1. Introduction
The aerospace engine was a key technology for space exploration and had significant impacts on technological progress, national security, and economic development. In the 1950s, Arthur Nicholls at the University of Michigan firstly proposed the theory of the detonation engine. As an advanced power device based on the principle of detonation combustion, it utilized high-temperature, high-pressure gas generated by pulse/continuous rotating detonation waves to produce thrust. Detonation engines could be divided into pulse detonation engines (PDEs), rotary detonation engines (RDEs), and oblique detonation engines (ODEs) depending on the implementation method [
1]. Specifically, RDEs mainly consisted of an injector and an annular combustion chamber. The propellant was injected from the closed end of the combustion chamber, generating one or more rotating detonation waves at the head of the combustion chamber. The combustion products were expelled at high speed from the other end, thereby generating thrusts [
2]. Current research on rotary detonation focused on gaseous fuels and gas–liquid biphasic fuels, with progress mainly made in aspects such as injection mixing, ignition initiation, the propagation modes of detonation waves in the combustion chamber, and the instability of detonation waves. However, the rotation detonation of gaseous fuels could lead to instability of the rotating detonation wave due to issues such as pressure backflow, while the pre-ignition phenomenon in the mixing layer of gas–liquid biphasic fuels and the deflagration during the detonation process could lead to problems such as the uneven mixing of gas–liquid biphasic fuels, an unstable combustion speed, and reduced thermal efficiency. However, research on hypergolic propellant RDEs was not comprehensively reported. Combustion based on hypergolic propellants is an ideal propulsion method for large satellites and rapid maneuvering, as it allowed for the separate storage of oxidizers and fuels. Common oxidizers included nitrate chemicals like dinitrogen tetroxide (NTO) and nitric acid; typical fuels were hydrazine-based, like monomethyl hydrazine (MMH) and unsymmetrical dimethylhydrazine (UDMH). These propellants could be stored for a long time on the ground and in space and had self-igniting properties, so they were widely used in aerospace propulsion systems.
Currently, Purdue University, the University of California Los Angeles (UCLA), and the Xi’an Aerospace Propulsion Institute are conducting experimental research in the field of autoignition propellant rotating detonation engines. W.S. Anderson et al. [
3] developed and successfully tested a prototype autoignition rotating detonation engine using a combination of hydrogen peroxide (approximately 95% concentration) and triglyme. Stephen W. Kubicki et al. [
4] used a mixture of hydrogen peroxide and triglyme as the propellant, successfully completing five ignition experiments on a 3.7-inch diameter, 3.6-inch-long liquid–liquid autoignition RDE. Yan Yu et al. [
5] conducted combustion experiments in an annular combustion chamber with an inner diameter of 30 mm and an outer diameter of 60 mm, using monomethylhydrazine as the fuel and nitrogen tetroxide as the oxidizer. They found that autoignition propellants could organize rotating detonation combustion, with an average propagation speed of 1384 m/s. Anderson et al. [
3] discovered that, after multiple high-temperature combustions, the outer cavity wall of the autoignition propellant RDE showed significant roughness and pitting damages, and each injector’s components were damaged. This was mainly due to the backflow of the autoignition propellant, which led to autoignition at the injector nozzle. Douglas et al. [
6], by investigating the effect of the intake on the filling area and performance of the RDE, found that the back pressure generated by the detonation wave was higher than the filling pressure, leading to propellant backflow. These studies not only demonstrated the feasibility of using autoignition fuels and oxidizers as propellants for RDEs but also revealed a key issue: the high-pressure area behind the detonation wave may have allowed high-temperature gases to enter the injector manifold, causing propellant backflow in the manifold and difficulty in achieving injection balance [
7]. This ultimately led to issues of combustion instability and engine damage.
