Potential for Repowering Inland Coal-Fired Power Plants Using Nuclear Reactors According to the Coal-to-Nuclear Concept
Abstract
1. Introduction
2. Methods
2.1. Coal-to-Nuclear Path
2.2. Nuclear Power Reactors
- Advanced Passive PWR–AP1000 [42]
- Advanced Power Reactor–APR1400 [47]
- The Evolutionary Power Reactor–EPR1600 [51]
2.3. Coal-Fired Power Plants
- “Dolna Odra” Power Plant,
- “Kozienice” Power Plant,
- “Ostrołęka B” Power Plant,
- “Połaniec” Power Plant.
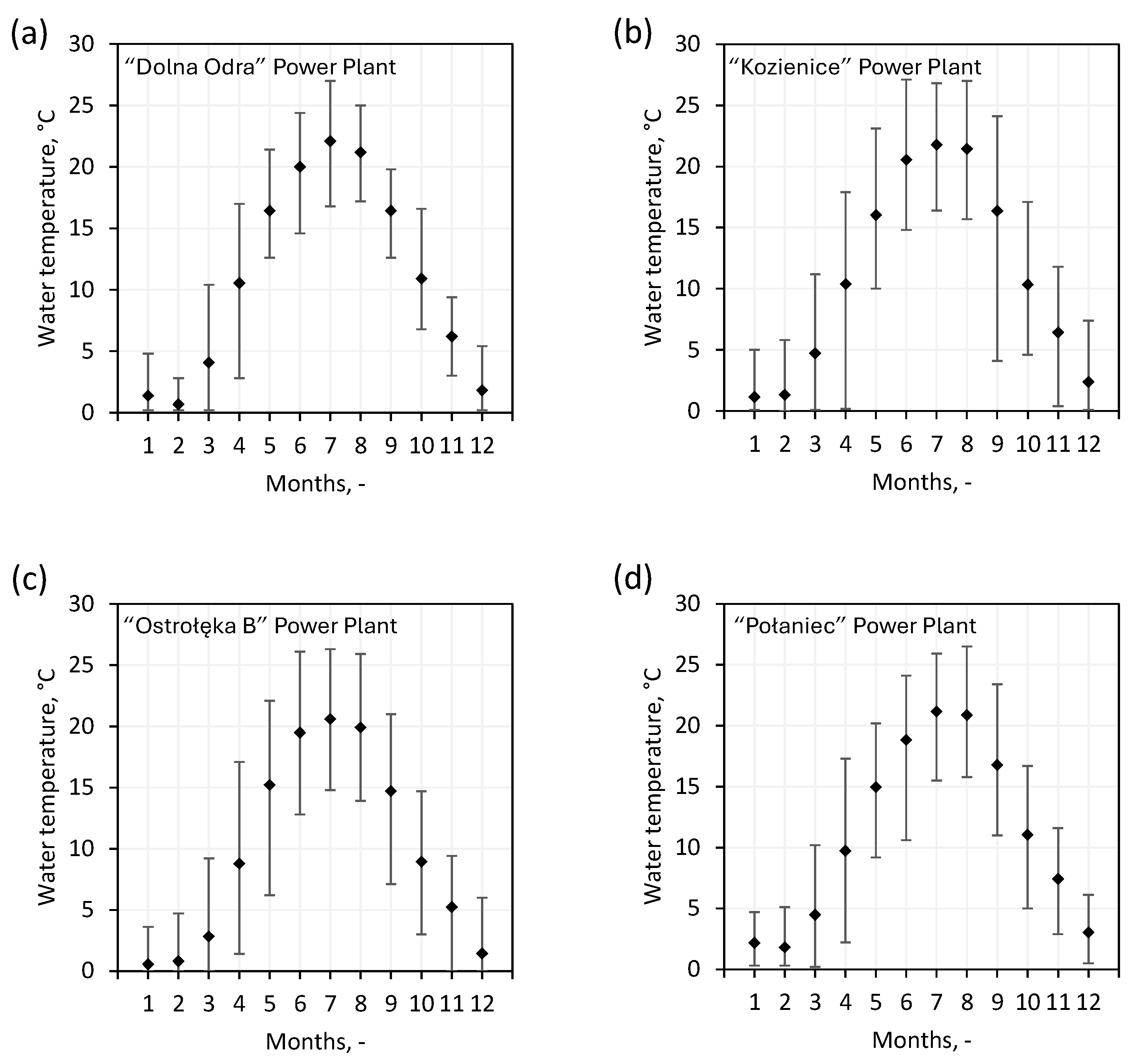
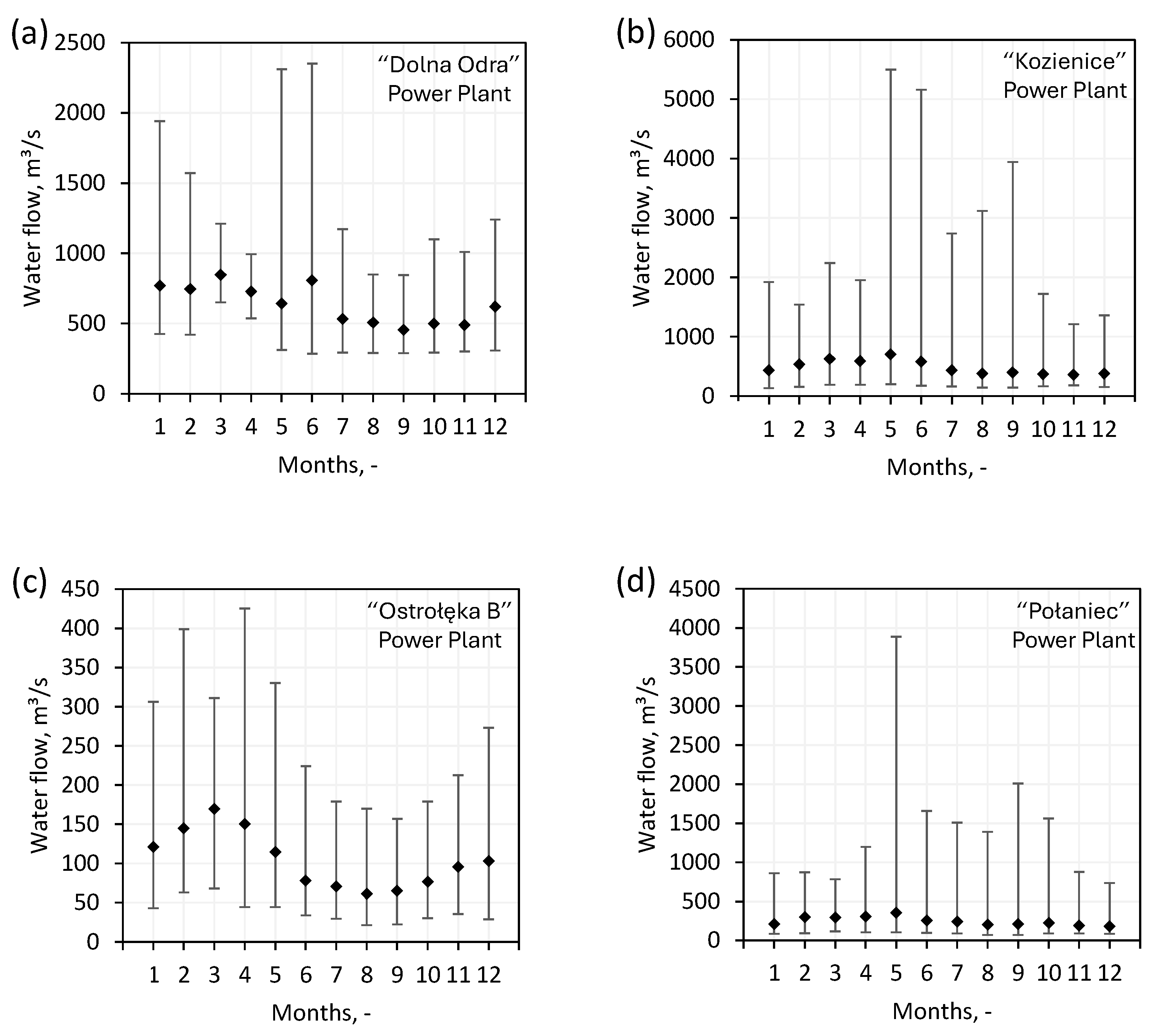
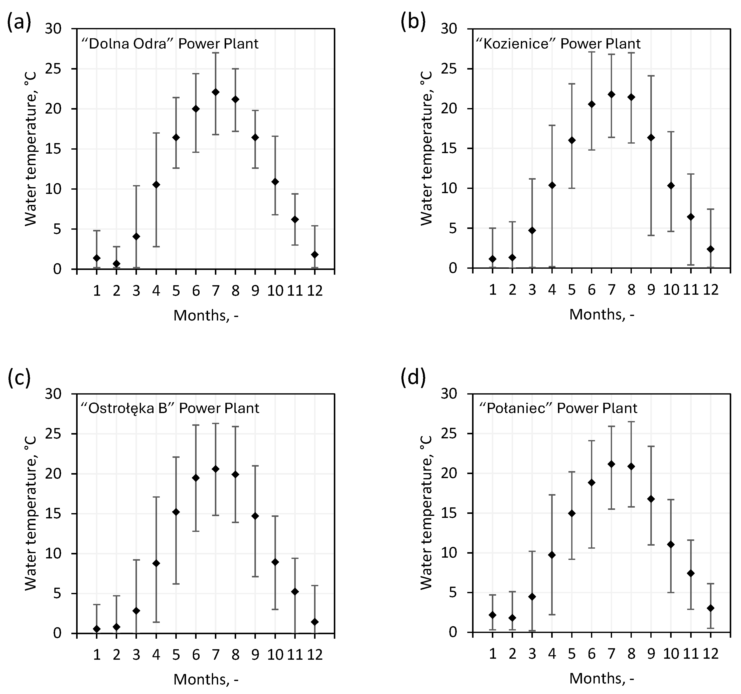
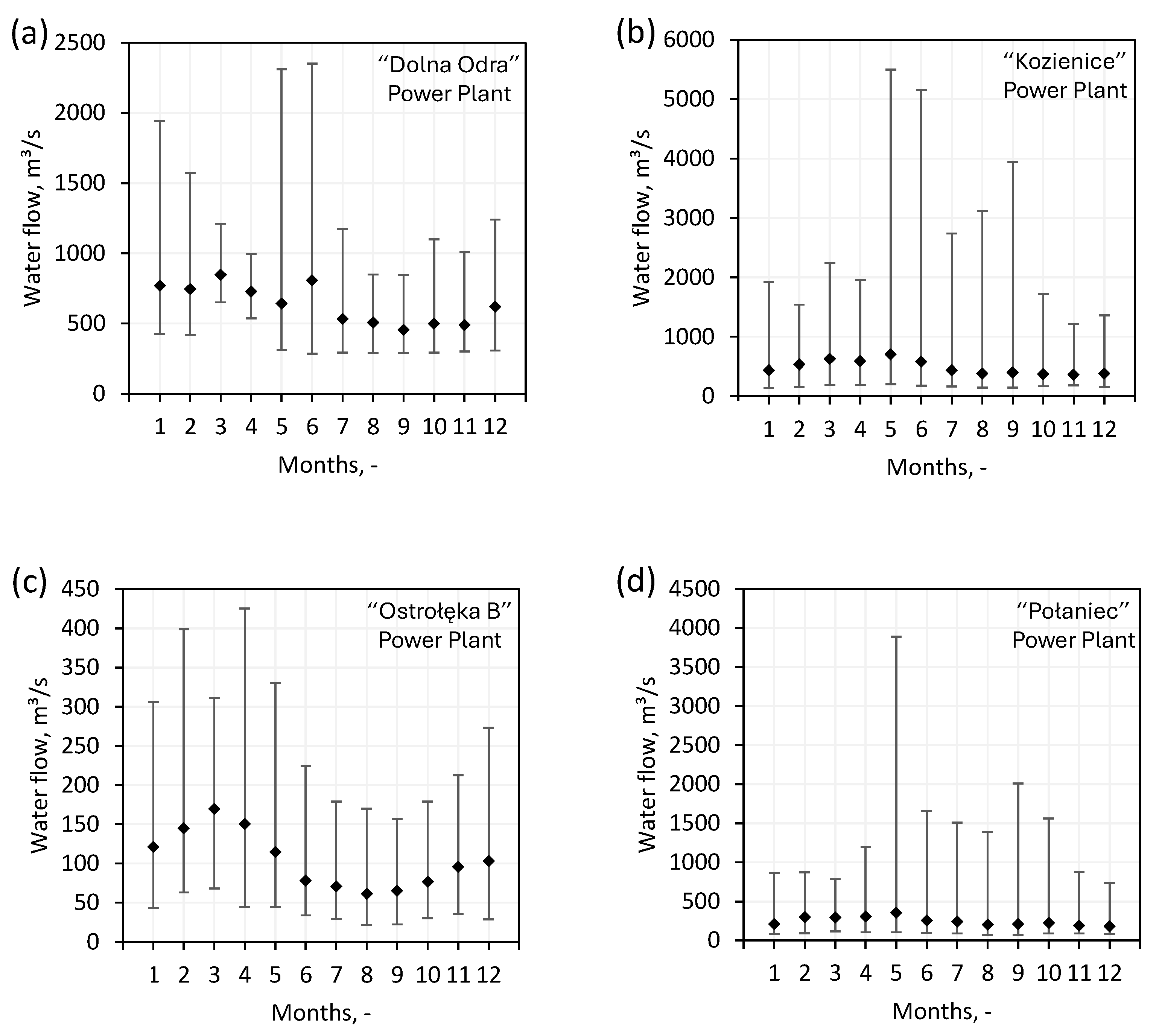
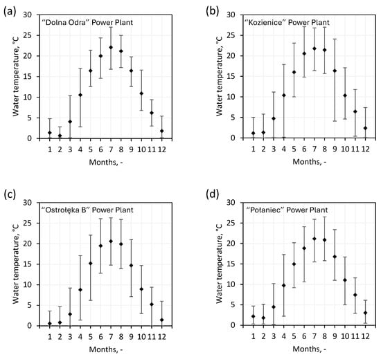
- “Dolna Odra” Power Plant
- “Kozienice” Power Plant
- “Ostrołęka B” Power Plant
- “Połaniec” Power Plant
2.4. Thermodynamic Model
3. Results
4. Conclusions
- Preliminary analyses recommend four Polish coal-fired power plant sites –“Dolna Odra” (900 MWe), “Kozienice” (1800 MWe), “Ostrołęka B” (690 MWe), and “Połaniec” (1899 MWe) – for further investigation of repowering potential. The plants are located on three different rivers and use an open cooling system.
