcus ruber [118] | [142] | |
| n—alkanes (C15–C36) | Geobacillus thermodenitrifican | [143] | |
| cyclohexane | Rhodococcus sp. | [144] | |
| n—alkanes and branched alkanes | Alcanivorax sp. | [145] | |
| n—alkanes and branched alkanes | Gordonia sihwensis | [119] | |
| Aromatic | Mono/polychromatic | Achromobacter xylosoxidans, Aeribacillus pallidus | [146,147] |
| Monoaromatic | Mycobacterium, Pseudomonas aeruginosa | [148,149] | |
| Polyaromatic | Novosphingobium | [150,151,152] | |
| Resins and asphaltenes | Resins | Pseudomonas sp. | [153,154] |
| Asphaltenes | Bacillus sp., Citrobacter sp., Enterobacter sp., Staphylococcus sp., Lysinibacillus sp. | [153,154,155,156,157] |
| Sorbent | Microorganisms | References |
|---|---|---|
| Sawdust | Actinobacterium sp., Micrococcus luteus, Rhodococcus erythropolis, Rhodococcus opacus | [192] |
| Crop waste and carbonizate from spent activated sludge | Bacterial strain VGTU-02 | [193] |
| Sorbonaft | Oil-oxidizing microorganisms | [194] |
| The plant waste products | Rhodococcus, Pseudomonas and Curtobacterium, for corn-cobs, Pantoea and Enterobacte, and for sugarcane bagasse, Cryptococcus, and Enterobacter | [195] |
| Lignocellulose sawdust | Bacillus subtilis, Bacillus cereus, Pseudomonas xanthomarina, Corynebacterium sp. | [196] |
| Sawdust | Micrococcus luteus, Rhizopus arrhizus | [197] |
| Palm bunch ash (Elaeis guineensis) | Klebsiella sp., Acinetobacter sp., Streptomyces sp., Flavobacterium sp., | [198] |
| Cassava | Pseudomonas sp., Nocardia sp., Bacillus sp., Aerococcus sp., Alcaligenes sp. and Micrococcus | [199] |
| Peels | sp., Rhizopus sp., Aspergillus sp., Penicillium sp., Trichodema sp., Mucor sp., Fusarium sp. | [200] |
| Banana and plantain agro-wastes | Cladosporium sp. | [201] |
| Sugarcane bagasse and oil palm empty fruit bunch | Staphylococcus aureus | [201] |
Disclaimer/Publisher’s Note: The statements, opinions and data contained in all publications are solely those of the individual author(s) and contributor(s) and not of MDPI and/or the editor(s). MDPI and/or the editor(s) disclaim responsibility for any injury to people or property resulting from any ideas, methods, instructions or products referred to in the content. |
© 2024 by the authors. Licensee MDPI, Basel, Switzerland. This article is an open access article distributed under the terms and conditions of the Creative Commons Attribution (CC BY) license (https://creativecommons.org/licenses/by/4.0/).
Share and Cite
Gertsen, M.M.; Arlyapov, V.A.; Perelomov, L.V.; Kharkova, A.S.; Golysheva, A.N.; Atroshchenko, Y.M.; Cardinale, A.M.; Reverberi, A.P. Environmental Implications of Energy Sources: A Review on Technologies for Cleaning Oil-Contaminated Ecosystems. Energies 2024, 17, 3561. https://doi.org/10.3390/en17143561
Gertsen MM, Arlyapov VA, Perelomov LV, Kharkova AS, Golysheva AN, Atroshchenko YM, Cardinale AM, Reverberi AP. Environmental Implications of Energy Sources: A Review on Technologies for Cleaning Oil-Contaminated Ecosystems. Energies. 2024; 17(14):3561. https://doi.org/10.3390/en17143561
Chicago/Turabian StyleGertsen, Maria M., Viacheslav A. Arlyapov, Leonid V. Perelomov, Anna S. Kharkova, Anastasiia N. Golysheva, Yurii M. Atroshchenko, Anna Maria Cardinale, and Andrea Pietro Reverberi. 2024. "Environmental Implications of Energy Sources: A Review on Technologies for Cleaning Oil-Contaminated Ecosystems" Energies 17, no. 14: 3561. https://doi.org/10.3390/en17143561
APA StyleGertsen, M. M., Arlyapov, V. A., Perelomov, L. V., Kharkova, A. S., Golysheva, A. N., Atroshchenko, Y. M., Cardinale, A. M., & Reverberi, A. P. (2024). Environmental Implications of Energy Sources: A Review on Technologies for Cleaning Oil-Contaminated Ecosystems. Energies, 17(14), 3561. https://doi.org/10.3390/en17143561