K. Goto et al. [
8] pointed out that the high pressure generated after detonation could cause backflow, potentially leading to partial blockage in the injector area and thereby affecting the effective injection area of the engine. Ionio Q. Andrus et al. [
9] noted that an increase in detonation pressure might have caused some backflow into the injector column, not only affecting the efficiency of the fuel and oxidizer injections into the combustion chamber, but also potentially causing explosions due to backflow, thus destroying the engine. H. F. Celebi et al. [
10], by using water as the working fluid and ethylene–oxygen to generate detonation waves, conducted 846 experiments to study the refill time and backflow distance of nine different injector geometries. Their research showed that stronger detonation led to a longer propagation distance of gas backflow. Conversely, due to the increased flow speed, the refill time for injectors became shorter, and higher feed pressure values were required for shorter injectors to mitigate backflow. Soma Nakagami et al. [
11] used a disc-shaped rotating detonation combustion chamber and a combustion chamber with a flat glass wall to observe the phenomenon of detonation waves. They found that, in each cycle, the following phenomenon occurred: after the passage of the detonation wave, the gas pressure increased, halting the injection of the fuel and oxidizer. Subsequently, the oxidizer refilled before the fuel and filled the combustion chamber; after this, the fuel was also reinjected, and a well-mixed region was reformed between the fresh ethylene and fresh oxygen areas. Vijay Anand et al. [
12] concluded from their experiments that the inconsistency in the recovery times of the fuel and oxidizer might be the fundamental reason for instability in RDE. This research was important for understanding and improving the performance of RDEs, providing new perspectives and possible solutions to the backflow problem.
To address the issue of propellant backflow caused by the high-pressure area following a detonation wave, integrating a check valve into the injector was shown to be an efficient design strategy. Jin-yuan Qian et al. [
13] conducted a CFD study on the flow of AL
2O
3–water nanofluid through micro-scale T45-R type Tesla valves. They analyzed forward and backward flows, examining the effects of nanofluid flow velocity, temperature, and nanoparticle volume fraction on fluid separation and pressure drop characteristics at the bifurcation section. Xingkui Yang et al. [
14,
15,
16] utilized kerosene and 28.5% oxygen-enriched air (at room temperature) as propellants to study the application of Tesla valves at the inlet of Rotating Detonation Combustion Chambers (RDC) and compared it with traditional injectors. Their results indicated that the Tesla RDC could effectively transit from the Longitudinal Pulse Detonation (LPD) mode to the Rotating Detonation (RD) mode, significantly expanding the operational range of RDC (by 300% and 94.7% at exit area ratios of 0.5 and 0.65, respectively). Furthermore, the study emphasized the critical role of bypass channels in expanding the operational range. Based on this, they designed an optimized Tesla Valve Inlet structure (TVI-II), primarily by enlarging the bypass route, and found that the operational ranges of TVI-I-RDE and TVI-II-RDE expanded by 183.3% and 700%, respectively. The TVI-II-RDE showed a superior performance in suppressing pressure feedback and reducing the backflow of combustion products. Through premixed combustion experiments, it was shown that RDEs equipped with Tesla valve inlets achieved an approximately 48.3% increase in thrust (with a maximum specific thrust of about 743 N·s·kg
−1) and a 36.8% reduction in fuel consumption rate (with a minimum fuel consumption rate of about 0.24 kg·(N·h)
−1). Alex R. Keller et al. [
17] studied the effectiveness of Tesla valves under dual liquid propellants through numerical simulations and cold flow experiments. They found that Tesla valves could reduce forward pressure loss while maintaining high resistance to backflow, which was crucial for improving propellant injection efficiency and reducing the backflow issue.
Current research shows that the anti-backflow design of injectors is crucial for enhancing the combustion efficiency of engines and reducing surface damage to injectors. Especially in hypergolic propellant rotary detonation engines, this design is particularly critical, as a high-pressure backflow can cause oxidizers or fuels to enter the opposite injection port under high pressure, leading to an explosion of the mixture. To address this challenge, this paper proposes an anti-backflow injector design that can be used in hypergolic propellant rotary detonation engines. This design can effectively prevent high-temperature products from entering the injection pipeline, thereby significantly improving the safety and performance of the engine.
The layout of this paper is as follows.
Section 2 provides a comprehensive description of the geometric model, mathematical model, and configurations of steady-state and transient simulations in numerical simulations.
Section 3 mainly focuses on the analysis and comparison of forward flow and backflow prevention performance parameters.
Section 4 provides an overall summary of the performance of the backflow prevention injector.
