Evaluation of Life Cycle CO2 Emissions for the LDR-50 Nuclear District Heating Reactor
Abstract
1. Introduction
2. Context
2.1. The Finnish Energy Sector
2.2. The LDR-50 Project
3. Materials and Methods
3.1. LCA Analysis
3.2. Inputs for the LCA Analysis of the LDR-50 Reactor
3.3. Environmental Impacts of Other Heating Options
4. Results
4.1. Climate Impacts of Heat Produced Using LDR-50
4.2. Comparison to Other Heating Options
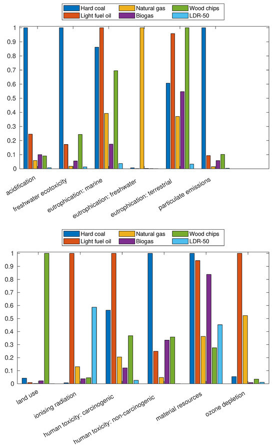
4.3. Other Life Cycle Environmental Impacts
5. Summary, Conclusions, and Discussion
Author Contributions
Funding
Data Availability Statement
Conflicts of Interest
References
- IPCC. 2023: Climate Change 2023: Synthesis Report. Contribution of Working Groups I, II and III to the Sixth Assessment Report of the Intergovernmental Panel on Climate Change; Core Writing Team, Lee, H., Romero, J., Eds.; IPCC: Geneva, Switzerland, 2023; pp. 35–115. [Google Scholar] [CrossRef]
- VTT 2023. LDR-50 District Heating Reactor. Available online: https://www.ldr-reactor.fi/en/1099-2/ (accessed on 2 April 2024).
- UNECE. Carbon Neutrality in the UNECE Region: Integrated Life-Cycle Assessment of Electricity Sources; Updated Report; United Nations Economic Commission for Europe: Geneve, Switzerland, 5 April 2022. [Google Scholar]
- Leurent, M.; Da Costa, P.; Jasser, F.; Rämä, M.; Persson, U. Cost and climate savings through nuclear district heating in a French urban area. Energy Policy 2018, 115, 616–630. [Google Scholar] [CrossRef]
- Leurent, M.; Da Costa, P.; Rämä, M.; Persson, U.; Jasser, F. Cost-benefit analysis of district heating systems using heat from nuclear plants in seven European countries. Energy 2018, 149, 454–472. [Google Scholar] [CrossRef]
- Abushamah, H.A.S.; Skoda, R. Nuclear energy for district cooling systems–Novel approach and its eco-environmental assessment method. Energy 2022, 250, 123824. [Google Scholar] [CrossRef]
- Teräsvirta, A.; Syri, S.; Hiltunen, P. Small nuclear reactor—Nordic district heating case study. Energies 2020, 13, 3782. [Google Scholar] [CrossRef]
- Lindroos, T.; Pursinheimo, E.; Tulkki, V. A techno-economic assessment of NuScale and DHR-400 reactors in a district heating and cooling grid. Energy Sources Part B Econ. Plan. Policy 2019, 14, 13–24. [Google Scholar] [CrossRef]
- Official Statistics of Finland (OSF): Greenhouse Gases [Online Publication]. Reference Period: 2022. Helsinki: Statistics Finland. Available online: https://stat.fi/en/publication/cl8a4c4tivtd00bvyvo6fy0sv (accessed on 6 March 2024).
- Energiateollisuus ry. Energiavuosi 2023: Sähkö. Available online: https://energia.fi/wp-content/uploads/2024/01/Sahkovuosi-2023_paivitetty.pdf (accessed on 11 January 2024). (In Finnish).
- Energiateollisuus ry. Energiavuosi 2023: Kaukolämpö. Available online: https://energia.fi/wp-content/uploads/2024/01/Kaukolampovuosi-2023_ennakkograafit-1.pdf (accessed on 25 January 2024). (In Finnish).
- Birdsey, R.; Duffy, P.; Smyth, C.; Kurz, W.A.; Dugan, A.J.; Houghton, R. Climate, economic, and environmental impacts of producing wood for bioenergy. Environ. Res. Lett. 2018, 13, 050201. [Google Scholar] [CrossRef]
- Natural Resources Institute Finland (Luke) 2023. Foreign Trade in Roundwood and Forest Industry Products by Country 2022 (Provisional). Available online: https://www.luke.fi/en/statistics/foreign-trade-in-roundwood-and-forest-industry-products/foreign-trade-in-roundwood-and-forest-industry-products-by-country-2022-provisional (accessed on 4 April 2024).
- Hellweg, S.; Milà, I.; Canals, L. Emerging approaches, challenges and opportunities in life cycle assessment. Science 2014, 344, 1109–1113. [Google Scholar] [CrossRef] [PubMed]
- ISO14040:2006; Environmental Management—Life Cycle Assessment—Principles and Framework. International Organization for Standardization: Geneva, Switzerland, 2006.
- ISO14044:2006; Environmental Management—Life Cycle Assessment—Requirements and Guidelines. International Organization for Standardization: Geneva, Switzerland, 2006.