- The AP1000 nuclear reactor, with the lowest net electrical power among the nuclear technologies considered, appears to be the most suitable from the perspective of the Polish power system, which is dominated by coal-fired units of the 200 MWe class and an increasing penetration by renewable energy sources.
- Hydrological conditions at the investigated sites were estimated on the basis of measured data for the period from 2010–2023. The river used by the “Ostrołęka B” plant is characterised by low water flow, which excludes it from consideration for the construction of a high-capacity nuclear power plant. For this site, studies on the implementation of SMR technology are recommended.
- The largest amount of cooling water is available at the “Dolna Odra” site, which makes it possible to build more than one nuclear unit with an open cooling system. In fact, the Dolna Odra plant is located close to the German border, which could significantly hinder the implementation of the investment due to the need to obtain approval from neighbouring countries.
- Considering the variable temperature of the condenser cooling water and the legal restrictions on the maximum temperature of the discharge water, the potential operating characteristics of a nuclear power plant at the selected site are derived. It was shown that an AP1000 reactor built at the “Kozienice” power plant site would use up to 55% of the available river water during the summer period. The net electrical output per year would vary between 1143 MWe and 1225 MWe, assuming a constant nuclear reactor power output.
Author Contributions
Funding
Data Availability Statement
Acknowledgments
Conflicts of Interest
References
- European Network of Transmission System Operators for Electricity. Available online: https://transparency.entsoe.eu/ (accessed on 10 June 2024).
- Public Net Electricity Generation in Poland. Available online: https://energy-charts.info/ (accessed on 10 June 2024).
- Rusin, A.; Wojaczek, A. Changes in the Structure of the Polish Energy Mix in the Transition Period to Ensure the Safety and Reliability of Energy Supplies. Energy 2023, 282, 128831. [Google Scholar] [CrossRef]
- Energy Policy of Poland until 2040; Ministry of Climate and Environment: Warsaw, Poland, 2021. Available online: https://www.gov.pl/ (accessed on 10 June 2024).
- Saha, S.; Saleem, M.I.; Roy, T.K. Impact of High Penetration of Renewable Energy Sources on Grid Frequency Behaviour. Int. J. Electr. Power Energy Syst. 2023, 145, 108701. [Google Scholar] [CrossRef]
- Shair, J.; Li, H.; Hu, J.; Xie, X. Power System Stability Issues, Classifications and Research Prospects in the Context of High-Penetration of Renewables and Power Electronics. Renew. Sustain. Energy Rev. 2021, 145, 111111. [Google Scholar] [CrossRef]
- Haes Alhelou, H.; Mirjalili, S.J.; Zamani, R.; Siano, P. Assessing the Optimal Generation Technology Mix Determination Considering Demand Response and EVs. Int. J. Electr. Power Energy Syst. 2020, 119, 105871. [Google Scholar] [CrossRef]
- Lynch, A.; Perez, Y.; Gabriel, S.; Mathonniere, G. Nuclear Fleet Flexibility: Modeling and Impacts on Power Systems with Renewable Energy. Appl. Energy 2022, 314, 118903. [Google Scholar] [CrossRef]
- Cany, C.; Mansilla, C.; Mathonnière, G.; Da Costa, P. Nuclear Contribution to the Penetration of Variable Renewable Energy Sources in a French Decarbonised Power Mix. Energy 2018, 150, 544–555. [Google Scholar] [CrossRef]
- Bartela, Ł.; Gładysz, P.; Ochmann, J.; Qvist, S.; Sancho, L.M. Repowering a Coal Power Unit with Small Modular Reactors and Thermal Energy Storage. Energies 2022, 15, 5830. [Google Scholar] [CrossRef]
- Kosman, W.; Rusin, A.; Reichel, P. Application of an Energy Storage System with Molten Salt to a Steam Turbine Cycle to Decrease the Minimal Acceptable Load. Energy 2023, 266, 126480. [Google Scholar] [CrossRef]
- Kosman, W.; Rusin, A. The Application of Molten Salt Energy Storage to Advance the Transition from Coal to Green Energy Power Systems. Energies 2020, 13, 2222. [Google Scholar] [CrossRef]
- Power Reactor Information System. International Atomic Energy Agency. Available online: https://www.iaea.org/ (accessed on 10 June 2024).