2. Numerical Simulation
2.1. Geometric Model
The Russian space program developed a liquid rocket coaxial swirl injector, which was notably implemented for the first time in the RD-0110 liquid oxygen (LOx)/kerosene engine (developed at KB Khimavtomatiki design bureau, a.k.a KBKhA in the city of Voronezh) of the Soyuz spacecraft’s third stage [
18], as shown in
Figure 1. In this design, the fuel and oxidizer primarily enter through 12 tangential holes into the fuel swirl chamber and the oxidizer swirl chamber, respectively. Notably, the oxidizer swirl chamber features a converging design, while the fuel swirl chamber has an open design. In this layout, the oxidizer swirl chamber slightly narrows, adopting an external mixing approach. Currently, there is a wealth of research on the coaxial swirl injector of the RD-0110 engine [
19,
20,
21,
22,
23,
24]. This paper is primarily based on the dimensions of the oxidizer swirl chamber in the RD-0110 coaxial swirl injector. To achieve the anti-backflow function, an expansion opening is set at the nozzle based on the principle of a one-way valve, allowing the liquid propellant to be injected through the gap between the valve core and the expansion opening. Considering the working characteristics of the rotating detonation engine, a novel concave valve core is designed to effectively prevent high-temperature products from backflowing into the injection pipeline over a short distance. The concave valve core combines the sealing advantages of a ball valve with the lower flow resistance of a cone valve.
This study focuses on a detailed analysis of four different structures of centrifugal injectors. Firstly, as a baseline model, the oxidizer injection model from the RD-0110 engine’s coaxial injector is utilized. Secondly, to further optimize the design, an expansion mouth model is introduced to improve the baseline model. An expansion mouth is added 4 mm from the injector outlet, exploring different expansion angles—5°, 10°, 15°, and 20°—to assess their impact on injection performance. Lastly, we propose an anti-recirculation model, which is a further innovation based on the expansion mouth model. This model includes key components such as a central guide rail, concave valve core, limiting screw, and springs. It is designed to enhance the efficiency of the injector while preventing the backflow of high-temperature products. This comprehensive approach aims to address the challenges in injector design and performance, particularly in the high-pressure, high-temperature environments typical of rocket engine operations.
The internal structure of the baseline model is specified as follows: the swirl chamber has a length of 10.4 mm and a diameter of 9 mm. It contains six tangential holes, each with a cross-sectional diameter of 1.7 mm, located 2 mm from the top cover; the contraction section angle is set at 45°; the equal diameter section has a length of 20.75 mm and a diameter of 5.4 mm, as shown in
Figure 2a. The main feature of the expansion mouth model is the addition of an expansion mouth at the outlet part of the equal diameter section. The research by Liu et al. [
25] showed that each 2° increase in the expansion angle of the injection port caused a change in liquid film thickness that was greater than the change caused by a 1 mm increase in nozzle diameter. Therefore, in this paper, the expansion mouth was designed with angles of 5°, 10°, 15°, and 20°, while other dimensions remained the same as in the baseline model, as drawn in
Figure 2b–e. The core design of the anti-recirculation model is the addition of a central guide rail at the top of the swirl chamber in the expansion mouth model. The central guide rail is equipped with a limiting screw at the outlet of the injector, mainly to prevent the concave valve core from falling off. A spring is placed between the limiting screw and the concave valve core, primarily aiming to maintain the parallelism of the concave valve core during the sliding process. The concave valve core is located below the spring, and its working principle is as follows: when the pressure inside the swirl chamber is greater than the external pressure, the concave valve core moves towards the outlet; on the contrary, when the external pressure is greater than the pressure in the swirl chamber, the concave valve core moves towards the interior of the swirl chamber, thus achieving the effect of preventing backflow, as shown in
Figure 2f,g.
2.2. Mathematical Model
In what follows, we use the Navier–Stokes equation (NS equation) as the core basis. In order to simplify the analysis process, we adopt the ideal fluid assumption proposed by Abramovich [
26]. Most liquids’ density changes very little within the common range of pressure variations, so they can be approximately considered as incompressible. While all real liquids have some viscosity, in many cases, the viscous forces are negligible compared to inertial and pressure forces. Therefore, ideal liquids are regarded as incompressible and inviscid media. On this basis, the dynamic viscosity μ of the fluid is set to zero. This simplification allows the Navier–Stokes equation to be transformed into the more compact Euler equation. Next, we further consider the one-dimensional model of fluid motion and assume that the flow along streamlines is stable. In this case, Bernoulli’s equation (see Equation (1)) is introduced to describe the dynamic behavior of the fluid.
where
represents the fluid velocity field,
denotes the pressure field,
is the density,
is the acceleration due to gravity, and
is the height of the fluid relative to a reference point.