- World Resources Institute Greenhouse Gas Protocol. Available online: https://ghgprotocol.org/about-wri-wbcsd (accessed on 2 April 2024).
- Goedkoop, M.J.; Oele, M.; Leijting, J.; Ponsioen, T.; Meijer, E. Introduction to LCA with SimaPro. Report Version: 5.2. 2016. Available online: https://support.simapro.com/s/article/Introduction-to-LCA (accessed on 3 June 2024).
- Sphera Solutions. GaBi Database. Available online: https://sphera.com/life-cycle-assessment-lca-software/ (accessed on 3 June 2024).
- Herrmann, I.T.; Moltesen, A. Does it matter which Life Cycle Assessment (LCA) tool you choose?—A comparative assessment of SimaPro and GaBi. J. Clean. Prod. 2015, 86, 163–169. [Google Scholar] [CrossRef]
- Iswara, A.P.; Farahdiba, A.U.; Nadhifatin, E.N.; Pirade, F.; Andhikaputra, G.; Muflihah, I.; Boedisantoso, R. A comparative study of life cycle impact assessment using different software programs. Iop Conf. Ser. Earth Environ. Sci. 2020, 506, 012002. [Google Scholar] [CrossRef]
- SULCA—Sustainability Tool for Ecodesign, Footprint Calculations & LCA. Available online: https://www.simulationstore.com/?q=sulca (accessed on 2 April 2024).
- Ecoinvent Database. Available online: https://ecoinvent.org/database/ (accessed on 2 April 2024).
- Andreasi Bassi, S.; Biganzoli, F.; Ferrara, N.; Amadei, A.; Valente, A.; Sala, S.; Ardente, F. Updated Characterisation and Normalisation Factors for the Environmental Footprint 3.1 Method; Publications Office of the European Union: Luxembourg, 2023. [Google Scholar] [CrossRef]
- Sala, S.; Belylot, A.; Corrado, S.; Crenna, E.; Sanyé-Mengual, E.; Secchi, M. Indicators and Assessment of the Environmental Impact of EU Consumption; EUR 29648 EN; Publications Office of the European Union: Luxembourg, 2019; ISBN 978-92-79-99672-6. [Google Scholar] [CrossRef]
- Sokka, L.; Correia, S.; Koljonen, T. Lämmityspolttoaineiden tuotannon elinkaariset kasvihuonekaasupäästöt; VTT Technology; No. 336; VTT Technical Research Centre of Finland: Espoo, Finland, 2018. (In Finnish) [Google Scholar]
- Electricity Maps Website. Available online: https://app.electricitymaps.com (accessed on 2 April 2024).





| Parameter | LDR-50 | PWR 1 | Unit |
|---|---|---|---|
| Thermal power | 50 | 3000 | MWth |
| Efficiency of the plant | 95 | 34 | % |
| Annual utilization factor 2 | 75 | N/A | % |
| Life time of the plant | 60 | 60 | years |
| Fuel enrichment | 2.4 | 4.2 | wt-% 235U |
| Natural uranium per enriched uranium mass 3 | 4.4 | 8.1 | kgU (nat.)/kgU (enr.) |
| Separative work per enriched uranium mass 4 | 2.9 | 6.7 | SWU/kgU |
| Average discharge burnup | 18.5 | 42 | MWd/kgU |
| Country | Specific Emissions (gCO2eq/kWh) |
|---|---|
| Sweden | 25 |
| France | 53 |
| Finland 1 | 82 |
| Denmark | 149 |
| Estonia | 278 |
| Germany | 400 |
| Czechia | 500 |
| Poland | 794 |
Disclaimer/Publisher’s Note: The statements, opinions and data contained in all publications are solely those of the individual author(s) and contributor(s) and not of MDPI and/or the editor(s). MDPI and/or the editor(s) disclaim responsibility for any injury to people or property resulting from any ideas, methods, instructions or products referred to in the content. |
© 2024 by the authors. Licensee MDPI, Basel, Switzerland. This article is an open access article distributed under the terms and conditions of the Creative Commons Attribution (CC BY) license (https://creativecommons.org/licenses/by/4.0/).
Share and Cite
Sokka, L.; Kirppu, H.; Leppänen, J. Evaluation of Life Cycle CO2 Emissions for the LDR-50 Nuclear District Heating Reactor. Energies 2024, 17, 3250. https://doi.org/10.3390/en17133250
Sokka L, Kirppu H, Leppänen J. Evaluation of Life Cycle CO2 Emissions for the LDR-50 Nuclear District Heating Reactor. Energies. 2024; 17(13):3250. https://doi.org/10.3390/en17133250
Chicago/Turabian StyleSokka, Laura, Heidi Kirppu, and Jaakko Leppänen. 2024. "Evaluation of Life Cycle CO2 Emissions for the LDR-50 Nuclear District Heating Reactor" Energies 17, no. 13: 3250. https://doi.org/10.3390/en17133250
APA StyleSokka, L., Kirppu, H., & Leppänen, J. (2024). Evaluation of Life Cycle CO2 Emissions for the LDR-50 Nuclear District Heating Reactor. Energies, 17(13), 3250. https://doi.org/10.3390/en17133250