- Lazard’s Levelized Cost of Energy Analysis—Version 16.0; Lazard: USA, 2023; Available online: https://www.lazard.com/ (accessed on 10 June 2024).
- Van Zalk, J.; Behrens, P. The Spatial Extent of Renewable and Non-Renewable Power Generation: A Review and Meta-Analysis of Power Densities and Their Application in the U.S. Energy Policy 2018, 123, 83–91. [Google Scholar] [CrossRef]
- Mari, C. Hedging Electricity Price Volatility Using Nuclear Power. Appl. Energy 2014, 113, 615–621. [Google Scholar] [CrossRef]
- Unlocking Reductions in the Construction Costs of Nuclear: A Practical Guide for Stakeholders; Nuclear Technology Development and Economics; OECD: Paris, France, 2020; Available online: https://www.oecd-nea.org/ (accessed on 10 June 2024).
- Investigating Benefits and Challenges of Converting Retiring Coal Plants into Nuclear Plants; U.S. Department of Energy: Germantown, MD, USA, 2022. Available online: https://fuelcycleoptions.inl.gov/ (accessed on 10 June 2024).
- Łukowicz, H.; Bartela, Ł.; Gładysz, P.; Qvist, S. Repowering a Coal Power Plant Steam Cycle Using Modular Light-Water Reactor Technology. Energies 2023, 16, 3083. [Google Scholar] [CrossRef]
- Griffith, G. Transitioning Coal Power Plants to Nuclear Power; Idaho National Lab.(INL): Idaho Falls, ID, USA, 2021; p. 1843924. [Google Scholar]
- Qvist, S.; Gładysz, P.; Bartela, Ł.; Sowiżdżał, A. Retrofit Decarbonization of Coal Power Plants—A Case Study for Poland. Energies 2020, 14, 120. [Google Scholar] [CrossRef]
- Nian, V. Technology Perspectives from 1950 to 2100 and Policy Implications for the Global Nuclear Power Industry. Prog. Nucl. Energy 2018, 105, 83–98. [Google Scholar] [CrossRef]
- World Nuclear News China’s Demonstration HTR-PM Enters Commercial Operation. Available online: https://world-nuclear-news.org/ (accessed on 10 June 2024).
- Abdussami, M.R.; Daley, K.; Hoelzle, G.; Verma, A. Investigation of Potential Sites for Coal-to-Nuclear Energy Transitions in the United States. Energy Rep. 2024, 11, 5383–5399. [Google Scholar] [CrossRef]
- Plan of Decarbonisation of the Domestic Power Industry through Modernization with the Use of Nuclear Reactors. Available online: https://projektdesire.pl/ (accessed on 10 June 2024).