Based on the continuity equation, the relationship for the inlet velocity can be derived (see Equation (2)).
where
represents the inlet velocity,
denotes the number of inlets,
indicates the cross-sectional area of the inlet, and
stands for the mass flow rate.
Reddy Ku et al. [
27] conducted a study on the geometric differences between conical swirl injectors and swirl injectors with tangential inlets, indicating that the main differences are the helix angle ‘
’, located in a vertical plane parallel to the xz plane, and the swirl angle ‘
’, as shown in
Figure 3. From this, the tangential velocity at the inlet can be obtained:
Assuming that the angular momentum and axial velocity are constant at the outlet cross-section, the tangential and axial velocities at the outlet can be expressed as follows:
where
represents the tangential velocity at the outlet,
denotes the tangential velocity at the inlet,
is the perpendicular distance from the circle center to the tangential empty shaft line at the inlet cross-section, and
refers to the radius of the air core at the outlet cross-section. When the liquid propellant enters the swirl chamber through the tangential port at a certain speed, it will rotate along the chamber wall under the action of centrifugal force, eventually forming a rotating conical liquid film at the nozzle outlet. Therefore, an air core, hereafter referred to as ‘gas eddy’, is formed in the center of the swirl chamber.
Herein, denotes the axial velocity at the outlet and represents the radius of the outlet.
According to Equation (6), the relationship between the pressure drop and the tangential and axial velocities at the outlet can be deduced:
The relationship between mass flow rate and total pressure drop is expressed through the discharge coefficient:
According to Equation (7), by grouping it into terms of the thin-film flow area coefficient
and applying the principle of maximum mass flow rate
, we can obtain the geometric parameter ‘
Ac’ for the conical pressure swirl atomizer, as shown in Equation (8) [
29]. However, when the inlet passages are tangentially distributed along the swirl chamber, the geometric parameter ‘
Ac’ can be simplified to ‘
A’
, as illustrated in Equation (9):
Kessaev K et al. [
30] represented the discharge coefficient and the spray half-angle using the mold flow coefficient ‘
φ’, as shown in Equations (10) and (11):
However, in actual flow, due to the viscosity of the liquid, it is necessary to consider the loss of angular momentum ‘K’ and hydraulic losses ‘
’
. After modifying the Bernoulli equation and equivalent discharge coefficient to account for these parameters, it can be represented by Equations (12) and (13) [
31]. Here, the hydraulic loss ‘
’ represents losses caused by the geometric shape of the inlet passage, which is a function of the inclination angle ‘
’
.
[
32] denotes losses due to fluid friction on the channel walls, related to the friction factor ‘
’
.
Finally, by applying Abramovich’s jet theory to actual flow (maximum flow), the equivalent constructive geometric parameter
by Kliachko can be derived [
33] (Equation (14)), from which the equivalent film flow coefficient ‘
’ is obtained. Consequently, the equivalent discharge coefficient
(Equation (15)) and the equivalent spray half-angle
(Equation (16)) can be determined [
31,
34].
2.3. Steady-State CFD Simulation
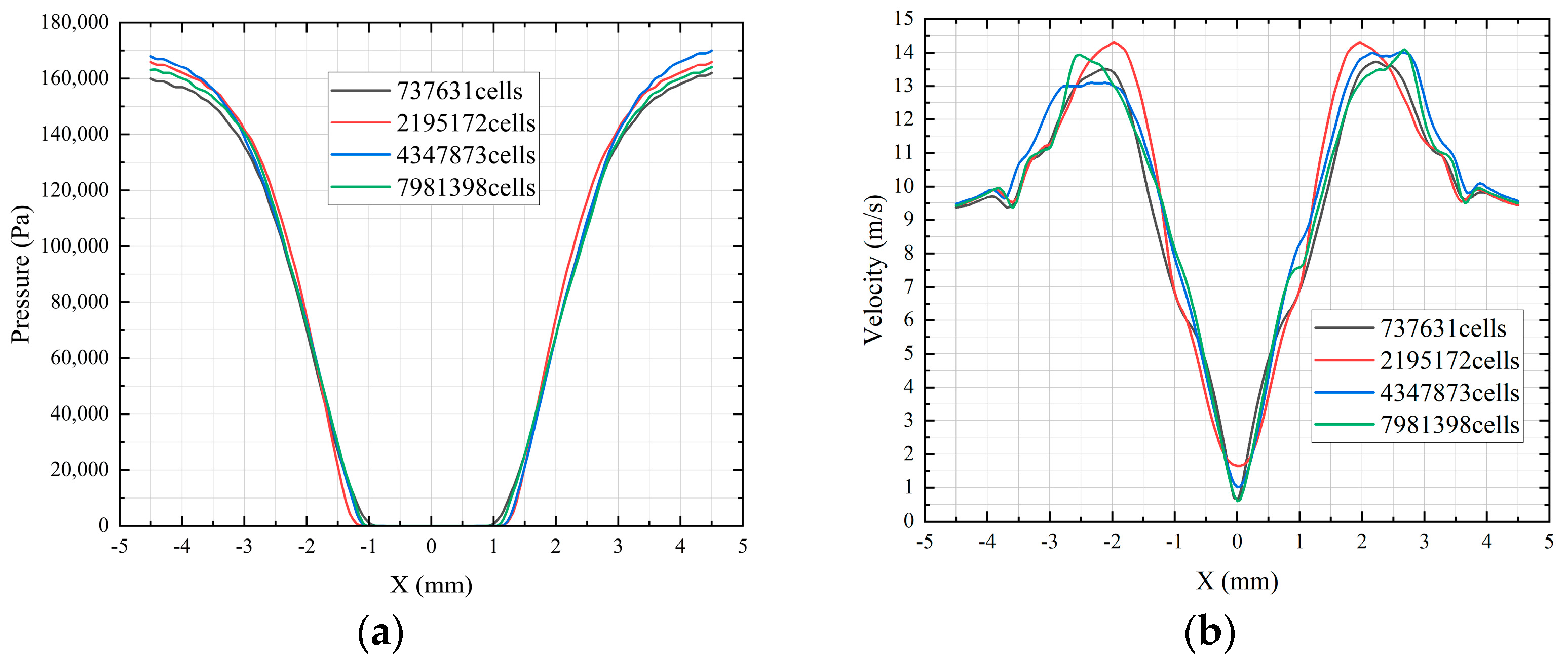
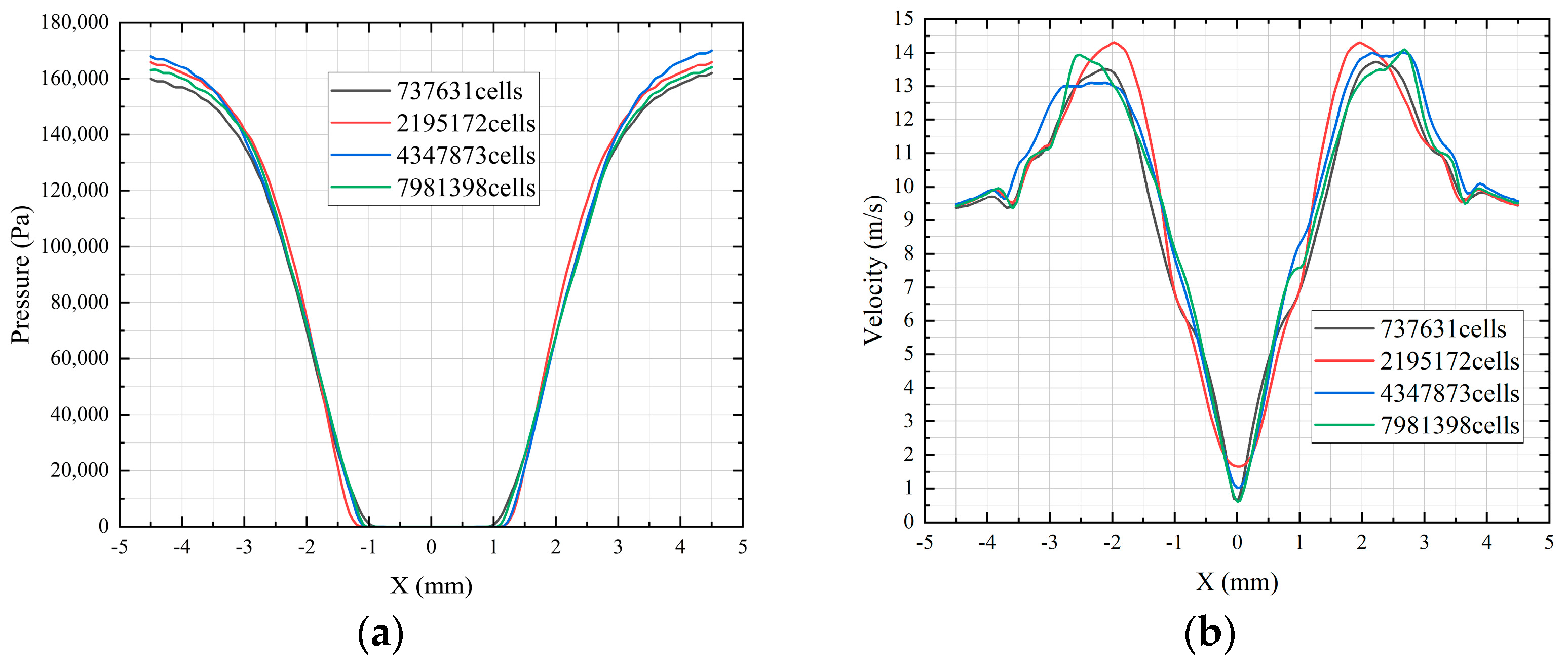
This paper’s numerical simulation is divided into two components, with the first part focusing on steady-state simulation. This aims to study the forward-flow characteristics of injectors without anti-backflow devices. The simulation work was carried out using the Volume of Fluid (VOF) multiphase flow model integrated in Fluent (2020R2) software. Since only the flow state in the anti-backflow injector needs to be considered, without considering combustion, in this model, air was set as the first phase and water as the second phase, satisfying the condition that the sum of the volume fraction of air and the volume fraction of water equals 1.The grid was primarily generated using Fluent meshing (2020R2) software, which combines the shared-node connection of hexahedral and polyhedral meshes, also supporting the division of boundary layer grids. Thus, layered Poly grids can be used near wall surfaces, pure Poly grids can be used in transitional areas, and hexahedral grids can be used in core areas, as shown in
Figure 4. This grid structure not only improves grid quality but also effectively reduces the total number of grids and the computation time. In this study, unstructured meshing techniques were used to create an initial mesh of 7.3 × 10
5, 2.19 × 10
6, 4.34 × 10
6 and 7.98 × 10
6 cells for grid independence verification. As shown in
Figure 5, the analysis of pressure and velocity distribution at the inlet cross-section revealed that consistent results were obtained in terms of in pressure and velocity distributions when the grid count reached 2.19 × 10
6, 4.34 × 10
6, and 7.98 × 10
6 cells. Considering computational efficiency, we ultimately selected 4.34 × 10