- Chmielewska-Śmietanko, D.K.; Miśkiewicz, A.; Smoliński, T.; Zakrzewska-Kołtuniewicz, G.; Chmielewski, A.G. Selected Legal and Safety Aspects of the “Coal-To-Nuclear” Strategy in Poland. Energies 2024, 17, 1128. [Google Scholar] [CrossRef]
- Bartela, Ł.; Gładysz, P.; Andreades, C.; Qvist, S.; Zdeb, J. Techno-Economic Assessment of Coal-Fired Power Unit Decarbonization Retrofit with KP-FHR Small Modular Reactors. Energies 2021, 14, 2557. [Google Scholar] [CrossRef]
- Haneklaus, N.; Qvist, S.; Gładysz, P.; Bartela, Ł. Why Coal-Fired Power Plants Should Get Nuclear-Ready. Energy 2023, 280, 128169. [Google Scholar] [CrossRef]
- Cho, J.-O.; Lee, J.I.; Qvist, S. Global Residual Demand Analysis in a Deep Variable Renewable Energy Penetration Scenario for Replacing Coal: A Study of 42 Countries. Energies 2024, 17, 1480. [Google Scholar] [CrossRef]
- Ahmad, R.; Abbas, A.; Jufei, W.; Hua, L.; Sultan, M.; Li, B.; Nyambura, S.M.; Xingjia, P. Experimental and Comparative Study of Chinese Commercial Improved Coal-Fired Cooking and Space-Heating Stoves. Environ. Sci. Pollut. Res. 2021, 28, 58135–58141. [Google Scholar] [CrossRef]
- Ahmad, R.; Zhou, Y.; Liang, C.; Li, G.; Zhao, N.; Abbas, A.; Yu, F.; Li, L.; Gong, J.; Wang, D.; et al. Comparative Evaluation of Thermal and Emission Performances for Improved Commercial Coal-Fired Stoves in China. RSC Adv. 2022, 12, 20886–20896. [Google Scholar] [CrossRef] [PubMed]
- Ren, Y.; Li, G.; Wang, H.; Bie, Z. China’s Zero-Coal Power System Future. Int. J. Electr. Power Energy Syst. 2024, 156, 109748. [Google Scholar] [CrossRef]
- Maheen, R.; Cai, L.; Zhang, Y.S.; Zhao, M. Quantitative Analysis of Carbon Dioxide Emission Reduction Pathways: Towards Carbon Neutrality in China’s Power Sector. Carbon Capture Sci. Technol. 2023, 7, 100112. [Google Scholar] [CrossRef]
- Xu, S.; Lu, Y.H.M.; Mutailipu, M.; Yan, K.; Zhang, Y.; Qvist, S. Repowering Coal Power in China by Nuclear Energy—Implementation Strategy and Potential. Energies 2022, 15, 1072. [Google Scholar] [CrossRef]
- Luo, B.; Zhang, L.; Li, W.; Zhu, X.; Ye, Y.; Su, Y. Study on Conventional Island Retrofit Strategies for Converting Coal-Fired Power Plants to Nuclear Power Stations in China. Energies 2024, 17, 2912. [Google Scholar] [CrossRef]
- Stakeholder Guidebook for Coal-to-Nuclear Conversions; U.S. Department of Energy: Germantown, MD, USA, 2024. Available online: https://fuelcycleoptions.inl.gov/SiteAssets/SitePages/Home/C2N_Guidebook_2024.pdf (accessed on 10 June 2024).
- The Economic Impact of the Nuclear Industry in the Southeast United States; E4 Carolinas: Charlotte, NC, USA, 2024; Available online: https://www.usnic.org/ (accessed on 10 June 2024).
- Stosunek Do Energetyki Jądrowej; CBOS: Warsaw, Poland, 2021; Available online: https://www.cbos.pl/SPISKOM.POL/2021/K_069_21.PDF (accessed on 10 June 2024).
- Wzrost Poparcia Społecznego Dla Rozwoju Energetyki Jądrowej w Polsce; CBOS: Warsaw, Poland, 2022; Available online: https://www.cbos.pl/PL/publikacje/news/newsletter_ver3.php?news_r=2022&news_nr=38 (accessed on 10 June 2024).
- Smolinski, P.R.; Januszewicz, J.; Pawlowska, B.; Winiarski, J. Nuclear Energy Acceptance in Poland: From Societal Attitudes to Effective Policy Strategies—Network Modeling Approach. arXiv 2023. [Google Scholar] [CrossRef]
- Kartono, D.T.; Hastjarjo, S.; Sajidan; Effendi, B.S.; Ashari, D.K.; Wijayanto, P.K.; Saraswati, Z.N.; Christy, A.Y. Acceptable Level of Acceptance and the Affecting Factors: What Is the Acceptable Public Acceptance of Building a Nuclear Power Plant. Sci. Technol. Nucl. Install. 2023, 2023, 8923578. [Google Scholar] [CrossRef]
- Advanced Passive PWR (AP 1000); IAEA: Vienna, Austria, 2011; Available online: https://aris.iaea.org/PDF/AP1000.pdf (accessed on 10 June 2024).