6 grid cells for subsequent simulation work. This approach ensures the accuracy of results while minimizing the demand on computational resources.
For grid independence, it is necessary to consider the non-dimensional wall distance
(Equation (17)). Based on this parameter, one can determine an approximately suitable region for resolving turbulent phenomena [
31].
where
represents the density of the liquid,
is the friction velocity,
is the height from the wall to the center point of the first layer of the grid, and
denotes the viscosity.
In this paper, the considered inlet velocity
ranged from 7.5 m/s to 13 m/s, with the hydraulic diameter
, which is the cross-sectional diameter of the tangential port. The Reynolds number
can be calculated using Equation (18):
Inserting the values of the Reynolds number into Equation (19) leads to an estimation of the wall friction coefficient
:
The wall friction coefficient can be inserted into Equation (20) to calculate the wall shear stress
:
Finally, inserting the wall shear stress into Equation (21) yields the friction velocity
:
To ensure the accuracy of the computational results, Fluent requires that
must be greater than 15; if
is less than 15, Fluent cannot guarantee the accuracy of the solution. Therefore, setting
to 30 allows for the derivation of the center height of the first layer of the grid through Equation (1) (
= 0.045 mm). However, when
is less than 11, the standard wall function cannot be used. Hence, this paper chose the ‘extended wall function’. The extended wall function is an extension of the standard wall function, as shown in Equation (22). Specifically, when
is less than 11.25, the value of
is calculated using 11.25; if
is greater than or equal to 11.25, the original value is used in calculations. Subsequently, the RNG model is employed to achieve convergence of this criterion.
In this formula, .
In the setup of the model, we defined the inlet condition as a velocity inlet, using turbulence intensity (I) and hydraulic diameter (Dh) as the primary parameters. The calculation of turbulence intensity follows Equation (23), with its trend illustrated in
Figure 6. Additionally, the phase fraction of water at the inlet was set to 1, indicating that the flow that entered the swirl chamber is entirely composed of water. A virtual numerical outlet was set 9 mm from the physical outlet. This outlet is defined as a pressure outlet, with no liquid backflow occurring. Such a setup allows us to accurately simulate the flow behavior inside the injector while maintaining physical realism, providing crucial data support for the design and optimization of the injector.
2.4. Transient CFD Simulation
In the second part of the numerical simulation, we used a transient model to simulate the backflow transient flow behavior of the injector under the influence of the high pressure generated by the combustion chamber. Due to the movement of the valve core involved in the backflow process, in order to make the simulation process more flexible, accurate, and stable, we used Fluent meshing software to automatically generate unstructured tetrahedral meshes. After a brief mesh study, we selected 1.35 × 10
6 grid cells for the subsequent transient simulation. The mesh is shown in
Figure 7. The core purpose of this part of the simulation is to assess the backflow phenomenon of the liquid propellant, as well as the dynamic interaction with the concave valve, when the anti-backflow injector faces pulse pressure changes in the combustion chamber. Prior to the transient simulation, a steady-state simulation of single-phase flow was first conducted, representing the normal forward flow state. In this phase, the pressure inlet condition was set to 300 Pa, while the pressure outlet condition was defined as 0 Pa, a no-slip boundary condition was applied to the injector walls, which were also assumed to have no surface roughness. An SST-
k-
ω turbulence model was applied and liquid water was used as the working fluid. Through the steady-state simulation, the pressure
of the combustion chamber was obtained. Subsequently, in the transient simulation, three different stiffness values for the injector were considered: 150%, 50%, and 20%. The definition of injector stiffness
IS is as follows [
17]:
In this formula, represents the pressure difference during the steady-state simulation, is the inlet pressure, and is the combustion chamber pressure in the chamber during the steady-state simulation.
The transient simulation of the anti-backflow injector was conducted using ANSYS (2020R2) Fluent, selecting a pressure-based solver and employing the multiphase flow VOF model for the transient simulation. Liquid water and air were used to represent the propellant and combustion gases, respectively. The inlet pressure values were set by changing the stiffness values, while the nominal chamber pressure and the pulse peak remained constant. The movement of the concave valve was implemented by dynamically re-meshing the grid in the moving mesh technology using a six degrees of freedom (six-DOF) model. The results of the steady-state simulation were used as the initial conditions for the transient simulation to represent the forward-flow state at the start of the simulation, reflecting the actual conditions before the occurrence of high-pressure pulses. Additionally, to simulate the spin chamber pressure response caused by a sudden increase in combustion chamber pressure, a basic step function was employed. Specifically, when high pressure occurred in the combustion chamber, the inlet pressure would increase by 30% [
18]. Alex R. Keller et al. [
17] summarized the study on manifold pressure variations at Purdue University and assumed an exponential decay function to simulate the high-pressure variations in the combustion chamber. In the model, a time-varying outlet boundary condition was set to simulate this pressure change, which was specifically adjusted to 10 µs [
18,
35,
36], and the pressure returned to its initial value at 110 µs. This was to replicate the pressure environment when a detonation wave passed through the injection outlet, as shown in
Figure 8.
The performance of the anti-backflow injector was evaluated by assessing the flow recovery time scale, as given in Equation (25).
In this formula, represents the refill time, represents the time when the mass flow rate begins to rise, and represents the time when the mass flow rate starts to decrease.