- Olatubosun, S.A.; Ayodeji, A.; Amidu, M.A. Safety Assessment of AP1000: Common Transients, Analysis Codes and Research Gaps. Nucl. Eng. Des. 2021, 375, 111100. [Google Scholar] [CrossRef]
- Yu, Y.; Feng, W.; Liu, G.; Niu, F.; Dong, Y.; Yu, K. Analysis of Climatic Conditions Effect on Passive Containment Cooling System Reliability in AP1000 for Multi-Unit Nuclear Power Plant Site. Prog. Nucl. Energy 2024, 170, 105129. [Google Scholar] [CrossRef]
- Wang, X.; Wang, D.; Zhang, Y.; Wu, C. Research on the Impact Effect of AP1000 Shield Building Subjected to Large Commercial Aircraft. Nucl. Eng. Technol. 2021, 53, 1686–1704. [Google Scholar] [CrossRef]
- Xu, Q.; Chen, J.; Zhang, C.; Li, J.; Zhao, C. Dynamic Analysis of AP1000 Shield Building Considering Fluid and Structure Interaction Effects. Nucl. Eng. Technol. 2016, 48, 246–258. [Google Scholar] [CrossRef]
- Advanced Power Reactor 1400 MWe (APR1400); IAEA: Vienna, Austria, 2011; Available online: https://aris.iaea.org/PDF/APR1400.pdf (accessed on 10 June 2024).
- Amuda, K.F.; Field, R.M. Nuclear Heat Storage and Recovery for the APR1400. J. Energy Storage 2020, 28, 101171. [Google Scholar] [CrossRef]
- Kluba, A.M.; Field, R.M. Control System Considerations for APR1400 Integrated with Thermal Energy Storage; Transactions of the Korean Nuclear Society Autumn Meeting; Korea Nuclear Society: Goyang, Republic of Korea, 2019; Available online: https://www.kns.org/ (accessed on 10 June 2024).
- Ochmann, J.; Rusin, K.; Rulik, S.; Waniczek, S.; Bartela, Ł. Experimental and Computational Analysis of Packed-Bed Thermal Energy Storage Tank Designed for Adiabatic Compressed Air Energy Storage System. Appl. Therm. Eng. 2022, 213, 118750. [Google Scholar] [CrossRef]
- Leverenz, R.; Gerhard, L. The European Pressurized Water Reactor: A Safe and Competitive Solution for Future Energy Needs; Nuclear Society of Slovenia: Ljubljana, Slovenia, 2004; Available online: https://inis.iaea.org/ (accessed on 10 June 2024).
- Fischer, M. The Severe Accident Mitigation Concept and the Design Measures for Core Melt Retention of the European Pressurized Reactor (EPR). Nucl. Eng. Des. 2004, 230, 169–180. [Google Scholar] [CrossRef]
- Baumann, E.; Terry, I.R. The EPR: A Clear Step Forward in Dose Reduction and Radiation Protection. Nucl. Eng. Des. 2006, 236, 1720–1727. [Google Scholar] [CrossRef]
- Fernández-Arias, P.; Vergara, D.; Orosa, J.A. A Global Review of PWR Nuclear Power Plants. Appl. Sci. 2020, 10, 4434. [Google Scholar] [CrossRef]
- Deklaracja Środowiskowa Wg Rozporządzenia EMAS; PGE GiEK S.A. Oddział Elektrownia Dolna Odra: Nowe Czarnowo, Poland, 2023; Available online: https://zedolnaodra.pgegiek.pl/ (accessed on 10 June 2024).
- Sprawozdanie Zarządu z Działalności ENEA, S.A. Sprawozdanie Zarządu z Działalności ENEA S.A. Oraz Grupy Kapitałowej ENEA w 2023 r; Grupa Kapitałowa ENEA: Poznań, Poland, 2024; Available online: https://ir.enea.pl/ (accessed on 10 June 2024).
- Raport ESG Grupy Energa Za 2023 r. Sprawozdanie Na Temat Informacji Niefinansowych; Grupa ENERGA: Gdańsk, Poland, 2024; Available online: https://grupa.energa.pl/ (accessed on 10 June 2024).
- Instytut Meteorologii i Gospodarki Wodnej. Available online: https://danepubliczne.imgw.pl/ (accessed on 10 June 2024).
- Literature Review of Advanced Reactor Cost Estimates; Idaho National Laboratory: Idaho Falls, ID, USA,, 2023. Available online: https://inldigitallibrary.inl.gov/ (accessed on 10 June 2024).