4. Conclusions
To confirm the stability of the rotary detonation engine during operation and prevent the high-pressure-induced backflow of high-temperature products into the spin chamber caused by detonation waves, this study implemented anti-backflow measures based on the principle of a one-way valve. The high-pressure zone at the detonation wavefront not only risks damaging the injector but also causes the injection timing between the oxidizer and propellant to become inconsistent, leading to uneven mixing and affecting the stable propagation of detonation waves. For hypergolic propellants, the backflow issue also carries additional safety risks. If the oxidizer or fuel flows back into the opposite manifold, it may trigger miniature explosions within the manifold, causing irreversible damage to the entire engine. Concerning these issues, this paper designed and installed an anti-backflow device based on traditional centrifugal injectors to address the aforementioned issues. Through computational fluid dynamics simulations, this study provides a detailed analysis of the recovery injection times of anti-backflow injectors with different expansion angles and compares them with basic models. This innovative design not only optimizes injector performance but also enhances the safety and efficiency of the overall engine system.
The study conducted forward-flow simulations of basic models with expansion angles of 5°, 10°, 15°, and 20° at various inlet velocities and performed an in-depth analysis of the gas eddy diameter at both the inlet and outlet cross-sections. The results indicate that the gas eddy diameter at the inlet cross-section gradually increases with the inlet velocity, but the range of variation is relatively stable, mainly distributed between 2.2 and 3 mm. Based on this discovery, the diameter of the central slide rail was designed to be 2.5 mm to accommodate this range of variation. As for the gas eddy diameter at the outlet cross-section, the study finds no significant correlation with the inlet velocity, and the diameter remains relatively stable. However, it increases along with the increase in the injection angle. Particularly, at an expansion angle of 5°, the gas eddy diameter at the outlet cross-section is smaller than the minimum diameter of the swirl chamber, indicating that adding an anti-backflow device while ensuring an efficient forward flow for the 5° expansion angle model is infeasible. Therefore, the final chosen anti-backflow expansion angles were 10°, 15°, and 20°. In the specific design, considering that the average gas eddy diameter at an expansion angle of 10° is 5.89 mm at different velocities, the maximum diameter of the concave valve was set to 5.89 mm. Similarly, for a 15° expansion angle, the maximum diameter of the concave valve was set to 6.6 mm; for a 20° expansion angle, it was set to 7.6 mm. This design aims to optimize the match between the gas eddy diameter and the anti-backflow device, ensuring an efficient flow performance while reducing the possibility of backflow.
The performance of anti-backflow injectors with three different expansion angles was thoroughly analyzed under various injection stiffness conditions by measuring the recovery injection time. The results indicate that in a high-injection-stiffness environment (150%), the anti-backflow models with 10°, 15°, and 20° expansion angles achieve significant speed increases in response time of 67 µs, 99 µs and 213 µs, respectively, compared to the basic models. When the injection stiffness is reduced to 50%, the corresponding speed increases are 207 µs, 210 µs and 207 µs, demonstrating the notable advantage of the anti-backflow models. However, when further reducing the injection stiffness to 20%, the anti-backflow injectors with 10° and 15° expansion angles show speed increases in response time of 41 µs and 96 µs, respectively, compared to the basic models. Notably, under the same conditions, the 20° expansion angle anti-backflow model exhibits a 216 µs slowdown compared to the basic model, suggesting that under certain conditions, anti-backflow models might face performance limitations. These findings are significant for a deeper understanding of the performance of anti-backflow injectors under different operational conditions and provide valuable data support for future design optimization.
The anti-backflow injector significantly outperforms the basic model in containing the backflow of high-temperature products. This study shows that introducing an anti-backflow design, without disturbing the forward flow, generally shortens the response time, thereby helping to reduce the impact of backflow. Numerical simulations further reveal that when the outlet pressure suddenly increases, the mass flow rate in the basic model suddenly increases. This phenomenon is due to the backflow of the already ejected propellant. In contrast, in models equipped with anti-backflow devices, the sudden increase in outlet pressure does not trigger a sudden increase in mass flow rate, indicating the effective prevention of propellant backflow. Therefore, it can be concluded that the anti-backflow injector performs better than the basic model in reducing the backflow of high-temperature products.
Under normal circumstances, anti-backflow injectors with expansion port angles of 10° and 15° exhibit excellent suppression effects on high-temperature products under both high and low injection stiffness conditions. When the injection stiffness is 150% and 50%, the anti-backflow injector with an expansion port angle of 20° also performs better than the basic model in reducing the backflow time of high-temperature products. However, when the injection stiffness drops to 20%, the response time of this model is 216 µs slower than that of the basic model, showing certain limitations. Through the present study, readers can better understand and optimize the design of anti-backflow injectors to meet higher engineering standards and application challenges.