| Parameter | AP1000 | APR1400 | EPR1600 |
|---|---|---|---|
| Gross electrical power , MWe | 1200 | 1455 | 1770 |
| Thermal reactor power , MWth | 3400 | 3983 | 4590 |
| Net electric efficiency , % | 32.0 | 35.1 | 36.0 |
| Declared power availability, % | >93 | >90 | >92 |
| Planned lifetime, years | 60 | 60 | 60 |
| Fuel cycle, months | 18 | 18 | 24 |
| Steam pressure, MPa | 5.76 | 6.90 | 7.72 |
| Parameter | “Dolna Odra” Power Plant | “Kozienice” Power Plant | “Ostrołęka B” Power Plant | “Połaniec” Power Plant |
|---|---|---|---|---|
| Average water temperature, °C | 11.25 | 11.14 | 9.91 | 11.16 |
| Average water flow, m3/s | 636.34 | 483.34 | 95.72 | 249.31 |
| Maximum water temperature, °C | 27.0 | 27.1 | 26.3 | 26.5 |
| Minimum water flow, m3/s | 284.0 | 132.0 | 20.5 | 72.0 |
| Power Plant | Cooling Water Demand, m3/(s·MW) |
|---|---|
| Dolna Odra | 0.0198 |
| Kozienice + Połaniec | 0.0163 |
| Ostrołęka B | 0.0150 |
| AP1000 | 0.0272 |
| APR1400 | 0.0269 |
| EPR1600 | 0.0255 |
| Water Flow Demand for Nuclear Power Units, m3/s | ||||
|---|---|---|---|---|
| AP1000 | APR1400 | EPR1600 | ||
| 35.80 m3/s | 41.73 m3/s | 43.93 m3/s | ||
| Power plant | Annual average river flow, m3/s | Degree of water use in the river for the needs of the nuclear power units, % | ||
| Dolna Odra | 636.34 | 5.63 | 6.56 | 6.9 |
| Kozienice | 483.34 | 7.41 | 8.64 | 9.09 |
| Ostrołęka B | 95.72 | 37.29 | 43.48 | 45.77 |
| Połaniec | 249.31 | 14.37 | 16.75 | 17.64 |
| Water Flow Demand for Nuclear Power Units, m3/s | ||||
|---|---|---|---|---|
| AP1000 | APR1400 | EPR1600 | ||
| 35.80 m3/s | 41.73 m3/s | 43.93 m3/s | ||
| Power plant | Minimum river flow, m3/s | Degree of water use in the river for the needs of the nuclear power units, % | ||
| Dolna Odra | 284.00 | 12.62 | 14.71 | 15.49 |
| Kozienice | 132.00 | 27.14 | 31.65 | 33.31 |
| Ostrołęka B | 20.50 | 174.16 | 203.02 | 213.74 |
| Połaniec | 72.00 | 49.77 | 58.02 | 61.08 |
| Nuclear Unit Gross Power Output, MWe | ||||
|---|---|---|---|---|
| AP1000 | APR1400 | EPR1600 | ||
| 1312 | 1546 | 1724 | ||
| Power plant | Coal-fired gross power output, MWe | Gross replacement rate of electrical power, - | ||
| Dolna Odra | 900 | 1.45 | 1.71 | 1.91 |
| Kozienice | 1800 | 0.72 | 0.85 | 0.95 |
| Ostrołęka B | 690 | 1.90 | 2.25 | 2.50 |
| Połaniec | 1899 | 0.69 | 0.81 | 0.90 |
Disclaimer/Publisher’s Note: The statements, opinions and data contained in all publications are solely those of the individual author(s) and contributor(s) and not of MDPI and/or the editor(s). MDPI and/or the editor(s) disclaim responsibility for any injury to people or property resulting from any ideas, methods, instructions or products referred to in the content. |
© 2024 by the authors. Licensee MDPI, Basel, Switzerland. This article is an open access article distributed under the terms and conditions of the Creative Commons Attribution (CC BY) license (https://creativecommons.org/licenses/by/4.0/).
Share and Cite
Ochmann, J.; Niewiński, G.; Łukowicz, H.; Bartela, Ł. Potential for Repowering Inland Coal-Fired Power Plants Using Nuclear Reactors According to the Coal-to-Nuclear Concept. Energies 2024, 17, 3545. https://doi.org/10.3390/en17143545
Ochmann J, Niewiński G, Łukowicz H, Bartela Ł. Potential for Repowering Inland Coal-Fired Power Plants Using Nuclear Reactors According to the Coal-to-Nuclear Concept. Energies. 2024; 17(14):3545. https://doi.org/10.3390/en17143545
Chicago/Turabian StyleOchmann, Jakub, Grzegorz Niewiński, Henryk Łukowicz, and Łukasz Bartela. 2024. "Potential for Repowering Inland Coal-Fired Power Plants Using Nuclear Reactors According to the Coal-to-Nuclear Concept" Energies 17, no. 14: 3545. https://doi.org/10.3390/en17143545
APA StyleOchmann, J., Niewiński, G., Łukowicz, H., & Bartela, Ł. (2024). Potential for Repowering Inland Coal-Fired Power Plants Using Nuclear Reactors According to the Coal-to-Nuclear Concept. Energies, 17(14), 3545. https://doi.org/10.3390/en17143545

